Anthropometric Characteristics and Cardiorespiratory Capacity in Adults over 50 Years with Disabilities: Association and Differences According to Sex
Abstract
1. Introduction
2. Materials and Methods
2.1. Participants
2.2. Procedure
2.3. Measurements
2.3.1. Primary Outcomes
2.3.2. Secondary Outcomes
2.4. Statistical Analysis
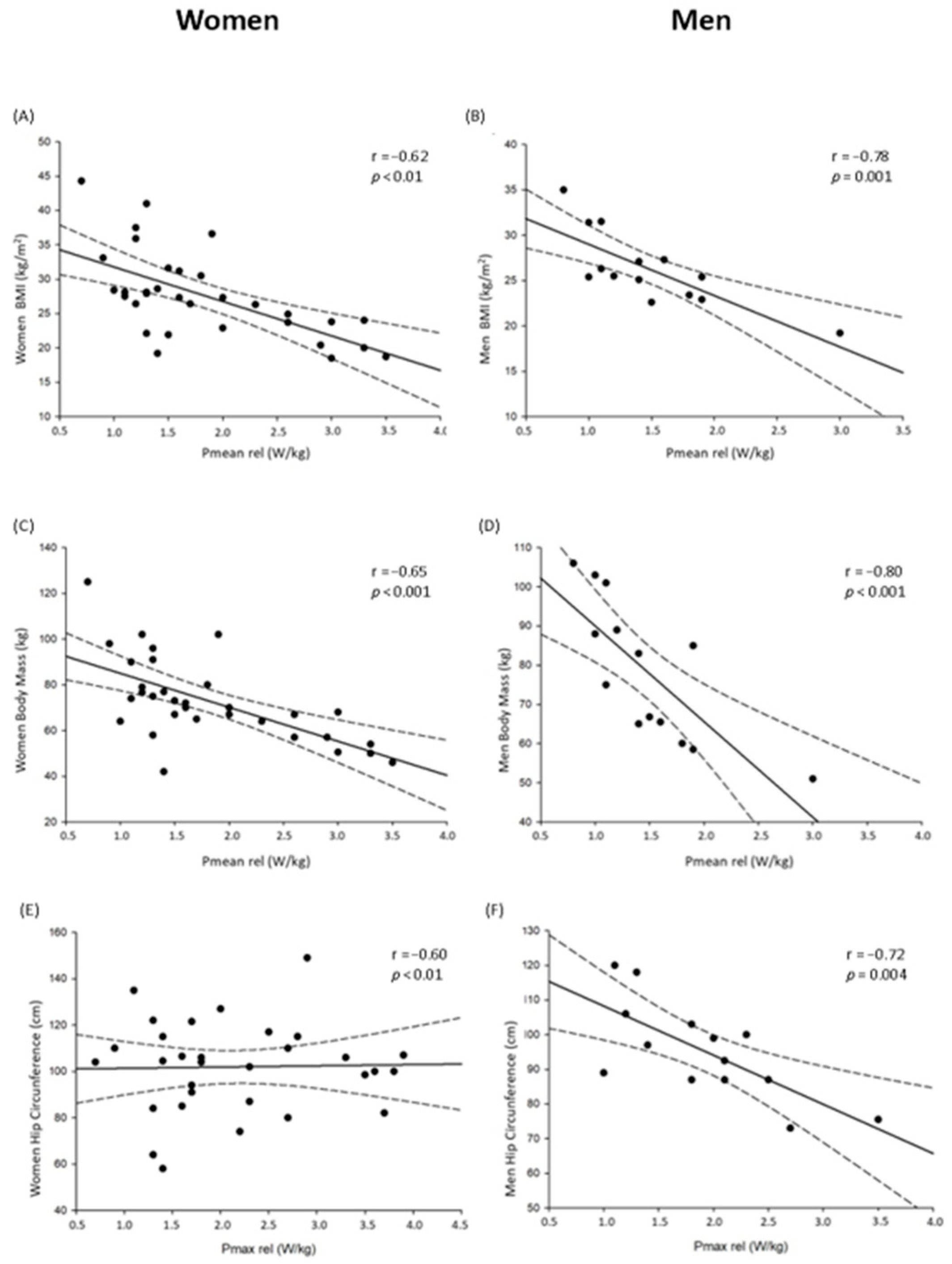
3. Results
4. Discussion
5. Limitations
6. Practical Implications
7. Conclusions
Author Contributions
Funding
Institutional Review Board Statement
Informed Consent Statement
Data Availability Statement
Conflicts of Interest
Abbreviations
| 6MWT | Six-Minute Walk Test |
| 6MWTDist | Distance covered in the Six-Minute Walk Test |
| BMI | Body Mass Index |
| Cad | Cadence |
| Dif. (%) | Percentage Difference |
| ES | Effect Size |
| HCR | Hip-to-Chest Ratio |
| HR | Heart Rate |
| HRmean | Mean Heart Rate |
| HRpeak | Peak Heart Rate |
| ISAK | International Society for the Advancement of Kinanthropometry |
| Pmax abs | Absolute Maximum Power |
| Pmin abs | Absolute Minimum Power |
| Pmean abs | Absolute Mean Power |
| Pmax rel | Relative Maximum Power |
| Pmin rel | Relative Minimum Power |
| Pmean rel | Relative Mean Power |
| RPE | Rating of Perceived Exertion |
| RPEmus | Rating of Perceived Muscular Exertion |
| RPEres | Rating of Perceived Respiratory Exertion |
| SD | Standard Deviation |
| TContact | Contact Time |
| Tympt | Tympanic Temperature |
| VO2 | Oxygen Consumption |
| VO2max | Maximal Oxygen Consumption |
| VO2peak | Peak Oxygen Consumption |
| WCR | Waist-to-Chest Ratio |
| WHR | Waist-to-Hip Ratio |
| WHO | World Health Organization |
References
- World Health Organization. International Classification of Functioning, Disability, and Health; World Health Organization: Geneva, Switzerland, 2007. [Google Scholar]
- World Health Organization. World Report on Disability; World Health Organization: Geneva, Switzerland, 2011. [Google Scholar]
- McDougall, J.; Wright, V.; Rosenbaum, P. The ICF model of functioning and disability: Incorporating quality of life and human development. Dev. Neurorehabil. 2010, 13, 204–211. [Google Scholar] [CrossRef]
