Effect of Ultrasonic Pre-Treatment on the Textural, Structural, and Chemical Properties of Fermented Red Bell Peppers
Abstract
Featured Application
Abstract
1. Introduction
- The application of ultrasound pre-treatment, varying in duration and method, significantly affects the lactic acid fermentation process of red bell peppers inoculated with a single bacterial strain.
- Ultrasound pre-treatment induces measurable changes in red bell peppers’ physical and chemical properties, including carotenoid and polyphenol content, texture, dry matter, pH, color, and internal structure.
2. Materials and Methods
2.1. Chemical Reagents
2.2. Material
2.3. Preparation of the Test Material
2.3.1. Application of Ultrasound
- Ultrasonic washer—immersion method
- Sonotrode—contact method
2.3.2. Fermentation
2.4. Methods of Analysis
2.4.1. Determination of Lactic Acid Bacteria Count
2.4.2. Determination of Dry Matter Content
2.4.3. Determination of pH
2.4.4. Determination of Color Parameters
2.4.5. Determination of Total Polyphenols in TPC
2.4.6. Determination of Antiradical Activity
- Iron ion reduction method
- DPPH and ABTS method
2.5. Total Carotenoid Content
- A450—absorbance;
- m2—mass of total extract (g);
- —extinction coefficient of β-carotene in petroleum ether (value 4);
- m1—sample mass (g);
- d.m.—dry substance specific for each sample (-).
Texture Determination
2.6. Internal Structure
- Scanning Electron Microscopy SEM
- µCT microtomography
2.7. FT-IR Spectra
2.8. TGA—Thermogravimetric Analysis
2.9. Statistical Methods
3. Results and Discussion
3.1. The Effect of Pepper Pre-Treatment on the Count of LAB After Fermentation
3.2. Physical Properties of Bell Pepper Samples
- Color
3.3. Texture of Bell Pepper Samples
3.4. Structure of the Bell Pepper Samples
- Thermal properties
3.5. FT-IR
3.6. Carotenoids
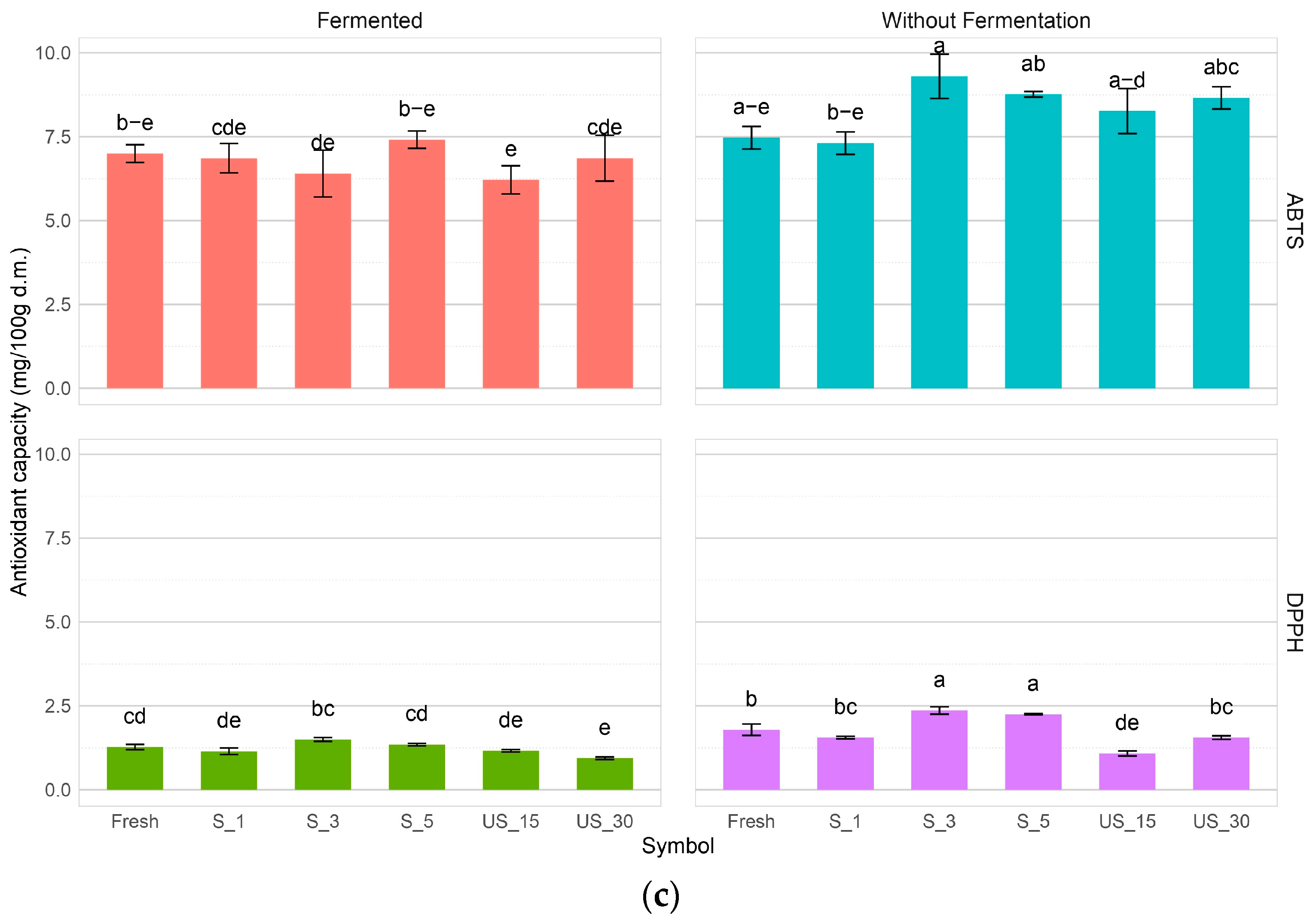
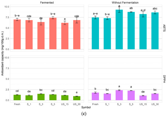
3.7. Polyphenols/Antioxidant Properties
4. Conclusions
Supplementary Materials
Author Contributions
Funding
Institutional Review Board Statement
Informed Consent Statement
Data Availability Statement
Acknowledgments
Conflicts of Interest
References
- Janowicz, M.; Lenart, A. Selected physical properties of convection dried apples after HHP treatment. LWT-Food Sci. Technol. 2015, 63, 828–836. [Google Scholar] [CrossRef]
- Pott, D.M.; Vallarino, J.G.; Osorio, S. Metabolite changes during postharvest storage: Effects on fruit quality traits. Metabolites 2020, 10, 187. [Google Scholar] [CrossRef]
- Sahoo, M.; Titikshya, S.; Aradwad, P.; Kumar, V.; Naik, S. Blanching, pasteurization and sterilization: Principles and applications. In Thermal Food Engineering Operations; Wiley: Hoboken, NJ, USA, 2022; pp. 75–115. [Google Scholar]
- Tsevdou, M.; Dimopoulos, G.; Gogou, E.; Dermesonlouoglou, E.; Taoukis, P. Nonthermal Processing Technologies: Synergies and new applications in food engineering. In Nonthermal Processing in Agri-Food-Bio Sciences: Sustainability and Future Goals; Springer: Berlin/Heidelberg, Germany, 2022; pp. 311–384. [Google Scholar]
