Next Article in Journal
Effective Brain Connectivity Analysis During Endogenous Selective Attention Based on Granger Causality
Previous Article in Journal
Numerical Stability and Handling Studies of Three-Wheeled Vehicles Using ADAMS/Car
Previous Article in Special Issue
AI-Based Decision Support System for Attenuating Traffic Congestion
 
 
Font Type:
Arial Georgia Verdana
Font Size:
Aa Aa Aa
Line Spacing:
Column Width:
Background:
Article

Evaluation of Loading and Unloading Zones Through Dynamic Occupancy Scenario Simulation Aligned with Municipal Ordinances in Urban Freight Distribution

by
Angel Gil Gallego
1,2,*,
María Pilar Lambán Castillo
3,
Jesús Royo Sánchez
3,
Juan Carlos Sánchez Catalán
4 and
Paula Morella Avinzano
4
1
ALIA, Logistics Cluster of Aragon, 50018 Zaragoza, Spain
2
Department of Marketing, ESIC Business & Marketing School, ESIC University, 28224 Madrid, Spain
3
Department of Design and Manufacturing Engineering, University of Zaragoza, 50018 Zaragoza, Spain
4
TECNALIA, Basque Research Technology Alliance (BRTA), 20009 Donostia-San Sebastián, Spain
*
Author to whom correspondence should be addressed.
Appl. Sci. 2026, 16(1), 100; https://doi.org/10.3390/app16010100
Submission received: 18 November 2025 / Revised: 12 December 2025 / Accepted: 17 December 2025 / Published: 22 December 2025
(This article belongs to the Special Issue Sustainable Urban Mobility)

Abstract

This study analyses the operational efficiency of urban loading and unloading zones (LUZs) by applying queuing theory without waiting (Erlang B model) and incorporating weighted occupancy time as a fundamental metric. Six scenarios were evaluated in an urban block in Zaragoza, Spain: three using field data obtained through real world observation and three simulated. The system’s performance was compared under conditions of free access with a model that strictly enforces the municipal ordinance for Urban Goods Distribution, restricting access to authorized vehicles and maximum dwell times. The objective of this study is to evaluate the operational performance of different LUZ configurations, assessing how real versus regulation-compliant usage affects system capacity, estimated loss rates, and the spatial temporal productivity of the zones. The M/M/1/1 model in Kendall notation is suitable for representing this type of queuing-free urban environment, and weighted occupancy time proves to be a robust indicator for evaluating the performance of heterogeneous zones. The scenario assessment confirms that the sizing of these zones is correct if their proper use is guaranteed. The study concludes with recommendations and best practices for city governance in formulating urban policies aimed at developing more efficient and sustainable logistics to control land use in the LUZ.

1. Introduction

Congestion in cities, resulting from the high volume of goods moving within them, has become particularly acute in recent years with the rise of e-commerce [1]. This e-commerce brings products directly to our homes, replacing the traditional practice of consumers purchasing goods in stores or department stores. LUZ areas are primarily located in designated zones during specific time slots, which are frequently saturated and only partially fulfil their purpose, unable to meet the full demand generated within their allotted time, Ezquerro et al. 2020 [2].
Urban freight distribution generates significant pressure on curbside infrastructure, especially in dense European cities where LUZs often operate under saturation conditions. Despite numerous initiatives to promote sustainable logistics, the improper use of LUZs, such as occupancy by unauthorised vehicles or excessive dwell times, remains a major source of operational inefficiency and urban congestion. These problems are compounded by the growing volume of e-commerce deliveries, which intensify the competition for limited curbside space and exacerbate negative externalities affecting both traffic flow and pedestrians.
This indiscriminate and uncontrolled use by unauthorized vehicles and the prolonged presence of authorized commercial vehicles generate operational collapses, externalities and the inefficient occupation of urban space, Alho et al. 2014 [3], since the unmet demand in one area leads to space being sought in its adjacent areas; if this space is not found, it leads to an illegal occupation of public spaces, causing problems to the circulation of vehicles in the urban environment and annoyances to citizens, Alho et al. 2017 [4].
In defining illegal occupation, a distinction is made between occupation within the designated zone and occupation outside of it, Ghizzawi et al. 2024 [5]. LUZs have reserved operating hours, and within those hours, occupation is considered legal when it involves a commercial vehicle and the operation takes less than 30 min. If the LUZ is occupied by an unauthorized private vehicle or a commercial vehicle exceeding 30 min, it constitutes illegal occupation within the zone, Muriel et al. 2022 [6]. If, due to the lack of space within the LUZ or the carrier’s intentional decision to park near the unloading point, the vehicle double parks, blocks a garage door, crosswalks, traffic islands, or obstructs the sidewalk, then it constitutes illegal occupation outside the LUZ, causing negative externalities for other city users.
In general, analysis of vehicle occupancy distribution in different areas reveals that illegal occupancy is a significant concern in all LUZ areas analysed. Ezquerro et al. 2020 [2] already pointed out that in most areas, a considerable proportion of vehicles are parked illegally, either because they are unauthorised vehicles or because they exceed the permitted parking time. This indicates that LUZ areas are operating at or even above maximum capacity, leading to operational bottlenecks and the inefficient use of urban space.
Excessive illegal parking time is another significant problem, as many vehicles remain parked for longer than the established 30 min, further aggravating congestion and reducing vehicle turnover. This behaviour highlights the need for stricter management of parking time, which could be optimised through technologies such as digital real-time entry and exit registration systems.
Although several studies have examined the spatial allocation of LUZs or proposed optimisation strategies for their location, much less attention has been given to the analysis of their operational performance under real conditions of demand, regulation compliance, and heterogeneous vehicle behaviour. Existing research rarely integrates queueing theory models without waiting queues (loss systems) to assess LUZ efficiency, even though these environments typically operate without the possibility of forming a service queue. This gap is particularly relevant given that non-served vehicles often recirculate in search of alternative spaces, generating indirect congestion that is not explicitly captured in standard queueing models.
In contrast to studies that address the strategic location or dimensioning of delivery bays, the present work focuses on the operational management of existing LUZ networks under municipal ordinances and real behavioural patterns. This perspective introduces a different decision-making challenge for cities, since congestion often arises not from insufficient physical infrastructure but from partial rule compliance, heterogeneous dwell times, and the improper use of bays by unauthorised vehicles. To address this gap, the study adopts a weighted occupancy metric that captures the effective space–time usage of each zone and models the system as a loss system (Erlang B), consistent with empirical evidence showing recirculation rather than queuing behaviour. This methodological contribution distinguishes the present analysis from conventional queue-based approaches and provides a framework more aligned with the operational realities of curbside freight activity.
Gil Gallego et al. (2025) [7] defined the OEE indicator as a measure of efficiency for an area or set of areas. This study reinforces the conclusions reached in that work, as it addresses the various factors that make up the OEE model to assess whether the measures proposed in the simulation using queueing theory improve logistics productivity.
In this context, Zaragoza represents an exemplary urban laboratory due to its active policies in sustainable urban mobility and its participation in national and European innovation projects. The selected set of LUZs provides a representative microenvironment for analysing the operational challenges associated with curbside logistics. Municipal ordinances impose access restrictions exclusively on commercial vehicles carrying out LUZ tasks, as well as temporary restrictions during a specific limited time period, with a maximum stay of 30 min in general.
The objective of this study is to evaluate the operational performance of different LUZ configurations by comparing real observed behaviour with an idealised scenario aligned with municipal regulations. By integrating a no-waiting queueing model (Erlang B) with a weighted occupation time metric, this research quantifies system capacity, loss rates, and space time productivity under varying conditions of compliance. This approach contributes to filling the gap in the literature regarding the operational assessment of LUZs using loss-based queueing models and empirically grounded behavioural data. The study demonstrates that proper use, respecting the restrictions indicated in the municipal ordinance [8], is more relevant than the location of the LUZ itself. Therefore, the proposals for operational improvement are aimed at the management of the LUZ and not at its optimised location, as suggested by Les et al. 2024 [9], Sun et al. 2023 [10], Jazemi et al. 2023 [11], Pinto et al. 2019 [12] or Jelen et al. 2021 [13].
To structure the analytical approach of this study, the following research questions are formulated. The research question investigates how the unrestricted use of LUZs, including the presence of unauthorised vehicles and excessive dwell times, affects their operational efficiency, specifically in terms of loss probability, effective capacity, and space time productivity. The second one examines the extent to which the strict enforcement of municipal LUZ ordinances can restore or enhance operational performance across different spatial configurations. The third research question evaluates whether the Erlang B loss system model appropriately represents the operational dynamics of LUZs, given that vehicles unable to access the zone do not queue but instead recirculate through adjacent streets.
In this study, we highlight the environmental externalities associated with the illegal occupation of LUZs, including CO2 emissions and congestion. However, due to the focus and scope of this article, a detailed quantitative assessment of these impacts is not provided. This analysis is a central component of our forthcoming work, where we will explore the environmental consequences in more detail, including metrics such as extra distance travelled and recirculation time. This study serves as an introduction to the broader environmental research we are currently developing.
The article is organised as follows: Section 2 describes the six cases to be analysed, as well as the selected areas, with their justified description. Section 3 analyses the results of applying the model in all its aspects and possibilities for analysis, and Section 4 interprets the results and makes recommendations for city governance. Finally, Section 5 presents the conclusions and possible future lines of research.

2. Literature Review

Several authors have analysed LUZs from the perspective of their design, dimensioning and operational performance. Early contributions focused on the diagnosis of existing loading systems and on the estimation of the optimal number and location of loading bays, mainly through simulation and optimisation models. Muñuzuri et al. (2017) [14] propose a methodology to improve the design of urban loading zone systems, using simulation to evaluate different configurations of bays along a street and to identify design solutions that reduce interference with general traffic. In a similar vein, Ochoa-Olán et al. (2021) [15] develop a modelling and microsimulation approach to estimate the location, number and size of loading/unloading bays, explicitly linking demand, bay supply and operational performance in a real case study in Querétaro (Mexico).
From a more empirical perspective, Dalla Chiara and Cheah (2017) [16] characterise freight vehicle behaviour in urban loading bays and define a set of performance metrics, including occupancy rates, queue lengths, time spent waiting in queues and search times for parking. Their results highlight that long queues and waiting times not only reduce delivery productivity but also generate environmental and social externalities. In a more recent work on freight parking behaviour, Guizzawi et al. (2024) [5] confirms the relevance of indicators such as parking duration, illegal parking patterns and the share of double parking as key measures to understand the performance of freight curb space. Comi et al. (2022) [17] propose a two-stage methodology for assessing the urban supply of on-street delivery bays: an initial estimation based on queueing theory, followed by discrete event simulation to account for stochastic interactions between freight vehicles, bays and general traffic. Their framework uses indicators such as bay occupancy, the probability of finding an available bay and the frequency of double parking to assess whether the available supply is adequate.
Queueing theory has been increasingly adopted as a conceptual and analytical framework to model freight parking and the interaction between delivery bays and general onstreet parking. Abhishek et al. (2021) [18] formulate a queueing model for an urban parking system with dedicated delivery bays and general parking spaces, deriving explicit expressions for performance measures and showing how the allocation of scarce curb space to freight bays affects both freight and passenger vehicles. Legros et al. (2024) [19] model on-street parking with delivery bays as an Erlang loss system (Erlang B), assuming that drivers who find the system full do not wait, and use this framework to study admission and pricing policies under loss conditions. These contributions are particularly relevant for contexts where no physical queue is formed and lost vehicles generate additional congestion or illegal parking behaviour, as in the case studied in this paper.
In parallel, several works have proposed specific performance indicators and composite indices to evaluate the efficiency of freight operations and loading bays. Les et al. (2024) [9] define a new KPI for measuring efficiency in urban freight transport and develop a methodology to obtain data in real time and visualise the indicator on a control dashboard. More recently, Gil Gallego et al. (2025) [7] extend the industrial Overall Equipment Effectiveness (OEE) model to urban LUZs, introducing the weighted time of occupation as a key KPI that captures both the temporal and spatial efficiency of the bays. This line of research emphasises the need for indicators that can be applied to heterogeneous zones, where vehicle types, lengths and dwell times vary significantly, and where the coexistence with other urban users must be considered.
The present study builds on this body of work in three ways. First, it uses a loss system queueing model (M/M/1/1 in Kendall’s notation, equivalent to an Erlang B system) to represent loading zones without physical waiting space, in line with recent parking and curbside management studies that adopt Erlang-type loss models for systems with blocking and no queue. Second, it adopts weighted occupancy time as a central performance metric, following the OEE-based approach proposed for LUZ evaluation, but applying it to dynamic scenarios in which regulations on access and maximum dwell time are explicitly enforced or relaxed. Third, it focuses on the impact of regulatory compliance (access restrictions and maximum time limits) on the probability of loss and on the space–time productivity of the zones, complementing previous studies that have mainly addressed the design and location of bays rather than the enforcement and operational management of existing ones.