- Benjamin, G.; Mitra, M.; Graham, C.; Krahn, G.; Luce, S.; Fox, M.; Hootman, J.; Ghiya, N.; Popovic, T. CDC Grand Rounds: Public Health Practices to Include Persons with Disabilities. MMWR Morb. Mortal. Wkly. Rep. 2013, 62, 697–701. [Google Scholar]
- Dixon-Ibarra, A.; Horner-Johnson, W. Disability Status as an Antecedent to Chronic Conditions: National Health Interview Survey, 2006–2012. Prev. Chronic Dis. 2014, 11, E15. [Google Scholar] [CrossRef]
- Ginis, K.A.M.; van der Ploeg, H.P.; Foster, C.; Lai, B.; McBride, C.B.; Ng, K.; Pratt, M.; Shirazipour, C.H.; Smith, B.; Vásquez, P.M.; et al. Participation of people living with disabilities in physical activity: A global perspective. Lancet 2021, 398, 443–455. [Google Scholar] [CrossRef]
- Kocina, P. Body Composition of Spinal Cord Injured Adults. Sports Med. 1997, 23, 48–60. [Google Scholar] [CrossRef] [PubMed]
- Doody, C.M.; Doody, O. Health Promotion for People with Intellectual Disability and Obesity. Br. J. Nurs. 2012, 21, 460–465. [Google Scholar] [CrossRef] [PubMed]
- Huxley, R.; Mendis, S.; Zheleznyakov, E.; Reddy, S.; Chan, J. Body mass index, waist circumference and waist:hip ratio as predictors of cardiovascular risk—A review of the literature. Eur. J. Clin. Nutr. 2010, 64, 16–22. [Google Scholar] [CrossRef] [PubMed]
- Salse-Batán, J.; Sanchez-lastra, M.A.; Suárez-iglesias, D.; Pérez, C.A. Effects of exercise training on obesity-related parameters in people with intellectual disabilities: Systematic review and meta-analysis. J. Intellect. Disabil. Res. 2022, 66, 413–441. [Google Scholar] [CrossRef]
- Hussain, R.; Wark, S.; Janicki, M.P.; Parmenter, T.; Knox, M. Multimorbidity in older people with intellectual disability. J. Appl. Res. Intellect. Disabil. 2020, 33, 1234–1244. [Google Scholar] [CrossRef]
- United Nations. Convention on the Rights of Persons with Disabilities. Available online: https://www.un.org/development/desa/disabilities/convention-on-the-rights-of-persons-with-disabilities.html (accessed on 13 February 2025).
