Next Article in Journal
Security Challenges and Performance Trade-Offs in On-Chain and Off-Chain Blockchain Storage: A Comprehensive Review
Next Article in Special Issue
Evaluation of Universal Accessible Housing (UAH) Design Using Virtual Reality: A Focus on Circulation Areas
Previous Article in Journal
Augmented Reality, Virtual Reality, and Intelligent Tutoring Systems in Education and Training: A Systematic Literature Review
Previous Article in Special Issue
Reimagining Historical Exploration: Multi-User Mixed Reality Systems for Cultural Heritage Sites
 
 
Font Type:
Arial Georgia Verdana
Font Size:
Aa Aa Aa
Line Spacing:
Column Width:
Background:
Article

Virtual Reality as a Perceptual-Motor Training Tool: Validity and Fidelity Assessments of a 4 × 100 m Relay Simulator

1
Aix Marseille Univ, CNRS, ISM, Marseille, France
2
Univ Gustave Eiffel, COSYS-PICS-L, Marne-la-Vallée, France
3
Univ Rennes, Inria, M2S, Rennes, France
*
Author to whom correspondence should be addressed.
Appl. Sci. 2025, 15(6), 3224; https://doi.org/10.3390/app15063224
Submission received: 29 January 2025 / Revised: 11 March 2025 / Accepted: 13 March 2025 / Published: 15 March 2025

Abstract

The use of virtual reality simulators for perceptual-motor training has increased in recent years. However, few virtual sport environments have been shown to be effective in transferring learning to the real world. From this perspective, concepts of validity and fidelity are known to be good predictors, highlighting the need to establish a method of testing them. This study measures the validity and fidelity of a relay simulator in the most comprehensive way by testing elements of physical, biomechanical, and psychological fidelity and construct validity. Twelve national-level athletes performed race initiation tasks during a baton handover in both virtual and real environment conditions. The athletes’ perceptual-motor behavior was compared on both group and individual scales (construct validity and biomechanical and psychological fidelity). These measures were complemented by measures of workload (psychological fidelity) and presence (physical fidelity). A group-scale analysis showed no significant difference in the initiation behavior of the athletes, and all of them reported high levels of presence. Moreover, individual-scale measures showed a clear maintenance of perceptual-motor behavior for most athletes. Despite few differences being found in workload, these results largely support the simulator’s validity and fidelity, which is an important step towards integrating the simulator into the training protocols of elite athletes.

1. Introduction

In recent years, virtual reality (VR) technologies have emerged as relevant tools for perceptual-motor training in sports [1,2,3,4]. Indeed, the use of virtual environments (VEs) allows for complete control over the training condition, which is not possible in the real-world environment (RWE). In addition, VEs offer the possibility of implementing training principles that are relevant for learning but rather hard to apply on the field [5]. These principles include, for example, manipulating task constraints [6], providing task-relevant feedback [7], and shaping individualized adaptive training programs [8].
Recently, a 4 × 100 m athletics relay simulator including VE technologies was created with a view to the 2024 Olympic Games, specifically to train athletes’ anticipation skills, i.e., the ability of athletes to initiate their runs at the right time to minimize speed loss during baton transmission [9]. In relays, the first runner carries a relay baton that has to be passed to the next athlete in a 30 m passing zone. The goal of the receiving runner is to optimize their start in order to catch the baton at maximum speed in the passing zone. To achieve this, the receiving athlete has a simple task, which is to initiate their run when the incoming partner passes over a reference go-mark on the ground. This transmission phase can be difficult to train on the track for several reasons. First, the repetition of the task for receiver athletes is necessarily associated with the sprints of other athletes, and repetitions of many runs at maximum speed is physiologically impossible for them to carry out and could lead to injuries. Secondly, there is no integrated measurement system on the field that allows athletes to precisely measure their performance and/or product behavior. And finally, training on a track does not allow for precise control over training conditions. The simulator was therefore created in collaboration with the French Athletics Federation in order to overcome these limitations and be able to implement the learning principles identified previously [5]. It was specially designed with the two main objectives of realistically recreating the informational context of the task while allowing the athlete to behave as if they were on the track. From our point of view, the preservation of functional relationships between perception and action is fundamental in order to optimize the anticipation capacities of high-level athletes [10,11,12]. This simulator has already been used as a tool to characterize the anticipation skills of athletes of the French national team [13], and high acceptance scores were recorded before and after using the simulator [14]. However, although this simulator is both well accepted and offers the possibility of characterizing the behavior of athletes, it is necessary to assess its efficacy as a training tool before incorporating it into athletes’ training routines as part of the next Olympiad.
In VR training, the first criterion of efficacy concerns the transfer of improvements acquired through the VE into the real world [15]. According to the review by Michalski et al. [3], despite the growing number of sports training simulators which integrate VR technologies, only four of them have demonstrated a real-world transfer—in darts [16], table tennis [17], juggling [6], and baseball batting [8]. However, many others have already used VE in sports training without any assurance as to their efficacy, thereby running the risk of wasting valuable training time and, in the worst-case scenario, even reducing the athlete’s performance. The lack of transferable training protocols in VE is probably linked to the absence of precautions taken in most studies to ensure the validity and fidelity of simulators before using them to train athletes, which represent the secondary criterion for VE evaluation and is a good predictor of transferability [15]. Although the long-term goal underlying relay simulator development is to demonstrate the transferability of virtual training, it seems necessary to first measure the simulator’s validity and fidelity. This is precisely the objective pursued in this study.
Harris et al. proposed a complete framework to assess the validity and fidelity of training VEs [18]. These principles are subdivided into subtypes that are defined and discussed according to their importance for the transfer of training. According to this framework, the assessment of the validity and fidelity of a VE must be task-specific and exhaustive, considering various aspects of the behavior. Applying this to our simulator means answering the following two questions: does the relay simulator enable athletes to maintain their perceptual-motor behavior in comparison with a real relay initiation (physical fidelity, biomechanical fidelity, and psychological fidelity)? And can the relay simulator precisely track the virtual performance with consistency with the real-life performance or, in other words, are the performance measurements obtained in VR reliable and comparable to those made in reality (construct validity)? Consequently, we aimed to assess the validity of the simulator with several complementary variables. Each of them was chosen in light of Harris et al.’s framework recommendations [18] and the results of Chomienne et al. relating to the characterization of perceptual-motor behavior produced by athletes in the relay task [13].
The relay initiation task is an overall movement that can be broken down into three key events that occur in a specific order [13]. First, as the partner approaches, the athlete begins their motor routine by lowering their center of mass in a back-and-forth movement. This first event, called the wave, is followed by gaze release, i.e., the moment when the athlete stops taking visual information from their partner’s approach and turns their head in the direction of the run. Finally, gaze release is immediately followed by the rear foot lift, which is considered by the coach to be the initiation of the run. By extension, the anticipation performance corresponds to the difference in time between the passage of the approaching athlete over the mark (more precisely, the passage of the pelvis vertically above the mark) and the foot lift action performed by the receiving athlete. These key events are specific markers of the motor behavior during a relay initiation and are inherent to each individual. They constitute a perceptual-motor signature of the behavior performed and are totally linked from the very beginning of the movement to the foot lift action. In addition, the relative timing of the occurrence of each event is also an indicator of the underlying control process. It has been shown that high-level relay athletes are able to adjust the timing of the occurrence of these three events in order to initiate their run at the right time. Over trials, for a specific athlete, the wave initiation is very variable over time, while the foot lift action is relatively stable and more precise. From a behavioral perspective, this variability reduction reflects athletes’ ability to use the information related to the temporal proximity of the partner in order to adapt their movement online to optimize the final result. This control process has already been described in relay [13] and in other sports [19,20].
Assuming that these specificities are representative of relay initiation, the assessment of validity and fidelity is mainly based on a comparison of athletes’ behaviors at the group and athlete levels in two conditions: VE and RWE (construct validity). From a biomechanical point of view, we compared the timing of occurrence for each key event between VE and RWE conditions (biomechanical fidelity). This measure also enables us to assess whether the variability pattern is maintained in the VE, i.e., whether the control process involved is similar (psychological fidelity). The timing error produced was also compared in the two conditions (i.e., VE and RWE). These task-specific measures were supplemented by two complementary questionnaires as in Harris et al.’s method [21]. Participants reported their feeling of presence to ensure that the VE was sufficiently immersive (physical fidelity) [22] and the perceptual-cognitive demands of the VE were measured and compared with the RWE though a self-report measure of task load called the Simulation Task Load Index (SIM-TLX; psychological fidelity) [23].
To summarize, the aim of this study was to assess the validity and fidelity of a relay simulator in the most exhaustive way. From a validity perspective, it was hypothesized that the simulator would be an accurate measurement tool of athletes’ behavior, making it possible to reflect real-life performance consistently, i.e., a simulator that is able to reliably differentiate different levels of expertise. From a fidelity perspective, it was expected that perceptual-motor behavior in the VE would be similar to that in the RWE, i.e., that the VE is sufficiently realistic to allow the user to behave as in the RWE.

