Study on Surface Movement Law of Coal Seam Mining Based on the Measured Data and Numerical Simulation
Abstract
1. Introduction
2. Research Background
2.1. Regional Geomorphology and Geological Conditions
2.2. Characteristics of Coal Seam and Cover Rock
2.3. Comparison Between Eastern and Western Mining Regions and Technology Transfer Potential
3. Design and Analysis of Surface Observation
3.1. Analysis of Observation Range
3.2. Design of Surface Observation Station
3.3. Design of Observation Points
4. Analysis of Surface Deformation Observation Data
4.1. Analysis of Observation Point Subsidence Data
4.2. Analysis of Surface Movement Deformation Parameters
4.2.1. Inclination Variation Law
4.2.2. Analysis of Curvature Variation
4.2.3. Analysis of Horizontal Movement Change
4.2.4. Analysis of Subsidence Velocity Variation
4.2.5. Comparison with the Influence Function Method
4.3. Analysis of Surface Movement and Deformation Characteristics
5. Numerical Simulation of Surface Movement and Deformation
5.1. Numerical Simulation Approach and Software Justification
5.2. Design and Establishment of Model
5.2.1. Model Boundary and Initial Conditions
5.2.2. Material Behavior and Stratified Modeling
5.2.3. Measuring Lines
5.2.4. Model Limitations
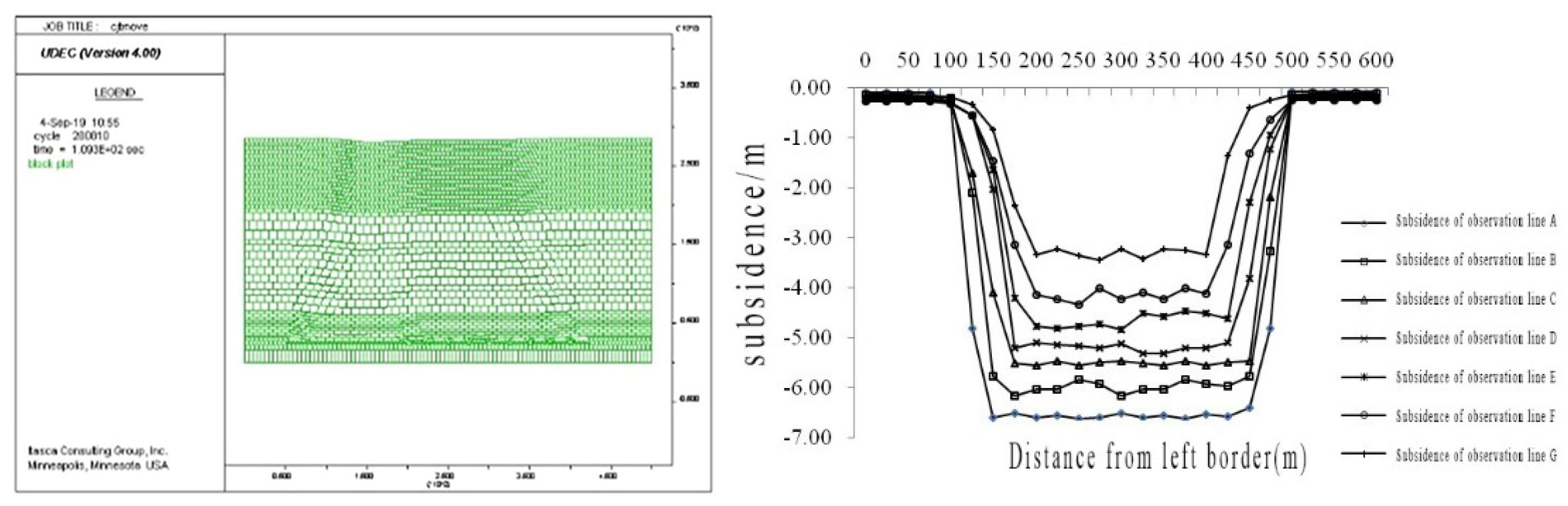
5.3. Analysis of Simulation Results of Surface Movement and Deformation
5.3.1. Study on the Movement Law of Bedrock and Surface Along the Strike Direction (Z Line)
5.3.2. Study on Bedrock and Surface Movement in Tendency Direction (Line A)
5.3.3. Analysis of the Influence Range of Surface Rock Movement
5.4. Integration of Monitoring Data and Model Predictions for Practical Application
- (1)
- Predict subsidence for future panels under similar geological conditions;
- (2)
- Evaluate the effectiveness of mitigation measures such as backfilling, pillar design, or extraction sequencing;
- (3)
- Assess emergency scenarios including rapid subsidence events or structural failures;
- (4)
- Support land rehabilitation planning by estimating final ground topography and stability.