3. Research Methodology

To carry out this study, six scenarios will be analysed: three under real conditions, as observed in the fieldwork, without restrictions, and three under a control model in which unauthorised private vehicles are not considered to occupy the LUZ and authorised commercial vehicles are considered to occupy the LUZ space for the actual time they have used it if it is less than 30 min, or a maximum of 30 min, which is the maximum authorised by the municipal government in Zaragoza [8], in cases where this is exceeded.

3.1. Research Objective, Scope and Subject of Study

The objective of this study is to evaluate the operational performance of several LUZs in the city of Zaragoza under two contrasting conditions: (i) unrestricted access, reflecting real-world observed behaviour, and (ii) strict compliance with municipal regulations limiting access to authorised commercial vehicles and imposing a maximum dwell time of 30 min. Using a no wait queuing approach (Erlang B model) combined with weighted occupation times, the study examines whether the available curbside capacity is sufficient to handle the urban logistics demand.
To guide the analysis in a structured manner, the following research questions were formulated:
RQ1: 
How does unrestricted use, characterised by unauthorised vehicles and excessive dwell times, impact the operational efficiency of LUZs, particularly in terms of service capacity, loss behaviour and space time productivity?
RQ2: 
To what extent does strict compliance with municipal regulations (access limits and maximum dwell times) restore or improve the operational performance of LUZs under varying spatial configurations?
RQ3: 
Is the Erlang B loss system model suitable for representing the operational dynamics of LUZs where rejected vehicles do not form physical queues but instead recirculate around the block?
These research questions complement the main objective and provide the analytical structure for the comparison between real-world and regulation-compliant scenarios.
The scope of the analysis covers four LUZs located on two adjacent streets in the central area of Zaragoza (Spain), which operate as an interconnected system due to recirculation behaviour when spaces are unavailable. The study examines three individual scenarios (Z1; Z3–Z4–Z5; Z1 + Z3–Z4–Z5) using both observed and regulation-compliant usage.
The subject of the study includes all vehicles accessing the LUZs during the observation period, distinguishing between authorised commercial vehicles and unauthorised private vehicles, and accounting for heterogeneous vehicle lengths and dwell times through a weighted occupation time metric.
The period of analysis corresponds to the month of May 2025, comprising 21 working days and the regulated operational hours for each zone (6 h/day for Z1, Z4 and Z5; 7 h/day for Z3). This period was selected due to its representativeness of normal activity in the city, without holidays or atypical traffic conditions.

3.2. Characterisation of Selected LUZs

3.2.1. Study Area

For this article, direct observation fieldwork was conducted using real-world data on LUZ occupancy during May 2025 in five zones of the city of Zaragoza. May was chosen as a representative month, with full activity during the school year due to its impact on the city’s mobility and the absence of holidays, and is therefore considered a time of coexistence between goods transporters and citizens under normal circumstances. A total of 1582 unloadings of all types and with all types of vehicles were recorded in the five zones. Recording arrival and departure times, and therefore occupancy times, allows us to model, using queuing theory, the behaviour of each zone and the zones as a whole, to measure their effectiveness and quantitatively simulate the observed situation compared to a scenario of strict compliance with the regulations defined by the municipal government., Alho et al. 2018 [20].
Attempting to reduce illegal occupation and consequently minimise these externalities is what motivates the authors to simulate dynamic scenarios that compare the actual situation observed with the illegal occupations observed in the data collection with the idealised correct use of LUZ, Wilson et al. 2022 [21].
Table 1 below shows the details of the illegal occupations observed during data collection.
This can be better observed in Figure 1, which shows the percentages in graphical form:
The study was conducted in the city of Zaragoza (Spain), selected for its leadership in innovative mobility and sustainable logistics policies. The city is recognized for pioneering initiatives such as the implementation of an Urban Consolidation Centre (UCC) [22], the integration of personal mobility vehicles (PMVs) [23] for urban distribution, pilot projects with autonomous robots and buses [24], and its collaboration with the Spanish Directorate General for Traffic (DGT) [25,26], which designated Zaragoza as a national test laboratory for intelligent mobility. Moreover, Zaragoza actively participates in national and European innovation projects such as URBANDUM [27] and DISCO, strengthening its position as a benchmark city for applied research on urban freight logistics efficiency.
According to the Sustainable Urban Mobility Plan (PMUS, 2018) [28], Zaragoza has 779 LUZs [29,30] with an average length of 19.4 m and an average reserved time of 7.7 h. The central district, characterized by an average length of 19.6 m and a daily operating window of 6.5 h, includes 108 LUZs, representing 13.86% of the city’s total, making it an appropriate and statistically representative environment for this study. The 2024 Urban Mobility Ordinance (Article 93) [31] limits the maximum time for loading and unloading operations to 30 min, establishing the regulatory context for the present analysis.
In the selected urban block, five LUZs were initially identified (Z1–Z5). However, field observation revealed that Zone 2 (Z2) does not participate in the same operational dynamics as the remaining areas, since vehicles accessing Z1, Z3, Z4, and Z5 do not circulate towards Z2 when searching for an alternative location. This zone is physically disconnected from the recirculation loop that characterises the behaviour of vehicles operating within the block and therefore does not function as an operational substitute for any of the other LUZs. For this reason, Z2 was excluded from the analytical model, and the study focuses exclusively on the four operative LUZs (Z1, Z3, Z4, and Z5).
Based on these four zones, three operational configurations were defined:
(i)
Z1 individually,
(ii)
Z3 + Z4 + Z5 as a combined zone, treated as a single aggregated service facility given their functional continuity along the same street, and
(iii)
Z1 + Z3 + Z4 + Z5, representing the full block-level dynamics.
These configurations were analysed under two conditions: real-world observations and an idealised compliance scenario. This approach yields six analytical scenarios, allowing a consistent comparison between observed behaviour and the theoretical performance expected under strict regulatory compliance.

3.2.2. Zoning Description

The field study focused on five LUZs located in the central area, selected for their representativeness of different street configurations and operational contexts.
Zone 1 (Arzobispo Doménech Street):
One-way street with free parking, total width 9.2 m, and 5.3 m between parked vehicles, allowing for temporary double parking. Opposite the LUZ, there is a dark store serving PMV couriers (e.g., Glovo), which generates high delivery demand. The zone’s total operational length is 13 m, accommodating up to three vans or trucks, with authorized loading periods from 9:00–12:00 and 14:00–17:00 h.
Zones 3, 4, and 5 (Perpetuo Socorro Street):
One-way corridor with parking on both sides and no allowance for double parking, totalling 165 m of parking length. The three LUZs measure 18 m, 10 m, and 8 m, respectively, with time slots between 7:00 and 17:00 h. Field observations revealed frequent illegal stops in front of garage entrances, pedestrian crossings, and intersections, highlighting the competition between legal and illegal users.
Table 2 below shows the characteristics of the streets where the LUZs under study are located.
Zone 2 (wide avenue with six lanes and a cycle path) was excluded, as its location and user behaviour did not interact with the circulation loop connecting the other zones.
The selected areas form a closed loop of interconnected streets, Arzobispo Doménech, Goya Avenue, Perpetuo Socorro, and Moncasi, allowing vehicles to circle the block in search of available space, which is essential for modelling reattempts and externalities due to unserved arrivals, as can be seen in Figure 2 where green lines correspond to the areas under study and the red line to the excluded area. Blue arrows indicate the direction of traffic flow.
Field observation showed that Zones Z1, Z3, Z4, and Z5 form a continuous operational loop within the same urban block. Vehicles that arrived at a full LUZ systematically recirculated through the block, moving from Arzobispo Domenech to Avenida Goya, then to Perpetuo Socorro and Moncasi, before attempting the circuit again. These four zones therefore act as functionally interdependent alternatives, influencing one another’s occupancy levels.
In contrast, Zone 2 does not belong to this circulation pattern, as reaching it requires leaving the block and travelling through a different street segment. No recirculating vehicles were observed using Zone 2 as an alternative; hence, it was excluded from the analysis.
The six configuration scenarios were selected to evaluate the performance of the LUZ system under two regulatory conditions, (i) unrestricted real-world operation and (ii) regulation-compliant use, and across three levels of spatial aggregation: Z1 individually, Z3 + Z4 + Z5 jointly, and the combined set Z1 + Z3 + Z4 + Z5.
This design reflects the functional structure observed during fieldwork: Z1 operates independently on Arzobispo Domenech, while Z3, Z4, and Z5 form a cluster of interdependent zones on Perpetuo Socorro; together, all four zones constitute a closed circulation loop used by vehicles recirculating around the block.
By evaluating both regulatory conditions across these spatial scales, the scenarios allow a systematic comparison of capacity, congestion, and loss behaviour throughout the system.

3.2.3. Commercial Activity and Representativeness

Within this cluster, 43 commercial establishments were identified as receivers and/or senders of goods:
8 food retailers, 18 general merchandise stores, 1 supermarket, 10 horeca establishments, 2 pharmacies, 1 dark store, and 3 car repair shops. This business mix mirrors the urban commercial fabric and ensures that the demand patterns observed are representative of medium-density central districts in Spanish cities.