2. Materials and Methods

This section outlines the methodology employed in this study. First, the participant recruitment process is detailed, with the inclusion criteria and selection procedures specified. Then, the materials and experimental environments are described, providing an overview of the equipment used. The measures and data processing methods are then introduced, explaining the variables recorded and their treatment. The experimental procedure is subsequently presented, detailing the sequence of events during the study. Finally, the statistical analyses applied to the collected data are described.

2.1. Participants

Twelve athletes (mean age = 21.17 ± 4.04 years; eight males and four females), practicing relay at the national level, participated in the experiment. This sample size is supported by an a posteriori power analysis that predicts, for an effect size (f = 0.3), a type I error (α = 0.5) and a power of 1–β = 0.7, a sample of n = 12 participants. All were recruited from the athletics club of Société Culturelle Omnisport (SCO) of Marseille and every participant competed at least once in a 4 × 100 m relay meeting at the national level. None of them had previous experience with the VE. They all had normal or corrected-to-normal vision and reported no injuries. All participants gave written informed consent. The study was conducted in line with the ethical guidelines of the national ethics committee (CERSTAPS no. IRB00012476-2024-23-04-311) as well as in compliance with the Declaration of Helsinki for human research and the international principles governing research on humans.

2.2. Material

The VE was a reproduction of the athletics track of the Stade de France (Figure 1A). It was developed using the gaming engine Unity (version: 3.2.0) and projected via a wireless HMD device (model: HTC Vive Focus 3; field of view: 120°; resolution: 2448 × 2448 pixels per eye; refresh rate: 90 Hz; HTC Inc., Taoyuan City, Taiwan) and a laptop with a 2.2 GHz Intel Core i9 processor and NVIDIA RTX A4500 graphics card. HTC Vive trackers (<1 mm spatial resolution, 90 Hz temporal resolution) were placed on the feet and on the head to record their position and analyze participants’ motor behavior. Trackers placed on the feet also enabled virtual feet to be generated in the environment. Three lighthouse lasers were used to detect the position and orientation of the HMD and of the trackers. This virtual environment was developed for use in training by the French relay team. It is not intended for personal use.
During the experiment, the virtual task was performed in a closed room with enough space for the participants to run 15 m. When immersed in the VE, participants were standing in the starting position on the fourth lane of the virtual track, as the third runner of the team. They were waiting for the approach of their virtual partner positioned behind them, as the second runner of the team. Realistic avatars were created via motion captures collected on male and female U20 athletes of the French national team using a marker-less system (Xsens MVN; Xsens Technologies B.V., Enschede, NL, The Netherlands). These avatars were fully customizable in terms of starting distance and approach speed from trial to trial. The distance between the go-mark and the participant can also be parametrized. At the onset of each trial, the avatar started running at a constant speed, and participants were instructed to initiate their run when the avatar passed over the go-mark placed in the running lane. After the first two strides of their run, participants had to decelerate and stop and could then return to their starting line to wait for a new trial. At the end of each trial, feedback depicting the timing error in milliseconds (ms) could be delivered in the VE (time between the avatar’s passage over the mark and the running initiation of the participant objectified by the lift of the rear foot).
The real-world environment (RWE) was the athletics track at the Pierre Delort stadium (Marseille). In this condition, the virtual avatar and go-mark were replaced by real ones. During the tests in the RWE, the athletes were equipped in the same way as during the tests in the VE. HTC Vive trackers were placed on the feet and head, and three lighthouse lasers detected their positions. However, the HMD was placed on the floor next to the participant instead of on their heads. At the start of each RWE trial, a VE trial was run simultaneously to ensure data recording. A photocell integrated into the data acquisition system was placed at the go-mark level and used as a reference for calculating the timing error. The virtual condition and real condition setups functioned simultaneously in order to carry out acquisitions simultaneously in both conditions.

2.3. Measures and Data Processing

This section presents the various measurements employed in the study. The first two subsections introduce the Presence Questionnaire and the Simulation Task Load Index (SIM-TLX), both completed by participants to assess their subjective experience. The final subsection focuses on the identification of key behavioral events during running initiation, which are representative of task performance. The relevance and specific use of these events in the analysis are also detailed.

2.3.1. Presence Questionnaire

After executing all trials in the VE condition, participants were asked to rate their sense of presence by answering three questions from the Presence Questionnaire [22]. These questions relate, respectively, to the sense of “being there” in the VE, the extent to which the virtual world seemed more like the presenting reality than the real world, and the sense of visiting somewhere rather than seeing images of something. Responses were given on seven-point Likert scales, and results of the three questions were summed to obtain a final presence score by participant.

2.3.2. Simulation Task Load Index (SIM-TLX)

The SIM-TLX [23] is a questionnaire inspired by the NASA-TLX [24], assessing the workload during tasks executed in VEs. After completing all trials in one of the two conditions (VE or RWE), participants were asked to rate the level of demand they had experienced on nine subscales, reflecting, respectively, different workload dimensions: mental demands; physical demands; temporal demands; frustration; task complexity; situational stress; distractions; perceptual strain; and task control. Responses were given on a twenty-one-point Likert scale anchored between “very low” and “very high”. The workload score was then averaged between participants for each dimension and then compared between the two conditions.