6. Discussion
7. Conclusions
Author Contributions
Funding
Data Availability Statement
Conflicts of Interest
References
- Qian, M.G. Efforts to be made to achieve the transition of Chinese coal industry from quantity to quality. China Coal 2017, 43, 5–9. [Google Scholar] [CrossRef]
- Yuan, J.H.; Zhang, K. Research and future forecast of coal power transformation in the middle and late period of the 13th five—Year plan. China Coal 2018, 45, 13–19. [Google Scholar] [CrossRef]
- Wang, X.L.; Ji, Z.G.; Xie, Y.T.; Yang, J.K.; Wu, P.; Wang, X.; Guo, X.Q. Present situation and development trend of gas emission prediction technology in coal face. Sci. Technol. Eng. 2019, 19, 1–9. [Google Scholar] [CrossRef]
- Zhao, D.; Zeng, Y.; Sun, X. Rock Damage and Aquifer Property Estimation from Water Level Fluctuations in Wells Induced by Seismic Waves: A Case Study in X10 Well, Xinjiang, China. Shock. Vib. 2021, 2021, 2137978. [Google Scholar] [CrossRef]
- Yang, S.L.; Wang, Z.H.; Jiang, W.; Yang, J.H. Advancing rate effect on rock and coal failure format in high—Intensity mining face. J. China Coal Soc. 2016, 41, 586–594. [Google Scholar] [CrossRef]
- Yang, D.M.; Guo, W.B.; Tan, Y.; Wang, Y.; Ma, X.; Li, Z. Lithology and fissure characteristics of overburden in high—Intensity mining. J. China Coal Soc. 2019, 44, 786–795. [Google Scholar] [CrossRef]
- Fan, L.M.; Xiang, M.X.; Peng, J.; Li, C.; Li, Y.H.; Wu, B.Y.; Bian, H.Y.; Gao, S.; Qiao, X.Y. Groundwater response to intensive mining in ecologically fragile area. J. China Coal Soc. 2016, 41, 2672–2678. [Google Scholar] [CrossRef]
- Zhao, D.; Zeng, Y.; Wu, Q. Source Discrimination of Mine Gushing Water Using Self—Organizing Feature Maps: A Case Study in Ningtiaota Coal Mine, Shaanxi, China. Sustainability 2022, 14, 6551. [Google Scholar] [CrossRef]
- Liu, S.J.; Li, T.; Ma, H.T.; Liu, S.P. Study on the Ground Subsiding Area Caused by Underground Mining and Its Developing Tendency. Met. Mine 2015, 44, 152–156. [Google Scholar] [CrossRef]
- Zhao, D.; Wu, Q.; Zheng, G. Quantitative Source Apportionment and Uncertainty Analysis of Heavy Metal (loid) s in the Topsoil of the Nansi Lake Nature Reserve. Sustainability 2022, 14, 6679. [Google Scholar] [CrossRef]
- Li, Y.; Wang, Z.; Zhang, L. Analysis of surface collapse and geofracture caused by steep coal mining in loess hilly region: Taking the surface collapse in a community in Huating County, Gansu Province as an example. J. Geotech. Eng. Environ. Prot. 2025, 9, 45–52. [Google Scholar] [CrossRef]
- Ordos Zhuolongwan Coal Co., Ltd. Tendering Announcement for 35kV Linta Line Collapse Treatment in Goaf Areas. China Sunshine Procurement Service Platform. 2025. Available online: http://www.ygcgfw.com/gggs/001001/001001001/20250126/8a81809a94936da90194a0e0d62b3592.html (accessed on 15 March 2025).
- Tang, F.; Yang, Q. Progress and prospects of multi-source remote sensing monitoring technology for coal mining subsidence in mining areas of the western Loess Plateau. Coal Sci. Technol. 2023, 51, 9–26. [Google Scholar] [CrossRef]
- Anke Technology. GNSS Automated Monitoring System for Open-Pit Mine Slopes and Goafs. NetEase News. 26 March 2023. Available online: https://c.m.163.com/news/a/I0P4C9IL0553SWI6.html (accessed on 26 March 2023).
- Chen, W.; Li, C.; Zhao, Y. GNSS displacement monitoring stations: Application and efficiency in coal mine goaf safety. NetEase News 2025, 25, 1–9. Available online: https://c.m.163.com/news/a/K8C4LFCL0556FJTQ.html (accessed on 6 June 2025).