- Ambadgatti, S.; Patil, S.; Dabade, A.; Ss, A.; Bhushette, P.; Sonawane, S.K. A Review on Recent Trends of Ultrasound Assisted Processing in Food Segment. J. Microbiol. Biotechnol. Food Sci. 2020, 10, 1–4. [Google Scholar] [CrossRef]
- Taha, A.; Mehany, T.; Pandiselvam, R.; Anusha Siddiqui, S.; Mir, N.A.; Malik, M.A.; Sujayasree, O.J.; Alamuru, K.C.; Khanashyam, A.C.; Casanova, F.; et al. Sonoprocessing: Mechanisms and recent applications of power ultrasound in food. Crit. Rev. Food Sci. Nutr. 2024, 64, 6016–6054. [Google Scholar] [CrossRef]
- Radziejewska-Kubzdela, E.; Kidoń, M.; Kowiel, A.; Waszkowiak, K.; Szymandera-Buszka, K.; Bednarek, M.; Kuligowski, M.; Kobus-Cisowska, J.; Mierzwa, D. The Effect of Ultrasound and Lactic Acid Fermentation on the Selected Quality Parameters and Bioactive Compounds Content in Fermented Pumpkin (Cucurbita pepo L.). Molecules 2024, 29, 5586. [Google Scholar] [CrossRef] [PubMed]
- Pelizaro, T.A.G.; Tolaba, A.G.; Rodriguez-Chanfrau, J.E.; Veranes-Pantoja, Y.; Guastaldi, A.C. Influence of the application of ultrasound during the synthesis of calcium phosphates. J. Bionanoscience 2018, 12, 733–738. [Google Scholar] [CrossRef]
- Feng, H. The thermodynamic and kinetic aspects of power ultrasound processes. In Food Engineering Series; Springer: Berlin/Heidelberg, Germany, 2011; pp. 107–123. [Google Scholar]
- Ain, H.B.U.; Tufail, T.; Saeed, F.; Arshad, M.U.; Afzaal, M.; Tufail, T.; Din, A.; Niazi, M.K.; Hussain, M. Sonication: An overview. In Ultrasound and Microwave for Food Processing: Synergism for Preservation and Extraction; Academic Press: Cambridge, MA, USA, 2022; pp. 1–18. [Google Scholar]
- Gabaldón-Leyva, C.A.; Quintero-Ramos, A.; Barnard, J.; Balandrán-Quintana, R.R.; Talamás-Abbud, R.; Jiménez-Castro, J. Effect of ultrasound on the mass transfer and physical changes in brine bell pepper at different temperatures. J. Food Eng. 2007, 81, 374–379. [Google Scholar] [CrossRef]
- Pinheiro, J.; Alegria, C.; Abreu, M.; Gonçalves, E.M.; Silva, C.L. Influence of postharvest ultrasounds treatments on tomato (Solanum lycopersicum, cv. Zinac) quality and microbial load during storage. Ultrason. Sonochemistry 2015, 27, 552–559. [Google Scholar] [CrossRef]
- Wang, J.; Fan, L. Effect of ultrasound treatment on microbial inhibition and quality maintenance of green asparagus during cold storage. Ultrason. Sonochemistry 2019, 58, 104631. [Google Scholar] [CrossRef]
- Esua, O.J.; Chin, N.L.; Yusof, Y.A.; Sukor, R. Effects of simultaneous UV-C radiation and ultrasonic energy postharvest treatment on bioactive compounds and antioxidant activity of tomatoes during storage. Food Chem. 2019, 270, 113–122. [Google Scholar] [CrossRef]
- Fijałkowska, A.; Nowacka, M.; Witrowa-Rajchert, D. Effect of ultrasound waves on drying process and selected properties of beetroot tissue. Food Sci. Technol. Qual. 2015, 2, 138–149. [Google Scholar] [CrossRef]