2.3.3. Running Initiation Key Events of Interest/Initiation Timing Error

In both VE and RWE conditions, and following Chomienne et al.’s method [13], three key events were identified and measured regarding the running initiation task: wave initiation, gaze release, and foot lift (Figure 1B). Wave initiation corresponds to the moment when the participant begins to lower their head as their partner approaches. It corresponds to the beginning of the preparatory movement that precedes the initiation of the run. Gaze release is much closer to the race initiation and corresponds to the moment when the athlete’s head turns away to face the athletics track. Gaze release is also associated with the last moment athletes can receive visual information about their partner. Finally, the foot lift action is the main marker of performance. It corresponds to the moment when the participant lifts their rear foot (right foot during the experiment). This event is considered as the initiation of the run. The timing of each event was computed for each participant as the difference in milliseconds between the time of occurrence of each event in reference to the time of the partner’s passage on the mark. The passage of the partner corresponds to the value of 0. Events preceding the partner’s passage have a negative sign, and those following it have a positive sign.
Detections of the three events were then expressed in ms relative to the avatar’s passage over the mark. The detection method is detailed in Chomienne et al.’s article [13]. The 8 trials were averaged per participant for each event and for each condition. Between-participant and within-participant variability were also measured. Between-participant variability corresponds to the standard deviation between the means of each participant for each event. Within-participant variability corresponds to the mean of intra-participant standard deviations for each event and participant. The data analysis was first carried out at the group scale (paired comparison of the 12 participants) in order to identify the general behavioral tendency. Secondly, the data analysis was performed at the participant scale (paired comparison for each participant) to precisely assess the impact of the VE on the behavior of each athlete.

2.4. Procedure

The participants were required to attend the stadium in groups of four for a single event, which lasted approximately 2 h. All participants warmed up for 20 min under the guidance of their coach. Athletes were then divided into two pairs: the experimental pair and the partner pair. Each member of the experimental pair was then randomly assigned to one of the two conditions. While the first participant underwent the VE condition, the second underwent the RWE condition. In the VE condition, participants were initially asked to perform 10 familiarization trials without feedback in order to become familiarized with the VE. This familiarization period was followed by an acquisition block of 8 trials. In both familiarization and acquisition block, the partner’s avatar and the go-mark were, respectively, 38 m and 8 m behind the participant. The partner’s speeds varied randomly between 9 and 11 m/s between trials. This range was calculated using the respective speeds of each athlete of the cohort measured a priori by their coach. The speed randomization did not vary between participants. In the RWE condition, participants performed 8 trials without familiarization. As in the VE condition, the partner was 38 m behind the participant, and the go-mark was 8 m behind. Sprints in the RWE condition were performed by the partner pair. The partner athletes performed the sprints alternately, with 3 min of recovery time between 2 consecutive sprints. When participants of the experimental pair had completed all their trials, they switched their conditions (i.e., the participant who was tested in the VE condition moved to the RWE condition, and vice versa). Athletes of the partner pair continued to sprint for the second participant. Once the two participants of the experimental pair had completed both conditions, they became the partner pair, and vice versa. In total, each participant completed 26 trials (10 familiarization, 2 × 8 acquisition) and 8 sprints. After completing the VE trials, participants had to complete presence and SIM-TLX questionnaires. They also had to complete the SIM-TLX after completing the RWE trials.

2.5. Statistical Analysis

Statistical analysis was performed using JASP (Version 0.18.3) and R (Version 4.4.1). Presence questionnaire scores were compared with the mid-way point of the scale using a one sample t-test. SIM-TLX scores of each dimension were compared via a paired t-test between conditions. Questionnaire scores were initially checked for normality.
Two ANOVAs were performed on key event data. The first one was a 2 (conditions: VE and RWE) × 3 (events: wave initiation, gaze release, and foot lift) repeated measures ANOVA at the group scale to compare the participants’ behavior averaged over the 12 participants. The second one was a 2 (conditions: VE and RWE) × 3 (events: wave initiation, gaze release, and foot lift) × 12 (participant) mixed ANOVA at the participant scale, with condition and event as repeated measures and participant as a fixed factor. This test enabled us to compare the behavior of participants depending on the conditions while considering inter-individual differences. It also made it possible to evaluate the behavioral similarity between VE and RWE at the participant level. Homogeneity of variance and sphericity were checked, and Grennhouse–Geissner sphericity correction was applied when necessary. Follow-up t-tests with Bonferroni correction were used for intra-participant post hoc analyses in order to determine for which participants behavioral differences were significant. Effect sizes were calculated for every test using Cohen’s d and partial eta squared.

3. Results

This section introduces the results of each measure that was made. The results are presented in the same order as the methods.

3.1. Presence Questionnaire

Scores of the Presence Questionnaire could range from 0 to 21, with 21 indicating the highest level of presence. The mean score obtained after the VR condition was 16.4 ± 2.1 and was significantly different from the midpoint of the scale set at 10.5 (p < 0.001, d = 2.698). Moreover, the distribution plot (Figure 2) shows that, on the individual scale, all participants rated a high presence score between 14 and 21.

3.2. Simulation Task Load Index (SIM-TLX)

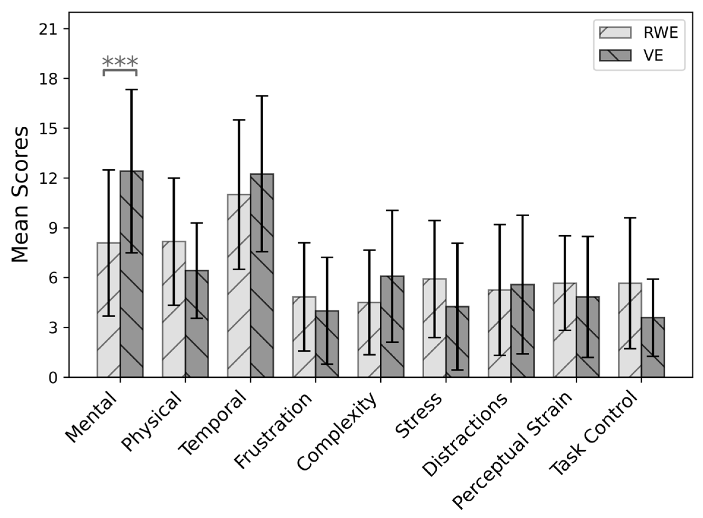
The SIM-TLX scores are illustrated in Figure 3. Paired-samples t-tests with Bonferroni correction show no significant difference between the VE and RWE conditions except for one dimension. In fact, the results show that only mental demand is significantly higher in the VR condition than in the RWE condition (p = 0.001; d = 1.277).

3.3. Running Initiation Key Events of Interest/Running Initiation Performance

A behavioral comparison of key events’ appearance between conditions was made at different scales. The first section presents the group-scale analysis. The second section focuses on the global within-athletes variability pattern among the key events. Finally, the third section zooms in on each participant’s behavior across conditions.

