Influence of Girder Flaring on Load Effect in Girders of Composite Steel Bridges
Abstract
1. Introduction
2. Background
3. Approach
3.1. Finite Element Modeling
3.2. Information on Parametric Study
3.3. Location of Maximum Dead Load Effect
3.4. Truck Positioning and GDF
3.4.1. Longitudinal Truck Position
3.4.2. Transverse Truck Position
3.4.3. Girder Distribution Factor
4. Detailed Analysis of Reference Bridge B1
5. Parametric Study
5.1. Flexure in Girders Due to Live Load
5.1.1. Effect of Girder Spacing
5.1.2. Effect of Deck Slab Thickness
5.1.3. Effect of Cross-Bracing
5.1.4. Effect of Other Parameters
5.1.5. Summary of Flexural Results
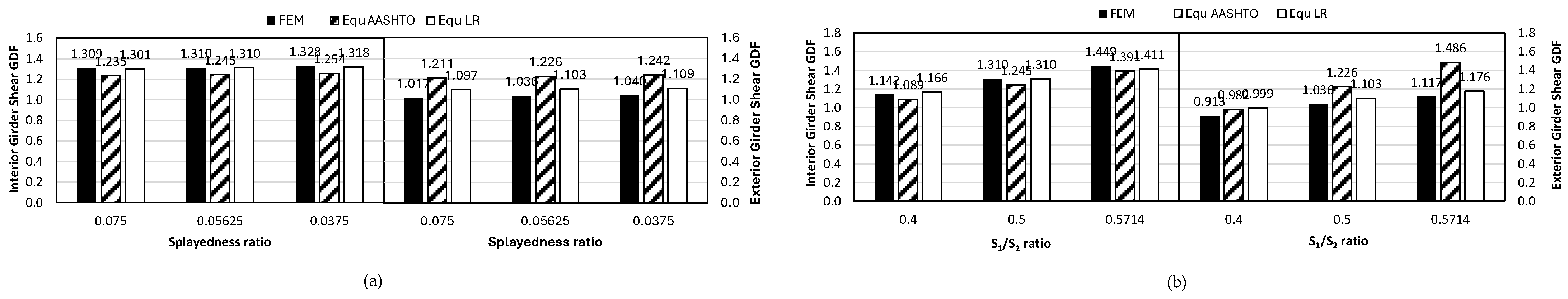
5.2. Shear in Girders Due to Live Load
5.2.1. Effect of Girder Spacing
5.2.2. Effect of Other Parameters
5.2.3. Summary of Shear Results
5.3. Dead Load Effect in Girders
6. Conclusions and Recommendations
6.1. Conclusions About Flexural Effect
- The tributary width concept that is often used in practice for regular bridges is reliable for determining the flexural dead load effect on the splayed interior and exterior girders. However, the AASHTO recommendation of equally sharing the superimposed dead load among the girders is not always very accurate, as this study showed that exterior girders receive higher loads from the parapet weight than interior girders.
- Increasing the splayedness ratio leads to reductions in GDF for flexure in both interior and exterior girders. The relationship between the GDF and splayedness ratio is almost linear.
- The splayedness ratio and girder spacing ratio cannot be used as standalone indices in a splayed girder bridge without supporting them with the actual girder spacing. Therefore, to judge the magnitude of the flexural GDF of a splayed girder bridge, a splayedness parameter plus one girder spacing at a specific location within the bridge must be provided.
- The effect of the slab thickness on the flexural GDF for splayed girder bridges is moderate on the interior girders and negligible on the exterior girders. In addition, girder stiffness has little effect on the GDF for both interior and exterior girders. However, an increase in the number of girders beyond five can lead to some reduction in the GDF of the exterior girder, due to the possibility of rigid body rotation over the increased width of the bridge and large eccentric truck loading.
- There is a significant effect on the interior girders due to the addition of cross-bracing to splayed girder bridges, which is similar to the presence of the cross-bracing effect in regular bridges. Where the flexure GDF for interior girders dropped by more than 8% due to adding cross-bracings at 5 m spacing, it increased the exterior girder GDF by about 2%. The location of cross-bracing spacing in reference to the longitudinal truck axle positions is important, as axles directly above a cross-bracing are more equally distributed among the girders compared to axles located between cross-bracings.
- The AASHTO GDF for flexure yielded reasonable results compared to the FE models, where for the interior girders, the difference was between 2–13% on the conservative side. The high values of the flexure GDF compared with the finite element results, computed following the AASHTO specifications, were due to the presence of cross-bracing, the effect of which is not considered in the AASHTO formulas. The GDF results for exterior girders obtained using the AASHTO formulas were also very reliable, where the percentage difference was between −4% and 14% when compared with the finite element analysis outcomes. The results representing slight conservatism were recorded in bridges with extreme parameter values that exceeded the AASHTO limits.
