Crosslinking Approaches for Polyethylene Imine (PEI) and Its Uses in Adsorption of Heavy Metals, Dyes, and Carbon Dioxide
Abstract
1. Introduction
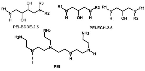
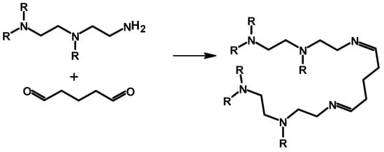
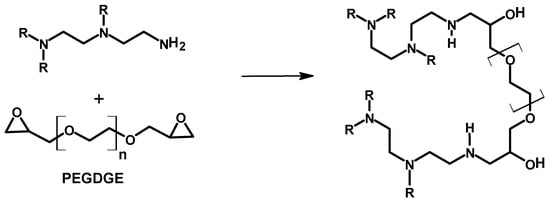
2. Crosslinking of PEI and Reaction Mechanisms
3. Applications of Crosslinked PEI
3.1. Adsorption of Heavy Metal Ions and Adsorption Models
3.2. Adsorption of Heavy Metals on a PEI Coating and Release
3.3. Crosslinked PEI for Dye Adsorption and the Separation of Organic Acids and Aldehydes
3.4. Pristine and Crosslinked PEI in CO2 Adsorption
4. Conclusions
5. Future Directions
Author Contributions
Funding
Institutional Review Board Statement
Informed Consent Statement
Data Availability Statement
Acknowledgments
Conflicts of Interest
References
- Fischer, R.J.; Pang, D.; Beatty, S.T.; Rosenberg, E. Silica-polyamine composite materials for heavy metal ion removal, recovery, and recycling. II. Metal ion separations from mine wastewater and soft metal ion extraction efficiency. Sep. Sci. Technol. 1999, 34, 3125–3137. [Google Scholar] [CrossRef]
- Festa, R.A.; Thiele, D.J. Copper: An essential metal in biology. Curr. Biol. 2011, 21, R877–R883. [Google Scholar] [CrossRef]
- Niyogi, S.; Wood, C.M. Biotic ligand model, a flexible tool for developing site-specific water quality guidelines for metals. Environ. Sci. Technol. 2004, 38, 6177–6192. [Google Scholar] [CrossRef] [PubMed]
- Viarengo, A.; Pertica, M.; Mancinelli, G.; Burlando, B.; Canesi, L.; Orunesu, M. In vivo effects of copper on the calcium homeostasis mechanisms of mussel gill cell plasma membranes. Comp. Biochem. Physiol. C Pharmacol. Toxicol. Endocrinol. 1996, 113, 421–425. [Google Scholar] [CrossRef]
- Johnson, P.D.; Watson, M.A.; Brown, J.; Jefcoat, I.A. Peanut hull pellets as a single use sorbent for the capture of Cu(II) from wastewater. Waste Manag. 2002, 22, 471–480. [Google Scholar] [CrossRef]
- Edebali, S.; Pehlivan, E. Evaluation of chelate and cation exchange resins to remove copper ions. Powder Technol. 2016, 301, 520–525. [Google Scholar] [CrossRef]
- Khulbe, K.C.; Matsuura, T. Removal of heavy metals and pollutants by membrane adsorption techniques. Appl. Water Sci. 2018, 8, 19. [Google Scholar] [CrossRef]
- Peng, H.; Guo, J. Removal of chromium from wastewater by membrane filtration, chemical precipitation, ion exchange, adsorption electrocoagulation, electrochemical reduction, electrodialysis, electrodeionization, photocatalysis and nanotechnology: A review. Environ. Chem. Lett. 2020, 18, 2055–2068. [Google Scholar] [CrossRef]
- Chen, Z.; Zeng, J.; Zhang, Z.-B.; Zhang, Z.-J.; Ma, S.; Tang, C.-M.; Xu, J.-Q. Preparation and application of polyethyleneimine-modified corncob magnetic gel for removal of Pb(II) and Cu(II) ions from aqueous solution. RSC Adv. 2022, 12, 1950–1960. [Google Scholar] [CrossRef]
- Vassileva, P.; Uzunov, I.; Popova, T.; Voykova, D.; Avramova, I.; Mehandjiev, D. Biochars as a solution for silver removal and antimicrobial activity in aqueous systems. Appl. Sci. 2025, 15, 2796. [Google Scholar] [CrossRef]
- Landa, M.; Kotera, M.; Remy, J.-S.; Badi, N. Preparation of poly(ethylene imine) derivatives with precisely controlled molecular weight. Eur. Polym. J. 2016, 84, 338–344. [Google Scholar] [CrossRef]
- Song, Y.; Wang, F.-F.; Lu, G.-X.; Zhou, L.-Y.; Yang, Q.-B. Preparation of PEI nanofiber membrane based on in situ and solution crosslinking technology and their adsorption properties. J. Appl. Polym. Sci. 2020, 137, 48279. [Google Scholar] [CrossRef]
- Movahedi, A.; Lundin, A.; Kann, N.; Nydén, M.; Moth-Poulsen, K. Cu(i) stabilizing crosslinked polyethyleneimine. Phys. Chem. Chem. Phys. 2015, 17, 18327–18336. [Google Scholar] [CrossRef] [PubMed]
