Influence of Immersive Virtual Coordination Training on Launch Accuracy: Randomized Controlled Trial
Abstract
1. Introduction
2. Materials and Methods
2.1. Design
2.2. Participants
2.3. Procedures
2.4. Physical Activity Sessions
2.5. Testing Procedures
2.6. Statistical Analyses
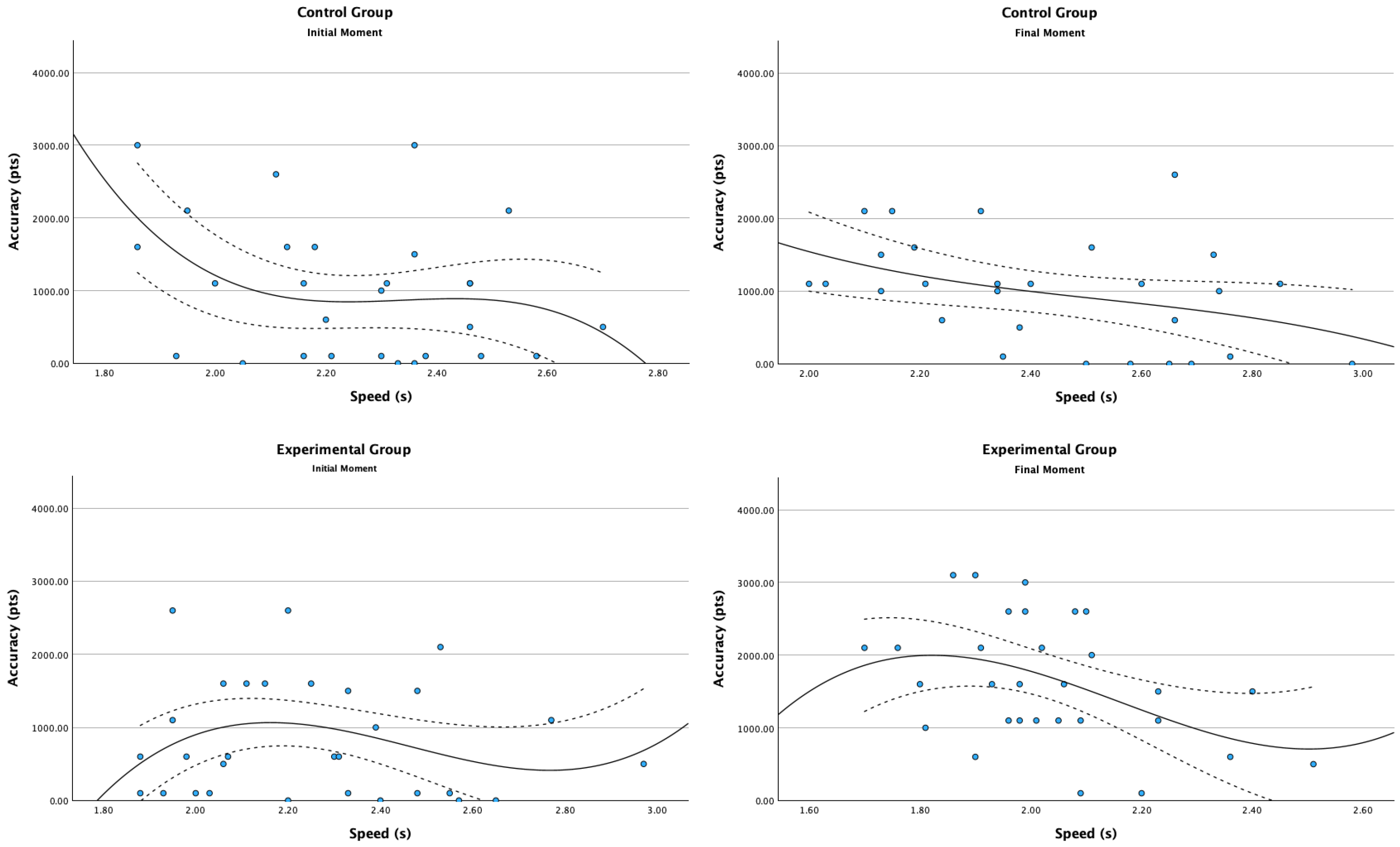
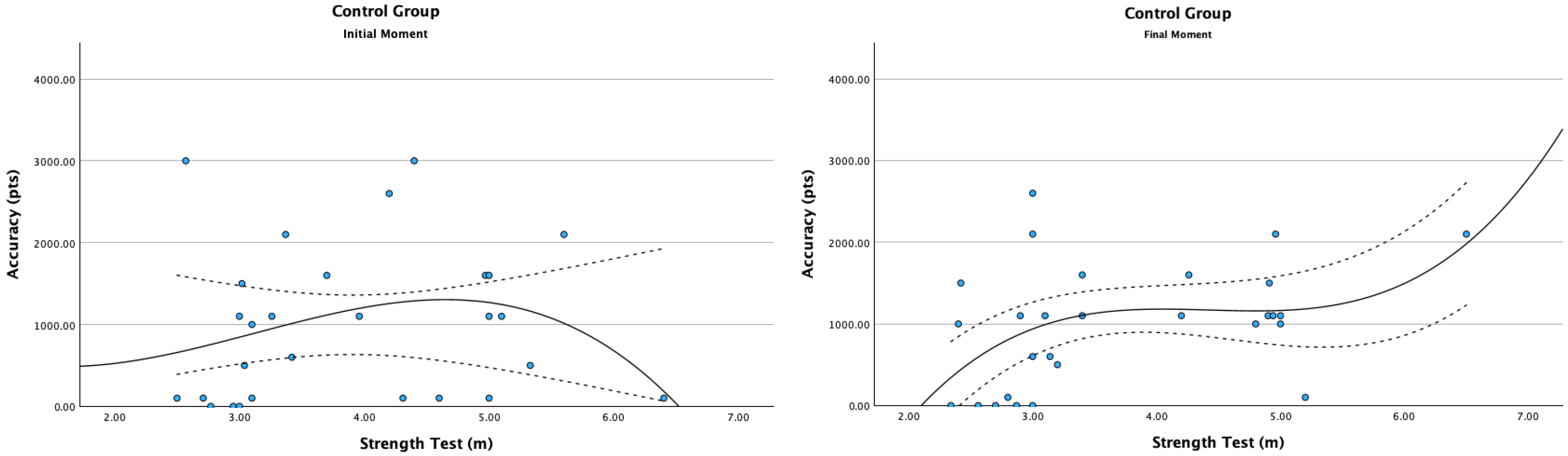
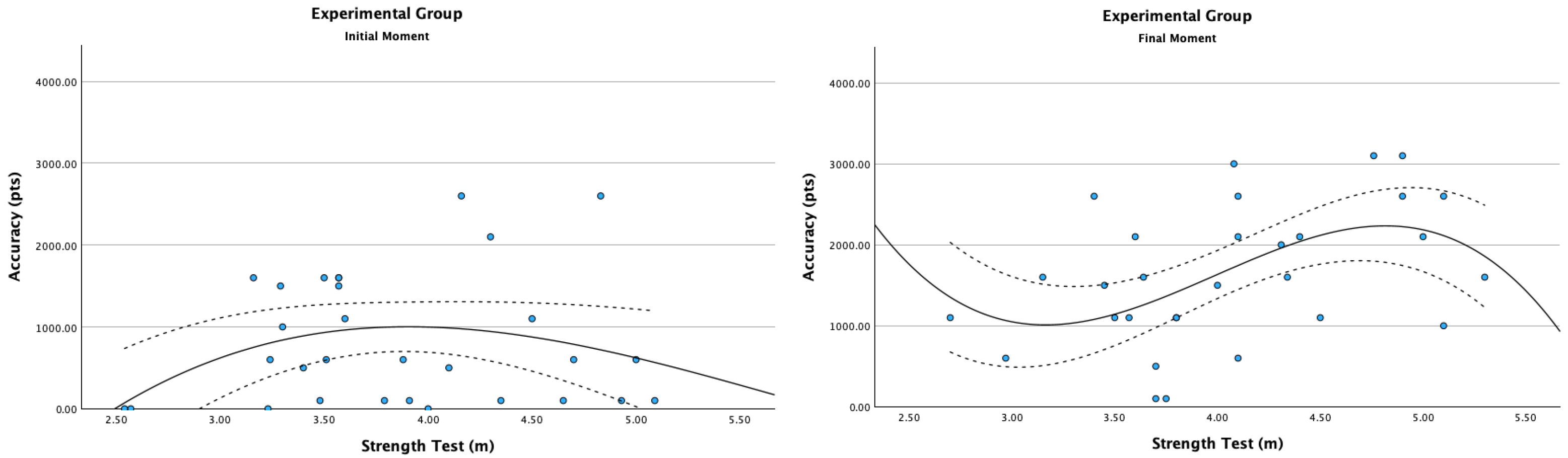
3. Results
4. Discussion
5. Conclusions
Author Contributions
Funding
Institutional Review Board Statement
Informed Consent Statement
Data Availability Statement
Acknowledgments
Conflicts of Interest
References
- Serway, R.A.; Beichner, R.J. Física para Ciencias e Ingeniería, 7th ed.; McGraw-Hill: Mexico City, Mexico, 2002; Volume 1. [Google Scholar]
- García, E.F.; Torralba, M.L.G.; Bañuelos, F.S. Evaluación de las Habilidades Motrices Básicas, 1st ed.; Inde: Barcelona, Spain, 2007; Volume 40. [Google Scholar]
- Pascual, N.; Alzamora, E.N.; Martínez Carbonell, J.A.; Pérez Turpin, J.A. Analysis of different teaching methods in young soccer players. Retos 2015, 28, 94–97. [Google Scholar] [CrossRef]
- Mehta, R.D.; Pallis, J.M. Sports ball aerodynamics: Effects of velocity, spin and surface roughness. AIME 2001, 10, 185–197. [Google Scholar]
- Cross, R. Physics of Baseball & Softball; Springer Science & Business Media: Melbourne, Australia, 2011. [Google Scholar]
- Zatsiorsky, V.M.; Kraemer, W.J.; Fry, A.C. Science and Practice of Strength Training; Human Kinetics: Champaign, IL, USA, 2020. [Google Scholar]
- Ericsson, K.A.; Krampe, R.T.; Tesch-Römer, C. The role of deliberate practice in the acquisition of expert performance. Psychol. Rev. 1993, 100, 363. [Google Scholar] [CrossRef]
- Peñaloza, G.R.; Jaenes-Sanchez, J.C.; Mendez-Sanchez, M.P.; Jaenes-Amarillo, P. The explanatory power of anxiety in the mood of Spanish athletes. Retos 2016, 30, 207–210. [Google Scholar]
- Gonzalez Hernandez, J.; Valadez Jimenez, A. Personality and psychological response in athletes. Temporal and adaptive representation of the person-sport process. Retos 2016, 30, 211–215. [Google Scholar] [CrossRef]
- Jones, G.; Hanton, S.; Cannaughton, D. What Is This Thing Called Mental Toughness? An Investigation of Elite Sport Performers. J. Appl. Sport Psychol. 2002, 14, 205–218. [Google Scholar] [CrossRef]