6.2. Conclusions About Shear Load Effect
- The tributary width concept is a good approach for finding the shear dead load effect in splayed interior and exterior girders. As in the case of flexure, superimposed dead load distribution among the girders is not shared equally, as permitted by AASHTO, since exterior girders collect higher loads from the parapet weight than interior girders.
- Increasing the splayedness ratio causes a negligible effect on the GDF for shear in both interior and exterior girders. On the other hand, the increase in the smaller-to-larger girder spacing ratio, while keeping the splayedness ratio constant, results in a significant increase in the GDF for shear. As in the case of flexure, both the splayedness angle and the girder spacing ratios cannot be used as standalone indices in a splayed girder bridge without specifying the magnitude of the (smaller or larger) girder spacing.
- The effect of slab thickness on the shear GDF for splayed girder bridges is moderate in the interior girders and negligible in the exterior girders. Girder stiffness and the number of girders (if above five) have little influence on the shear GDF for both interior and exterior girders.
- Adding cross-bracing to splayed girder bridges reduces the GDF for shear in the interior girders, particularly if the cross-bracing spacing is small. The effect of using cross-bracing in splayed girder bridges on the exterior girders shear GDF is not significant since the bracing impacts these girders from one side only.
- The use of the lever rule to predict shear in interior or exterior splayed girders yields reliable results compared to the finite element outcome. Girder distribution values from the lever rule yielded results that deviated from the finite element findings by −4.9% to 9.5% for the critical interior girder and by −0.8% to 9.4% for the exterior girder. On the other hand, the AASHTO GDF for shear could not reasonably predict the shear live load effect in the girders, as the outcome from this approach yielded overly conservative values.
6.3. Recommendations
- The tributary width concept is a reliable approach for determining the dead load effect on the splayed interior and exterior girders. The parapet weight, when placed on the hardened concrete deck, tends to load the exterior girders more than the interior girders; hence, assuming such a load to be equally distributed among the girders is not a valid assumption.
- The girder distribution factors for flexure in the AASHTO LRFD specifications can be reasonably used for splayed girder bridges if the specific girder spacing at the location of each axle of the truck in the longitudinal direction of the bridge is considered.
- The lever rule can provide a good estimate of the live load distribution among splayed girders when subjected to shear.
Author Contributions
Funding
Institutional Review Board Statement
Informed Consent Statement
Data Availability Statement
Acknowledgments
Conflicts of Interest
References
- AASHTO. LRFD Bridge Design Specifications, 9th ed.; American Association of State Highway and Transportation Officials: Washington, DC, USA, 2020. [Google Scholar]
- Buckler, J.G.; Barton, F.W.; Gomez, J.P.; Massarelli, P.J.; McKeel, W.T., Jr. Effect of Girder Spacing on Bridge Deck Response; Virginia Transportation Research Council: Charlottesville, VA, USA, 2000; Final Rep., VTRC 01-R6.
- Barr, P.J.; Amin, M.N. Shear live-load distribution factors for I-girder bridges. J. Bridge Eng. 2006, 11, 197–204. [Google Scholar] [CrossRef]
- Tabsh, S.W.; Sahajwani, K. Approximate analysis of irregular slab-on-girder bridges. J. Bridge Eng. 1997, 2, 11–17. [Google Scholar] [CrossRef]
- Song, S.-T.; Chai, Y.; Hida, S.E. Live-load distribution factors for concrete box-girder bridges. J. Bridge Eng. 2003, 8, 273–280. [Google Scholar] [CrossRef]
- Puckett, J.A.; Mertz, D.; Huo, X.S.; Jablin, M.C.; Peavy, M.D.; Patrick, M.D. Simplified Live Load Distribution Factor Equations; Transportation Research Board: Washington, DC, USA, 2007; NCHRP Rep. [Google Scholar]
- Utah Department of Transportation. Bridge Management Manual; Utah Department of Transportation: Salt Lake City, UT, USA, 2014.
- Kansas Department of Transportation. LRFD Bridge Design; Kansas Department of Transportation: Topeka, KS, USA, 2009.
- A. DARWin-ME, Version 1.0; American Association of Highway and Transportation Officials: Washington, DC, USA, 2011; Volume 444.
- WSDOT. PGSuper Software 2.1 Release; BridgeSight Inc.: South Lake Tahoe, CA, USA, 2009.