- Chen, Y.; Pan, B.; Zhang, S.; Li, H.; Lv, L.; Zhang, W. Immobilization of polyethylenimine nanoclusters onto a cation exchange resin through self-crosslinking for selective Cu(II) removal. J. Hazard. Mater. 2011, 190, 1037–1044. [Google Scholar] [CrossRef] [PubMed]
- Ayalew, Z.M.; Guo, X.; Zhang, X. Synthesis and application of polyethyleneimine (PEI)-based composite/nanocomposite material for heavy metals removal from wastewater: A critical review. JHM Adv. 2022, 8, 100158. [Google Scholar] [CrossRef]
- Lindén, J.B.; Larsson, M.; Kaur, S.; Nosrati, A.; Nydén, M. Glutaraldehyde-crosslinking for improved copper absorption selectivity and chemical stability of polyethyleneimine coatings. J. Appl. Polym. Sci. 2016, 133, 43954. [Google Scholar] [CrossRef]
- Privar, Y.; Malakhova, I.; Pestov, A.; Fedorets, A.; Azarova, Y.; Schwarz, S.; Bratskaya, S. Polyethyleneimine cryogels for metal ions sorption. Chem. Eng. J. 2018, 334, 1392–1398. [Google Scholar] [CrossRef]
- Lindén, J.B.; Larsson, M.; Coad, B.R.; Skinner, W.M.; Nydén, M. Polyethyleneimine for copper absorption: Kinetics, selectivity and efficiency in artificial seawater. RSC Adv. 2014, 4, 25063–25066. [Google Scholar] [CrossRef]
- Lindén, J.B.; Larsson, M.; Kaur, S.; Skinner, W.M.; Miklavcic, S.J.; Nann, T.; Kempson, I.M.; Nydén, M. Polyethyleneimine for copper absorption II: Kinetics, selectivity and efficiency from seawater. RSC Adv. 2015, 5, 51883–51890. [Google Scholar] [CrossRef]
- Jia, J.; Wu, A.; Luan, S. Synthesis and investigation of the imprinting efficiency of ion imprinted nanoparticles for recognizing copper. PCCP 2014, 16, 16158–16165. [Google Scholar] [CrossRef]
- Saad, D.M.; Cukrowska, E.M.; Tutu, H. Development and application of cross-linked polyethylenimine for trace metal and metalloid removal from mining and industrial wastewaters. Environ. Toxicol. Chem. 2011, 93, 914–924. [Google Scholar] [CrossRef]
- Nimesh, S. Polyethylenimine as a promising vector for targeted siRNA delivery. Curr. Clin. Pharmacol. 2012, 7, 121–130. [Google Scholar] [CrossRef] [PubMed]
- Ahn, H.H.; Lee, J.H.; Kim, K.S.; Lee, J.Y.; Kim, M.S.; Khang, G.; Lee, I.W.; Lee, H.B. Polyethyleneimine-mediated gene delivery into human adipose derived stem cells. Biomaterials 2008, 29, 2415–2422. [Google Scholar] [CrossRef]
- Shen, X.; Du, H.; Mullins, R.H.; Kommalapati, R.R. Polyethylenimine applications in carbon dioxide capture and separation: From theoretical study to experimental work. Energy Technol. 2017, 5, 822–833. [Google Scholar] [CrossRef]
- Wen, T.; Qu, F.; Li, N.B.; Luo, H.Q. A facile, sensitive, and rapid spectrophotometric method for copper(II) ion detection in aqueous media using polyethyleneimine. Arab. J. Chem. 2017, 10, S1680–S1685. [Google Scholar] [CrossRef]
- Payne, M.E.; Lou, Y.; Zhang, X.; Sahiner, N.; Sandoval, N.R.; Shantz, D.F.; Grayson, S.M. Comparison of Cross-linked branched and linear poly(ethylene imine) microgel microstructures and their impact in antimicrobial behavior, copper chelation, and carbon dioxide capture. ACS Appl. Polym. Mater. 2020, 2, 826–836. [Google Scholar] [CrossRef]
- Li, Y.; Zhang, H.; Qu, G.; Xie, L.; Tang, S.; Lei, H.; Zhong, Y.; Zhang, Y.-F. Efficient removal of antibiotics from wastewater by chitosan/polyethyleneimine/Ti3C2 MXene composite hydrogels: Synthesis, adsorption, kinetics and mechanisms. Colloids Surf. A 2024, 702, 135111. [Google Scholar] [CrossRef]
- Oyarce, E.; Roa, K.; Boulett, A.; Sotelo, S.; Cantero-López, P.; Sánchez, J.; Rivas, B.L. Removal of dyes by polymer-enhanced ultrafiltration: An overview. Polymers 2021, 13, 3450. [Google Scholar] [CrossRef]
- Cojocaru, C.; Zakrzewska-Trznadel, G.; Jaworska, A. Removal of cobalt ions from aqueous solutions by polymer assisted ultrafiltration using experimental design approach. part 1: Optimization of complexation conditions. J. Hazard. Mater. 2009, 169, 599–609. [Google Scholar] [CrossRef]