- Peñasco-Martín, B.; De los Reyes-Guzmán, A.; Gil-Agudo, Á.; Bernal-Sahún, A.; Pérez-Aguilar, B.; De la Peña González, A.I. Aplicación de la realidad virtual en los aspectos motores de la neurorrehabilitación. Rev. Neurol. 2010, 51, 8. [Google Scholar] [CrossRef]
- Miguélez-Juan, B.; Gómez, P.N.; Mañas-Viniegra, L. La Realidad Virtual Inmersiva como herramienta educativa para la transformación social: Un estudio exploratorio sobre la percepción de los estudiantes en Educación Secundaria Postobligatoria. Aula Abierta 2019, 48, 157–166. [Google Scholar] [CrossRef]
- Gonzalez-Argote, J. Uso de la realidad virtual en la rehabilitación. Interdiscip. Rehabil. 2022, 2, 24. [Google Scholar]
- Rodriguez-Fuentes, G.; Campo-Prieto, P.; Souto, X.C.; Carral, J.M.C. Immersive virtual reality and its influence on physiological parameters in healthy people. Retos 2024, 51, 615–625. [Google Scholar] [CrossRef]
- Mollinedo-Cardalda, I.; Cancela-Carral, J.M. The 2-Minute Step Test: Its Applicability in the Evaluation of Balance in Patients Diagnosed With Parkinson’s Disease. Top. Geriatr. Rehabil. 2022, 38, 42–48. [Google Scholar] [CrossRef]
- Ibáñez, A.; Moreno, L.; Santamaría, M. Estudio de la cadena cinética del lanzamiento en salto en balonmano femenino ante situaciones de colaboración entre las defensoras y la portera. Selección Rev. Española Iberoam. Med. Educ. Física Deporte 2007, 16, 71–77. [Google Scholar]
- Bourdin, M.; Rambaud, O.; Dorel, S.; Lacour, J.; Moyen, B.; Rahmani, A. Throwing performance is associated with muscular power. Int. J. Sports Med. 2010, 31, 505–510. [Google Scholar] [CrossRef]
- Morenas Aguilar, M.; Rodríguez Perea, Á.; Chirosa Ríos, L.; Jérez Mayorga, D.; Vila, H.; Avalos Solitario, A.; Soto García, D. Reliability of a handball specific strength test battery and the association with sprint and throwing performance in young handball players. J. Sports Med. Phys. Fitness 2024, 13, 355–362. [Google Scholar] [CrossRef]
- Bravin, L.F.; Sagrillo, L.G.; Fernandes Machado, A.; Henrique Reis, C.; Paiva, R.; Marcelo, M.J.; Rica, R.L.; Bocalini, D.S. Confiabilidade dos testes de sprint de 10 metros, spider run beach test e capacidade anaeróbia de beach tenistas. Retos 2024, 52, 358–366. [Google Scholar]
- Bishop, D.; Spencer, M.; Duffield, R.; Lawrence, S. The validity of a repeated sprint ability test. J. Sci. Med. Sport 2001, 4, 19–29. [Google Scholar] [CrossRef]