3.3. Research Hypothesis

To address the research questions and quantify the impact of regulatory compliance on LUZ performance, three hypotheses were formulated:
H1: 
Operational Sufficiency under Regulation: If access is restricted to authorised commercial vehicles and dwell times comply with the 30 min municipal limit, the available curbside capacity will be sufficient to handle the operational demand without system overload.
H2: 
System Failure under Unrestricted Use: Under real-world conditions without access restrictions, LUZs will experience high loss rates, excessive dwell times, and increased illegal occupation, leading to congestion and operational inefficiency.
H3: 
Suitability of the Erlang B Model: The Erlang B no-wait queuing model adequately represents the operational dynamics of the studied LUZs because vehicles do not form physical queues and immediately leave the system when no space is available.
These hypotheses guide the comparative analysis between real observations and simulated regulatory compliant scenarios.
The M/M/1/1 (Erlang B) model with a single server and no waiting is used to model the system without a queue. This choice is based on the operational characteristics observed in a real environment. In the fieldwork, it was found that in no case did a vehicle wait for a space to unload. All of them sought an alternative solution if the chosen space was occupied. The LUZs do not support the formation of queues. When a vehicle arrives and the spaces are occupied, it does not wait, but is forced to leave the system and, either directly or after searching for an alternative area, double parks or illegally occupies public space, as reflected in the field study. This situation corresponds to a pure loss system, where rejected vehicles do not accumulate within the system but seek an alternative. The system assumes arrivals adjusted to the Poisson distribution, exponential service times, a single server, and no possibility of waiting. This approach allows not only the probability of loss to be calculated, but also the potential productivity and efficiency of the system to be estimated under different usage and control scenarios.
Research on LUZs in urban environments highlights the use of queueing models, especially the Erlang B model, as a key tool for managing congestion. This model, which is used in loss systems where vehicles that cannot find space leave the area without waiting, has proven effective in representing congestion scenarios in LUZs. Comi et al. 2017 [32] highlight that, in this type of system, the model contemplates queues or waiting times, which leads to increased urban congestion, and that the insufficient number of delivery bays results in inefficient parking practices, such as the improper occupation of other public spaces, Comi et al. 2022 [17]. This is similar to Letnik et al. 2020 [33]. However, the actual observation carried out in this study showed that almost all vehicles accessing the LUZ and finding it occupied sought an alternative location to carry out the operation, either another nearby area or an illegal occupation.
Therefore, although some studies insist that there is an explicit queue in LUZs, analysis of traffic flows and vehicle behaviour in real observation indicates that the system has a more complex dynamic, where vehicles recirculate. This behaviour highlights the need for more sophisticated models that integrate recirculation and other dynamic elements. In this regard, the present study has opted for the Erlang B model, as already indicated by Xiao et al. 2018 [34], which does not explicitly consider queues but, at the same time, recognises that vehicle flow patterns can be random and dynamic, justifying the inclusion of more complex models for future studies, Ochoa-Olan et al., 2021 [15].
The studies identified in the literature on queueing theory models use occupancy time and the number of loading and unloading bays within an area as service dispensers as variables. In line with the research outlined by Gil Gallego et al. (2025) [7], this study will use weighted occupancy time with a single service point, as the variability in the sizes of delivery vehicles makes it impossible to unambiguously assign a specific number of exact spaces to a LUZ. The weighted occupancy time (tp) is the ratio of the length of the vehicle to the length of the area, multiplied by the effective time of use. Example: the same zone may be occupied by three delivery vans or by two 3.5-tonne or 7.5-tonne lorries. The use of weighted occupancy time as a temporal variable already takes into account the spatial occupancy within the zone, so we can consider it as a single service point for the application of the Erlag B model.
This is the feature that most distinguishes it from other studies of queue theories, as it considers a single queue attention point with the time indicator weighted to the length of time the vehicle occupies the area.

3.4. Data Collection

Field data were collected through direct manual observation during all authorised time windows of each LUZ throughout May 2025. Observers recorded:
  • vehicle type and length
  • arrival and departure time
  • dwell time
  • whether the operation was legal, over time, or carried out by a private/unapproved vehicle
  • whether the vehicle abandoned the LUZ due to lack of space
  • illegal occupations outside the LUZ (double parking, blocking garages, pedestrian crossings, etc.)
Such detailed observation enables the computation of weighted occupation time, defined as the time adjusted by the percentage of zone length occupied by each vehicle. This metric allows one to model the zone as a single consolidated service point, despite heterogeneous vehicle lengths, and is central to the queuing framework chosen.
Observations revealed that almost all vehicles finding the LUZ occupied did not wait, but instead recirculated around the block to attempt another LUZ. This validates the assumption of no physical waiting line, a prerequisite for the Erlang B loss model.
The study was carried out through direct observation over the entire month of May 2025, recording all entries and exits from the selected LUZs. The month of May was selected as the observation period because it is representative of typical urban freight demand in Zaragoza. As demonstrated in our previous study (Gil Gallego et al., 2024) [7], May presents fully active commercial conditions aligned with the school calendar, no holiday disruptions, and stable hourly arrival patterns across weekdays. Moreover, analysis of intraday and interday ratios confirmed that the temporal distribution of vehicle arrivals remains highly consistent throughout the month, supporting its suitability for calibrating arrival rates and normalised operating times. These characteristics ensure that λ and μ estimated from this period are robust and not affected by seasonal or exceptional fluctuations. This empirical approach complements numerical modelling, following the recommendation of Ochoa-Olan et al. [15], who advocate for combining mathematical methods with observational evidence to obtain realistic assessments of logistics space utilization.

3.4.1. Experimental Scenarios

Six experimental configurations were analysed:
Scenario 1: Z1 (Arzobispo Doménech Street), real data collected
Scenario 2: Z1 (Arzobispo Doménech St.), idealized use compliant with regulations
Scenario 3: Z3 + Z4 + Z5 (Perpetuo Socorro Street), real data collected
Scenario 4: Z3 + Z4 + Z5 (Perp. Socorro St.), idealized use compliant with regulations
Scenario 5: Z1 + Z3 + Z4 + Z5 (entire block), real data collected
Scenario 6: Z1 + Z3 + Z4 + Z5 (entire block), idealized use compliant with regulations
The daily operating time was set at 6 h for zones Z1, Z4, and Z5, and 8 h for Z3 due to its greater length (18 m, equivalent to the sum of Z4 and Z5). When the zones were aggregated, the equivalent available time was normalized to 6.7 h/day, proportional to the total active length. This harmonization allows the estimation of arrival rates (λ), service rates (μ), and system utilization (ρ) in a comparable manner across all scenarios.
For clarity, the six scenarios analysed in this study correspond to two distinct types of configurations. Scenarios 1, 3 and 5 represent real-world operating conditions, based on the fieldwork observations collected throughout May 2025 in each respective spatial configuration (Z1; Z3 + Z4 + Z5; and the full block Z1 + Z3 + Z4 + Z5). Conversely, Scenarios 2, 4 and 6 correspond to simulated ideal compliance configurations, in which the same zones are evaluated under strict adherence to the municipal ordinance (authorised vehicles only and maximum dwell time respected), using the Erlang B loss model and weighted occupancy time. This distinction, real scenarios vs. simulated compliance scenarios, ensures that the analytical comparison directly reflects the practical implications of moving from the current conditions to a fully regulated operational environment.

3.4.2. Queuing Model Selection and Analytical Framework

Because no waiting line is physically formed and vehicles are rejected upon arrival if no space is available, the LUZs operate as loss systems. The Erlang B (M/M/c/c) model is therefore appropriate, representing:
  • Poisson arrivals
  • Exponential service times (approximated via weighted dwell time)
  • c parallel service channels (number of simultaneous vehicles allowed)
  • no buffer: rejected vehicles leave the system immediately.
The model computes the probability of loss (pB):
p B = ( 1 c ! ρ c ) Σ n = 0 c ( 1 n ! ρ n ) ,   q   =   λ μ  
where
  • λ = arrival rate (vehicles/hour)
  • μ = service rate = 1/weighted dwell time
  • q = offered traffic (Erlangs)
Each scenario was modelled as a queueing system using the M/M/1/1 model, where arrivals follow a Poisson distribution, service times are exponentially distributed, and the number of service channels is only one, for the reason explained above. The system assumes no waiting queue—vehicles unable to find space immediately must leave and reattempt later—making it suitable for evaluating urban loading bays with limited capacity.
Subsequently, the probability of loss (pB), system utilization (ρ), and number of vehicles effectively served were compared against empirical observations. This allowed us to quantify the externality generated by unserved vehicles, which in subsequent sections was associated with additional fuel consumption and CO2 emissions.
This analytical framework permits simulation of both real conditions and idealised regulatory compliant scenarios (authorised vehicles only; max 30 min dwell time), enabling direct comparison of loss, congestion, and space time productivity.

3.4.3. Conceptual Justification of the Erlang B Model and Comparison with Alternative Approaches

LUZs operate under conditions where no physical queue can form: when the curbside space is fully occupied, arriving vehicles immediately leave and recirculate through adjacent streets. This behaviour aligns with the definition of a loss system, where service denials occur whenever capacity is fully used. For this reason, the Erlang B (M/M/1/1) model provides an analytically coherent framework for representing curb-space reliability, the probability of service denial, and externalities arising from unserved arrivals, such as additional cruising, illegal parking, and increased emissions.
Alternative modelling approaches were considered but found unsuitable at this stage. M/M/c/c models assume multiple homogeneous service channels, which is inconsistent with heterogeneous vehicle lengths and the need to treat the LUZ as a consolidated service unit using weighted occupation time. Recirculation queue models explicitly represent feedback loops, but require detailed trajectory and speed data not available in the present field study. Network queueing models are designed for systems with interconnected buffers, whereas LUZs lack storage capacity. Microscopic simulation models (e.g., SUMO, MATSim) can replicate vehicle level interactions but require extensive calibration and are more appropriate for full-network analyses. For these reasons, Erlang B offers the most theoretically consistent first-order model for the observed system dynamics.

4. Results

This section will analyse and develop the models for the six scenarios and compare them with each other.

4.1. Scenario 1: Z1 All Vehicles According to Actual Observation

In this first analysis, all the steps will be detailed, but they will be omitted in the remaining five cases as they all use the same methodology.
Z1 is the only LUZ in the street in which it is located. The rate of vehicles arriving at the system attempting to unload in Z1 is 474 throughout the month, over the 21 days and 6 h per day of reservation. A total of 273 vehicles were able to find a space in the zone, including private vehicles illegally occupying the zone. The weighted occupancy time of these 273 vehicles in Z1 was 20.94 min.
The effective arrival rate to the system is:
λ   =   474 126   =   3.76   v e h i c l e s / h o u r
Each unloading operation lasts an average of 20.94 min, meaning that:
S e r v i c e   t i m e   p e r   v e h i c l e   =   20.94 60 =   0.35   h / v e h i c l e
Therefore, the service rate in the area is:
μ   = 1 0.35 =   2.87   v e h i c l e s / h o u r
Therefore, the intensity of traffic is:
q   =   λ μ   =   3.76 3.20   =   1.31
Since ρ > 1, the system is saturated, it is not viable without a queue, and therefore losses occur, resulting in double queues and illegal occupations. In the Erlang B model with c = 1, i.e., a single server with the weighted time of occupation of the entire area used as the time variable, this ρ, which is the traffic intensity, will be referred to as intensity in Erlangs.
Weighted occupancy time treats the curbside as a normalised single unit, where each vehicle contributes a share of its dwell time proportional to the fraction of curb length it occupies. A blocked state occurs when the remaining curb length is insufficient for the typical vehicle types observed, even if small free fragments remain. This approach preserves spatial realism while enabling analytical modelling through a single consolidated service channel.
Let us now consider the probability of loss or blockage in the area. The general formula for the Erlang B model is:
p B = ( 1 c ! ρ c ) Σ n = 0 c ( 1 n ! ρ n )
In our case, as there is only one service position, c = 1, it is as follows:
p B   =   q ( 1   +   ρ ) =   1.31 ( 1   +   1.31 ) =   0.5676
The interpretation of this result is that 56.76% of vehicles arriving at the LUZ do so when it is already occupied and therefore cannot be served. This value is independent of the actual number of vehicles observed and is based solely on the balance between the arrival rate and the service rate. If we compare the number of vehicles not served in the actual observation (474 − 273 = 201), we see that this is a rate of 42.4% compared to the model’s rate of 56.76% (0.5676 × 474 = 269 vehicles). The Erlang B model may overestimate the results as it is an idealised probabilistic model that assumes perfect randomness in arrivals and services (Poisson and exponential), when in reality vehicles arrive without a fixed pattern of arrival sequence. The model assumes that arrivals, according to the Poisson distribution, are constant, which is not the case, and that occupancy times follow an exponential distribution, in which, despite assuming randomness, the probability of a vehicle finishing unloading at a specific time t decreases exponentially as time increases, i.e., vehicles tend to be served faster on average, but the exact time needed for each vehicle to unload may vary, so this blocking probability for the Erlang B model does not provide us with reliable data, and we will now refer to the actual data collected in the field observation. Another reason why the blocking probability of this model loses validity is that using weighted occupancy time as a time variable leads the system to believe that, with only a single service point and a single occupancy, the system would be full, when there may be spaces available.
In terms of usage times for the area, compared to the total weighted available time of 7560 min, the weighted usage time for the area was:
273 veh × 20.94 min/veh = 5716.62 min, 75.62% time occupancy
The partial conclusions of this first case are that traffic intensity exceeds the system’s capacity threshold (ρ > 1), indicating that the system is at maximum capacity, generating high losses (42.4% in actual observation). The system is not viable without proper application of use, as disorderly use causes congestion, illegal occupation, and the loss of logistical efficiency.