- Korus, I. Separation of heavy metal ions from multi-component solutions using ultrafiltration enhanced with complexing polymer. Desalination Water Treat. 2023, 314, 158–168. [Google Scholar] [CrossRef]
- Swamy, A.Y.; Prasad, S.; Pan, X.; Andersson, M.R.; Gedefaw, D. Glutaraldehyde and glyoxal crosslinked polyethylenimine for copper ion adsorption from water. ChemistrySelect 2022, 7, e202104318. [Google Scholar] [CrossRef]
- Elmas, S.; Gedefaw, D.A.; Larsson, M.; Ying, Y.; Cavallaro, A.; Andersson, G.G.; Nydén, M.; Andersson, M.R. Porous PEI coating for copper ion storage and its controlled electrochemical release. Adv. Sustain. Syst. 2020, 4, 1900123. [Google Scholar] [CrossRef]
- Gutowski, W.S.; Li, S.; Filippou, C.; Hoobin, P.; Petinakis, S. Interface/interphase engineering of polymers for adhesion enhancement: Part II. Theoretical and technological aspects of surface-engineered interphase-interface systems for adhesion enhancement. J. Adhes. 2003, 79, 483–519. [Google Scholar] [CrossRef]
- Gutowski, W.S.; Bilyk, A.; Li, S.; Espiritu, M.; Burgar, I. The influence of structure of the interface and interphase on paint adhesion. Compos. Interfaces 2005, 12, 817–835. [Google Scholar] [CrossRef]
- Whipple, E.B.; Ruta, M. Structure of aqueous glutaraldehyde. J. Org. Chem. 1974, 39, 1666–1668. [Google Scholar] [CrossRef]
- Jeon, S.; Jung, H.; Jo, D.H.; Kim, S.H. Development of crosslinked PEI solid adsorbents for CO2 capture. Energy Procedia 2017, 114, 2287–2293. [Google Scholar] [CrossRef]
- Jung, H.; Jeon, S.; Jo, D.H.; Huh, J.; Kim, S.H. Effect of crosslinking on the CO2 adsorption of polyethyleneimine-impregnated sorbents. Chem. Eng. J. 2017, 307, 836–844. [Google Scholar] [CrossRef]
- Chan, T.R.; Hilgraf, R.; Sharpless, K.B.; Fokin, V.V. Polytriazoles as Copper(I)-Stabilizing Ligands in Catalysis. Org. Lett. 2004, 6, 2853–2855. [Google Scholar] [CrossRef]
- Andersson Trojer, M.; Movahedi, A.; Blanck, H.; Nydén, M. Imidazole and triazole coordination chemistry for antifouling coatings. J. Chem. 2013, 2013, 946739. [Google Scholar] [CrossRef]
- Abdel-Magid, A.F.; Carson, K.G.; Harris, B.D.; Maryanoff, C.A.; Shah, R.D. Reductive Amination of Aldehydes and Ketones with Sodium Triacetoxyborohydride. Studies on Direct and Indirect Reductive Amination Procedures1. J. Org. Chem. 1996, 61, 3849–3862. [Google Scholar] [CrossRef]
- Alsaiari, N.S.; Alzahrani, F.M.; Katubi, K.M.; Amari, A.; Rebah, F.B.; Tahoon, M.A. Polyethylenimine-modified magnetic chitosan for the uptake of arsenic from water. Appl. Sci. 2021, 11, 5630. [Google Scholar] [CrossRef]
- Kubilay, S.; Demirci, S.; Can, M.; Aktas, N.; Sahiner, N. Dichromate and arsenate anion removal by PEI microgel, cryogel, and bulkgel. J. Environ. Chem. Eng. 2021, 9, 104799. [Google Scholar] [CrossRef]
- Liu, F.; Zhou, L.; Wang, W.; Yu, G.; Deng, S. Adsorptive recovery of Au(III) from aqueous solution using crosslinked polyethyleneimine resins. Chemosphere 2020, 241, 125122. [Google Scholar] [CrossRef]
- Rochelle, G.T. Amine scrubbing for CO2 capture. Science 2009, 325, 1652–1654. [Google Scholar] [CrossRef] [PubMed]
- Bishnoi, S.; Rochelle, G.T. Absorption of carbon dioxide into aqueous piperazine: Reaction kinetics, mass transfer and solubility. Chem. Eng. Sci. 2000, 55, 5531–5543. [Google Scholar] [CrossRef]
- Li, K.; Jiang, J.; Yan, F.; Tian, S.; Chen, X. The influence of polyethyleneimine type and molecular weight on the CO2 capture performance of PEI-nano silica adsorbents. Appl. Energy 2014, 136, 750–755. [Google Scholar] [CrossRef]