- Duthie, G.M.; Pyne, D.B.; Ross, A.A.; Livingstone, S.G.; Hooper, S.L. The reliability of ten-meter sprint time using different starting techniques. J. Strength Cond. Res. 2006, 20, 251. [Google Scholar] [CrossRef]
- Cronin, J.; Templeton, R. Timing light height affects sprint times. J. Strength Cond. Res. 2008, 22, 318–320. [Google Scholar] [CrossRef]
- Paraskevopoulos, E.; Pamboris, G.; Plakoutsis, G.; Papandreou, M. Reliability and measurement error of tests used for the assessment of throwing performance in overhead athletes: A systematic review. J. Bodyw. Mov. Ther. 2023, 35, 284–297. [Google Scholar] [CrossRef]
- Freeston, J.; Rooney, K. Throwing speed and accuracy in baseball and cricket players. Percept. Mot. Ski. 2014, 118, 637–650. [Google Scholar] [CrossRef]
- Cho, E.; Yun, H.; So, W. The validity of alternative hand wall toss tests in Korean children. J. Mens Health 2020, 16, 10–18. [Google Scholar]
- Petrušič, T.; Novak, D. A 16-week school-based intervention improves physical fitness in Slovenian children: A randomized controlled trial. Front. Physiol. 2024, 15, 1311046. [Google Scholar] [CrossRef] [PubMed]
- Faber, I.; Oosterveld, F.; Nijhuis-Van der Sanden, M. Does an eye-hand coordination test have added value as part of talent identification in table tennis? A validity and reproducibility study. PLoS ONE 2014, 9, e85657. [Google Scholar] [CrossRef]
- Gutiérrez, F.G. Modelo para la medición de la condición física en estudiantes de educación media desde la perspectiva pedagógica de los test. Rev. Impetus 2017, 11, 9–19. [Google Scholar] [CrossRef]
- Borms, D.; Maenhout, A.; Cools, A. Upper quadrant field tests and isokinetic upper limb strength in overhead athletes. J. Athl. Train. 2016, 51, 789–796. [Google Scholar] [CrossRef]
- Linkovski, M.; Lewis, J.; Sarig Bahat, H. Validity and Feasibility of the Seated Medicine Ball Throw and Unilateral Shot-Put Tests in Assessing Upper Extremity Function in Rotator-Cuff-Related Shoulder Pain. Appl. Sci. 2024, 14, 12038. [Google Scholar] [CrossRef]
- Parrino, R.; Strand, K.; San Ly, A.; Barry, S.; Liscano, J.; Trebotich, L.; Signorile, J. Prediction of upper-body power during the seated medicine ball throw in older women. J. Strength Cond. Res. 2023, 37, 1679–1686. [Google Scholar] [CrossRef]
- Hackett, D.A.; Davies, T.B.; Ibel, D.; Cobley, S.; Sanders, R. Predictive ability of the medicine ball chest throw and vertical jump tests for determining muscular strength and power in adolescents. Meas. Phys. Educ. Exerc. Sci. 2018, 22, 79–87. [Google Scholar] [CrossRef]