- Hasheminya, S.M.; Dehghannya, J. Non-thermal processing of black carrot juice using ultrasound: Intensification of bioactive compounds and microbiological quality. Int. J. Food Sci. Technol. 2022, 57, 5848–5858. [Google Scholar] [CrossRef]
- Starek, A.; Kobus, Z.; Sagan, A.; Chudzik, B.; Pawłat, J.; Kwiatkowski, M.; Terebun, P.; Andrejko, D. Influence of ultrasound on selected microorganisms, chemical and structural changes in fresh tomato juice. Sci. Rep. 2021, 11, 3488. [Google Scholar] [CrossRef] [PubMed]
- Ojha, K.S.; Mason, T.J.; O’Donnell, C.P.; Kerry, J.P.; Tiwari, B.K. Ultrasound technology for food fermentation applications. Ultrason. Sonochemistry 2017, 34, 410–417. [Google Scholar] [CrossRef]
- Hashemi, S.M.B.; Jafarpour, D.; Soto, E.R.; Barba, F.J. Ultrasound-assisted lactic acid fermentation of Bakraei (Citrus reticulata cv. Bakraei) juice: Physicochemical and bioactive properties. Fermentation 2022, 9, 37. [Google Scholar] [CrossRef]
- Zhang, D.; Hamauzu, Y. Phenolic compounds, ascorbic acid, carotenoids and antioxidant properties of green, red and yellow bell peppers. J. Food Agric. Environ. 2003, 1, 22–27. [Google Scholar]
- Valšíková, M.; Rehuš, M.; Komár, P.; Paulen, O. The impact of varieties, ripeness, and heat treatment on the retention of vitamin C and content of soluble solids in sweet pepper. Potravin. Slovak J. Food Sci. 2017, 11, 210–215. [Google Scholar] [CrossRef][Green Version]
- Tang, Y.; Gan, Y.; Zhang, G.; Shen, X.; Shi, C.; Deng, X.; Lu, Y.; Brotman, Y.; Yang, S.; Ouyang, B. Identification of carotenoids and candidate genes shaping high pigment chili pepper variety. Sci. Hortic. 2024, 327, 112799. [Google Scholar] [CrossRef]
- Tian, S.L.; Li, L.; Shah, S.N.M.; Gong, Z.H. The relationship between red fruit colour formation and key genes of capsanthin biosynthesis pathway in Capsicum annuum. Biol. Plant. 2015, 59, 507–513. [Google Scholar] [CrossRef]
- Janiszewska-Turak, E.; Tracz, K.; Bielińska, P.; Rybak, K.; Pobiega, K.; Gniewosz, M.; Woźniak, Ł.; Gramza-Michałowska, A. The Impact of the Fermentation Method on the Pigment Content in Pickled Beetroot and Red Bell Pepper Juices and Freeze-Dried Powders. Appl. Sci. 2022, 12, 5766. [Google Scholar] [CrossRef]
- Singleton, V.L.; Rossi, J.A. Colorimetry of total phenolics with phosphomolybdic-phosphotungstic acid reagents. Am. J. Enol. Vitic. 1965, 16, 144–158. [Google Scholar] [CrossRef]
- Świeca, M. Hydrogen peroxide treatment and the phenylpropanoid pathway precursors feeding improve phenolics and antioxidant capacity of quinoa sprouts via an induction of L-tyrosine and L-phenylalanine ammonia-lyases activities. J. Chem. 2016, 2016, 1936516. [Google Scholar] [CrossRef]
- Kowalska, H.; Trusinska, M.; Rybak, K.; Wiktor, A.; Witrowa-Rajchert, D.; Nowacka, M. Shaping the Properties of Osmo-Dehydrated Strawberries in Fruit Juice Concentrates. Appl. Sci. 2023, 13, 2728. [Google Scholar] [CrossRef]
- Janiszewska-Turak, E.; Sitkiewicz, I.; Janowicz, M. Influence of Ultrasound on the Rheological Properties, Color, Carotenoid Content, and Other Physical Characteristics of Carrot Puree. Appl. Sci. 2024, 14, 10466. [Google Scholar] [CrossRef]