3.3.1. Group Scale

As shown in Figure 4, the three key initiation events of interest exhibit a similar pattern in the two conditions. Wave initiations occur first in both the RWE and VE conditions with respective average timings of −2507 (±721) ms and −2704 (±1191) ms before the partner crosses the mark. Gaze releases and foot lifts occur later and closer together. The average timings of gaze release are −349 (±216) ms in RWE and −331 (±186) ms in VE. Foot lifts occur on average at 5 (±90) ms in RWE and 72 (±129) ms in VE. The repeated measures ANOVA revealed that the three events occur at different times (F (2,66) = 57.930; p < 0.001; η p 2 = 0.840). Post hoc comparisons with Bonferroni corrections revealed that wave initiations occur significantly earlier than gaze releases (p < 0.001; d = 3.371) and foot lifts (p < 0.001; d = 3.935) in both conditions. Although there was no significant difference between the average times of gaze releases and foot lifts, gaze releases seem to temporally precede foot lifts (p = 0.132; d = 0.564). The comparison between conditions shows no significant difference between VE and RWE behavior (p = 0.707; d = 0.055), and there was no interaction between conditions and key events (p = 0.826; η p 2 = 0.002).

3.3.2. Within-Participant Variability

The within-athlete variability (between trials) analysis shows a gradual reduction in variability over time in both the RWE and VE conditions (Figure 5). Wave initiation is much more variable (468 (±216) ms and 484 (±228) ms in the RWE and VE conditions, respectively) than both gaze release variability (98 (±53) ms and 85 (±34) in the RWE and VE conditions, respectively) and foot lift variability (81 (±34) ms and 102(±66) ms in the RWE and VE conditions, respectively). A repeated measures ANOVA confirmed that event variability differed significantly (F (2,66) = 52.049; p < 0.001; η p 2 = 0.826). A post hoc comparison revealed that wave variability was significantly higher than both gaze release (p < 0.001; d = 2.867) and foot lift variability (p < 0.001; d = 2.865). No significant difference was found between the RWE and VE variabilities (p = 0.859; d = 0.043), and there was no interaction between the conditions and key events (p = 0.639; η p 2 = 0.021).

3.3.3. Participant Scale

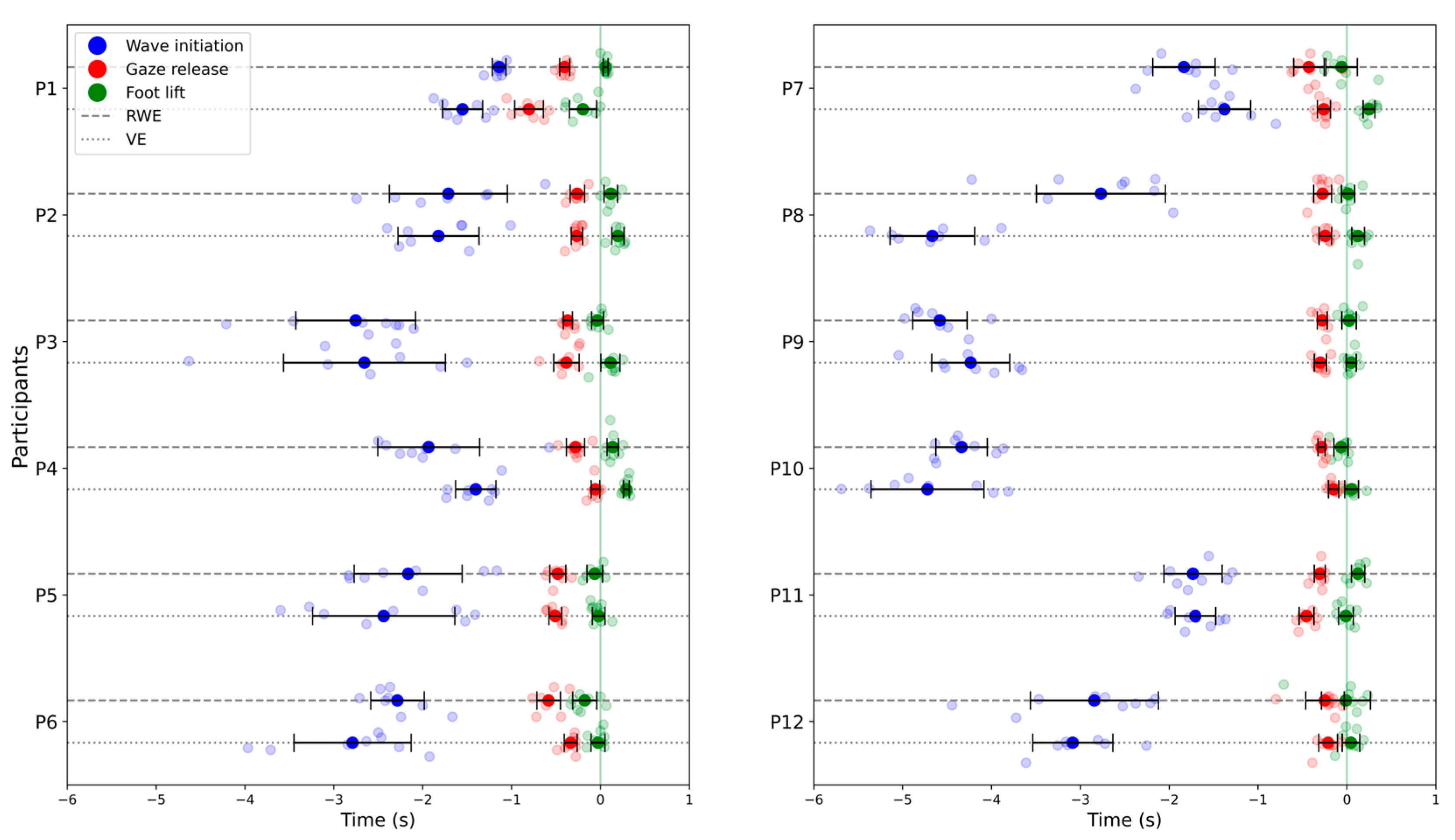
The sample scale figure is completed by Figure 6, which shows the three key initiation events in VE and RWE for each participant. At the sample scale, the participant-scale analysis demonstrates that the three key events exhibit a similar pattern for every participant with the wave initiation that occurs first, followed by the gaze release action that occurs in second place and the foot lift action that occurs in third place. However, although the pattern is maintained, the participant-scale analyses reveal differences among participants in the relative timing of these events.
For example, the average timings of P6 and P9 in the RWE condition are very different for the three key events, especially for the wave initiation. P6 initiates their wave much later than P9 (−2285 ± 300 ms vs. −4581 ± 300 ms). However, despite the differences between participants, the behavior of most participants seems to be maintained throughout the VE condition. The only participants with obvious behavioral differences are P1, P4, and P8, with P1 and P4 being the only ones to show a visible difference over the whole running initiation, i.e., over the three key events. The mixed ANOVA (repeated measures: conditions and events; fixed factor: participants) confirmed the previous description showing no significant behavioral difference between the VE and RWE conditions. However, all other comparisons are significant, whether single effects or interactions. The timings of the events are significantly different (F (1,85) = 3760.165; p < 0.001; η p 2 = 0.978), the participants’ behavior also differs significantly (F (11,84) = 40.219; p < 0.001; η p 2 = 0.840), and a double interaction of participants × conditions × events is also significant (F (11,86) = 6.290; p < 0.001; η p 2 = 0.452). Intra-participant post hoc comparisons with Bonferroni correction were made in order to compare each key event’s timing occurrence in both conditions (i.e., VE and RWE). The results show that for 8 of the 12 participants, there was no significant timing difference for any of the key events. Nevertheless, significant differences were found for P1, P4, P8, and P10 for at least one of the three events (P8—wave initiation: p < 0.05, d = 2.905; P4—gaze release and foot lift: p < 0.05 and p < 0.05, d = 2.857 and d = 2.505; P1—gaze release: p < 0.01, d = 2.28; P10—gaze release: p < 0.05, d = 2.536).