- Akbari, R.; Maalek, S. A review on the seismic behaviour of irregular bridges. Proc. Inst. Civ. Eng. Struct. Build. 2017, 171, 552–580. [Google Scholar] [CrossRef]
- Soberón, M.C.G.; Soberón, J.M.G. Dynamic properties variation by irregular superstructure and substructure common bridges. Procedia Eng. 2017, 199, 2961–2966. [Google Scholar] [CrossRef]
- Soleimani, F.; Mangalathu, S.; DesRoches, R. Seismic Resilience of Concrete Bridges with Flared Columns. Procedia Eng. 2017, 199, 3065–3070. [Google Scholar] [CrossRef]
- Eom, J.; Nowak, A.S. Live load distribution for steel girder bridges. J. Bridge Eng. 2001, 6, 489–497. [Google Scholar] [CrossRef]
- ANSYS, Version 14.0; ANSYS Inc.: Canonsburg, PA, USA, 2011.
- Chan, T.H.; Chan, J.H. The use of eccentric beam elements in the analysis of slab-on-girder bridges. Struct. Eng. Mech. 1999, 8, 85–102. [Google Scholar] [CrossRef]
- Barr, P.J.; Eberhard, M.O.; Stanton, J.F. Live-load distribution factors in prestressed concrete girder bridges. J. Bridge Eng. 2001, 6, 298–306. [Google Scholar] [CrossRef]
- Hays, C., Jr.; Sessions, L.; Berry, A. Further studies on lateral load distribution using a finite element method. Transp. Res. Rec. 1986, 1072, 6–14. [Google Scholar]
- Ventura, C.; Felber, A.; Stiemer, S. Determination of the dynamic characteristics of the Colquitz River Bridge by full-scale testing. Can. J. Civ. Eng. 1996, 23, 536–548. [Google Scholar] [CrossRef]
- Chen, Y. Distribution of vehicular loads on bridge girders by the FEA using ADINA: Modeling, simulation, and comparison. Comput. Struct. 1999, 72, 127–139. [Google Scholar] [CrossRef]
- Tabsh, S.W.; Tabatabai, M. Live load distribution in girder bridges subject to oversized trucks. J. Bridge Eng. 2001, 6, 9–16. [Google Scholar] [CrossRef]
- Bishara, A.G.; Liu, M.C.; El-Ali, N.D. Wheel load distribution on simply supported skew I-beam composite bridges. J. Struct. Eng. 1993, 119, 399–419. [Google Scholar] [CrossRef]
- Machado, M.A.; Sotelino, E.D.; Liu, J. Modeling technique for honeycomb FRP deck bridges via finite elements. J. Struct. Eng. 2008, 134, 572–580. [Google Scholar] [CrossRef]
- Mabsout, M.E.; Tarhini, K.M.; Frederick, G.R.; Tayar, C. Finite-element analysis of steel girder highway bridges. J. Bridge Eng. 1997, 2, 83–87. [Google Scholar] [CrossRef]
- Wu, H. Influence of Live-Load Deflections on Superstructure Performance of Slab on Steel Stringer Bridges; West Virginia University: Morgantown, WV, USA, 2003. [Google Scholar]
- Eamon, C.D.; Nowak, A.S. Effects of edge-stiffening elements and diaphragms on bridge resistance and load distribution. J. Bridge Eng. 2002, 7, 258–266. [Google Scholar] [CrossRef]
- Hraib, F. Finite Element Analysis of Splayed Girder Bridges. Master’s Thesis, Civil Engineering Department, American University of Sharjah, Sharjah, United Arab Emirates, June 2015. 162 pages. Available online: https://repository.aus.edu/entities/publication/92989414-e0e1-4937-b64c-20150599b82b (accessed on 1 April 2025).