- Narayanan, P.; Lively, R.P.; Jones, C.W. Effect of SO2 on the CO2 capture performance of self-supported branched poly(ethyleneimine) scaffolds. Energy Fuel. 2023, 37, 5257–5269. [Google Scholar] [CrossRef]
- Chatterjee, S.; Sen Gupta, S.; Kumaraswamy, G. Omniphilic Polymeric Sponges by Ice Templating. Chem. Mater. 2016, 28, 1823–1831. [Google Scholar] [CrossRef]
- Sahiner, N.; Demirci, S. Poly ionic liquid cryogel of polyethyleneimine: Synthesis, characterization, and testing in absorption studies. J. Appl. Polym. Sci. 2016, 133, 43478. [Google Scholar] [CrossRef]
- Yoo, C.-J.; Narayanan, P.; Jones, C.W. Self-supported branched poly(ethyleneimine) materials for CO2 adsorption from simulated flue gas. J. Mater. Chem. A 2019, 7, 19513–19521. [Google Scholar] [CrossRef]
- Naga, N.; Sato, M.; Mori, K.; Nageh, H.; Nakano, T. Synthesis of network polymers by means of addition reactions of multifunctional-amine and poly(ethylene glycol) diglycidyl ether or diacrylate compounds. Polymers 2020, 12, 2047. [Google Scholar] [CrossRef] [PubMed]
- Ehlers, J.-E.; Rondan, N.G.; Huynh, L.K.; Pham, H.; Marks, M.; Truong, T.N. Theoretical study on mechanisms of the epoxy−amine curing reaction. Macromolecules 2007, 40, 4370–4377. [Google Scholar] [CrossRef]
- Hamdy, L.B.; Gougsa, A.; Chow, W.Y.; Russell, J.E.; García-Díez, E.; Kulakova, V.; Garcia, S.; Barron, A.R.; Taddei, M.; Andreoli, E. Overcoming mass transfer limitations in cross-linked polyethyleneimine-based adsorbents to enable selective CO2 capture at ambient temperature. Mater. Adv. 2022, 3, 3174–3191. [Google Scholar] [CrossRef]
- Park, S.-E.; Chang, J.-S.; Lee, K.-W. Carbon Dioxide Utilization for Global Sustainability: Proceedings of the 7th International Conference on Carbon Dioxide Utilization, Seoul, Korea, October 12–16, 2003; Elsevier: Amsterdam, The Netherlands, 2004; Volume 153. [Google Scholar]
- Hu, B.; Yang, M.; Huang, H.; Song, Z.; Tao, P.; Wu, Y.; Tang, K.; Chen, X.; Yang, C. Triazine-crosslinked polyethyleneimine for efficient adsorption and recovery of gold from wastewater. J. Mol. Liq. 2022, 367, 120586. [Google Scholar] [CrossRef]
- Feng, Y.; Wang, H.; Xu, J.; Du, X.; Cheng, X.; Du, Z.; Wang, H. Fabrication of MXene/PEI functionalized sodium alginate aerogel and its excellent adsorption behavior for Cr(VI) and congo red from aqueous solution. J. Hazard. Mater. 2021, 416, 125777. [Google Scholar] [CrossRef] [PubMed]
- Bratskaya, S.; Privar, Y.; Ustinov, A.; Azarova, Y.; Pestov, A. Recovery of Au(III), Pt(IV), and Pd(II) using pyridylethyl-containing polymers: Chitosan derivatives vs synthetic polymers. Ind. Eng. Chem. Res. 2016, 55, 10377–10385. [Google Scholar] [CrossRef]
- Xu, X.; Pejcic, B.; Heath, C.; Wood, C.D. Carbon capture with polyethylenimine hydrogel beads (PEI HBs). J. Mater. Chem. A 2018, 6, 21468–21474. [Google Scholar] [CrossRef]
- Ruckenstein, E.; Hong, L. Sedimentation polymerization. Polymer 1995, 36, 2857–2860. [Google Scholar] [CrossRef]
- Wang, S.; Tavakoli, S.; Parvathaneni, R.P.; Nawale, G.N.; Oommen, O.P.; Hilborn, J.; Varghese, O.P. Dynamic covalent crosslinked hyaluronic acid hydrogels and nanomaterials for biomedical applications. Biomater. Sci. 2022, 10, 6399–6412. [Google Scholar] [CrossRef]
- Hammer, L.; Van Zee, N.J.; Nicolaÿ, R. Dually Crosslinked Polymer Networks Incorporating Dynamic Covalent Bonds. Polymers 2021, 13, 396. [Google Scholar] [CrossRef]
- Lee, Z.Y.; Kamarulzaman, S.; Rasyiddin, R.; Sim, S.Y.X.; Seah, G.E.K.K.; Gan, A.W.; Li, Z.; Png, Z.M.; Goh, S.S. Dynamic crosslinking of thermoplastics via perfluorophenyl nitrene C–H insertion to form recyclable thermosets. Chem 2025, 102479. [Google Scholar] [CrossRef]
- Xie, X.; Zhang, L.; Luo, X.; Su, T.; Zhang, Y.; Qin, Z.; Ji, H. PEI modified magnetic porous cassava residue microspheres for adsorbing Cd(II) from aqueous solution. Eur. Polym. J. 2021, 159, 110741. [Google Scholar] [CrossRef]