4. Discussion

Given the current growth of interest in the use of VR technologies for perceptual-motor training in sport, there is an urge to take a number of methodological precautions with regard to their effectiveness before using them to characterize and/or optimize the underlying (perceptual-motor) processes. In this regard, the notions of validity and fidelity are emerging in the literature as relevant predictive criteria. Consequently, the aim of this study was to assess the validity and fidelity of a relay simulator in the most exhaustive way.
The overall results suggest that the simulator is, on the one hand, an accurate tool for the measurement of athletes’ behavior (validity) and, on the other hand, allows athletes to behave in the virtual task as if they were on the real track (fidelity). This assertion is based on several complementary measures carried out in this study and discussed below. First, the results concerning the sense of presence and the comparison of workload are discussed. The results concerning the perceptual-motor behavior of the athletes at different scales are then analyzed.
Every participant reported a high level of presence in the environment. In comparison with previous uses of this scale in the literature, these results suggest that the virtual task is immersive and that the physical fidelity is sufficient (16.4 ± 2.1 in this study; 12.7 ± 4.5 in Harris’s study [21]). A high level of presence could lead to user engagement, which is a benefit to training efficacy. However, while a high sense of presence is desirable for the take-up of the technology, it is not necessarily a good predictor of training efficacy. High physical fidelity is often associated with high graphical realism, which is not necessarily linked to the key perceptual features of the task [25]. This emphasizes the need to conduct an exhaustive fidelity assessment with complementary measures. Next, the perceptual-cognitive demands of the VE were compared with those of the RWE using self-report scales of task load in each condition. Among the nine workload dimensions measured using the SIM-TLX, only the “mental demands” differed significantly between conditions: the measures of mental demands were significantly higher in the VE. This result is consistent with those obtained by Lackey et al. [26], which show that good immersion in a VR task was positively correlated with additional mental demands. Another possibility concerning this result could be related to environmental conditions during VE trials: the VE running initiations were conducted in a closed room, and participants could potentially experience higher mental demands when running toward a wall. This result can also be discussed in the context of the Cognitive Load Theory. Studies in the literature on Cognitive Load Theory consider three different types of load [27,28]: the intrinsic load of the learner, which is inherent in the complexity of the task; the extraneous load, which is linked to the way the task is presented; and the germane load, which is directly associated with the learning process. The absolute cognitive load is considered as the sum of the three types of load. So, if this theory is applied to this study, the difference in mental demand between the two conditions could be explained by a difference in one of the three load types. However, the context of the task differs greatly between the two conditions. In the RWE, the athletes are on their usual training track, whereas in the VE, they are immersed in the Stade de France on the Olympic Games track. This difference can typically induce an additional extraneous load that influences the global cognitive load score. It would be interesting to assess in future studies whether this cognitive load increase affects performance using the dual-task paradigm. However, since eight of the nine dimensions do not differ significantly, the global SIM-TLX assessment mostly supports the idea that the workload of the virtual task does not differ significantly from the real one, which supports the psychological fidelity of the simulator.
Athletes’ perceptual-motor behavior has also been compared between the VE and RWE conditions by measuring the timing of the three key events for each trial (wave initiation, gaze release, and foot lift). The aim of this comparison was to determine whether the simulator is an accurate tool for measuring athletes’ perceptual-motor behavior (construct validity) and whether it allows participants to behave in a similar way in the virtual task as they would on the field (biomechanical fidelity and psychological fidelity). The group-scale comparison between virtual and real behaviors revealed no significant differences between the time of occurrence of the three events, supporting the idea that the chronology of events is comparable in the two conditions. In accordance with the results of Chomienne et al. [13], the wave initiation occurs first, followed, respectively, by gaze release and foot lift. The wave initiation timing differs significantly from the other events independently of the condition. Gaze release and foot lift timings do not differ significantly and are very close to each other, but still the specific order described above is maintained. Another interesting result concerns the between-participant variability of each event. The timing of wave initiation varied widely between athletes, reflecting the diversity of strategies employed. This between-participant variability decreases over time in both conditions to reach its minima at the foot lift moment, which is the event associated with anticipation performance. This variability pattern is also consistent with Chomienne et al.’s [13] findings and shows that although different strategies are employed, they all have a common goal of initiating the run at the optimum moment. The present study also reports that the VR device used appears to preserve these different strategies. The overall group-scale analysis shows that the athletes behave similarly in both conditions (VE and RWE). The timing of the key events does not differ, so it can be assumed that the virtual task does not constrain the movement and allows for consistent perceptual-motor behavior. These interpretations are supported by the same decrease over time of inter-participant variability in the two conditions, showing that different perceptual-motor strategies were employed by the athletes. Those strategies were efficient in the two conditions. With regard to assessing the fidelity of the simulator, these results largely support psychological and biomechanical fidelity.
When looking at within-athlete variability (i.e., variability from trial to trial for a given athlete and a given event), the results revealed that, in the same way as the between-athlete variability, no significant difference was found between the two conditions, and event variability decreases over time. For both the VE and RWE conditions, the wave is significantly more variable than gaze release and foot lift. This means that participants initiate their waves at different moments over trials and adjust wave kinematics to reduce the variability of the last event (i.e., foot lift) to maximize performance. In both virtual and real tasks, athletes adjust their preparatory movements using the perceptual information of the approaching partner. Similar control strategies have already been described in other sports [19,20] and in relays [13]. The fact that this control strategy is maintained during the virtual task reinforces the idea that the simulator consistently reproduces the perceptual-motor dialog of the real task, which largely supports the psychological fidelity of the simulator. Among the participants, only P1 seems to use another perceptual-motor control strategy without any reduction in variability over time. The variability of P1’s triggering is stable over time for all key events. This means that, in contrast to the other participants, the motor sequence is performed according to an open-loop control mode, i.e., without adjustment during motor execution. In this strategy, the final performance is conditioned by the initiation of the motor sequence, i.e., by the initiation of the wave. Although P1’s strategy is different from the others, it is the same in both the VE and RWE conditions, thus confirming the psychological validity of the simulator.
However, while a group-scale analysis provides an overview of the participants’ behavior, it is not sufficient to determine what is happening at the level of each athlete. A participant-scale analysis showed no significant differences in the chronology of key events between the two conditions (VE and RWE): the initiation of the wave occurs first, followed by gaze release and foot lift. Now, the precise chronology of the three events differed significantly between the participants, confirming the use of specific strategies. Zooming in on each athlete, the results reveal that the initiation behavior was strictly similar between conditions for 8 of 12 participants (no significant difference was found in the intra-participant post hoc comparisons for any of the key events). For three of the four remaining participants, only one of the three key events differed significantly (gaze release for P1 and P10 and wave initiation for P8). Two key events differed for P4 (gaze release and foot lift). The wave initiation difference in P8 is explained by a methodological limit. During acquisition in the RWE condition, P8 initiated their wave as soon as the sprinting partner began to move, i.e., before the experimenter started to collect data. Therefore, it is reasonable to assume that without this experimental problem, P8 could have completely maintained their behavior between the two conditions. This means that for all participants, behavior remains partly similar between the two conditions. The behavioral differences in the four participants could be explained by the short duration of the familiarization phase proposed in our experiment. In fact, the participants only had 10 trials to become familiarized with the simulator, and yet most of them maintained their behavior. It is reasonable to assume that by extending the familiarization period where necessary, all behaviors in both conditions would be comparable. These results are crucial with regard to assessing the ability of the simulator to precisely measure athletes’ behavior. Indeed, not only is the simulator able to measure that a user behaves identically, but it also differentiates between individuals by capturing their own initiation strategies. This strongly supports the construct validity while confirming the biomechanical and psychological fidelity of the simulator. Usually, a construct validity assessment of simulators is performed by comparing the behavior and performance of a novice vs. an expert on the simulator and measuring whether the performance difference obtained is consistent with reality [18,21,29,30,31]. The relay initiation skill is a quite specific anticipation task, and “relay expertise” does not necessary reflect anticipation performance. A good relay athlete is generally a fast runner. The notion of anticipatory performance is secondary and is not considered in the assessment of expertise. Taking this fact into account, an alternative way to assess construct validity is to verify whether individual behavioral strategies and performance are maintained in the VE. That is what was carried out in this study. Maintaining performance revealed that the simulator enables the athlete to behave in a natural and spontaneous way (biomechanical fidelity), that the athlete uses the same perceptual information to control their movement (psychological fidelity), and, above all, proves that the simulator is able to correctly measure user behavior (construct validity).
In this study, the validity and fidelity of a VR relay simulator were tested in the most exhaustive way through numerous complementary measures. The evaluation showed that the simulator accurately reproduced the task constraints, allowing the athletes to behave as if they were on the track, while providing a reliable tool for measuring performance. Although the results largely support the validity and fidelity of the simulator, the sample size of this study remains rather small, and it will be interesting to compare the behaviors of a larger number of athletes. A larger-scale comparison could provide more confident results in terms of behavior preservation in the virtual task and also give the possibility of clustering individual athletes’ strategies. It would also be interesting to carry out a more in-depth comparison of motor behavior using other analyses such as Spatial Parametric Mapping (SPM) or using another kinematic measurement system independent of the simulator. Once this work has been completed, it will be necessary to continue the work initiated by Chomienne et al. by using the simulator as a tool for characterizing athletes’ performance [13]. Furthermore, it is essential to point out that the validity and fidelity of the simulator are not sufficient to guarantee a potential transfer of learning to reality but are part of the methodological precautions that maximize the chances of obtaining it [15]. This type of study aims to prove that VR is a suitable tool for perceptual-motor training, provided that the validity and fidelity criteria are met. Their measurements should therefore be an integral part of the design process for future simulators. It should be noted that the 4 × 100 m relay is a simple sporting discipline to replicate virtually, compared with others such as team sports. The absence of haptic feedback is a huge limit for most virtual environments. However, the relay initiation task does not require any haptic feedback. The decision-making process is based on visual information about the incoming partner, and that is why this motor task is compatible with a virtual environment. On the other hand, depth perception is indeed a potential limit of the simulator, and it would be relevant to test whether distance perception is biased in virtual reality. But according to Gray [15], good psychological fidelity can be absolute or relative. Absolute psychological fidelity means that every variable of the environment is identical to reality. Relative psychological fidelity means that although some variables differ, like distance perception, they vary proportionally. Absolute psychological fidelity is optimal for the transfer of training, but relative fidelity is also functional. Moreover, depth perception bias can be overcome by immersing free-moving athletes in rich and structured virtual environments, providing them with a large amount of motion parallax and other sources of information, which is well documented to greatly attenuate virtual misperception [32]. The challenge for the years to come will be to create valid and faithful simulators for more complex sports. Assuming that the results of this study are encouraging, the next step will be to assess whether training athletes’ anticipation skills using the simulator is a method transferable to the field. With these methodological precautions having now been taken, it is time to start using the simulator as a training tool to measure performance improvements in the real world. As mentioned above, it would also be a matter of completing the work on characterizing the different types of anticipation behavior. All of these studies focus on a single final objective: creating a virtual training protocol for the anticipation skills of the French team’s relay experts.