4.2. Scenario 2: Z1 Without Access to LUZ from Unauthorised Private Vehicles and Considering a Maximum Time of 30 min per Authorised Vehicle Unloading Idealized Use Compliant with Regulations

This simulated case presents an ideal situation in which both access control for authorised vehicles and the time of use of the area are guaranteed. The data characterising this scenario are as follows:
Vehicles entering the system (excluding private vehicles): 381 vehicles/month
Vehicles served applying restrictions in LUZ: 182 vehicles/month
Weighted occupancy time (maximum 30 min per unloading): 9.65 min
Weighted available time: 21 days, daily 6 h, 13 min (Z1): 7560 min
Weighted time occupied in LUZ: daily 6 h, 13 min: 1756.30 min
% of weighted time occupied: 23.23%
Weighted free time in the zone: 3960.32 min
Using this data and following the same methodology as in the first case, the following results are obtained:
λ = 3.02 vehicles/hour
μ = 6.22 vehicles/hour
ρ = 0.49 Erlangs, Viable system as ρ < 1. There is no risk of collapse or saturation, as the system capacity exceeds the vehicle arrival rate.
In this idealised case of no entry into the LUZ by unauthorised private vehicles and no excess time spent in the zone by commercial vehicles, a weighted amount of occupancy time is freed up, which could be offset by a greater number of authorised vehicle occupations.
The weighted occupancy time freed up is then calculated:
Tliberated = Tunrestricted occupation − Toccupied with constraints
In the comparative case of the Z1:
Tliberated = (273 × 20.94 = 5716.62) − (182 × 9.65 = 1756.30) = 3960.32
Next, the weighted occupancy time per vehicle is calculated to obtain a standard weighted time for what would be a generic vehicle.
t   a v e r a g e   p e r   v e h = i ( t i × p i ) p i
where:
ti: time weighted by vehicle type
pi: percentage of that type out of the total number of authorised vehicles
Although the vehicle type distribution is shown here for Zone 1, field observation confirmed that the typology of vehicles is essentially the same across all LUZs analysed. Therefore, this table serves as a representative distribution for the entire study area, and repeating it for the remaining zones would introduce redundancy. The proportions were incorporated directly into the weighted occupation time calculations used in all scenarios.
In accordance with Table 3 below:
Therefore, the formula for new vehicles that could be serviced at LUZ would be:
N A d d i t i o n a l   v e h i c l e s = T   w e i g h t e d   l i b e r a t e d t   w e i g h t e d   a v e r a g e   p e r   v e h i c l e =   3960.32 9.35 =   423.63   additional   vehicles
In Z1, by correctly applying the rules of use, up to 423.63 additional vehicles could be served with the time freed up compared to those actually served in the saturation scenario. In other words, compared to the 381 authorised vehicles entering the system, under these control conditions, (273 + 423.63) 605.63 vehicles could be served, which means 332.62 more vehicles than the 273 that were served in the situation without correct use, a 121.84% increase.
The study is then redone with the new simulated data, in which the Erlang B model will provide us with the probability of blocking to validate whether all demand can be met.
Vehicles entering the system (excluding private vehicles): 381 vehicles/month
Vehicles served applying restrictions in LUZ: 606 vehicles/month
Excess vehicle availability in the area: 606 − 381 = 225 vehicles/month
Weighted occupancy time (maximum 30 min per unloading): 9.65 min
Weighted available time: 21 days, 6 h, 13 min daily (Z1): 7560 min
Weighted time occupied in LUZ: 6 h, 13 min daily: 5844.35 min
% of weighted time occupied: 77.31%
Using this data and following the same methodology as in the first case, the following results are obtained:
λ = 3.02 vehicles/hour
μ = 6.22 vehicles/hour
ρ = 0.49 Erlangs, Viable system as ρ < 1. There is no risk of collapse or saturation, as the system capacity exceeds the vehicle arrival rate.
pB = 0.3272
According to the probability suggested by the model, 124.66 vehicles, or 32.72% of those arriving, cannot be served, but this figure is lower than the 225 calculated as excess availability based on weighted time, so we can categorically state that by enforcing the established rules without exception, and without additional measures, all demand for commercial vehicles for loading and unloading in this area can be met.

4.3. Scenario 3: Z3 + Z4 + Z5 All Vehicles According to Actual Observation

Zones Z3, Z4, and Z5 are on the street parallel to the street where Z1 is located. To obtain the simulation comparison, we took the sum of the download data from the three zones and applied the methodology used in the previous cases:
Vehicles entering the system (including private vehicles): 810 vehicles/month
Vehicles served applying restrictions in LUZ: 678 vehicles/month
Weighted occupancy time (maximum 30 min per unloading): 21.23 min
Weighted available time: 21 days, 7.14 h daily (weighted by metres in the three zones), 36 m (Z3 + Z4 + Z5): 25,200 min
Weighted time occupied in LUZ: daily 7.14 h, 36 m: 14,393.94 min
% of weighted time occupied: 57.12%
Using this data and following the same methodology as in the first case, the following results are obtained:
λ = 5.40 vehicles/hour
μ = 2.83 vehicles/hour
ρ = 1.91 Erlangs, saturated system, not viable without a queue, resulting in losses that translate into double parking and illegal occupation.
As for the probability of blocking, we chose the actual observed data (132 vehicles, 16.30%), disregarding the probability offered by the pB model, which predicted a loss of 66.10% for the reasons stated above.
As in Section 4.1, the partial conclusions are that traffic intensity exceeds the system’s capacity threshold (ρ > 1). The system is not viable without restrictions, as disorderly use causes congestion, illegal occupation and loss of efficiency in goods unloading operations.

4.4. Scenario 4: Z3 + Z4 + Z5 Without Access to LUZ for Unauthorised Private Vehicles and Considering a Maximum Time of 30 min per Authorised Vehicle Unloading Idealized Use Compliant with Regulations

This simulated case presents an ideal situation in which both access control for authorised vehicles and the time of use of the area are guaranteed. The data characterising this scenario are as follows:
Vehicles entering the system (excluding private vehicles): 635 vehicles/month
Vehicles served applying restrictions in LUZ: 495 vehicles/month
Weighted occupancy time (maximum 30 min per unloading): 9.04 min
Weighted available time: 21 days, daily 7.14 h, 36 min (Z3 + Z4 + Z5): 25,200 min
Weighted time occupied in LUZ: daily 7.14 h, 36 min: 4474.80 min
% of weighted time occupied: 17.76%
Using this data and following the same methodology as in the first case, the following results are obtained:
λ = 4.24 vehicles/hour
μ = 6.64 vehicles/hour
ρ = 0.64 Erlangs, Viable system as ρ < 1. There is no risk of collapse or saturation, as the system capacity exceeds the vehicle arrival rate.
In this idealised case of no entry into the LUZ zone by unauthorised private vehicles and no excessive use of the zone by commercial vehicles, a weighted amount of occupancy time is freed up, which could be offset by a greater number of authorised vehicle occupations.
The weighted occupied time liberated is calculated:
Tliberated = Tunrestricted occupation − Toccupied with constraints
In the comparative case of Z3 + Z4 + Z5:
Tliberado = (678 × 21.23 = 14,393.94) − (495 × 9.04 = 4474.80) = 9919.14 min
Con un tiempo ponderado de ocupación por vehículo genérico calculado anteriormente de 9.35, se calcula el nuevo número de vehículos adicionales atendidos.
N A d d i t i o n a l   v e h i c l e s = T   w e i g h t e d   l i b e r a t e d t   w e i g h t e d   a v e r a g e   p e r   v e h i c l e =   9919.14   9.35 = 1061.04   additional   vehicles
In the set of street areas, Z3 + Z4 + Z5, by applying restrictions, up to 1061.04 additional vehicles could be served with the time freed up compared to those actually served in the saturation scenario. In other words, compared to the 635 authorised vehicles entering the system, under these control conditions, (495 + 1061.04) 1556.04 vehicles could be served, which means 878.04 more vehicles than the 678 served in the incorrect use situation, a 129.50% increase.
The study is then redone with the new simulated data, in which the Erlang B model will provide us with the probability of blocking to validate whether all demand can be met.
Vehicles entering the system (excluding private vehicles): 635 vehicles/month
Vehicles served applying restrictions in LUZ: 1556 vehicles/month
Excess vehicle availability in the area: 1556 − 635 = 921 vehicles/month
Weighted occupancy time (maximum 30 min per unloading): 9.04 min
Weighted available time: 21 days, daily 7.14 h, 36 m (Z3 + Z4 + Z5): 25,200 min
Weighted time occupied in LUZ: daily 7 h, 36 min: 14,066.62 min
% of weighted time occupied: 55.82%
Using this data and following the same methodology as in the first case, the following results are obtained:
λ = 4.24 vehicles/hour
μ = 6.64 vehicles/hour
ρ = 0.64 Erlangs, Viable system as ρ < 1. There is no risk of collapse or saturation, as the system capacity exceeds the vehicle arrival rate.
pB = 0.3895
According to the probability suggested by the model, 247.35 vehicles, or 38.95% of those arriving, will not be able to be served. But this figure is lower than the 921 calculated as excess availability based on weighted time, so we can categorically state that by enforcing the established rules without exception, and without additional measures, all commercial vehicle demand for loading and unloading in this area can be met.

4.5. Scenario 5: Z1 + Z3 + Z4 + Z5 All Vehicles According to Actual Observation

Z1 is now added to zones Z3, Z4 and Z5 to obtain the total number of zones in the block under study. To obtain the simulation comparison, we take the sum of the download data from the four zones and apply the methodology used in the previous cases:
Vehicles entering the system (including private vehicles): 1285 vehicles/month
Vehicles served applying restrictions in LUZ: 951 vehicles/month
Weighted occupancy time (maximum 30 min per unloading): 20.52 min
Weighted available time: 21 days, 6.87 h per day (weighted by metres in the four zones), 49 m (Z1 + Z3 + Z4 + Z5): 32,760 min
Weighted time occupied in LUZ: daily 6.87 h, 49 m: 19,514.52 min
% of weighted time occupied: 59.57%
Using this data and following the same methodology as in the first case, the following results are obtained:
λ = 8.91 vehicles/hour
μ = 2.92 vehicles/hour
ρ = 3.05 Erlangs, saturated system, not viable without a queue, resulting in losses that translate into double parking and illegal occupation.
As for the probability of blocking, we chose the actual observed data (334 vehicles, 25.99% of those accessing), disregarding the probability offered by the pB model, which predicted a loss of 75.29%, for the reasons stated above.
As in Section 4.1, the partial conclusions are that traffic intensity far exceeds the system’s capacity threshold (ρ > 1). The system is not viable without restrictions, as disorderly use causes congestion, illegal occupation and loss of efficiency in goods unloading operations.