- Kalam, S.; Abu-Khamsin, S.A.; Kamal, M.S.; Patil, S. Surfactant adsorption isotherms: A review. ACS Omega 2021, 6, 32342–32348. [Google Scholar] [CrossRef] [PubMed]
- Zhang, Z.; Xu, W.; Zhang, K.; Tang, K. Highly efficient and fast adsorption of Au(III) and Pd(II) by crosslinked polyethyleneimine-glutaraldehyde. AIChE J. 2023, 69, e17950. [Google Scholar] [CrossRef]
- Saad, D.M.G.; Cukrowska, E.M.; Tutu, H. Sulfonated cross-linked polyethylenimine for selective removal of mercury from aqueous solutions. Environ. Toxicol. Chem. 2012, 94, 1916–1929. [Google Scholar] [CrossRef]
- Kawamura, Y.; Mitsuhashi, M.; Tanibe, H.; Yoshida, H. Adsorption of metal ions on polyaminated highly porous chitosan chelating resin. Ind. Eng. Chem. Res. 1993, 32, 386–391. [Google Scholar] [CrossRef]
- Saad, D.M.G.; Cukrowska, E.M.; Tutu, H. Modified cross-linked polyethylenimine for the removal of selenite from mining wastewaters. Environ. Toxicol. Chem. 2013, 95, 409–421. [Google Scholar] [CrossRef]
- Cho, C.-W.; Kang, S.B.; Kim, S.; Yun, Y.-S.; Won, S.W. Reusable polyethylenimine-coated polysulfone/bacterial biomass composite fiber biosorbent for recovery of Pd(II) from acidic solutions. Chem. Eng. J. 2016, 302, 545–551. [Google Scholar] [CrossRef]
- Won, S.W.; Kim, S.; Kotte, P.; Lim, A.; Yun, Y.-S. Cationic polymer-immobilized polysulfone-based fibers as high performance sorbents for Pt(IV) recovery from acidic solutions. JHM Adv. 2013, 263, 391–397. [Google Scholar] [CrossRef]
- Bediako, J.K.; Lin, S.; Sarkar, A.K.; Zhao, Y.; Choi, J.-W.; Song, M.-H.; Wei, W.; Reddy, D.H.K.; Cho, C.-W.; Yun, Y.-S. Benignly-fabricated crosslinked polyethylenimine/calcium-alginate fibers as high-performance adsorbents for effective recovery of gold. J. Clean. Prod. 2020, 252, 119389. [Google Scholar] [CrossRef]
- Li, Y.; Du, Q.; Liu, T.; Sun, J.; Wang, Y.; Wu, S.; Wang, Z.; Xia, Y.; Xia, L. Methylene blue adsorption on graphene oxide/calcium alginate composites. Carbohydr. Polym. 2013, 95, 501–507. [Google Scholar] [CrossRef] [PubMed]
- Singh, P.; Singh, S.K.; Bajpai, J.; Bajpai, A.K.; Shrivastava, R.B. Iron crosslinked alginate as novel nanosorbents for removal of arsenic ions and bacteriological contamination from water. J. Mater. Res. Technol. 2014, 3, 195–202. [Google Scholar] [CrossRef]
- Zhao, F.; Repo, E.; Song, Y.; Yin, D.; Hammouda, S.B.; Chen, L.; Kalliola, S.; Tang, J.; Tam, K.C.; Sillanpää, M. Polyethylenimine-cross-linked cellulose nanocrystals for highly efficient recovery of rare earth elements from water and a mechanism study. Green Chem. 2017, 19, 4816–4828. [Google Scholar] [CrossRef]
- Kaur, S.; Kempson, I.; Xu, H.; Nydén, M.; Larsson, M. Bio-template assisted synthesis of porous glutaraldehyde-polyethyleneimine particulate resin for selective copper ion binding and recovery. RSC Adv. 2018, 8, 12043–12052. [Google Scholar] [CrossRef]
- Wang, Q.; Tian, Y.; Kong, L.; Zhang, J.; Zuo, W.; Li, Y.; Cai, G. A novel 3D superelastic polyethyleneimine functionalized chitosan aerogels for selective removal of Cr(VI) from aqueous solution: Performance and mechanisms. Chem. Eng. J. 2021, 425, 131722. [Google Scholar] [CrossRef]
- Yan, Y.; An, Q.; Xiao, Z.; Zheng, W.; Zhai, S. Flexible core-shell/bead-like alginate@PEI with exceptional adsorption capacity, recycling performance toward batch and column sorption of Cr(VI). Chem. Eng. J. 2017, 313, 475–486. [Google Scholar] [CrossRef]
- Li, J.; Zuo, K.; Wu, W.; Xu, Z.; Yi, Y.; Jing, Y.; Dai, H.; Fang, G. Shape memory aerogels from nanocellulose and polyethyleneimine as a novel adsorbent for removal of Cu(II) and Pb(II). Carbohydr. Polym. 2018, 196, 376–384. [Google Scholar] [CrossRef]