Author Contributions

Conceptualization, M.E., L.C. and G.M.; methodology, M.E., L.C. and G.M.; software, M.E.; validation, M.E., L.C., V.H. and G.M.; formal analysis, M.E.; investigation, M.E., L.C. and V.H.; data curation, M.E.; writing—original draft preparation, M.E.; writing—review and editing, M.E., L.C., V.H., N.M., R.K. and G.M.; visualization, M.E.; supervision, G.M.; project administration, G.M.; funding acquisition, N.M., R.K. and G.M. All authors have read and agreed to the published version of the manuscript.

Funding

This work is part of the REVEA project supported by a government grant managed by the French National Research Agency (ANR) as part of the ‘France 2030’ program (20-STHP-0004).

Institutional Review Board Statement

This study was performed in line with the principles of the 1964 Declaration of Helsinki. Ethical approval for this study was obtained from the Comité d’Éthique pour la Recherche en STAPS (CERSTAPS no. IRB00012476-2024-23-04-311).

Informed Consent Statement

Informed consent was obtained from all subjects involved in this study.

Data Availability Statement

The raw data supporting the conclusions of this article will be made available by the authors on request.

Acknowledgments

We would like to thank the coach (Erwin Malvezin) and the athletes of the athletics club of the Société Culturelle Omnisport (SCO) of Marseille for their involvement in this experiment. We would also like to thank the coaches of the French 4 × 100 m relay teams (Franck Né, Richard Cursaz), the performance optimization unit of the French Athletics Federation (Hugo Maciejewski), for their involvement in the REVEA project.

Conflicts of Interest

The authors declare no conflicts of interest.

