Monitoring Water Area Dynamics in Kashgar (2003–2023) Using Multi-Source Remote Sensing Data
Abstract
1. Introduction
2. Materials and Methods
2.1. Study Area
2.2. Data
2.2.1. Landsat Satellite Imagery
2.2.2. Sentinel-2 Satellite Imagery
2.2.3. Other Data
2.3. Methods
2.3.1. Water Body Extraction
2.3.2. Data Analysis Methods
2.4. Accuracy Assessment
3. Results and Analysis
3.1. Accuracy Evaluation Analysis
3.2. Temporal Characteristics of Annual Water Area Changes in the Kashgar Region
3.3. Spatial Patterns of Water Area Changes in the Kashgar Region
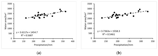
3.4. Drivers of Water Body Area Change in the Kashgar Region
4. Discussion
4.1. Water Extraction Methodologies in the Kashgar Region
4.2. Socioeconomic Influences on Water Area Dynamics in Kashgar
4.3. Uncertainties of This Study
5. Conclusions
Author Contributions
Funding
Institutional Review Board Statement
Informed Consent Statement
Data Availability Statement
Conflicts of Interest
References
- Zhang, Y.; Li, C.; Chiew, F.H.S.; Post, D.A.; Zhang, X.; Ma, N.; Tian, J.; Kong, D.; Leung, L.R.; Yu, Q.; et al. Southern Hemisphere dominates recent decline in global water availability. Science 2023, 382, 579–584. [Google Scholar] [CrossRef] [PubMed]
- Carroll, M.L.; Townshend, J.R.; DiMiceli, C.M.; Noojipady, P.; Sohlberg, R.A. A new global raster water mask at 250 m resolution. Int. J. Digit. Earth 2009, 2, 291–308. [Google Scholar] [CrossRef]
- Cole, J.J.; Prairie, Y.T.; Caraco, N.F.; McDowell, W.H.; Tranvik, L.J.; Striegl, R.G.; Duarte, C.M.; Kortelainen, P.; Downing, J.A.; Middelburg, J.J.; et al. Plumbing the global carbon cycle: Integrating inland waters into the terrestrial carbon budget. Ecosystems 2007, 10, 172–185. [Google Scholar] [CrossRef]
- Wada, Y.; van Beek, L.P.H.; Viviroli, D.; Dürr, H.H.; Weingartner, R.; Bierkens, M.F.P. Global monthly water stress 2: Water demand and severity of water stress. Water Resour. Res. 2011, 47, W07518. [Google Scholar] [CrossRef]
- Pekel, J.-F.; Cottam, A.; Gorelick, N.; Belward, A.S. High-resolution mapping of global surface water and its long-term changes. Nature 2016, 540, 418–422. [Google Scholar] [CrossRef]
- Zou, Z.; Xiao, X.; Dong, J.; Qin, Y.; Doughty, R.B.; Menarguez, M.A.; Zhang, G.; Wang, J. Divergent trends of open-surface water body area in the contiguous United States from 1984 to 2016. Proc. Natl. Acad. Sci. USA 2018, 115, 3810–3815. [Google Scholar] [CrossRef]
- Wang, C.; Jia, M.; Chen, N.; Wang, W. Long-term surface water dynamics analysis based on landsat imagery and the Google Earth Engine platform: A case study in the middle Yangtze River Basin. Remote Sens. 2018, 10, 1635. [Google Scholar] [CrossRef]
- Deng, Y.; Jiang, W.; Tang, Z.; Ling, Z.; Wu, Z. Long-term changes of open-surface water bodies in the Yangtze River basin based on the Google Earth Engine cloud platform. Remote Sens. 2019, 11, 2213. [Google Scholar] [CrossRef]
- Han, Q.; Niu, Z. Construction of the long-term global surface water extent dataset based on water-NDVI spatio-temporal parameter set. Remote Sens. 2020, 12, 2675. [Google Scholar] [CrossRef]