4.6. Scenario 6: Z1 + Z3 + Z4 + Z5 Without Access to LUZ for Unauthorised Private Vehicles and Considering a Maximum Time of 30 min per Authorised Vehicle Unloading Idealized Use Compliant with Regulations

This simulated case presents an ideal situation in which both access control for authorised vehicles and the time of use of the area are guaranteed. The data characterising this scenario are as follows:
Vehicles entering the system (excluding private vehicles): 1016 vehicles/month
Vehicles served applying restrictions in LUZ: 677 vehicles/month
Weighted occupancy time (maximum 30 min per unloading): 8.94 min
Weighted available time: 21 days, daily 6.87 h, 49 min (Z1 + Z3 + Z4 + Z5): 32,760 min
Weighted time occupied in LUZ: daily 6.87 h, 49 min: 6052.38 min
% of weighted time occupied: 18.47%
Using this data and following the same methodology as in the first case, the following results are obtained:
λ = 7.04 vehicles/hour
μ = 6.71 vehicles/hour
ρ = 1.05 Erlangs, system slightly saturated as ρ > 1, at the limit of viability without queueing.
In this idealised case of no entry into the LUZ zone by unauthorised private vehicles and no excessive use of the zone by commercial vehicles, a weighted amount of occupancy time is freed up, which could be offset by a greater number of authorised vehicle occupations.
The weighted occupied time liberated is calculated:
Tliberated = Tunrestricted occupation − Toccupied with constraints
In the comparative case of Z1 + Z3 + Z4 + Z5:
Tliberated = (951 × 20.52 = 19,517.52) − (677 × 8.94 = 6052.38) = 13,462.14 min
Con un tiempo ponderado de ocupación por vehículo genérico calculado anteriormente de 9.35, se calcula el nuevo número de vehículos adicionales atendidos.
N A d d i t i o n a l   v e h i c l e s = T   w e i g h t e d   l i b e r a t e d t   w e i g h t e d   a v e r a g e   p e r   v e h i c l e =   13,462.14   9.35 = 1440.03   additional   vehicles
In the set of zones within the block, Z1 + Z3 + Z4 + Z5, by applying restrictions, up to 1440.03 additional vehicles could be served with the time freed up compared to those actually served in the saturation scenario. In other words, compared to the 1016 authorised vehicles entering the system, under these control conditions, (677 + 1440.03) 2117.03 vehicles could be served, which means 1166.03 more vehicles than the 951 served in the situation without restrictions, a 122.61% increase.
The study is then redone with the new simulated data, in which the Erlang B model will provide us with the probability of blocking to validate whether all demand can be met.
Vehicles entering the system (excluding private vehicles): 1016 vehicles/month
Vehicles served applying restrictions in LUZ: 2117 vehicles/month
Excess vehicle availability in the area: 2117 − 1016 = 1101 vehicles/month
Weighted occupancy time (maximum 30 min per unloading): 8.94 min
Weighted available time: 21 days, daily 6.87 h, 49 min (Z1 + Z3 + Z4 + Z5): 32,760 min
Weighted time occupied in LUZ: daily 6.87 h, 49 min: 18,926.28 min
% of weighted time occupied: 57.77%
Using this data and following the same methodology as in the first case, the following results are obtained:
λ = 7.04 vehicles/hour
μ = 6.71 vehicles/hour
ρ = 1.05 Erlangs, system slightly saturated as ρ > 1, at the limit of viability without queue.
pB = 0.5120
According to the probability suggested by the model, 520.22 vehicles, or 51.20% of those arriving, cannot be served, but this figure is lower than the 1101 calculated as excess availability based on weighted time, so we can categorically state that by enforcing the established rules without exception, and without additional measures, all commercial vehicle demand for loading and unloading in this area can be met.

4.7. Operational Interpretation

In this study, the analytical results obtained from the Erlang-B queueing model are complemented with an operational interpretation aimed at understanding the real behaviour of the LUZs. In this context, operational interpretation refers to the process of translating model-derived performance indicators, such as probability of loss, effective occupancy levels based on weighted time, and theoretical service capacity, into insights about how the zones actually function under real urban conditions. This approach allows us to determine whether observed inefficiencies arise from structural constraints (e.g., insufficient service capacity) or from behavioural factors (such as illegal parking, excessive dwell times, or noncompliance with municipal regulations). By linking analytical outputs to field observed patterns, the study provides a rigorous framework for assessing the operational state of each LUZ and for identifying the specific causes of congestion within the curbside freight environment.
Detailed analysis of data collected in the field reveals that the main cause of congestion is not only the number of available spaces, but also inefficient occupancy due to illegal parking and exceeded parking times. In Z1, the existence of a dark store opposite the area increases the turnover of PMV delivery vehicles and supply vans, generating highly concentrated peaks in demand. In contrast, in Z3–Z5, the lack of parking alternatives and the linear configuration of the road network encourage prolonged occupancy, which reduces effective availability.
The comparative study between scenarios ‘Z1 + Z3 + Z4 + Z5’ and ‘Z3 + Z4 + Z5’ showed a relative improvement in the use of total available time, as the number of active places increased and, with it, the capacity of the system. However, this improvement did not translate proportionally into a reduction in pB, suggesting that increasing the number of places does not guarantee greater efficiency without associated operational control.

4.8. Discussion of the Theoretical Model

The M/M/1/1 (Erlang B) model has proven adequate for estimating the average behaviour of the system when capacity is limited and there is no possibility of waiting. However, empirical results show that the actual distribution of arrivals does not strictly follow a Poisson distribution, but rather presents peaks and troughs associated with business hours and the concentration of deliveries in narrow time windows.
Therefore, the application of non-stationary or discrete event simulation models is proposed as a future line of research, which would allow the incorporation of actual hourly flow variability. However, the Erlang B model remains useful as a first-order reference for quantifying structural loss and establishing comparative scenarios between different zone configurations.
Overall, the results allow us to conclude that the current management of the LUZ selected for the study is functional but inefficient from an operational and environmental point of view, and that the application of some kind of usage control tool is a priority measure for improving sustainability and urban logistics competitiveness.

4.9. How to Comply with Municipal Regulations on Urban Goods Distribution

The simulation of scenarios is based on strict compliance with the rules for the use of LUZ in the city of Zaragoza. To achieve this compliance, the authors propose a tool for controlling loading and unloading spaces, mandatory for all professional drivers who wish to carry out unloading operations, which would allow manual registration using geolocation, without the need for physical sensors or cameras. The system would not allow private vehicles to enter and its use would be free of charge.
The system would allow control of the time spent in the zones, with a configurable limit (30 min by default), generating smart alerts to the driver when the end of the allowed time is approaching, to the police in case of exceeding it, and for the detection of repeat offences. The authorities would be able to view the vehicles present in each zone in real time, with access to a complete history of entries, exits, and violations. In addition, a heat map of occupancy would be available to facilitate further analysis and decision making. The entire system would strictly comply with the GDPR, collecting only the data required by law, and would allow the zone to be catalogued according to the OEE metric resulting from its activity.
The implementation of this control system would increase commercial vehicle turnover, reduce double parking and illegal occupation, and facilitate data-based management by public officials.
The solution could also categorise loading and unloading areas based on a new OEE that could be defined automatically with the data generated, as well as categorising delivery drivers according to their punctuality, as already mentioned by Gil Gallego et al. [7].

5. Discussion

Below are tables comparing the different scenarios, as well as graphs that aid in better understanding and discussion.
Table 4 shows the results of various scenarios in different loading and unloading zones (Z1, Z3 + Z4 + Z5) with different levels of restrictions. The data includes the number of vehicles arriving at the system, vehicles served, vehicles not served (percentage of illegal occupancy) and weighted occupancy times, both with and without restrictions. Each scenario analyses how restrictions on private vehicles and time overruns affect the operational efficiency of the zones. The values in the table reflect comparisons between different combinations of zones and restrictions, showing how access conditions and the duration of time in LUZs influence the occupancy of available spaces. The percentages indicate the variability in performance for each scenario and how policy changes affect overall efficiency.
Table 5 shows the results of the different scenarios related to the LUZs in Zaragoza. Each row shows the weighted total occupancy and usage times, as well as the percentage of effective occupancy and the estimated loss under the Erlang model, and the differences between theoretical and actual losses.
Table 6 presents the results of the different loading and unloading scenarios in the different scenarios, both with and without restrictions on private vehicles and time overruns. The results include total and weighted usage times, weighted usage percentage, and estimated loss based on the Erlang model, compared with the differences with the actual observed data.
Figure 3 shows that in scenarios involving incorrect use, more vehicles enter the system than can be handled, while in scenarios involving use in accordance with regulations, the capacity to handle commercial vehicles in the LUZ is sufficient and even oversized.
Figure 4 shows the traffic intensity; it is clear that in scenarios involving incorrect use, more vehicles enter the system than can be handled, while in scenarios involving use in accordance with regulations, the capacity to handle commercial vehicles in the LUZ is sufficient and even oversized.
The traffic intensity measured in Erlangs shows that unrestricted systems are not viable as they have >1, while scenarios with restrictions applied are below 1, even in the case of the sum of all areas, which is just at the limit of viability. The contrast between scenarios demonstrates that management and restriction measures are more effective than physically expanding the available space. Controlled scenarios manage to maintain traffic intensity at stable levels (ρ < 1), which guarantees service continuity and reduces the likelihood of illegal parking or operational blockages.
These results suggest the need to implement intelligent access control and dwell time systems. This would allow ρ to be kept within sustainable limits and prevent structural saturation of the urban loading and unloading system.
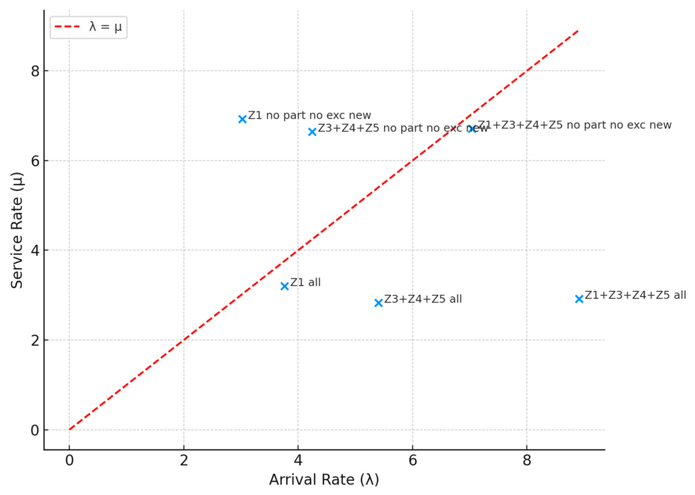
Figure 5 shows the relationship between the arrival rate and the service rate. The scatter plot shows that the points below the red line (λ = μ) represent situations where demand exceeds capacity and therefore there is saturation. The points above the line indicate that the system has sufficient margin to operate without congestion. The combined scenario for the two areas is right on the limit. Overall, the graph shows that the systems studied do not collapse from a mathematical point of view, but operate in regimes of relative inefficiency, where the potential service capacity (μ) does not translate into an equivalent increase in the number of vehicles served. This reinforces the hypothesis that improvement does not only involve increasing the number of spaces or the time available, but also implementing digital control and time traceability mechanisms that optimise the use of existing infrastructure.
Figure 6 shows the capacity to serve services versus the arrival rate by scenario, almost balancing in the joint case. The application of restrictions (Yes scenarios) produces a significant reduction in the arrival rate (λ), as non-professional vehicles or those with irregular behaviour are eliminated. At the same time, the service rate (μ) tends to increase or stabilise, which shows an improvement in the overall efficiency of the system: with less interference and greater turnover, the areas can handle a similar flow of vehicles in less time. The graph shows that the physical expansion of the system does not guarantee improved performance if it is not accompanied by regulatory and technological measures. In fact, the controlled reduction of non-essential traffic, simulated by the restrictions, leads to greater functional efficiency (lower ρ) and lower blocking losses (pB).
Figure 7 shows the weighted occupancy times: total versus occupied and released, in each scenario. The released times are those that give rise to the simulation of commercial vehicles that could be served in each LUZ scenario according to the weighted occupancy times of the weighted generic average of occupancy times by vehicle type. A significant portion of the reserved time is not used for actual logistics operations. This reflects structural inefficiencies resulting from improper occupancy, downtime, and a lack of controlled turnover.
When comparing the different groups of zones, it can be seen that increasing the operational area (from Z1 to Z3 + Z4 + Z5 and finally to the whole) increases the total available time, but not proportionally to the time of use. This finding confirms that the marginal efficiency decreases as the system expands, suggesting that improvements should focus more on optimisation and control than on capacity expansion.
The graph shows that access restriction and control policies would significantly improve the system’s temporal efficiency, reducing idle time and maximising the effective use of areas. From an urban management perspective, this reinforces the viability of implementing dynamic digital control tools capable of ensuring the rational use of LUZs and contributing to the sustainability of urban mobility.
A comparative analysis of the six scenarios shows that the joint enforcement of access restrictions and dwell time limits generates substantial efficiency gains in all spatial configurations. When moving from the observed situations (Sc1, Sc3, Sc5) to the regulated ones (Sc2, Sc4, Sc6), the Erlang-B blocking probability decreases by approximately 24–27 percentage points in each case (from 56.76% to 32.72% in Z1, from 65.65% to 38.95% in Z3 + Z4 + Z5, and from 75.29% to 51.20% in the whole block). These reductions represent relative improvements of around 30–40% in the probability of service denial without expanding the physical space of the LUZs. The largest absolute gain is obtained when the entire block is regulated coherently (Sc5 vs. Sc6), confirming that, at the block level, coordinated enforcement prevents the system from operating in structurally congested regimes and unlocks the latent capacity of existing bays. This can be seen in Figure 8:
Please note that the calculated capacities, especially in Scenarios 2, 4, and 6, represent the maximal potential throughput. These values correspond to theoretical upper bounds under the assumption of continuous arrival of authorized vehicles, without considering arrival randomness or operational inefficiencies. Thus, they should be understood as idealized scenarios and not as expected operational outcomes.