- Harris, C.; Wattles, A.; DeBeliso, M.; Sevene-Adams, P.; Berning, J.; Adams, K. The seated medicine ball throw as a test of upper body power in older adults. J. Strength Cond. Res. 2011, 25, 2344–2348. [Google Scholar] [CrossRef]
- Kennedy, R.S.; Lane, N.E.; Berbaum, K.S.; Lilienthal, M.G. Simulator sickness questionnaire: An enhanced method for quantifying simulator sickness. Int. J. Aviat. Psychol. 1993, 3, 203–220. [Google Scholar] [CrossRef]
- IJsselsteijn, W.A.; De Kort, Y.A.; Poels, K. The Game Experience Questionnaire; Technische Universiteit Eindhoven: Eindhoven, The Netherlands, 2013. [Google Scholar]
- Crespo, M.; Martínez-Gallego, R.; Filipcic, A. Determining the tactical and technical level of competitive tennis players using a competency model: A systematic review. Front. Sports Act. Living 2024, 6, 1406846. [Google Scholar] [CrossRef] [PubMed]
- Bonilla, J.; Fonseca, C. Application of offensive basketball technical fundamentals in motor coordination. MENTOR Rev. Investig. Educ. Dep. 2025, 4, 58–80. [Google Scholar]
- Spieszny, M.; Wąsacz, W.; Kamys, Z. : Ambroży, T.; Kasicki, K.; Kapuściński, P.; Rydzik, Ł. The impact of coordination training on motor skills in adolescent handball players aged 14–15 years: A randomized controlled trial. Balt. J. Health Phys. Act. 2024, 16, 10. [Google Scholar] [CrossRef]
- Syafii, I.; Kusnanik, N.; Kusuma, I.; Phanpheng, Y.; Bulqini, A.; Prianto, D. The effect of two-handed overhead medicine ball throwing exercises on upper extreme muscle strength and kinematic movement in soccer throwins. Retos 2024, 54, 513–518. [Google Scholar] [CrossRef]
- Farhat, F.; Ammar, A.; Mezghani, N.; Kammoun, M.; Trabelsi, K.; Gharbi, A.; Sallemi, L.; Rebai, H.; Moalla, W.; Smits-Engelsman, B. The effect of task-oriented basketball training on motor skill-related fitness in children with developmental coordination disorder. Sports 2025, 13, 62. [Google Scholar] [CrossRef]
- Silva, C.S.C.; Ayala, L.X.Q. Influencia de las capacidades coordinativas en el gesto técnico del fútbol en jugadores Sub-10. Lect. Educ. Física Deportes 2021, 26, 137–149. [Google Scholar] [CrossRef]
- Strick, P.; Dum, R.; Rathelot, J. The cortical motor areas and the emergence of motor skills: A neuroanatomical perspective. Ann Rev. Neurosci. 2021, 44, 425–447. [Google Scholar] [CrossRef]