- Huang, W.; Duan, W.; Nover, D.; Sahu, N.; Chen, Y. An integrated assessment of surface water dynamics in the Irtysh River Basin during 1990–2019 and exploratory factor analyses. J. Hydrol. 2021, 593, 125905. [Google Scholar] [CrossRef]
- Li, K.; Wang, J.; Cheng, W.; Wang, Y.; Zhou, Y.; Altansukh, O. Deep learning empowers the Google Earth Engine for automated water extraction in the Lake Baikal Basin. Int. J. Appl. Earth Obs. Geoinf. 2022, 112, 102928. [Google Scholar] [CrossRef]
- Olthof, I.; Fraser, R.H. Mapping surface water dynamics (1985–2021) in the Hudson Bay Lowlands, Canada using sub-pixel Landsat analysis. Remote Sens. Environ. 2024, 300, 113895. [Google Scholar] [CrossRef]
- Feng, L.; Hu, C.; Chen, X.; Li, R. Satellite observations make it possible to estimate Poyang Lake’s water budget. Environ. Res. Lett. 2011, 6, 044023. [Google Scholar] [CrossRef]
- Hall, J.W.; Grey, D.; Garrick, D.; Fung, F.; Brown, C.; Dadson, S.J.; Sadoff, C.W. Coping with the curse of freshwater variability. Science 2014, 346, 429–430. [Google Scholar] [CrossRef] [PubMed]
- Zhang, G.; Xie, H.; Yao, T.; Kang, S. Water balance estimates of ten greatest lakes in China using ICESat and Landsat data. Chin. Sci. Bull. 2013, 58, 3815–3829. [Google Scholar] [CrossRef]
- Xifeng, J.; Junling, H.; Qi, Z.; Saitiniyazi, A. Evolution pattern and driving mechanism of eco-environmental quality in arid oasis belt—A case study of oasis core area in Kashgar Delta. Ecol. Indic. 2023, 154, 110866. [Google Scholar] [CrossRef]
- Mamat, A.; Halik, Ü.; Rouzi, A. Variations of ecosystem service value in response to land-use change in the Kashgar Region, Northwest China. Sustainability 2018, 10, 200. [Google Scholar] [CrossRef]
- Li, X.; Xia, G.; Lin, T.; Xu, Z.; Wang, Y. Construction of Urban Green Space Network in Kashgar City, China. Land 2022, 11, 1826. [Google Scholar] [CrossRef]
- Lin, J.; Lei, J.; Yang, Z.; Li, J. Differentiation of rural development driven by natural environment and urbanization: A case study of Kashgar Region, Northwest China. Sustainability 2019, 11, 6859. [Google Scholar] [CrossRef]
- Wang, B.; Li, S.; Ge, Y. Numerical Simulation of the Lower and Middle Reaches of the Yarkant River (China) Using MIKE SHE. Water 2023, 15, 2492. [Google Scholar] [CrossRef]
- Pang, Z.; Wang, J.; Mamat, A.; Liu, Y.; Long, X. The Impact of External Factors on The Evolution Characteristics of Net Primary Productivity of Vegetation in the Kashi Region. Pol. J. Environ. Stud. 2024, 33, 5249–5262. [Google Scholar] [CrossRef]
- Wang, X.; Xiao, X.; Zou, Z.; Dong, J.; Qin, Y.; Doughty, R.B.; Menarguez, M.A.; Chen, B.; Wang, J.; Ye, H.; et al. Gainers and losers of surface and terrestrial water resources in China during 1989–2016. Nat. Commun. 2020, 11, 3471. [Google Scholar] [CrossRef]
- Wang, Y.; Xia, T.; Shataer, R.; Zhang, S.; Li, Z. Analysis of characteristics and driving factors of land-use changes in the Tarim River Basin from 1990 to 2018. Sustainability 2021, 13, 10263. [Google Scholar] [CrossRef]
- Vermote, E.; Justice, C.; Claverie, M.; Franch, B. Preliminary analysis of the performance of the Landsat 8/OLI land surface reflectance product. Remote Sens. Environ. 2016, 185, 46–56. [Google Scholar] [CrossRef]