- Su, H.; Qiu, W.; Deng, T.; Zheng, X.; Wang, H.; Wen, P. Fabrication of physically multi-crosslinked sodium alginate/carboxylated-chitosan/montmorillonite-base aerogel modified by polyethyleneimine for the efficient adsorption of organic dye and Cu(II) contaminants. Sep. Purif. Technol. 2024, 330, 125321. [Google Scholar] [CrossRef]
- Bouzid, H.; Prosa, M.; Bolognesi, M.; Chehata, N.; Gedefaw, D.; Albonetti, C.; Andersson, M.R.; Muccini, M.; Bouazizi, A.; Seri, M. Impact of environmentally friendly processing solvents on the properties of blade-coated polymer solar cells. J. Polym. Sci. Part A Polym. Chem. 2019, 57, 487–494. [Google Scholar] [CrossRef]
- Bjuggren, J.M.; Sharma, A.; Gedefaw, D.; Elmas, S.; Pan, C.; Kirk, B.; Zhao, X.; Andersson, G.; Andersson, M.R. Facile synthesis of an efficient and robust cathode interface material for polymer solar cells. ACS Appl. Energy Mater. 2018, 1, 7130–7139. [Google Scholar] [CrossRef]
- Bolognesi, M.; Gedefaw, D.; Cavazzini, M.; Catellani, M.; Andersson, M.R.; Muccini, M.; Kozma, E.; Seri, M. Side chain modification on PDI-spirobifluorene-based molecular acceptors and its impact on organic solar cell performances. New. J. Chem. 2018, 42, 18633–18640. [Google Scholar] [CrossRef]
- Tong, W.; Gao, C.; Möhwald, H. Poly(ethyleneimine) microcapsules: Glutaraldehyde-mediated assembly and the influence of molecular weight on their properties. Polym. Adv. Technol. 2008, 19, 817–823. [Google Scholar] [CrossRef]
- Schultz, M.P.; Bendick, J.A.; Holm, E.R.; Hertel, W.M. Economic impact of biofouling on a naval surface ship. Biofouling 2011, 27, 87–98. [Google Scholar] [CrossRef] [PubMed]
- Ciriminna, R.; Bright, F.V.; Pagliaro, M. Ecofriendly antifouling marine coatings. ACS Sustain. Chem. Eng. 2015, 3, 559–565. [Google Scholar] [CrossRef]
- Carson, R.T.; Damon, M.; Johnson, L.T.; Gonzalez, J.A. Conceptual issues in designing a policy to phase out metal-based antifouling paints on recreational boats in San Diego Bay. J. Environ. Manage. 2009, 90, 2460–2468. [Google Scholar] [CrossRef] [PubMed]
- Greluk, M.; Hubicki, Z. Efficient removal of Acid Orange 7 dye from water using the strongly basic anion exchange resin Amberlite IRA-958. Desalination 2011, 278, 219–226. [Google Scholar] [CrossRef]
- Dutta, S.; Adhikary, S.; Bhattacharya, S.; Roy, D.; Chatterjee, S.; Chakraborty, A.; Banerjee, D.; Ganguly, A.; Nanda, S.; Rajak, P. Contamination of textile dyes in aquatic environment: Adverse impacts on aquatic ecosystem and human health, and its management using bioremediation. J. Environ. Manage. 2024, 353, 120103. [Google Scholar] [CrossRef]
- Lellis, B.; Fávaro-Polonio, C.Z.; Pamphile, J.A.; Polonio, J.C. Effects of textile dyes on health and the environment and bioremediation potential of living organisms. Biotechnol. Res. Innov. 2019, 3, 275–290. [Google Scholar] [CrossRef]
- Moradi, O.; Sharma, G. Emerging novel polymeric adsorbents for removing dyes from wastewater: A comprehensive review and comparison with other adsorbents. Environ. Res. 2021, 201, 111534. [Google Scholar] [CrossRef]
- Agarwala, R.; Mulky, L. Adsorption of dyes from wastewater: A comprehensive review. ChemBioEng Rev. 2023, 10, 326–335. [Google Scholar] [CrossRef]
- Takagishi, T.; Sugimoto, T.; Hayashi, A.; Kuroki, N. Interaction of crosslinked polyethylenimine with a homologous series of methyl orange derivatives in aqueous solution. J. Polym. Sci. Polym. Chem. Ed. 1983, 21, 2311–2322. [Google Scholar] [CrossRef]
- You, L.; Huang, C.; Lu, F.; Wang, A.; Liu, X.; Zhang, Q. Facile synthesis of high performance porous magnetic chitosan-polyethylenimine polymer composite for Congo red removal. Int. J. Biol. Macromol. 2018, 107, 1620–1628. [Google Scholar] [CrossRef] [PubMed]