- Wang, X.; Liu, Y.; Li, X.; Zhang, Z.; Yang, H.; Zhang, Y.; Williams, P.; Alwahab, N.; Kapur, K.; Yu, B. Deconstruction of Corticospinal Circuits for Goal-Directed Motor Skills. Cell 2017, 171, 440–455.e14. [Google Scholar] [CrossRef]
- Zaras, N.; Stasinaki, A.-N.; Methenitis, S.; Karampatsos, G.; Fatouros, I.; Hadjicharalambous, M.; Terzis, G. Track and field throwing performance prediction: Training intervention, muscle architecture adaptations and field tests explosiveness ability. J. Phys. Educ. Sport 2019, 19, 436–443. [Google Scholar]
- Ertanto, D.; Putra, D.; Personi, M. The Contribution of Hand Eye Coordination and Arm Muscle Strength to the Accuracy of Smash in Beach Volleyball Athletes PBVSI Bengkulu City. Sinar Sport J. 2022, 2, 39–42. [Google Scholar] [CrossRef]
- Pérez, S.; Garcia, Á. Incidencia de un programa de entrenamiento coordinativo sobre la fuerza explosiva de miembros inferiores y superiores en cheerleaders femenino en edades de 12 a 14 años. Rev. Impetus 2022, 16, e-905. [Google Scholar] [CrossRef]
- Jaimes, L.M.F. Determinacion de un Modelo Predictivo de la Fuerza Explosiva Maxima en Estudiantes de Educacion Fisica. Ph.D. Thesis, University of Granada, Granada, Spain, 2012. [Google Scholar]
- Ibujés, T.C. Ejercicios Pliométricos Específicos en el Mejoramiento de la Técnica de Lanzamiento de Granada, en el Equipo de Pentatlón Militar de los Alumnos de la Escuela Técnica de la Fuerza Aérea en el 2019. Ph.D. Thesis, ESPE|Universidad de las Fuerzas Armadas, Sangolquí, Ecuador, 2021. [Google Scholar]
- Alcantara, P.W. Coordinación motora en los niños de 0 a 12 años de edad. Tesis de pregrado, Universidad nacional de tumbes. 2019. Available online: https://repositorio.untumbes.edu.pe/bitstream/handle/20.500.12874/1644/trabajo%20acad emico%20-%20alcantara%20peralta.pdf?sequence=3&isAllowed=y (accessed on 11 March 2025).
- Cano Aguilera, J.A.; Coronado Franco, C. Efectos de un Programa de Entrenamiento Coordinativo en la Marca del Arranque en Halterofilistas Categoría sub23 de Cundinamaca. Bachelor’s Thesis, University of Bogotá, Bogota, Colombia, 2019. [Google Scholar]
- Bermúdez, S.R.; Montenegro, O.A. Desarrollo de la Velocidad en Niños Mediante Trabajo de Coordinación. Expomotricidad 2013, 9, 152–181. [Google Scholar]