- Xiang, S.; Nie, F.; Zhang, C. Learning a Mahalanobis distance metric for data clustering and classification. Pattern Recognit. 2008, 41, 3600–3612. [Google Scholar] [CrossRef]
- Parr, W.C.; Schucany, W.R. Minimum distance and robust estimation. J. Am. Stat. Assoc. 1980, 75, 616–624. [Google Scholar] [CrossRef]
- Cox, I.J.; Hingorani, S.L.; Rao, S.B.; Maggs, B.M. A maximum likelihood stereo algorithm. Comput. Vis. Image Underst. 1996, 63, 542–567. [Google Scholar] [CrossRef]
- Pisner, D.A.; Schnyer, D.M. Support vector machine. In Machine Learning; Academic Press: Cambridge, MA, USA, 2020; pp. 101–121. [Google Scholar]
- Rigatti, S.J. Random forest. J. Insur. Med. 2017, 47, 31–39. [Google Scholar] [CrossRef]
- McFeeters, S.K. The use of the Normalized Difference Water Index (NDWI) in the delineation of open water features. Int. J. Remote Sens. 1996, 17, 1425–1432. [Google Scholar] [CrossRef]
- Galvão, L.S.; dos Santos, J.R.; Roberts, D.A.; Breunig, F.M.; Toomey, M.; de Moura, Y.M. On intra-annual EVI variability in the dry season of tropical forest: A case study with MODIS and hyperspectral data. Remote Sens. Environ. 2011, 115, 2350–2359. [Google Scholar] [CrossRef]
- Ahmed, S.M. Assessment of irrigation system sustainability using the Theil–Sen estimator of slope of time series. Sustain. Sci. 2014, 9, 293–302. [Google Scholar] [CrossRef]
- Gocic, M.; Trajkovic, S. Analysis of changes in meteorological variables using Mann-Kendall and Sen’s slope estimator statistical tests in Serbia. Glob. Planet. Change 2013, 100, 172–182. [Google Scholar] [CrossRef]
- Hamed, K. Exact distribution of the Mann–Kendall trend test statistic for persistent data. J. Hydrol. 2009, 365, 86–94. [Google Scholar] [CrossRef]
- Yue, S.; Wang, C.Y. Applicability of prewhitening to eliminate the influence of serial correlation on the Mann-Kendall test. Water Resour. Res. 2002, 38, 4-1–4-7. [Google Scholar] [CrossRef]
- Ghosh, A.K.; Probal, C.; Sengupta, D. Classification using kernel density estimates: Multiscale analysis and visualization. Technometrics 2006, 48, 120–132. [Google Scholar] [CrossRef]
- Qi, S.; Brown, D.G.; Tian, Q.; Jiang, L.; Zhao, T.; Bergen, K.M. Inundation extent and flood frequency mapping using LANDSAT imagery and digital elevation models. GIScience Remote Sens. 2009, 46, 101–127. [Google Scholar] [CrossRef]
- Olthof, I. Mapping seasonal inundation frequency (1985–2016) along the St-John River, New Brunswick, Canada using the Landsat archive. Remote Sens. 2017, 9, 143. [Google Scholar] [CrossRef]
- Brovelli, M.A.; Molinari, M.E.; Hussein, E.; Chen, J.; Li, R. The first comprehensive accuracy assessment of GlobeLand30 at a national level: Methodology and results. Remote Sens. 2015, 7, 4191–4212. [Google Scholar] [CrossRef]
- Stehman, S. Estimating the kappa coefficient and its variance under stratified random sampling. Photogramm. Eng. Remote Sens. 1996, 62, 401–407. [Google Scholar]
- Czaplewski, R.L.; Catts, G.P. Calibration of remotely sensed proportion or area estimates for misclassification error. Remote Sens. Environ. 1992, 39, 29–43. [Google Scholar] [CrossRef]