- Scott, K.J. Detection and Measurement of Carotenoids by UV/VIS Spectrophotometry. In Current Protocols in Food Analytical Chemistry; Wiley: Hoboken, NJ, USA, 2001; p. F2.2.1. [Google Scholar] [CrossRef]
- Janiszewska-Turak, E.; Witrowa-Rajchert, D.; Rybak, K.; Rolof, J.; Pobiega, K.; Woźniak, Ł.; Gramza-Michałowska, A. The Influence of Lactic Acid Fermentation on Selected Properties of Pickled Red, Yellow, and Green Bell Peppers. Molecules 2022, 27, 8637. [Google Scholar] [CrossRef]
- Rybak, K.; Wiktor, A.; Kaveh, M.; Dadan, M.; Witrowa-Rajchert, D.; Nowacka, M. Effect of Thermal and Non-Thermal Technologies on Kinetics and the Main Quality Parameters of Red Bell Pepper Dried with Convective and Microwave–Convective Methods. Molecules 2022, 27, 2164. [Google Scholar] [CrossRef]
- Wierzbicka, A.; Janiszewska-Turak, E. Influence of the Salt Addition during the Fermentation Process on the Physical and Chemical Properties of Dried Yellow Beetroot. Appl. Sci. 2024, 14, 524. [Google Scholar] [CrossRef]
- Janiszewska-Turak, E.; Rybak, K.; Witrowa-Rajchert, D.; Pobiega, K.; Wierzbicka, A.; Ossowski, S.; Sękul, J.; Kufel, A.; Wiśniewska, A.; Trych, U.; et al. Influence of Heat Treatment and Lactic Acid Fermentation on the Physical and Chemical Properties of Pumpkin Juice. Molecules 2024, 29, 4519. [Google Scholar] [CrossRef]
- Rhee, S.J.; Lee, J.-E.; Lee, C.-H. Importance of lactic acid bacteria in Asian fermented foods. Microb. Cell Factories 2011, 10, S5. [Google Scholar] [CrossRef] [PubMed]
- Liu, Y.; Zhu, J.; Zhu, C. Effect of ultrasonic pretreatment on fermentation performance and quality of fermented hawthorn pulp by lactic acid bacteria. Food Chem. 2024, 446, 138774. [Google Scholar] [CrossRef]
- Barrett, D.M.; Beaulieu, J.C.; Shewfelt, R. Color, flavor, texture, and nutritional quality of fresh-cut fruits and vegetables: Desirable levels, instrumental and sensory measurement, and the effects of processing. Crit. Rev. Food Sci. Nutr. 2010, 50, 369–389. [Google Scholar] [CrossRef]
- Fakhreddin, S. Recent advances in the ultrasound-assisted osmotic dehydration of agricultural products: A review. Food Biosci. 2023, 51, 102307. [Google Scholar] [CrossRef]
- Rajewska, K.; Mierzwa, D. Influence of ultrasound on the microstructure of plant tissue. Innov. Food Sci. Emerg. Technol. 2017, 43, 117–129. [Google Scholar] [CrossRef]
- Kobus, Z. Wpływ wstępnej obróbki ultradźwiękowej na proces tłoczenia soku marchwiowego. Inżynieria Rol. 2005, 9, 219–226. [Google Scholar]
- Kiczorowski, P.; Kiczorowska, B.; Samolińska, W.; Szmigielski, M.; Winiarska-Mieczan, A. Effect of fermentation of chosen vegetables on the nutrient, mineral, and biocomponent profile in human and animal nutrition. Sci. Rep. 2022, 12, 13422. [Google Scholar] [CrossRef] [PubMed]
- Andrés-Bello, A.; Barreto-Palacios, V.; García-Segovia, P.; Mir-Bel, J.; Martínez-Monzó, J. Effect of pH on color and texture of food products. Food Eng. Rev. 2013, 5, 158–170. [Google Scholar] [CrossRef]