- Rosero-Duque, M.F.; Vásconez-Rubio, C.O.; Rosero-Soria, J.F. El entrenamiento de las capacidades coordinativas en futbolistas de 12 años. Rev Científica Espec. Cienc. Cult. Física Deporte 2022, 19, 124–142. [Google Scholar]
- Cauraugh, J.H.; Gabert, T.E.; White, J.J. Tennis serving velocity and accuracy. Percept. Mot. Ski. 1990, 70, 719–722. [Google Scholar] [CrossRef]
- Zapardiel Cortés, J.C.; Ferragut Fiol, C.; Manchado, C.; Abraldes Valeiras, J.A.; Vila Suárez, H. Difference of the speed of handball throwing during the competition in relation to efficiency: Analysis between the first and the second half. J. Hum. Sport Exerc. 2017, 12, 872–881. [Google Scholar]
- Laby, D.; Kirschen, D.; Govindarajulu, U.; de Land, P. The Hand-eye Coordination of Professional Baseball Players: The Relationship to Batting. Optom. Vis. Sci. 2018, 95, 557–567. [Google Scholar] [CrossRef]
- Weiss, P.; Kizony, R.; Feintuch, U.; Katz, N. Virtual Reality in Neurorehabilitation; Cambridge University Press: Cambridge, UK, 2006; pp. 182–197. [Google Scholar]
- Alqahtani, A.; Daghestani, L.; Ibrahim, L. Environments and System Types of Virtual Reality Technology in STEM: A Survey. Int. J. Adv. Comput. Sci. 2017, 8, 77–89. [Google Scholar]
- Dużmańska, N.; Strojny, P.; Strojny, A. Can simulator sickness be avoided? A review on temporal aspects of simulator sickness. Front. Psychol. 2018, 9, 2132. [Google Scholar] [CrossRef]
- Lee, M.; Lee, S.; Jeong, M.; Oh, H. Quality of virtual reality and its impacts on behavioral intention. Int. J. Hosp. Manag. 2020, 90, 102595. [Google Scholar] [CrossRef]
- Kim, H.; Kim, Y.; Lee, J.; Kim, J. Stereoscopic objects affect reaching performance in virtual reality environments: Influence of age on motor control. Front. Virtual Real. 2024, 5, 1475482. [Google Scholar] [CrossRef]
- Norman, J.; Crabtree, C.; Bartholomew, A.; Ferrell, E. Aging and the perception of slant from optical texture, motion parallax, and binocular disparity. Atten. Percept. Psychophys. 2009, 71, 116–130. [Google Scholar] [CrossRef]
- Kim, H.; Kim, Y.; Miyakoshi, M.; Stapornchaisit, S.; Yoshimura, N.; Koike, Y. Brain activity reflects subjective response to delayed input when using an electromyography-controlled robot. Front. Syst. Neurosci. 2021, 15, 767477. [Google Scholar] [CrossRef]





| Initial Moment | Final Moment | F | p | ||
|---|---|---|---|---|---|
| Accuracy (goal points, pts) | Control Group | 996.43 ± 936.69 | 989.29 ± 737.03 | 6.958 | 0.010 |