- Fang, K.I. Behavior of Ontario-Type Bridge Deck on Steel Girders. Ph.D. Thesis, Department of Civil Engineering, University of Texas at Austin, Austin, TX, USA, 1985. [Google Scholar]
- Schonwetter, P. Field Testing and Load Rating of a Steel-Girder Highway Bridge. Master’s Thesis, Department of Civil Engineering, University of Texas at Austin, Austin, TX, USA, 1999. [Google Scholar]
- Cai, C. Discussion on AASHTO LRFD load distribution factors for slab-on-girder bridges. Pract. Period. Struct. Des. Constr. 2005, 10, 171–176. [Google Scholar] [CrossRef]



























| Bridge No. | S1 (mm) | S2 (mm) | L (mm) | ts (mm) | D (m) | n | d (mm) | OH1 (mm) | OH2 (mm) |
|---|---|---|---|---|---|---|---|---|---|
| B1 | 2250 | 4500 | 40,000 | 220 | 40 | 5 | 1700 | 750 | 1500 |
| B2 | 3000 | 4500 | 40,000 | 220 | 40 | 5 | 1700 | 1000 | 1500 |
| B3 | 1500 | 4500 | 40,000 | 220 | 40 | 5 | 1700 | 500 | 1500 |
| B4 | 1500 | 3750 | 40,000 | 220 | 40 | 5 | 1700 | 500 | 1250 |
| B5 | 3000 | 5250 | 40,000 | 220 | 40 | 5 | 1700 | 1000 | 1750 |
| B6 | 2250 | 4500 | 40,000 | 150 | 40 | 5 | 1700 | 750 | 1500 |
| B7 | 2250 | 4500 | 40,000 | 300 | 40 | 5 | 1700 | 750 | 1500 |
| B8 | 2250 | 4500 | 40,000 | 220 | 5 | 5 | 1700 | 750 | 1500 |
| B9 | 2250 | 4500 | 40,000 | 220 | 10 | 5 | 1700 | 750 | 1500 |
| B10 | 2250 | 4500 | 40,000 | 220 | 40 | 3 | 1700 | 750 | 1500 |
| B11 | 2250 | 4500 | 40,000 | 220 | 40 | 7 | 1700 | 750 | 1500 |
| B12 | 2250 | 4500 | 40,000 | 220 | 40 | 5 | 1400 | 750 | 1500 |
| B13 | 2250 | 4500 | 40,000 | 220 | 40 | 5 | 2000 | 750 | 1500 |
| B14 | 2250 | 4500 | 30,000 | 220 | 30 | 5 | 1700 | 750 | 1500 |
| B15 | 2250 | 4500 | 50,000 | 220 | 50 | 5 | 1700 | 750 | 1500 |
| Parameter | Girder Spacing Parameter | Slab Thickness ts (mm) | Cross-Bracing Spacing D (m) | No. of Girder n | Girder Depth d (mm) | Span Length L (mm) | |||
|---|---|---|---|---|---|---|---|---|---|
| (S2 − S1)/L * | S1/S2 | ||||||||
| S1 (mm) | S2 (mm) | S1 (mm) | S2 (mm) | ||||||
| Reference (B1) | 2250 | 4500 | 2250 | 4500 | 220 | 40 | 5 | 1700 | 40,000 |
| Lower value | 1500 | 4500 | 1500 | 3750 | 150 | 5 | 3 | 1400 | 30,000 |
| Upper value | 3000 | 4500 | 3000 | 5250 | 300 | 10 | 7 | 2000 | 50,000 |
| Girder | Analytical Calculation | FE Exterior Girder (G1) | FE First Interior Girder (G2) | FE Intermediate Girder (G3) |
|---|---|---|---|---|
| Stress (MPa) | 77.77 | 78.57 | 74.51 | 73.44 |
| Girder | Analytical Calculations | FE Exterior Girder (G1) | FE First Interior Girder (G2) | FE Intermediate Girder (G3) |
|---|---|---|---|---|
| Stress (MPa) | 19.23 | 21.00 | 20.25 | 19.20 |
Disclaimer/Publisher’s Note: The statements, opinions and data contained in all publications are solely those of the individual author(s) and contributor(s) and not of MDPI and/or the editor(s). MDPI and/or the editor(s) disclaim responsibility for any injury to people or property resulting from any ideas, methods, instructions or products referred to in the content. |
© 2025 by the authors. Licensee MDPI, Basel, Switzerland. This article is an open access article distributed under the terms and conditions of the Creative Commons Attribution (CC BY) license (https://creativecommons.org/licenses/by/4.0/).
Share and Cite
Hraib, F.; Tabsh, S.W. Influence of Girder Flaring on Load Effect in Girders of Composite Steel Bridges. Appl. Sci. 2025, 15, 4674. https://doi.org/10.3390/app15094674
Hraib F, Tabsh SW. Influence of Girder Flaring on Load Effect in Girders of Composite Steel Bridges. Applied Sciences. 2025; 15(9):4674. https://doi.org/10.3390/app15094674
Chicago/Turabian StyleHraib, Faress, and Sami W. Tabsh. 2025. "Influence of Girder Flaring on Load Effect in Girders of Composite Steel Bridges" Applied Sciences 15, no. 9: 4674. https://doi.org/10.3390/app15094674
APA StyleHraib, F., & Tabsh, S. W. (2025). Influence of Girder Flaring on Load Effect in Girders of Composite Steel Bridges. Applied Sciences, 15(9), 4674. https://doi.org/10.3390/app15094674