- Liu, C.; Cheng, L.; Zhao, Y.; Zhu, L. Interfacially crosslinked composite porous membranes for ultrafast removal of anionic dyes from water through permeating adsorption. J. Hazard. Mater. 2017, 337, 217–225. [Google Scholar] [CrossRef]
- Qiu, C.; Li, Y.; Liu, H.; Wang, X.; Hu, S.; Qi, H. A novel crosslinking strategy on functional cellulose-based aerogel for effective and selective removal of dye. Chem. Eng. J. 2023, 463, 142404. [Google Scholar] [CrossRef]
- Wang, Z.; Won, S.W. Polyethylenimine-crosslinked 3-aminopropyltriethoxysilane-grafted multiwall carbon nanotubes for efficient adsorption of reactive yellow 2 from water. Int. J. Mol. Sci. 2023, 24, 2954. [Google Scholar] [CrossRef]
- Chundawat, S.P.S.; Beckham, G.T.; Himmel, M.E.; Dale, B.E. Deconstruction of lignocellulosic biomass to fuels and chemicals. Annu. Rev. Chem. Biomol. Eng. 2011, 2, 121–145. [Google Scholar] [CrossRef]
- Yang, Q.; Runge, T. Cross-linked polyethylenimine for selective adsorption and effective recovery of lignocellulose-derived organic acids and aldehydes. ACS Sustain. Chem. Eng. 2019, 7, 933–943. [Google Scholar] [CrossRef]
- Vaidya, P.D.; Kenig, E.Y. CO2-Alkanolamine reaction kinetics: A review of recent studies. Chem. Eng. Technol. 2007, 30, 1467–1474. [Google Scholar] [CrossRef]
- Xu, X.; Myers, M.B.; Versteeg, F.G.; Pejcic, B.; Heath, C.; Wood, C.D. Direct air capture (DAC) of CO2 using polyethylenimine (PEI) “snow”: A scalable strategy. Chem. Commun. 2020, 56, 7151–7154. [Google Scholar] [CrossRef]
- Xu, X.; Song, C.; Miller, B.G.; Scaroni, A.W. Adsorption separation of carbon dioxide from flue gas of natural gas-fired boiler by a novel nanoporous “molecular basket” adsorbent. Fuel Process. Technol. 2005, 86, 1457–1472. [Google Scholar] [CrossRef]
- Xu, X.; Song, C.; Andresen, J.M.; Miller, B.G.; Scaroni, A.W. Novel Polyethylenimine-Modified Mesoporous Molecular Sieve of MCM-41 Type as High-Capacity Adsorbent for CO2 Capture. Energy Fuels 2002, 16, 1463–1469. [Google Scholar] [CrossRef]
- Wang, X.; Schwartz, V.; Clark, J.C.; Ma, X.; Overbury, S.H.; Xu, X.; Song, C. Infrared study of CO2 sorption over “molecular basket” sorbent consisting of polyethylenimine-modified mesoporous molecular sieve. J. Phys. Chem. C 2009, 113, 7260–7268. [Google Scholar] [CrossRef]
- Xu, X.; Song, C.; Andrésen, J.M.; Miller, B.G.; Scaroni, A.W. Preparation and characterization of novel CO2 “molecular basket” adsorbents based on polymer-modified mesoporous molecular sieve MCM-41. Microporous Mesoporous Mater. 2003, 62, 29–45. [Google Scholar] [CrossRef]
- Sun, Y.; Liu, W.; Wang, X.; Yang, H.; Liu, J. Enhanced adsorption of carbon dioxide from simulated biogas on PEI/MEA-functionalized silica. Int. J. Environ. Res. Public Health 2020, 17, 1452. [Google Scholar] [CrossRef] [PubMed]
- Johnson, O.; Joseph, B.; Kuhn, J.N. CO2 separation from biogas using PEI-modified crosslinked polymethacrylate resin sorbent. J. Ind. Eng. Chem. 2021, 103, 255–263. [Google Scholar] [CrossRef]
- Narayanan, P.; Guntupalli, P.; Lively, R.P.; Jones, C.W. Alumina incorporation in self-supported poly(ethylenimine) sorbents for direct air capture. Chem Bio Eng. 2024, 1, 157–170. [Google Scholar] [CrossRef]
- Wilfong, W.C.; Wang, Q.; Ji, T.; Baker, J.S.; Shi, F.; Yi, S.; Gray, M.L. Directly spun epoxy-crosslinked polyethylenimine fiber sorbents for direct air capture and postcombustion capture of CO2. Energy Technol. 2022, 10, 2200356. [Google Scholar] [CrossRef]
- Numaguchi, R.; Fujiki, J.; Yamada, H.; Firoz; Chowdhury, A.; Kida, K.; Goto, K.; Okumura, T.; Yoshizawa, K.; Yogo, K. Development of post-combustion CO2 capture system using amine-impregnated solid sorbent. Energy Procedia 2017, 114, 2304–2312. [Google Scholar] [CrossRef]






















| PEI/Composite | Crosslinker Type | Analytes Removed | Removal Efficiency (mg g−1) | Adsorption Isotherm/Kinetics | Ref. |