| Experimental Group | 820.00 ± 794.12 | 1630.00 ± 854.66 ** | |||
| Upper body strength (m) | Control Group | 3.91 ± 1.07 | 3.71 ± 1.12 | 3.387 | 0.041 |
| Experimental Group | 3.86 ± 0.68 | 4.06 ± 0.67 * | |||
| Speed (s) | Control Group | 2.26 ± 0.22 | 2.03 ± 0.19 | 20.564 | <0.001 |
| Experimental Group | 2.26 ± 0.28 | 2.44 ± 0.27 ** |
| Experimental | ||||
|---|---|---|---|---|
| Mean | SD | Minimum | Maximum | |
| GEQ: Positive_Experiences | 2.66 | 0.94 | 0.50 | 4.00 |
| GEQ: Negative_Experiences | 0.05 | 0.10 | 0.00 | 0.33 |
| GEQ: Fatigue | 1.27 | 0.77 | 0.00 | 2.50 |
| GEQ: Return to reality | 0.37 | 0.54 | 0.00 | 2.00 |
| SSQ_Nausea | 0.13 | 0.15 | 0.00 | 0.43 |
| SSQ_Oculomotor | 0.11 | 0.10 | 0.00 | 0.29 |
| SSQ_Disorientation | 0.00 | 0.00 | 0.00 | 0.00 |
| SSQ_TOTAL | 0.08 | 0.07 | 0.00 | 0.24 |
Disclaimer/Publisher’s Note: The statements, opinions and data contained in all publications are solely those of the individual author(s) and contributor(s) and not of MDPI and/or the editor(s). MDPI and/or the editor(s) disclaim responsibility for any injury to people or property resulting from any ideas, methods, instructions or products referred to in the content. |
© 2025 by the authors. Licensee MDPI, Basel, Switzerland. This article is an open access article distributed under the terms and conditions of the Creative Commons Attribution (CC BY) license (https://creativecommons.org/licenses/by/4.0/).
Share and Cite
López Rodríguez, A.; Cancela-Carral, J.M. Influence of Immersive Virtual Coordination Training on Launch Accuracy: Randomized Controlled Trial. Appl. Sci. 2025, 15, 3269. https://doi.org/10.3390/app15063269
López Rodríguez A, Cancela-Carral JM. Influence of Immersive Virtual Coordination Training on Launch Accuracy: Randomized Controlled Trial. Applied Sciences. 2025; 15(6):3269. https://doi.org/10.3390/app15063269
Chicago/Turabian StyleLópez Rodríguez, Adriana, and José María Cancela-Carral. 2025. "Influence of Immersive Virtual Coordination Training on Launch Accuracy: Randomized Controlled Trial" Applied Sciences 15, no. 6: 3269. https://doi.org/10.3390/app15063269
APA StyleLópez Rodríguez, A., & Cancela-Carral, J. M. (2025). Influence of Immersive Virtual Coordination Training on Launch Accuracy: Randomized Controlled Trial. Applied Sciences, 15(6), 3269. https://doi.org/10.3390/app15063269