References

  1. Miles, H.C.; Pop, S.R.; Watt, S.J.; Lawrence, G.P.; John, N.W. A Review of Virtual Environments for Training in Ball Sports. Comput. Graph. 2012, 36, 714–726. [Google Scholar] [CrossRef]
  2. Neumann, D.L.; Moffitt, R.L.; Thomas, P.R.; Loveday, K.; Watling, D.P.; Lombard, C.L.; Antonova, S.; Tremeer, M.A. A Systematic Review of the Application of Interactive Virtual Reality to Sport. Virtual Real. 2018, 22, 183–198. [Google Scholar] [CrossRef]
  3. Michalski, S.C.; Szpak, A.; Loetscher, T. Using Virtual Environments to Improve Real-World Motor Skills in Sports: A Systematic Review. Front. Psychol. 2019, 10, 2159. [Google Scholar] [CrossRef] [PubMed]
  4. Le Noury, P.; Polman, R.; Maloney, M.; Gorman, A. A Narrative Review of the Current State of Extended Reality Technology and How It Can Be Utilised in Sport. Sports Med. 2022, 52, 1473–1489. [Google Scholar] [CrossRef]
  5. Hendry, D.T.; Ford, P.R.; Williams, A.M.; Hodges, N.J. Five Evidence-Based Principles of Effective Practice and Instruction. In Routledge Handbook of Sport Expertise; Baker, J., Farrow, D., Eds.; Routledge: London, UK, 2015; pp. 414–429. ISBN 978-1-315-77667-5. [Google Scholar]
  6. Lammfromm, R.; Gopher, D. Transfer of Skill from a Virtual Reality Trainer to Real Juggling. BIO Web Conf. 2011, 1, 00054. [Google Scholar] [CrossRef]
  7. Sigrist, R.; Rauter, G.; Marchal-Crespo, L.; Riener, R.; Wolf, P. Sonification and Haptic Feedback in Addition to Visual Feedback Enhances Complex Motor Task Learning. Exp. Brain Res. 2015, 233, 909–925. [Google Scholar] [CrossRef]
  8. Gray, R. Transfer of Training from Virtual to Real Baseball Batting. Front. Psychol. 2017, 8, 2183. [Google Scholar] [CrossRef]
  9. Montagne, G.; Mascret, N.; Bossard, M.; Chomienne, L.; Ledouit, S.; Rao, G.; Tordi, N.; Verhulst, E.; Kulpa, R. An Interdisciplinary Framework to Optimize the Anticipation Skills of High-Level Athletes Using Virtual Reality. Front. Sports Act. Living 2024, 6, 1324016. [Google Scholar] [CrossRef]
  10. Montagne, G. Prospective Control in Sport. Int. J. Sport Psychol. 2005, 36, 127–150. [Google Scholar]
  11. Warren, W.H. The Dynamics of Perception and Action. Psychol. Rev. 2006, 113, 358–389. [Google Scholar] [CrossRef]
  12. Craig, C. Understanding Perception and Action in Sport: How Can Virtual Reality Technology Help? Sports Technol. 2013, 6, 161–169. [Google Scholar] [CrossRef]
  13. Chomienne, L.; Egiziano, M.; Stefanuto, L.; Bossard, M.; Verhulst, E.; Kulpa, R.; Mascret, N.; Montagne, G. Virtual Reality to Characterize Anticipation Skills of Top-level 4 × 100 m Relay Athletes. Eur. J. Sport Sci. 2024, 24, 1463–1471. [Google Scholar] [CrossRef]
  14. Mascret, N.; Montagne, G.; Devrièse-Sence, A.; Kulpa, R. Is Virtual Reality Head-Mounted Display Accepted by Coaches to Enhance Sport Performance? Virtual Real. 2025, 29, 27. [Google Scholar] [CrossRef]
  15. Gray, R. Virtual Environments and Their Role in Developing Perceptual-Cognitive Skills in Sports. In Anticipation and Decision Making in Sport; Routledge: London, UK, 2019; ISBN 978-1-315-14627-0. [Google Scholar]
  16. Tirp, J.; Steingröver, C.; Wattie, N.; Baker, J.; Schorer, J. Virtual Realities as Optimal Learning Environments in Sport—A Transfer Study of Virtual and Real Dart Throwing. Psychol. Test Assess. Model. 2015, 57, 57–69. [Google Scholar]
  17. Todorov, E.; Shadmehr, R.; Bizzi, E. Augmented Feedback Presented in a Virtual Environment Accelerates Learning of a Difficult Motor Task. J. Mot. Behav. 1997, 29, 147–158. [Google Scholar] [CrossRef]
  18. Harris, D.J.; Bird, J.M.; Smart, P.A.; Wilson, M.R.; Vine, S.J. A Framework for the Testing and Validation of Simulated Environments in Experimentation and Training. Front. Psychol. 2020, 11, 605. [Google Scholar] [CrossRef]
  19. Bootsma, R.J. Timing an Attacking Forehand Drive in Table Tennis. J. Exp. Psychol. Hum. Percept. Perform. 1990, 16, 21–29. [Google Scholar] [CrossRef]
  20. Bardy, B.G.; Laurent, M. How Is Body Orientation Controlled during Somersaulting? J. Exp. Psychol. Hum. Percept. Perform. 1998, 24, 963–977. [Google Scholar] [CrossRef]
  21. Harris, D. Exploring Sensorimotor Performance and User Experience within a Virtual Reality Golf Putting Simulator. PsyArXiv 2019. [Google Scholar] [CrossRef]
  22. Slater, M.; Usoh, M.; Steed, A. Taking Steps: The Influence of a Walking Technique on Presence in Virtual Reality. ACM Trans. Comput.-Hum. Interact. 1995, 2, 201–219. [Google Scholar] [CrossRef]
  23. Harris, D.; Wilson, M.; Vine, S. Development and Validation of a Simulation Workload Measure: The Simulation Task Load Index (SIM-TLX). Virtual Real. 2020, 24, 557–566. [Google Scholar] [CrossRef]
  24. Hart, S.G.; Staveland, L.E. Development of NASA-TLX (Task Load Index): Results of Empirical and Theoretical Research. In Advances in Psychology; Elsevier: Amsterdam, The Netherlands, 1988; Volume 52, pp. 139–183. ISBN 978-0-444-70388-0. [Google Scholar]
  25. Bowman, D.A.; McMahan, R.P. Virtual Reality: How Much Immersion Is Enough? Computer 2007, 40, 36–43. [Google Scholar] [CrossRef]
  26. Lackey, S.J.; Salcedo, J.N.; Szalma, J.L.; Hancock, P.A. The Stress and Workload of Virtual Reality Training: The Effects of Presence, Immersion and Flow. Ergonomics 2016, 59, 1060–1072. [Google Scholar] [CrossRef]
  27. Runswick, O.R.; Roca, A.; Mark Williams, A.; Bezodis, N.E.; Mcrobert, A.P.; North, J.S. The Impact of Contextual Information and a Secondary Task on Anticipation Performance: An Interpretation Using Cognitive Load Theory. Appl. Cogn. Psychol. 2018, 32, 141–149. [Google Scholar] [CrossRef]
  28. Frederiksen, J.G.; Sørensen, S.M.D.; Konge, L.; Svendsen, M.B.S.; Nobel-Jørgensen, M.; Bjerrum, F.; Andersen, S.A.W. Cognitive Load and Performance in Immersive Virtual Reality versus Conventional Virtual Reality Simulation Training of Laparoscopic Surgery: A Randomized Trial. Surg. Endosc. 2020, 34, 1244–1252. [Google Scholar] [CrossRef]
  29. Wood, G.; Wright, D.J.; Harris, D.; Pal, A.; Franklin, Z.C.; Vine, S.J. Testing the Construct Validity of a Soccer-Specific Virtual Reality Simulator Using Novice, Academy, and Professional Soccer Players. Virtual Real. 2021, 25, 43–51. [Google Scholar] [CrossRef]
  30. Garfjeld Roberts, P.; Guyver, P.; Baldwin, M.; Akhtar, K.; Alvand, A.; Price, A.J.; Rees, J.L. Validation of the Updated ArthroS Simulator: Face and Construct Validity of a Passive Haptic Virtual Reality Simulator with Novel Performance Metrics. Knee Surg. Sports Traumatol. Arthrosc. 2017, 25, 616–625. [Google Scholar] [CrossRef]
  31. Bright, E.; Vine, S.; Wilson, M.R.; Masters, R.S.W.; McGrath, J.S. Face Validity, Construct Validity and Training Benefits of a Virtual Reality Turp Simulator. Int. J. Surg. 2012, 10, 163–166. [Google Scholar] [CrossRef]
  32. Vienne, C.; Masfrand, S.; Bourdin, C.; Vercher, J.-L. Depth Perception in Virtual Reality Systems: Effect of Screen Distance, Environment Richness and Display Factors. IEEE Access 2020, 8, 29099–29110. [Google Scholar] [CrossRef]
Figure 1. (A) A screenshot from a typical HMD view during a trial. The participant had to lift their foot precisely when the virtual partner passed over the go-mark. (B) An illustration of the 3 key events that are specific markers of the relay running initiation. The figure was obtained from Chomienne et al. [13].
Figure 1. (A) A screenshot from a typical HMD view during a trial. The participant had to lift their foot precisely when the virtual partner passed over the go-mark. (B) An illustration of the 3 key events that are specific markers of the relay running initiation. The figure was obtained from Chomienne et al. [13].
Applsci 15 03224 g001
Figure 2. A distribution plot of self-reported presence scores in the virtual environment (VE). All participants rated a high presence score between 14 and 21.
Figure 2. A distribution plot of self-reported presence scores in the virtual environment (VE). All participants rated a high presence score between 14 and 21.
Applsci 15 03224 g002
Figure 3. A grouped plot of the nine dimensions of the SIM-TLX for the real-world environment (RWE) and virtual environment (VE) conditions. Mental demand is significantly higher in the VR condition than in the RWE condition. *** p < 0.001.
Figure 3. A grouped plot of the nine dimensions of the SIM-TLX for the real-world environment (RWE) and virtual environment (VE) conditions. Mental demand is significantly higher in the VR condition than in the RWE condition. *** p < 0.001.
Applsci 15 03224 g003
Figure 4. The group-scale average timings of each key event (wave initiation shown in blue, gaze release in red, and foot lift in green) in the real-world environment (RWE) and the virtual environment (VE) relative to the moment the partner passes over the mark. The error bars represent the between-participant variability of the initiation timings for each event in each condition. The clouds of points represent the average initiation timings of each participant in each condition for each event.
Figure 4. The group-scale average timings of each key event (wave initiation shown in blue, gaze release in red, and foot lift in green) in the real-world environment (RWE) and the virtual environment (VE) relative to the moment the partner passes over the mark. The error bars represent the between-participant variability of the initiation timings for each event in each condition. The clouds of points represent the average initiation timings of each participant in each condition for each event.
Applsci 15 03224 g004
Figure 5. Averaged within-participant variability for each event (wave initiation shown in blue, gaze release in red, and foot lift in green) in real-world environment (RWE) and virtual environment (VE). Error bars represent standard deviation of each individual variability for each event in both conditions. Clouds of points represent individual variability of each participant for each event in both conditions. *** p < 0.001.
Figure 5. Averaged within-participant variability for each event (wave initiation shown in blue, gaze release in red, and foot lift in green) in real-world environment (RWE) and virtual environment (VE). Error bars represent standard deviation of each individual variability for each event in both conditions. Clouds of points represent individual variability of each participant for each event in both conditions. *** p < 0.001.
Applsci 15 03224 g005
Figure 6. The individual-scale average timings of each key event (wave initiation shown in blue, gaze release in red, and foot lift in green) in the real-world environment (RWE) and the virtual environment (VE) relative to the moment the partner passes over the mark for each participant. The error bars represent the within-participant variability of the initiation timings for each event in each condition. The clouds of points represent the initiation timing of each trial in each condition for each event.
Figure 6. The individual-scale average timings of each key event (wave initiation shown in blue, gaze release in red, and foot lift in green) in the real-world environment (RWE) and the virtual environment (VE) relative to the moment the partner passes over the mark for each participant. The error bars represent the within-participant variability of the initiation timings for each event in each condition. The clouds of points represent the initiation timing of each trial in each condition for each event.
Applsci 15 03224 g006
Disclaimer/Publisher’s Note: The statements, opinions and data contained in all publications are solely those of the individual author(s) and contributor(s) and not of MDPI and/or the editor(s). MDPI and/or the editor(s) disclaim responsibility for any injury to people or property resulting from any ideas, methods, instructions or products referred to in the content.