- Liu, J.; Zhang, Y.; Wang, H. UAV + AI Recognition Technology for Surface Collapse and Fissure Monitoring in Coal Mines. China Coal News. 2024. Available online: https://www.mtkxjs.com.cn/cn/article/doi/10.12438/cst.2023-0438 (accessed on 8 July 2024).
- Hasan, M.; Su, L.; Cui, P.; Shang, Y. Development of deep-underground engineering structures via 2D and 3D RQD prediction using non-invasive CSAMT. Sci. Rep. 2025, 15, 18. [Google Scholar] [CrossRef]
- Hambleton, J.P. Geomechanics of subsidence above single and multi—Seam coal mining. J. Rock Mech. Geotech. Eng. 2016, 8, 189–200. [Google Scholar]
- Zhang, Y.P.; Yang, S.Y.; Lu, Z.G.; Su, X.P.; Xia, G.J. 3D Visualization Processing and Analysis of Surface Subsidence Rule of a Mined—Out Area. Met. Mine 2013, 42, 120–123. [Google Scholar] [CrossRef]
- Visser, A.T.; du Plessis, J.A. Numerical analysis of surface movement due to multi—Seam mining in soft rock formations. J. Rock Mech. Geotech. Eng. 2018, 10, 765–774. [Google Scholar]
- Karpuz, C.; Ayhan, S. Field measurements and numerical modeling of surface subsidence in a coal mine with complex geology. Environ. Earth Sci. 2020, 79, 456. [Google Scholar]
- Yu, X.Y.; Wang, P.; Li, X.L. Analysis on characteristics of surface subsidence with Han Jia Wan coal mine. Adv. Mater. Res. 2012, 524, 520–524. [Google Scholar] [CrossRef]
- Xiong, Z.Q.; Jun, H.; Zhao, L.L. Study on the Regularity of Surface Movement and Deformation in Long Coal Face with Large Mining Height. Adv. Mater. Res. 2012, 594, 86–91. [Google Scholar] [CrossRef]
- Guo, Q.; Guo, G.; Lv, X.; Zhang, W.; Lin, Y.; Qin, S. Strata movement and surface subsidence prediction model of dense solid backfilling mining. Environ. Earth Sci. 2016, 75, 1426. [Google Scholar] [CrossRef]
- Dudek, M.; Mrocheń, D.; Sroka, A. Integrating the finite element method with python scripting to assess mining impacts on surface deformations. J. Appl. Sci. 2024, 14, 7797. [Google Scholar] [CrossRef]
- Li, H.; Zha, J.; Guo, G. A new dynamic prediction method for surface subsidence based on numerical model parameter sensitivity. J. Clean. Prod. 2019, 233, 1418–1424. [Google Scholar] [CrossRef]
- Zhang, S.L. Study of Surface Subsidence Prediction Optimization Based on Practical Data. Coal Min. Technol. 2017, 22, 5. [Google Scholar] [CrossRef]
- NB/T 11553-2024; Technical Specification for Observation of Surface Movement and Deformation in Coal Mines. China Standards Press: Beijing, China, 2024.