- United Nations. THE 17 GOALS | Sustainable Development. Available online: https://sdgs.un.org/goals (accessed on 17 June 2025).
- Larson, J.S. The Conceptualization of Health. Med. Care Res. Rev. 1999, 56, 123–136. [Google Scholar] [CrossRef]
- Huber, M.; Knottnerus, J.A.; Green, L.; van der Horst, H.; Jadad, A.R.; Kromhout, D.; Leonard, B.; Lorig, K.; Loureiro, M.I.; van der Meer, J.W.M.; et al. How should we define health? BMJ 2011, 343, d4163. [Google Scholar] [CrossRef]
- Boer, P.H.; Moss, S.J. Effect of continuous aerobic vs. interval training on selected anthropometrical, physiological and functional parameters of adults with Down syndrome. J. Intellect. Disabil. Res. 2016, 60, 322–334. [Google Scholar] [CrossRef]
- Simón-Siles, S.; Font-Farré, M.; Guerra-Balic, M.; Nishishinya-Aquino, M.B.; Oviedo, G.R. Effects of exercise on fitness in adults with intellectual disability: A protocol of an overview of systematic reviews. BMJ Open 2022, 12, e058053. [Google Scholar] [CrossRef] [PubMed]
- Jacinto, M.; Monteiro, D.; Rodrigues, F.; Diz, S.; Matos, R.; Amaro, N.; Antunes, R. Gender Differences in Anthropometric, Functional Capacity Measures and Quality of Life in Individuals with Intellectual and Developmental Disabilities. J. Funct. Morphol. Kinesiol. 2024, 9, 84. [Google Scholar] [CrossRef]
- Berglind, D.; Yacaman-Mendez, D.; Lavebratt, C.; Forsell, Y. The Effect of Smartphone Apps Versus Supervised Exercise on Physical Activity, Cardiorespiratory Fitness, and Body Composition Among Individuals With Mild-to-Moderate Mobility Disability: Randomized Controlled Trial. JMIR mHealth uHealth 2020, 8, e14615. [Google Scholar] [CrossRef] [PubMed]
- Lampousi, A.; Berglind, D.; Forsell, Y. Association of changes in cardiorespiratory fitness with health-related quality of life in young adults with mobility disability: Secondary analysis of a randomized controlled trial of mobile app versus supervised training. BMC Public Health 2020, 20, 1721. [Google Scholar] [CrossRef] [PubMed]
- Tafuri, F.; Martínez Roig, R.; Anam, K.; Susanto, N.; Setyawan, H.; Saraiello, E.; Latino, F. Effects of a circuit training program in improving cardiorespiratory fitness, upper extremity strength, and agility in paraplegic subjects. Retos 2024, 58, 552–559. [Google Scholar] [CrossRef]
- Myers, J.; Kokkinos, P.; Nyelin, E. Physical Activity, Cardiorespiratory Fitness, and the Metabolic Syndrome. Nutrients 2019, 11, 1652. [Google Scholar] [CrossRef]
- Duncan, G.E. Exercise, fitness, and cardiovascular disease risk in type 2 diabetes and the metabolic syndrome. Curr. Diab. Rep. 2006, 6, 29–35. [Google Scholar] [CrossRef]
- Church, T. Exercise in Obesity, Metabolic Syndrome, and Diabetes. Prog. Cardiovasc. Dis. 2011, 53, 412–418. [Google Scholar] [CrossRef]
- Marsden, D.L.; Dunn, A.; Callister, R.; Levi, C.R.; Spratt, N.J. Characteristics of Exercise Training Interventions to Improve Cardiorespiratory Fitness After Stroke: A Systematic Review With Meta-analysis. Neurorehabil. Neural Repair 2013, 27, 775–788. [Google Scholar] [CrossRef]