- Olofsson, P.; Arévalo, P.; Espejo, A.B.; Green, C.; Lindquist, E.; McRoberts, R.E.; Sanz, M.J. Mitigating the effects of omission errors on area and area change estimates. Remote Sens. Environ. 2020, 236, 111492. [Google Scholar] [CrossRef]
- Congalton, R.G. A review of assessing the accuracy of classifications of remotely sensed data. Remote Sens. Environ. 1991, 37, 35–46. [Google Scholar] [CrossRef]
- Aronoff, S. Classification accuracy: A user approach. Photogramm. Eng. Remote Sens. 1982, 48, 1299–1307. [Google Scholar]
- Maimaitiaili, A.; Aji, X.; Matniyaz, A.; Kondoh, A. Monitoring and analysing land use/cover changes in an arid region based on multi-satellite data: The Kashgar Region, Northwest China. Land 2018, 7, 6. [Google Scholar] [CrossRef]
- Ran, H.; Ma, Y.; Xu, Z. Evaluation and Prediction of Land Use Ecological Security in the Kashgar Region Based on Grid GIS. Sustainability 2022, 15, 40. [Google Scholar] [CrossRef]














| Methods | Image | OA | Kappa | CE | OE | PA | UA |
|---|---|---|---|---|---|---|---|
| Mahalanobis Distance | Sentinel-2 | 78.95% | 0.7303 | 1.61% | 39.58% | 60.42% | 98.39% |
| Landsat 8 | 82.76% | 0.7816 | 1.18% | 24.46% | 75.54% | 98.82% | |
| Minimum Distance | Sentinel-2 | 61.54% | 0.5010 | 1.63% | 30.89% | 69.11% | 98.37% |
| Landsat 8 | 75.00% | 0.6889 | 8.72% | 4.31% | 95.69% | 91.28% | |
| Maximum Likelihood | Sentinel-2 | 70.37% | 0.6333 | 0.73% | 8.45% | 91.55% | 99.27% |
| Landsat 8 | 82.86% | 0.7780 | 0.65% | 2.85% | 97.15% | 99.35% | |
| Support Vector Machine | Sentinel-2 | 81.82% | 0.7596 | 0.69% | 0.71% | 99.29% | 99.31% |
| Landsat 8 | 85.71% | 0.8149 | 0.36% | 0.44% | 99.56% | 99.64% | |
| Random Forest | Sentinel-2 | 97.10% | 0.9005 | 0.21% | 0.41% | 99.59% | 99.79% |
| Landsat 8 | 95.00% | 0.9889 | 0.26% | 0.48% | 99.52% | 99.74% |
Disclaimer/Publisher’s Note: The statements, opinions and data contained in all publications are solely those of the individual author(s) and contributor(s) and not of MDPI and/or the editor(s). MDPI and/or the editor(s) disclaim responsibility for any injury to people or property resulting from any ideas, methods, instructions or products referred to in the content. |
© 2025 by the authors. Licensee MDPI, Basel, Switzerland. This article is an open access article distributed under the terms and conditions of the Creative Commons Attribution (CC BY) license (https://creativecommons.org/licenses/by/4.0/).
Share and Cite
Ding, C.; Ren, C. Monitoring Water Area Dynamics in Kashgar (2003–2023) Using Multi-Source Remote Sensing Data. Appl. Sci. 2025, 15, 5194. https://doi.org/10.3390/app15095194
Ding C, Ren C. Monitoring Water Area Dynamics in Kashgar (2003–2023) Using Multi-Source Remote Sensing Data. Applied Sciences. 2025; 15(9):5194. https://doi.org/10.3390/app15095194
Chicago/Turabian StyleDing, Cong, and Chao Ren. 2025. "Monitoring Water Area Dynamics in Kashgar (2003–2023) Using Multi-Source Remote Sensing Data" Applied Sciences 15, no. 9: 5194. https://doi.org/10.3390/app15095194
APA StyleDing, C., & Ren, C. (2025). Monitoring Water Area Dynamics in Kashgar (2003–2023) Using Multi-Source Remote Sensing Data. Applied Sciences, 15(9), 5194. https://doi.org/10.3390/app15095194