Share and Cite

MDPI and ACS Style

Egiziano, M.; Chomienne, L.; Hervet, V.; Mascret, N.; Kulpa, R.; Montagne, G. Virtual Reality as a Perceptual-Motor Training Tool: Validity and Fidelity Assessments of a 4 × 100 m Relay Simulator. Appl. Sci. 2025, 15, 3224. https://doi.org/10.3390/app15063224

AMA Style

Egiziano M, Chomienne L, Hervet V, Mascret N, Kulpa R, Montagne G. Virtual Reality as a Perceptual-Motor Training Tool: Validity and Fidelity Assessments of a 4 × 100 m Relay Simulator. Applied Sciences. 2025; 15(6):3224. https://doi.org/10.3390/app15063224

Chicago/Turabian Style

Egiziano, Martin, Loïc Chomienne, Valentin Hervet, Nicolas Mascret, Richard Kulpa, and Gilles Montagne. 2025. "Virtual Reality as a Perceptual-Motor Training Tool: Validity and Fidelity Assessments of a 4 × 100 m Relay Simulator" Applied Sciences 15, no. 6: 3224. https://doi.org/10.3390/app15063224

APA Style

Egiziano, M., Chomienne, L., Hervet, V., Mascret, N., Kulpa, R., & Montagne, G. (2025). Virtual Reality as a Perceptual-Motor Training Tool: Validity and Fidelity Assessments of a 4 × 100 m Relay Simulator. Applied Sciences, 15(6), 3224. https://doi.org/10.3390/app15063224

Note that from the first issue of 2016, this journal uses article numbers instead of page numbers. See further details here.

Article Metrics

Back to TopTop