- Andersson, C.; Asztalos, L.; Mattsson, E. Six-minute walk test in adults with cerebral palsy. A study of reliability. Clin. Rehabil. 2006, 20, 488–495. [Google Scholar] [CrossRef] [PubMed]
- Guerra-Balic, M.; Oviedo, G.R.; Javierre, C.; Fortuño, J.; Barnet-López, S.; Niño, O.; Alamo, J.; Fernhall, B. Reliability and validity of the 6-min walk test in adults and seniors with intellectual disabilities. Res. Dev. Disabil. 2015, 47, 144–153. [Google Scholar] [CrossRef] [PubMed]
- International Society for the Advancement of Kinanthropometry. Kinanthropometry IX: Proceedings of the 9th International Conference of the International Society for the Advancement of Kinanthropometry; Routledge: London, UK, 2006. [Google Scholar]
- Angleman, S.B.; Harris, T.B.; Melzer, D. The role of waist circumference in predicting disability in periretirement age adults. Int. J. Obes. 2006, 30, 364–373. [Google Scholar] [CrossRef][Green Version]
- Holland, A.E.; Spruit, M.A.; Troosters, T.; Puhan, M.A.; Pepin, V.; Saey, D.; McCormack, M.C.; Carlin, B.W.; Sciurba, F.C.; Pitta, F.; et al. An official European Respiratory Society/American Thoracic Society technical standard: Field walking tests in chronic respiratory disease. Eur. Respir. J. 2014, 44, 1428–1446. [Google Scholar] [CrossRef]
- Elmahgoub, S.S.; Van de Velde, A.; Peersman, W.; Cambier, D.; Calders, P. Reproducibility, validity and predictors of six-minute walk test in overweight and obese adolescents with intellectual disability. Disabil. Rehabil. 2012, 34, 846–851. [Google Scholar] [CrossRef]
- Navalta, J.W.; Montes, J.; Bodell, N.G.; Aguilar, C.D.; Radzak, K.; Manning, J.W.; DeBeliso, M. Reliability of Trail Walking and Running Tasks Using the Stryd Power Meter. Int. J. Sports Med. 2019, 40, 498–502. [Google Scholar] [CrossRef]
- Pinedo-Jauregi, A.; Garcia-Tabar, I.; Carrier, B.; Navalta, J.W.; Cámara, J. Reliability and validity of the Stryd Power Meter during different walking conditions. Gait Posture 2022, 92, 277–283. [Google Scholar] [CrossRef] [PubMed]
- Ascondo, J.; Llodio, I.; Marcos-Rivero, B.; Granados, C.; Romero, S.; Iturricastillo, A.; Yanci, J. Proposal for a Battery to Evaluate Functional Capacity in Older Adults with Disabilities. Sensors 2025, 25, 1813. [Google Scholar] [CrossRef]
- Yanci, J.; Granados, C.; Otero, M.; Badiola, A.; Olasagasti, J.; Bidaurrazaga-Letona, I.; Iturricastillo, A.; Gil, S.M. Sprint, agility, strength and endurance capacity in wheelchair basketball players. Biol. Sport 2014, 32, 71–78. [Google Scholar] [CrossRef]
- Foster, C.; Florhaug, J.A.; Franklin, J.; Gottschall, L.; Hrovatin, L.A.; Parker, S.; Doleshal, P.; Dodge, C. A New Approach to Monitoring Exercise Training. J. Strength Cond. Res. 2001, 15, 109. [Google Scholar]
- Iturricastillo, A.; Granados, C.; Yanci, J. Changes in Body Composition and Physical Performance in Wheelchair Basketball Players During a Competitive Season. J. Hum. Kinet. 2015, 48, 157–165. [Google Scholar] [CrossRef]