- Liu, H.; Li, Y.; Su, L.; Zhu, X.; Zhang, P.; Yao, M.; Wang, J.; Wang, Q.; Si, G. Surface Deformation Law in Mining under Thick Loose Layer and Thin Bedrock: A Case Study of Lunan Mining Area. Coal Sci. Technol. 2023, 51, 11–23. [Google Scholar] [CrossRef]


















| Category | Lithology | Height | Lithological Characteristics |
|---|---|---|---|
| upper roof | siltstone | 5.8~8.81 m | Dark gray, massive bedding, containing fossil plants. |
| Immediate roof | fine-grained sandstone | 1~3 m | Gray–white, mainly composed of quartz, feldspar, block bedding. |
| 2-2 coal | coal | 6.29~12.7 m | Black, blocky, bright coal, mainly dark coal. |
| Immediate bottom | siltstone | 3.2~5.85 m | Gray, mainly quartz, feldspar, argillaceous cementation, horizontal bedding. |
| Parameter | Parameter Description | Value | Unit |
|---|---|---|---|
| H0 | Average mining depth of the working face | 330 | m |
| δ | Strike movement angle of bedrock | 63 | ° |
| h | Thickness of surface loose layer (loess + red soil) | 140 | m |
| △δ | Correction value of movement angle (accounting for loess softening effect) | 20 | ° |
| φ | Movement angle of loose layer | 45 | ° |
| Mining Depth/m | Observation Point Distance/m | Mining Depth/m | Observation Point Distance/m |
|---|---|---|---|
| <50 | 5 | 200~300 | 20 |
| 50~100 | 10 | 300~400 | 25 |
| 100~200 | 15 | >400 | 30 |
| Serial Number | Lithology | Thickness (m) | Volumetric Weight /(kg/m3) | Bulk Modulus /MPa | Shear Modulus /MPa | Cohesive Force /MPa | Tensile Strength /MPa |
|---|---|---|---|---|---|---|---|
| 1 | soil layer | 90 | 1900 | ||||
| 2 | sandy mudstone | 5 | 2570 | 3380 | 3150 | 5.6 | 5.9 |
| 3 | medium grained sandstone | 10 | 2670 | 3830 | 3750 | 6.7 | 6.3 |
| 4 | fine sandstone | 24 | 2700 | 3300 | 3160 | 6.5 | 6.8 |
| 5 | siltstone | 15 | 2500 | 3600 | 3670 | 6.8 | 6.7 |
| 6 | medium-grained sandstone | 40 | 2100 | 3380 | 3150 | 5.6 | 6.8 |
| 7 | fine sandstone | 16 | 2600 | 3300 | 3160 | 6.5 | 6.7 |
| 8 | medium-grained sandstone | 20 | 2500 | 3740 | 3570 | 6.3 | 6.8 |
| 9 | fine sandstone | 32 | 2400 | 3600 | 3660 | 6.3 | 6.8 |
| 10 | siltstone | 6 | 2500 | 3720 | 4630 | 8.6 | 5.7 |
| 11 | 2-2 coal | 12 | 1400 | 1480 | 1480 | 2.5 | 3.8 |
| 12 | siltstone | 16 | 2500 | 3920 | 3700 | 8.5 | 5.5 |
| Excavation Distance | Overburden Caving Form | Subsidence Curve of Observation Line |
|---|---|---|
| Initial weighting | ![]() | ![]() |
| First periodic pressure | ![]() | ![]() |
| Second periodic pressure | ![]() | ![]() |
| Third periodic pressure | ![]() | ![]() |
| Fourth periodic pressure | ![]() | ![]() |
| Fifth periodic pressure | ![]() | ![]() |
| Sixth periodic pressure | ![]() | ![]() |
| Seventh periodic pressure | ![]() | ![]() |
| Eighth periodic pressure | ![]() | ![]() |
| Ninth periodic pressure | ![]() | ![]() |
| Tenth periodic pressure | ![]() | ![]() |
Disclaimer/Publisher’s Note: The statements, opinions and data contained in all publications are solely those of the individual author(s) and contributor(s) and not of MDPI and/or the editor(s). MDPI and/or the editor(s) disclaim responsibility for any injury to people or property resulting from any ideas, methods, instructions or products referred to in the content. |
© 2025 by the authors. Licensee MDPI, Basel, Switzerland. This article is an open access article distributed under the terms and conditions of the Creative Commons Attribution (CC BY) license.
Share and Cite
Yang, W.; Zeng, Y.; Sun, Z.; Zhao, D.; Pang, K.; Chen, F. Study on Surface Movement Law of Coal Seam Mining Based on the Measured Data and Numerical Simulation. Appl. Sci. 2026, 16, 329. https://doi.org/10.3390/app16010329
Yang W, Zeng Y, Sun Z, Zhao D, Pang K, Chen F. Study on Surface Movement Law of Coal Seam Mining Based on the Measured Data and Numerical Simulation. Applied Sciences. 2026; 16(1):329. https://doi.org/10.3390/app16010329
Chicago/Turabian StyleYang, Weihong, Yifan Zeng, Zihan Sun, Di Zhao, Kai Pang, and Fei Chen. 2026. "Study on Surface Movement Law of Coal Seam Mining Based on the Measured Data and Numerical Simulation" Applied Sciences 16, no. 1: 329. https://doi.org/10.3390/app16010329
APA StyleYang, W., Zeng, Y., Sun, Z., Zhao, D., Pang, K., & Chen, F. (2026). Study on Surface Movement Law of Coal Seam Mining Based on the Measured Data and Numerical Simulation. Applied Sciences, 16(1), 329. https://doi.org/10.3390/app16010329