5.1. Contribution to the Research Gap Operational

The results of this study address a significant gap in the existing literature on curbside management and urban freight distribution. Previous research has extensively analysed the optimal allocation, spatial planning or regulatory design of LUZs, but far fewer studies have empirically examined how these zones operate under real demand conditions and how their performance changes when municipal regulations are strictly enforced. Furthermore, most analytical approaches assume the existence of physical queues or waiting behaviours, despite evidence that, in dense urban settings, vehicles immediately leave when no curbside space is available. This study contributes to filling this gap by providing a quantitative assessment of LUZ performance under both unrestricted and regulation-compliant operational scenarios, using a no-wait queuing model (Erlang B) combined with weighted occupation times.
Our findings demonstrate that non-compliant behaviour is the primary cause of system saturation, confirming that the presence of private vehicles and over time commercial operations drastically reduces effective capacity and leads to high loss rates. This validates empirically what many normative frameworks assume but seldom quantify: that curbside congestion arises not from insufficient infrastructure but from improper use. Conversely, the results also show that when municipal rules are followed, the available curbside space is fully capable of absorbing operational demand without collapsing, with loss probabilities falling sharply across all analysed configurations. This provides evidence-based confirmation that urban freight regulations, when effectively enforced, restore the functional efficiency of LUZs.
Moreover, while the literature recognises that recirculation behaviours create an implicit form of queuing, few studies have modelled this dynamic explicitly as a loss system. By applying weighted occupation time, this study introduces an operationally realistic parameter that accounts for heterogeneous vehicle sizes and enables the modelling of multiple zones as a single server equivalent. This methodological contribution extends the applicability of no-wait queuing models to complex urban environments and provides a framework for evaluating compliance-based efficiency gains at the zone, street and block level. In summary, the study provides empirical and modelling evidence that:
  • LUZ congestion is largely behavioural rather than structural
  • Regulation-compliant operation is sufficient to prevent system collapse
The Erlang B model is appropriate for systems where rejected vehicles recirculate rather than queue.
Together, these results advance the understanding of LUZ performance and offer a scientifically grounded framework for designing and evaluating curbside management policies.

5.2. Comparison with Existing Literature

The findings of this study align with and extend several strands of existing research on curbside management, urban logistics and the queuing-based modelling of freight activity in cities. Prior studies have highlighted that the primary source of congestion in LUZs is not the physical scarcity of space, but rather the improper use of dedicated curbside areas by unauthorised vehicles and inefficient dwell time patterns. This has been documented in empirical analyses by Jaller et al. (2013) [35], who show that private vehicle intrusion into freight zones significantly reduces operational capacity, and by Allen et al. (2018) [36], who report that excessive dwell times by commercial operators lead to spillover congestion affecting entire street segments. The present study corroborates these results by demonstrating, through a no-wait queuing model, that unrestricted use produces loss probabilities consistent with system overload.
Similarly, recent work on curbside regulation reinforces the relevance of enforcement and compliance. Alison et al. (2020) [37] show that when time limits and access restrictions are adhered to, the effective turnover of curbside spaces increases significantly. Our findings confirm this behaviour: when simulations incorporate only authorised vehicles and a maximum dwell time of 30 min, the LUZs in Zaragoza exhibit stable operating conditions across all configurations, validating the premise that proper compliance restores system efficiency.
The behaviour of vehicles when LUZs are full has also been discussed in the literature. While some studies assume physical queuing (e.g., Jaller et al., 2013 [35]), others acknowledge that urban delivery drivers do not wait but instead recirculate around the block, producing implicit queues and generating additional externalities (Marcucci et al., 2017 [38]; Castrellon et al., 2024 [39]). The present study provides empirical confirmation of this behaviour: no vehicles were observed forming a queue; instead, recirculation was the dominant pattern, reinforcing the appropriateness of loss models such as Erlang B.
From a modelling perspective, the use of weighted occupation time in this paper extends the applicability of classical queuing approaches by capturing the effect of heterogeneous vehicle sizes occupying different proportions of the LUZ. Previous studies have partially addressed vehicle heterogeneity (González-Feliu et al., 2011 [40]), but none have operationalised it within a queuing loss framework. Thus, the present work offers a methodological refinement that allows multiple, spatially dependent LUZs to be modelled as consolidated service units, enabling more realistic performance evaluation.
Overall, the findings reinforce and refine existing scholarly understanding by demonstrating that the primary determinant of congestion in urban LUZs is the improper or illegal use of these spaces, rather than an inherent deficit in their structural capacity. The empirical evidence further shows that strict compliance with municipal regulations, particularly regarding access restrictions and maximum dwell times, is sufficient to maintain the operational efficiency of LUZs that would otherwise exhibit systemic collapse under unregulated conditions. The modelling results additionally confirm that no-wait queueing systems such as the Erlang-B model are theoretically and empirically appropriate for urban freight contexts where vehicles recirculate in search of available space rather than forming traditional queues, thereby aligning with the field-observed behavioural patterns documented in previous studies. Moreover, the introduction of the weighted occupation metric constitutes a methodological advance that enhances the analytical representation of heterogeneous curbside use, enabling a more accurate assessment of space–time productivity in mixed-vehicle environments. Collectively, these contributions situate the present study within the broader scientific discourse on urban freight management and highlight the operational and policy relevance of compliance-based curbside management as an effective mechanism to reduce congestion, mitigate externalities, and support sustainable urban logistics.

5.3. Implications for Urban Logistics

The results obtained in this study have direct and substantive implications for the design and management of urban logistics systems. First, the evidence demonstrates that public policies governing curbside freight operations should prioritise access regulation and dwell time compliance rather than the structural expansion of LUZs. The marked reduction in system overload observed under the “ideal compliance” scenarios indicates that regulatory enforcement is a more effective lever than increasing curbside supply, a conclusion consistent with emerging research on demand-side management in urban freight distribution.
Second, the findings underscore the importance of robust enforcement and real-time control mechanisms. Since illegal use, both by unauthorised vehicles and authorised vehicles exceeding the permitted time, proved to be the primary driver of congestion, municipalities may significantly improve operational efficiency by integrating digital monitoring tools, automated alerts, and graduated enforcement schemes. Such mechanisms are aligned with the shift toward data-driven governance models already being adopted in leading European cities.
Third, the study provides quantitative evidence supporting the definition of rotation standards based on weighted occupation time rather than on nominal dwell time alone. By capturing the combined effect of vehicle size and stay duration, the weighted metric enables cities to design more precise performance indicators, allowing policymakers to tailor regulatory windows, pricing models, or access tiers depending on the heterogeneity of freight demand.
Fourth, the results highlight the potential for reducing negative externalities associated with urban freight movements. Illegal or unsuccessful attempts to use LUZs generate recirculation, double parking, and the obstruction of pedestrian and traffic flows. By demonstrating the operational viability of LUZs under proper compliance, this study provides a quantitative foundation for policies aimed at lowering emissions, reducing fuel consumption linked to recirculation loops, and improving safety in densely populated urban areas.
Finally, the modelling framework presented herein offers a scalable methodological approach for analysing curbside operations in other cities. The application of a no-wait queueing model (Erlang B) in combination with weighted occupation metrics provides a transferable blueprint for evaluating heterogeneous loading zones where vehicle recirculation replaces traditional queue formation. This framework can be adapted to diverse urban morphologies, regulatory regimes, and freight profiles, enabling comparative assessments and supporting evidence-based policy harmonisation across municipalities.
Although the present study focuses on the operational performance of LUZs using an empirical approach and an Erlang B loss system model, more advanced methodological frameworks, such as multi-objective optimisation, hybrid data knowledge approaches, and spatiotemporal demand modelling, represent promising extensions for future research. These techniques could enable a deeper integration of dynamic arrival patterns, systemic interactions between adjacent curbside assets, and the more complex optimisation of regulatory and design parameters, which were beyond the scope of the current manuscript but will be explored in subsequent studies.

5.4. Limitations of Model Assumptions

The analytical formulation adopted in this study relies on classical Erlang B assumptions, Poisson arrivals, exponential service times, and a single consolidated service channel based on weighted occupation time. These assumptions provide a tractable modelling framework consistent with the observed no waiting behaviour of LUZs; however, they introduce limitations. First, empirical arrivals may deviate from a homogeneous Poisson process due to temporal clustering and peak hour concentration. Second, service times exhibit heterogeneity related to vehicle type, delivery activity, and operator behaviour, which may diverge from an exponential distribution. Third, the weighted time aggregation treats the LUZ as a single normalised server, which can indicate a full state even when some physical curb length remains available but is insufficient for typical commercial vehicles. These issues do not invalidate the modelling approach but may result in the overestimation of blocking probabilities. A formal statistical validation of interarrival and service distributions, as well as sensitivity analyses of parameters λ and μ, constitute valuable extensions for future research.