|---|---|---|---|---|---|
| PEI/Fe3O4/corncob | Glutaraldehyde | Cu2+ Pb2+ | 459.4 290.8 | Langmuir equation | [9] |
| PEI | Glutaraldehyde | Au3+ Pd2+ | 2575 497 | Sips model | [65] |
| PEI | ECH | Cr+6 Ni2+ Mn2+ Pb2+ Zn2+ Hg2+ | 1.43 1.31 1.26 1.06 1.57 0.88 | - | [21] |
| A sulfonated crosslinked PEI | - | Hg2+ | 1.36 | Freundlich isotherm/pseudo-second-order | [66] |
| PEI cryogels | Poly(ethylene glycol) diglycidyl ether, 1,4-butanediol diglycidyl ether, and glutaric aldehyde | Hg2+ Cu2+ | 1000.2 118.1 (highest values from the Langmuir model) | - | [17] |
| A sulfonated crosslinked PEI | - | SeO32− | 3.17 | The Freundlich isotherm/pseudo-second-order | [68] |
| PEI | 2,4,6-Trichloro-1,3,5-triazine | Au3+ | 1073.0 | Pseudo-second-order | [55] |
| PEI | EGDE | Au3+ | 943.5 | Langmuir | [43] |
| PEI-coated polysulfone/Escherichia coli biomass composite fiber | Glutaraldehyde | Pd2+ | 216.9 | - | [69] |
| PEI/Ca2+-Alginate hydrogel | Glutaraldehyde | Au3+ | 2300 | - | [71] |
| PEI/HPMC PEI only PEI only | Glutaraldehyde Glutaraldehyde Glyoxal | Cu2+ | 333 272 222 | Pseudo-second-order | [31] |
| PEI/cellulose | - | La3+ Eu3+ Er3+ | 84.5 101.8 120.3 | - | [74] |
| PEI/diatomaceous earth | Glutaraldehyde | Cu2+ | 46.9 | - | [75] |
| Alginate/PEI composite | - | Cr6+ | 431.6 | - | [77] |
| cellulose nanofibrils/PEI aerogel | - | Cu2+ Pb2+ | 175.44 357.44 | - | [78] |
| Montmorillonite/sodium alginate/carboxylated chitosan/PEI | Ca2 | Cu2+ | 203.99 | - | [79] |
| Chitosan/PEI aerogel | ECH | Cr6+ | 445.29 | - | [76] |
| PEI/Composite | Analytes | Removal Efficiency (mg g−1) | Ref. |
|---|---|---|---|
| PEI/Chitosan/Fe3O4 | Congo red | 1876 | [93] |
| PEI on a nylon microfiltration membrane | Sunset Yellow | 600 | [94] |
| GDE-crosslinked PEI | Bovine serum albumin | 47.8 | [49] |
| PEI/polyacrylonitrile nanofibrous films crosslinked with ECH | Methyl orange | 636.9 | [12] |
| PEI crosslinked cellulose-based aerogel adsorbent | Methyl orange | 1013.1 | [95] |
Disclaimer/Publisher’s Note: The statements, opinions and data contained in all publications are solely those of the individual author(s) and contributor(s) and not of MDPI and/or the editor(s). MDPI and/or the editor(s) disclaim responsibility for any injury to people or property resulting from any ideas, methods, instructions or products referred to in the content. |
© 2025 by the authors. Licensee MDPI, Basel, Switzerland. This article is an open access article distributed under the terms and conditions of the Creative Commons Attribution (CC BY) license (https://creativecommons.org/licenses/by/4.0/).
Share and Cite
Chandra, A.; Singh, A.A.; Prasad, S.; Andersson, M.R.; Gedefaw, D. Crosslinking Approaches for Polyethylene Imine (PEI) and Its Uses in Adsorption of Heavy Metals, Dyes, and Carbon Dioxide. Appl. Sci. 2025, 15, 4767. https://doi.org/10.3390/app15094767
Chandra A, Singh AA, Prasad S, Andersson MR, Gedefaw D. Crosslinking Approaches for Polyethylene Imine (PEI) and Its Uses in Adsorption of Heavy Metals, Dyes, and Carbon Dioxide. Applied Sciences. 2025; 15(9):4767. https://doi.org/10.3390/app15094767
Chicago/Turabian StyleChandra, Ashika, Ashneel Ajay Singh, Surendra Prasad, Mats R. Andersson, and Desta Gedefaw. 2025. "Crosslinking Approaches for Polyethylene Imine (PEI) and Its Uses in Adsorption of Heavy Metals, Dyes, and Carbon Dioxide" Applied Sciences 15, no. 9: 4767. https://doi.org/10.3390/app15094767
APA StyleChandra, A., Singh, A. A., Prasad, S., Andersson, M. R., & Gedefaw, D. (2025). Crosslinking Approaches for Polyethylene Imine (PEI) and Its Uses in Adsorption of Heavy Metals, Dyes, and Carbon Dioxide. Applied Sciences, 15(9), 4767. https://doi.org/10.3390/app15094767