- Cohen, J. Statistical Power Analysis for the Behavioral Sciences, 2nd ed.; Routledge: New York, NY, USA, 2013. [Google Scholar]
- Hopkins, W.G.; Marshall, S.W.; Batterham, A.M.; Hanin, J. Progressive Statistics for Studies in Sports Medicine and Exercise Science. Med. Sci. Sports Exerc. 2009, 41, 3–13. [Google Scholar] [CrossRef]
- Marín, S.A.; Graupera, J.X. Nutritional status of intellectual disabled persons with Down syndrome. Nutr. Hosp. 2011, 26, 1059–1066. [Google Scholar]
- Einarsson, I.Ó.; Ólafsson, Á.; Hinriksdóttir, G.; Jóhannsson, E.; Daly, D.; Arngrímsson, S.Á. Differences in Physical Activity among Youth with and without Intellectual Disability. Med. Sci. Sports Exerc. 2016, 47, 411–418. [Google Scholar] [CrossRef]
- Valenzuela, C.F.; López, A.; Pantoja, M.; Moreno, T.; Tobar, V.; Intriago, R.; Moral, P. Comparación de medidas antropométricas de riesgo cardiovascular, fuerza isométrica y funcionalidad entre adolescentes chilenos de ambos sexos con discapacidad intelectual. J. Sport Health Res. 2021, 13, 75–86. [Google Scholar]
- Beck, V.D.Y.; Baynard, T.; Lefferts, E.C.; Hibner, B.A.; Fernhall, B.; Hilgenkamp, T.I.M. Anthropometry does not fully explain low fitness among adults with Down syndrome. J. Intellect. Disabil. Res. 2021, 65, 373–379. [Google Scholar] [CrossRef] [PubMed]
- Perissinotto, E.; Pisent, C.; Sergi, G.; Grigoletto, F.; Enzi, G.; Group, I.W. Anthropometric measurements in the elderly: Age and gender differences. Br. J. Nutr. 2002, 87, 177–186. [Google Scholar] [CrossRef] [PubMed]
- Wang, J.; Guan, J.; Huang, L.; Li, X.; Huang, B.; Feng, J.; Zhang, Y.; Zhang, J. Sex differences in the associations between relative fat mass and all-cause and cardiovascular mortality: A population-based prospective cohort study. Nutr. Metab. Cardiovasc. Dis. 2024, 34, 738–754. [Google Scholar] [CrossRef] [PubMed]
- Loe, H.; Rognmo, Ø.; Saltin, B.; Wisløff, U. Aerobic Capacity Reference Data in 3816 Healthy Men and Women 20–90 Years. PLoS ONE 2013, 8, e64319, Correction in PLoS ONE 2013, 8, 10-1371. https://doi.org/10.1371/annotation/e3115a8e-ca9d-4d33-87ef-f355f07db28e. [Google Scholar] [CrossRef]
- Kaminsky, L.A.; Imboden, M.T.; Arena, R.; Myers, J. Reference Standards for Cardiorespiratory Fitness Measured With Cardiopulmonary Exercise Testing Using Cycle Ergometry: Data From the Fitness Registry and the Importance of Exercise National Database (FRIEND) Registry. Mayo Clin. Proc. 2017, 92, 228–233. [Google Scholar] [CrossRef] [PubMed]
- Lee, J.Q.; Simmonds, M.J.; Wang, X.S.; Novy, D.M. Differences in physical performance between men and women with and without lymphoma. Arch. Phys. Med. Rehabil. 2003, 84, 1747–1752. [Google Scholar] [CrossRef]
- Waatevik, M.; Johannessen, A.; Hardie, J.A.; Bjordal, J.M.; Aukrust, P.; Bakke, P.S.; Eagan, T.M.L. Different COPD Disease Characteristics are Related to Different Outcomes in the 6-minute Walk Test. COPD 2012, 9, 227–234. [Google Scholar] [CrossRef]