6. Conclusions

This study has made it possible to characterise the actual functioning of four LUZs in the central area of Zaragoza, combining direct empirical observation with theoretical modelling using M/M/1/1 (Erlang B) queues. The results show that, although the physical and temporal capacity of the zones is sufficient in nominal terms, operational efficiency is compromised by misuse, excessive time and a lack of dynamic control, generating loss rates of over 30% during periods of peak demand.
The modelling approach adopted in this study relies on a single aggregated service point derived from the weighted occupation methodology. This abstraction represents a methodological simplification that enables consistent comparison across heterogeneous curbside configurations. However, this assumption constitutes a limitation of the study, as future research could incorporate multi-server or spatially explicit queueing models to represent the geometric and operational characteristics of each zone with greater fidelity. The probabilistic model for predicting loss or blockage indicates the moment when the area is occupied, regardless of whether or not there are spaces available in it. However, this limitation marks the most unfavourable point of occupancy, so in practice, the use of those metres not taken into account would always work in favour of the system’s capacity and never against it.
The study makes three main contributions. The main conclusion is that it is not necessary to expand the spaces or reservation times in the LUZs studied to meet the entire demand for loading and unloading capacity. It is simply necessary to strictly enforce the relevant municipal ordinances, something that does not happen in practice.
The second contribution has been to demonstrate that the M/M/1/1 Erlang B model of queueing theory without queues, supported in this work by the weighted time variable, which eliminates unauthorised private vehicles and limits the stay in the LUZ of commercial vehicles loading or unloading to 30 actual minutes, is sufficient to meet demand by zone and for the LUZ as a whole. Areas with incorrect use tend to collapse and generate externalities. The comparison between the theoretical results and the observed data reveals significant deviations. This phenomenon demonstrates that the assumption of homogeneous Poisson-type arrivals does not accurately reflect the operational reality, where deliveries are grouped into short and uneven periods. Despite this, the Erlang B model remains valid as a first-rate analytical tool for estimating structural service loss and evaluating improvement scenarios, compared to other studies that do consider queues or waiting times.
The third contribution, in response to non-compliance with regulations, is the proposal to develop a tool for managing LUZ, based on geolocation, time recording and automatic alerts. This tool would allow drivers to record their entry and exit in real time, and would provide municipal agents with a control panel to monitor occupancy, excesses and repeat offences. This system, complemented by an adaptation period and without the need for sensors or cameras, would reduce service losses, improve turnover and decrease the environmental impact of unnecessary traffic.
Future work should explore the integration of advanced multi-objective scheduling, spatiotemporal demand modelling, and urban structure analysis to extend our findings. Additionally, more complex models, such as recirculation networks and stochastic simulations, could further enhance the robustness and applicability of the proposed approach.
The study concludes that the three restrictions, one on access and two others that are temporary, should ensure proper compliance with LUZ management. It also aims to provide the city’s governance with an analysis methodology to improve LUZ management and therefore proposes, for future studies, incorporating a new indicator into the restrictions already established to aid decision making regarding the longitudinal impact of expanding or reducing LUZ and the associated environmental impact, thereby enabling the assessment of the impact that modifying them in terms of time windows or space dimensions would have on each area or group of areas, as well as the design approach of the control tool.

Author Contributions

Conceptualization, A.G.G. and M.P.L.C.; investigation, A.G.G. and M.P.L.C.; methodology, A.G.G. and M.P.L.C.; project administration, J.R.S. and J.C.S.C.; supervision, M.P.L.C., J.R.S. and P.M.A.; writing—original draft, A.G.G.; writing—review and editing, M.P.L.C. and P.M.A. All authors have read and agreed to the published version of the manuscript.

Funding

University of Zaragoza, VAT: ESQ5018001G. C/Pedro Cerbuna 12, 50009 Zaragoza, Spain.

Institutional Review Board Statement

Not applicable.

Informed Consent Statement

Not applicable.

Data Availability Statement

The data presented in this study are available on request from the corresponding author.

Conflicts of Interest

Authors Juan Carlos Sánchez Catalán and Paula Morella Avinzano were employed by the company Tecnalia. The remaining authors declare that the research was conducted in the absence of any commercial or financial relationships that could be construed as a potential conflict of interest.

Abbreviations

The following abbreviations are used in this manuscript:
UDGUrban Distribution of Goods
LUZLoading and Unloading Zones
OEEOverall Equipment Effectiveness
PMVPersonal Mobility Vehicles