- Gawlik, K.; Zwierzchowska, A.; Manowska, B.; Celebańska, D. Aerobic capacity of adults with intellectual disabilities. Ann. Agric. Environ. Med. 2017, 24, 117–120. [Google Scholar] [CrossRef]
- Romberg, A.; Virtanen, A.; Aunola, S.; Karppi, S.; Karanko, H.; Ruutiainen, J. Exercise capacity, disability and leisure physical activity of subjects with multiple sclerosis. Mult. Scler. J. 2004, 10, 212–218. [Google Scholar] [CrossRef]
- Granados, C.; Yanci, J.; Badiola, A.; Iturricastillo, A.; Otero, M.; Olasagasti, J.; Bidaurrazaga-Letona, I.; Gil, S.M. Anthropometry and Performance in Wheelchair Basketball. J. Strength Cond. Res. 2015, 29, 1812. [Google Scholar] [CrossRef]
- Romarate, A.; Granados, C.; Iturricastillo, A.; Lizundia, M.; Yanci, J. Asociación entre las características antropométricas y la condición física en jugadores de baloncesto en silla de ruedas. SPORT TK-Eur. Am. J. Sport Sci. 2020, 29, 17–26. [Google Scholar] [CrossRef]
- Donini, L.M.; Poggiogalle, E.; Mosca, V.; Pinto, A.; Brunani, A.; Capodaglio, P. Disability Affects the 6-Minute Walking Distance in Obese Subjects (BMI > 40 kg/m2). PLoS ONE 2013, 8, e75491. [Google Scholar] [CrossRef]
- Kuk, J.L.; Lee, S.; Heymsfield, S.B.; Ross, R. Waist circumference and abdominal adipose tissue distribution: Influence of age and sex. Am. J. Clin. Nutr. 2005, 81, 1330–1334. [Google Scholar] [CrossRef]
- Fragala, M.S.; Clark, M.H.; Walsh, S.J.; Kleppinger, A.; Judge, J.O.; Kuchel, G.A.; Kenny, A.M. Gender Differences in Anthropometric Predictors of Physical Performance in Older Adults. Gend. Med. 2012, 9, 445–456. [Google Scholar] [CrossRef]
- Lassandro, G.; Trisciuzzi, R.; Palladino, V.; Carriero, F.; Giannico, O.V.; Tafuri, S.; Giordano, P. Psychophysical health and perception of well-being between master badminton athletes and the adult Italian population. Acta Biomed. 2021, 92, e2021253. [Google Scholar] [CrossRef] [PubMed]



| All | Women | Men | Dif. (%) | p | ES | |
|---|---|---|---|---|---|---|
| Mass (kg) | 73.3 ± 18.3 | 71.4 ± 18.6 | 77.0 ± 18.6 | 7.7 | 0.314 | −0.30 |
| Height (cm) | 165.3 ± 10.6 | 161.8 ± 8.8 | 172.2 ± 10.7 | 6.4 | <0.001 *** | −1.10 |
| BMI (kg/m2) | 26.7 ± 5.7 | 27.2 ± 6.4 | 25.7 ± 4.2 | −5.6 | 0.372 | 0.27 |
| Waist circumference (cm) | 94.4 ± 15.4 | 93.6 ± 16.8 | 95.9 ± 12.7 | 2.4 | 0.616 | −0.15 |
| Hip circumference (cm) | 101.9 ± 15.6 | 103.0 ± 18.6 | 99.7 ± 6.7 | −3.2 | 0.467 | 0.21 |
| Chest circumference (cm) | 96.8 ± 11.4 | 95.7 ± 12.3 | 99.0 ± 9.3 | 3.5 | 0.319 | −0.30 |
| WHR | 0.9 ± 0.1 | 0.9 ± 0.2 | 1.0 ± 0.1 | 4.8 | 0.313 | −0.29 |
| WCR | 1.0 ± 0.1 | 1.0 ± 0.1 | 1.0 ± 0.1 | 0.4 | 0.895 | −0.04 |
| HCR | 1.1 ± 0.1 | 1.1 ± 0.1 | 1.0 ± 0.1 | −6.4 | 0.013 * | 0.75 |
| All | Women | Men | Dif. (%) | p | ES | |
|---|---|---|---|---|---|---|
| 6MWTDist (m) | 541.9 ± 104.7 | 551.8 ± 108.4 | 522.7 ± 97.3 | −5.3 | 0.344 | 0.28 |
| HRpeak (bpm) | 137.7 ± 23.0 | 141.6 ± 23.2 | 128.4 ±20.3 | −9.4 | 0.070 | 0.59 |
| HRmean (bpm) | 123.0 ± 21.3 | 127.3 ± 20.8 | 113.6 ± 20.1 | −10.7 | 0.037 * | 0.67 |
| RPEmus | 3.2 ± 2.2 | 2.9 ±1.6 | 3.8 ±2.9 | 32.8 | 0.130 | −0.45 |
| RPEresp | 3.1 ± 2.6 | 3.1 ± 1.6 | 3.1 ± 2.6 | 0.8 | 0.965 | −0.13 |
| Tympt (°C) | 36.6 ± 0.6 | 36.4 ± 0.5 | 36.1 ± 0.7 | −0.7 | 0.178 | 0.40 |
| Pmax rel (W/kg) | 2.1 ± 0.8 | 2.1 ± 0.9 | 1.9 ± 0.7 | −10.9 | 0.398 | 0.27 |
| Pmin rel (W/kg) | 1.3 ± 0.6 | 1.4 ± 0.6 | 1.0 ±0.4 | −25.7 | 0.059 | 0.62 |
| Pmean rel (W/kg) | 1.7 ± 0.7 | 1.8 ± 0.8 | 1.5 ± 0.6 | −19.1 | 0.142 | 0.48 |
| Pmax abs (W) | 142.5 ± 37.9 | 144.5 ± 41.8 | 138.0 ± 28.2 | −4.5 | 0.585 | 0.17 |
| Pmin abs (W) | 87.9 ± 31.3 | 94.1 ± 34.5 | 74.7 ± 17.4 | −20.6 | 0.046 * | 0.64 |
| Pmean abs (W) | 117.2 ± 33.8 | 122.7 ± 36.9 | 105.5 ± 22.8 | −14.0 | 0.105 | 0.52 |
| Cadence (spm) | 130.8 ± 12.4 | 132.7 ± 13.2 | 126.7 ± 9.5 | −4.5 | 0.124 | 0.49 |
| Stride length (m) | 0.7 ± 0.1 | 0.7 ± 0.1 | 0.7 ± 0.1 | 4.4 | 0.314 | −0.32 |
| TContact (ms) | 730.8 ± 295 | 688.2 ± 305.4 | 824.7 ± 255.3 | 19.8 | 0.139 | −0.47 |
| DistStryd (m) | 588.4 ± 132.8 | 593.1 ± 151.9 | 578.1 ± 79.3 | −2.5 | 0.721 | 0.12 |
Disclaimer/Publisher’s Note: The statements, opinions and data contained in all publications are solely those of the individual author(s) and contributor(s) and not of MDPI and/or the editor(s). MDPI and/or the editor(s) disclaim responsibility for any injury to people or property resulting from any ideas, methods, instructions or products referred to in the content. |
© 2025 by the authors. Licensee MDPI, Basel, Switzerland. This article is an open access article distributed under the terms and conditions of the Creative Commons Attribution (CC BY) license.
Share and Cite
Berasategui, O.; Ascondo, J.; Granados, C.; Iturricastillo, A.; Garate, I.; Picabea, J.M.; Alonso, E.; Yanci, J. Anthropometric Characteristics and Cardiorespiratory Capacity in Adults over 50 Years with Disabilities: Association and Differences According to Sex. Appl. Sci. 2026, 16, 409. https://doi.org/10.3390/app16010409
Berasategui O, Ascondo J, Granados C, Iturricastillo A, Garate I, Picabea JM, Alonso E, Yanci J. Anthropometric Characteristics and Cardiorespiratory Capacity in Adults over 50 Years with Disabilities: Association and Differences According to Sex. Applied Sciences. 2026; 16(1):409. https://doi.org/10.3390/app16010409
Chicago/Turabian StyleBerasategui, Oier, Josu Ascondo, Cristina Granados, Aitor Iturricastillo, Iker Garate, Jon Mikel Picabea, Elena Alonso, and Javier Yanci. 2026. "Anthropometric Characteristics and Cardiorespiratory Capacity in Adults over 50 Years with Disabilities: Association and Differences According to Sex" Applied Sciences 16, no. 1: 409. https://doi.org/10.3390/app16010409
APA StyleBerasategui, O., Ascondo, J., Granados, C., Iturricastillo, A., Garate, I., Picabea, J. M., Alonso, E., & Yanci, J. (2026). Anthropometric Characteristics and Cardiorespiratory Capacity in Adults over 50 Years with Disabilities: Association and Differences According to Sex. Applied Sciences, 16(1), 409. https://doi.org/10.3390/app16010409