References

  1. Ma, B.; Wong, Y.D.; Teo, C.C. Parcel Self-Collection for Urban Last-Mile Deliveries: A Review and Research Agenda with a Dual Operations-Consumer Perspective. Transp. Res. Interdiscip. Perspect. 2022, 16, 100719. [Google Scholar] [CrossRef]
  2. Ezquerro, S.; Moura, J.L.; Alonso, B. Illegal Use of Loading Bays and Its Impact on the Use of Public Space. Sustainability 2020, 12, 5915. [Google Scholar] [CrossRef]
  3. Alho, A.; de Abreu e Silva, J.; de Sousa, J.P. A State-of-the-Art Modeling Framework to Improve Congestion by Changing the Configuration/Enforcement of Urban Logistics Loading/Unloading Bays. Procedia-Soc. Behav. Sci. 2014, 111, 360–369. [Google Scholar] [CrossRef]
  4. Alho, A.R.; de Abreu e Silva, J. Modeling Retail Establishments’ Freight Trip Generation: A Comparison of Methodologies to Predict Total Weekly Deliveries. Transportation 2017, 44, 1195–1212. [Google Scholar] [CrossRef]
  5. Ghizzawi, F.; Galal, A.; Roorda, M.J. Modelling Parking Behaviour of Commercial Vehicles: A Scoping Review. Transp. Rev. 2024, 44, 743–765. [Google Scholar] [CrossRef]
  6. Muriel, J.E.; Zhang, L.; Fransoo, J.C.; Perez-Franco, R. Assessing the Impacts of Last Mile Delivery Strategies on Delivery Vehicles and Traffic Network Performance. Transp. Res. Part C Emerg. Technol. 2022, 144, 103915. [Google Scholar] [CrossRef]
  7. Gil Gallego, A.; Lambán, M.P.; Royo Sánchez, J.; Sánchez Catalán, J.C.; Morella Avinzano, P. Study and Characterization of New KPIs for Measuring Efficiency in Urban Loading and Unloading Zones Using the OEE (Overall Equipment Effectiveness) Model. Appl. Sci. 2025, 15, 7652. [Google Scholar] [CrossRef]
  8. Ayuntamiento de Zaragoza. Ordenanza de Movilidad Urbana de Zaragoza. Normativa; Ayuntamiento de Zaragoza: Zaragoza, Spain, 2020. [Google Scholar]
  9. Les, A.; Morella, P.; Lambán, M.P.; Royo, J.; Sánchez, J.C. A New Indicator for Measuring Efficiency in Urban Freight Transportation: Defining and Implementing the OEEM (Overall Equipment Effectiveness for Mobility). Appl. Sci. 2024, 14, 779. [Google Scholar] [CrossRef]
  10. Sun, S.; Bi, R.; Wang, Z.; Ji, Y. Loading and Unloading Points Identification Based on Freight Trajectory Big Data and Clustering Method. Promet-Traffic Transp. 2023, 35, 148–160. [Google Scholar] [CrossRef]
  11. Jazemi, R.; Alidadiani, E.; Ahn, K.; Jang, J. A Review of Literature on Vehicle Routing Problems of Last-Mile Delivery in Urban Areas. Appl. Sci. 2023, 13, 13015. [Google Scholar] [CrossRef]
  12. Pinto, R.; Lagorio, A.; Golini, R. The Location and Sizing of Urban Freight Loading/Unloading Lay-by Areas. Int. J. Prod. Res. 2019, 57, 83–99. [Google Scholar] [CrossRef]
  13. Jelen, G.; Podobnik, V.; Babic, J. Contextual Prediction of Parking Spot Availability: A Step towards Sustainable Parking. J. Clean. Prod. 2021, 312, 127684. [Google Scholar] [CrossRef]
  14. Muñuzuri, J.; Cuberos, M.; Abaurrea, F.; Escudero, A. Improving the Design of Urban Loading Zone Systems. J. Transp. Geogr. 2017, 59, 1–13. [Google Scholar] [CrossRef]
  15. Ochoa-Olán, J.d.J.; Betanzo-Quezada, E.; Romero-Navarrete, J.A. A Modeling and Micro-Simulation Approach to Estimate the Location, Number and Size of Loading/Unloading Bays: A Case Study in the City of Querétaro, Mexico. Transp. Res. Interdiscip. Perspect. 2021, 10, 100400. [Google Scholar] [CrossRef]
  16. Dalla Chiara, G.; Cheah, L. Data Stories from Urban Loading Bays. Eur. Transp. Res. Rev. 2017, 9, 50. [Google Scholar] [CrossRef]
  17. Comi, A.; Moura, J.L.; Ezquerro, S. A Methodology for Assessing the Urban Supply of On-Street Delivery Bays. Green Energy Intell. Transp. 2022, 1, 100024. [Google Scholar] [CrossRef]
  18. Abhishek; Legros, B.; Fransoo, J.C. Performance Evaluation of Stochastic Systems with Dedicated Delivery Bays and General On-Street Parking. Transp. Sci. 2021, 55, 1070–1087. [Google Scholar] [CrossRef]
  19. Legros, B.; Fransoo, J.C. Admission and Pricing Optimization of On-Street Parking with Delivery Bays. Eur. J. Oper. Res. 2024, 312, 138–149. [Google Scholar] [CrossRef]
  20. Alho, A.R.; de Abreu e Silva, J.; de Sousa, J.P.; Blanco, E. Improving Mobility by Optimizing the Number, Location and Usage of Loading/Unloading Bays for Urban Freight Vehicles. Transp. Res. Part D Transp. Environ. 2018, 61, 3–18. [Google Scholar] [CrossRef]
  21. Wilson, M.; Janjevic, M.; Winkenbach, M. Modeling a Time-Differentiated Policy for Management of Loading Bays in Urban Areas. Res. Transp. Bus. Manag. 2022, 45, 100773. [Google Scholar] [CrossRef]
  22. CITYlogin. CITYlogin Inaugura en Zaragoza un Microhub Para el Reparto Urbano Sostenible; Diario del Puerto: Zaragoza, Spain, 2022. [Google Scholar]
  23. Redacción BDM. Prueba Piloto de Los Primeros Robots Autónomos de Reparto En Zaragoza. Big Data Magazine, 17 August 2022. [Google Scholar]
  24. Caravia, S. Zaragoza, Epicentro de la Nueva Movilidad Con El Proyecto Digizity; Avanza Grupo: Zaragoza, Spain, 2022. [Google Scholar]
  25. DGT; Ministerio del Interior. VI Encuentro de Ciudades En Zaragoza, Ciudades 2030; Dirección General de Tráfico (DGT): Zaragoza, Spain, 2021.
  26. DGT; Ministerio del Interior. Zaragoza Acoge la VI Edición Del Encuentro de Ciudades Organizado Por la Dirección General de Tráfico; Dirección General de Tráfico (DGT): Zaragoza, Spain, 2021.
  27. Turrubia, M. UrbanDUM 4.0 Fase 2: Distribución Urbana, Inteligente y Sostenible de Mercancías; ALIA—Clúster Logístico Aragón: Zaragoza, Spain, 2025. [Google Scholar]
  28. Ayuntamiento de Zaragoza. Revisión Del Plan de Movilidad Urbana Sostenible de Zaragoza; Ayuntamiento de Zaragoza: Zaragoza, Spain, 2019. [Google Scholar]
  29. Ayuntamiento de Zaragoza. Datos Abiertos. Gobierno Abierto; Ayuntamiento de Zaragoza: Zaragoza, Spain, 2018. [Google Scholar]
  30. Ayuntamiento de Zaragoza. Reserva de Espacios Para Carga y Descarga. Datos Abiertos; Ayuntamiento de Zaragoza: Zaragoza, Spain, 2025. [Google Scholar]
  31. ORDENANZA_MOVILIDAD_URBANA_def., 2018. Available online: https://www.zaragoza.es/sede/servicio/normativa/13296 (accessed on 16 December 2025).
  32. Comi, A.; Buttarazzi, B.; Schiraldi, M.M.; Innarella, R.; Varisco, M.; Rosati, L. DynaLOAD: A Simulation Framework for Planning, Managing and Controlling Urban Delivery Bays. In Proceedings of the Transportation Research Procedia, Istanbul, Turkey, 5–7 September 2016; Elsevier: Amsterdam, The Netherlands, 2017; Volume 22, pp. 335–344. [Google Scholar]
  33. Letnik, T.; Mencinger, M.; Peruš, I. Flexible Assignment of Loading Bays for Efficient Vehicle Routing in Urban Last Mile Delivery. Sustainability 2020, 12, 7500. [Google Scholar] [CrossRef]
  34. Xiao, J.; Lou, Y.; Frisby, J. How Likely Am I to Find Parking?—A Practical Model-Based Framework for Predicting Parking Availability. Transp. Res. Part B Methodol. 2018, 112, 19–39. [Google Scholar] [CrossRef]
  35. Jaller, M.; Holguín-Veras, J.; Hodge, S. Parking in the City. Transp. Res. Rec. 2013, 2379, 46–56. [Google Scholar] [CrossRef]
  36. Allen, J.; Piecyk, M.; Piotrowska, M.; McLeod, F.; Cherrett, T.; Ghali, K.; Nguyen, T.; Bektas, T.; Bates, O.; Friday, A.; et al. Understanding the Impact of E-Commerce on Last-Mile Light Goods Vehicle Activity in Urban Areas: The Case of London. Transp. Res. D Transp. Environ. 2018, 61, 325–338. [Google Scholar] [CrossRef]
  37. Conway, A.; Wang, X.; Chen, Q.; Schmid, J. Freight Costs at the Curbside; Final Report; The City College of New York Rensselaer Polytechnic Institute: Troy, NY, USA, 2016. [Google Scholar]
  38. Marcucci, E.; Gatta, V.; Marciani, M.; Cossu, P. Measuring the Effects of an Urban Freight Policy Package Defined via a Collaborative Governance Model. Res. Transp. Econ. 2017, 65, 3–9. [Google Scholar] [CrossRef]
  39. Castrellon, J.P.; Sanchez-Diaz, I. Effects of Freight Curbside Management on Sustainable Cities: Evidence and Paths Forward. Transp. Res. D Transp. Environ. 2024, 130, 104165. [Google Scholar] [CrossRef]
  40. Gonzalez-Feliu, J.; Morana, J. Collaborative Transportation Sharing. In Technologies for Supporting Reasoning Communities and Collaborative Decision Making; IGI Global: Hershey, PA, USA, 2011; pp. 252–271. [Google Scholar]
Figure 1. Distribution of vehicle occupancy status by zone.
Figure 1. Distribution of vehicle occupancy status by zone.
Applsci 16 00100 g001
Figure 2. Aerial view of the area where the five zones are located (zone 2 excluded).
Figure 2. Aerial view of the area where the five zones are located (zone 2 excluded).
Applsci 16 00100 g002
Figure 3. Vehicles entering vs. attended by scenario.
Figure 3. Vehicles entering vs. attended by scenario.
Applsci 16 00100 g003
Figure 4. Traffic intensity.
Figure 4. Traffic intensity.
Applsci 16 00100 g004
Figure 5. Scatter Plot: Arrival Rate vs. Service Rate.
Figure 5. Scatter Plot: Arrival Rate vs. Service Rate.
Applsci 16 00100 g005
Figure 6. Arrival vs. Service Rate: With vs. Without Restrictions.
Figure 6. Arrival vs. Service Rate: With vs. Without Restrictions.
Applsci 16 00100 g006
Figure 7. Comparison of Total, Used and Saved Time per Scenario.
Figure 7. Comparison of Total, Used and Saved Time per Scenario.
Applsci 16 00100 g007
Figure 8. Comparison of Blocking Probability (Erlang Loss). Red line: observed (real). Blue line: regulated (simulated).
Figure 8. Comparison of Blocking Probability (Erlang Loss). Red line: observed (real). Blue line: regulated (simulated).
Applsci 16 00100 g008
Table 1. Detail of occupations by status during the period.
Table 1. Detail of occupations by status during the period.
ZoneIllegalIllegal ExceededIllegal Private VehicleLegal LUZTotal
Zone 12011009182474
Zone 3 166122124412
Zone 48893951187
Zone 5124421431211
Total4824363103541.582
Table 2. Characteristics of each street and each zone.
Table 2. Characteristics of each street and each zone.
ZoneLength ZoneStreet Width (Lanes)Parking TypeReservation TimeReservation Hours
Zone 1131 with double widthFree9–12/14–176
Zone 2106 lanesRegulated8–113
Zone 318One lineFree7–12/14–178
Zone 410One lineFree9–12/14–176
Zone 58One lineFree9–12/14–176
Table 3. Weighted occupancy time by vehicle type.
Table 3. Weighted occupancy time by vehicle type.
Vehicle Type%tpGlobal
Light Truck 7.5 Tn211.66%13.800.23
Chassis Cab 3.5 Tn14811.70%11.231.31
Large Volume Van947.43%10.830.80
Small Van48138.02%8.583.26
Delivery Van52141.19%9.083.74
Total1.265 9.35
Table 4. Arrival data, ratios, and weighted times.
Table 4. Arrival data, ratios, and weighted times.
Set of ZonesVehicle ArrivalsVehicles ServicedVehicles LostActual Loss %Arrival RateWeighted Time in LUZService RateLoad Factor
Sc 1: Z1 all47427320142.41%3.7620.942.871.31
Sc 2 aux: Z1 with no part no exc38118219952.23%3.029.656.220.49
Sc 2: Z1 with no part no exc new381605−225−58.96%3.029.656.220.49
Sc 3: Z3 + Z4 + Z5 all81067813216.30%5.4021.232.831.91
Sc 4 aux: Z3 + Z4 + Z5 with no part no exc63549514022.05%4.249.046.640.64
Sc 4: Z3 + Z4 + Z5 with no part no exc new6351.556−921−145.05%4.249.046.640.64
Sc 5: Z1 + Z3 + Z4 + Z5 all1.28595133425.99%8.9120.522.923.05
Sc 6 aux: Z1 + Z3 + Z4 + Z5 with no part no exc1.01667733933.37%7.048.946.711.05
Sc 6: Z1 + Z3 + Z4 + Z5 with no part no exc new1.0162.117−1.101−108.37%7.048.946.711.05
Table 5. Weighted times and estimated losses.
Table 5. Weighted times and estimated losses.
Set of ZonesWeighted TWeighted T Usage% T Usage% Erlang LossEstimated LossDifference from Actual
Sc 1: Z1 all7.5605.71775.62%56.76%269.06
Sc 2 aux: Z1 with no part no exc7.5601.75623.23%32.72%124.66
Sc 2: Z1 with no part no exc new7.5605.84477.31%32.72%124.6699.97
Sc 3: Z3 + Z4 + Z5 all25.20014.39457.12%65.65%531.79
Sc 4 aux: Z3 + Z4 + Z5 with no part no exc25.2004.47517.76%38.95%247.35
Sc 4: Z3 + Z4 + Z5 with no part no exc new25.20014.06755.82%38.95%247.35673.69
Sc 5: Z1 + Z3 + Z4 + Z5 all32.76019.51559.57%75.29%967.42
Sc 6 aux: Z1 + Z3 + Z4 + Z5 with no part no exc32.7606.05218.47%51.20%520.22
Sc 6: Z1 + Z3 + Z4 + Z5 with no part no exc new32.76018.92657.77%51.20%520.22580.81
Table 6. Weighted time released and new capacity.
Table 6. Weighted time released and new capacity.
Set of ZonesWeighted Time ReleasedAdditional VehiclesNew CapacityCapacity IncreaseIncrease in %
Sc 1: Z1 all
Sc 2 aux: Z1 with no part no exc3.960424606333121.84%
Sc 2: Z1 with no part no exc new
Sc 3: Z3 + Z4 + Z5 all
Sc 4 aux: Z3 + Z4 + Z5 with no part no exc9.9191.0611.556878129.50%
Sc 4: Z3 + Z4 + Z5 with no part no exc new
Sc 5: Z1 + Z3 + Z4 + Z5 all
Sc 6 aux: Z1 + Z3 + Z4 + Z5 with no part no exc13.4621.4402.1171.166122.61%
Sc 6: Z1 + Z3 + Z4 + Z5 with no part no exc new
Disclaimer/Publisher’s Note: The statements, opinions and data contained in all publications are solely those of the individual author(s) and contributor(s) and not of MDPI and/or the editor(s). MDPI and/or the editor(s) disclaim responsibility for any injury to people or property resulting from any ideas, methods, instructions or products referred to in the content.

Share and Cite

MDPI and ACS Style

Gil Gallego, A.; Lambán Castillo, M.P.; Royo Sánchez, J.; Sánchez Catalán, J.C.; Avinzano, P.M. Evaluation of Loading and Unloading Zones Through Dynamic Occupancy Scenario Simulation Aligned with Municipal Ordinances in Urban Freight Distribution. Appl. Sci. 2026, 16, 100. https://doi.org/10.3390/app16010100

AMA Style

Gil Gallego A, Lambán Castillo MP, Royo Sánchez J, Sánchez Catalán JC, Avinzano PM. Evaluation of Loading and Unloading Zones Through Dynamic Occupancy Scenario Simulation Aligned with Municipal Ordinances in Urban Freight Distribution. Applied Sciences. 2026; 16(1):100. https://doi.org/10.3390/app16010100

Chicago/Turabian Style

Gil Gallego, Angel, María Pilar Lambán Castillo, Jesús Royo Sánchez, Juan Carlos Sánchez Catalán, and Paula Morella Avinzano. 2026. "Evaluation of Loading and Unloading Zones Through Dynamic Occupancy Scenario Simulation Aligned with Municipal Ordinances in Urban Freight Distribution" Applied Sciences 16, no. 1: 100. https://doi.org/10.3390/app16010100

APA Style

Gil Gallego, A., Lambán Castillo, M. P., Royo Sánchez, J., Sánchez Catalán, J. C., & Avinzano, P. M. (2026). Evaluation of Loading and Unloading Zones Through Dynamic Occupancy Scenario Simulation Aligned with Municipal Ordinances in Urban Freight Distribution. Applied Sciences, 16(1), 100. https://doi.org/10.3390/app16010100

Note that from the first issue of 2016, this journal uses article numbers instead of page numbers. See further details here.

Article Metrics

Article metric data becomes available approximately 24 hours after publication online.
Back to TopTop