- Rydzkowski, T.; Michalska-Pożoga, I. Wpływ pakowania (MAP) na trwałość i zmiany przechowalnicze świeżej, rozdrobnionej papryki czerwonej. Postępy Tech. Przetwórstwa Spożywczego 2014, 29–33. [Google Scholar]
- Janiszewska-Turak, E.; Hornowska, Ł.; Pobiega, K.; Gniewosz, M.; Witrowa-Rajchert, D. The influence of Lactobacillus bacteria type and kind of carrier on the properties of spray-dried microencapsules of fermented beetroot powders. Int. J. Food Sci. Technol. 2021, 56, 2166–2174. [Google Scholar] [CrossRef]
- Vivek, K.; Sabyasachi, M.; Sasikumar, R. Effect of ultra-sonication on postharvest quality parameters and microbial load on Docynia indica. Sci. Hortic. 2017, 225, 163–170. [Google Scholar] [CrossRef]
- Wang, H.; Tao, Y.; Li, Y.; Wu, S.; Li, D.; Liu, X.; Han, Y.; Manickam, S.; Show, P.L. Application of ultrasonication at different microbial growth stages during apple juice fermentation by Lactobacillus plantarum: Investigation on the metabolic response. Ultrason. Sonochemistry 2021, 73, 105486. [Google Scholar] [CrossRef]
- Nowacka, M.; Wedzik, M. Effect of ultrasound treatment on microstructure, colour and carotenoid content in fresh and dried carrot tissue. Appl. Acoust. 2016, 103, 163–171. [Google Scholar] [CrossRef]
- Scholten, E. Composite foods: From structure to sensory perception. Food Funct. 2017, 8, 481–497. [Google Scholar] [CrossRef] [PubMed]
- Rosenthal, A.; Chen, J. Dimensions of food texture: A conceptual discussion. J. Texture Stud. 2023, 54, 449–455. [Google Scholar] [CrossRef]
- Surmacka-Szczesniak, A. Texture is a sensory property. Food Qual. Prefer. 2002, 13, 215–225. [Google Scholar] [CrossRef]
- Alenyorege, E.A.; Ma, H.; Ayim, I.; Aheto, J.H.; Hong, C.; Zhou, C. Effect of multi-frequency multi-mode ultrasound washing treatments on physicochemical, antioxidant potential and microbial quality of tomato. J. Food Meas. Charact. 2019, 13, 677–686. [Google Scholar] [CrossRef]
- Guiné, R.P.F.; Barroca, M.J. Effect of drying treatments on texture and color of vegetables (pumpkin and green pepper). Food Bioprod. Process. 2012, 90, 58–63. [Google Scholar] [CrossRef]
- Oladejo, A.O.; Ma, H.; Qu, W.; Zhou, C.; Wu, B. Effects of Ultrasound on Mass Transfer Kinetics, Structure, Carotenoid and Vitamin C Content of Osmodehydrated Sweet Potato (Ipomea batatas). Food Bioprocess Technol. 2017, 10, 1162–1172. [Google Scholar] [CrossRef]
- Ciurzyńska, A.; Falacińska, J.; Kowalska, H.; Kowalska, J.; Galus, S.; Marzec, A.; Domian, E. The effect of pre-treatment (blanching, ultrasound and freezing) on quality of freeze-dried red beets. Foods 2021, 10, 132. [Google Scholar] [CrossRef]
- Janiszewska-Turak, E.; Rybak, K.; Pobiega, K.; Nikodem, A.; Gramza-Michałowska, A. Sustainable Production and Characteristics of Dried Fermented Vegetables. Fermentation 2022, 8, 659. [Google Scholar] [CrossRef]
- Morales-Quintana, L.; Tapia-Valdebenito, D.; Castro, R.I.; Rabert, C.; Larama, G.; Gutiérrez, A.; Ramos, P. Characterization of the cell wall component through thermogravimetric analysis and its relationship with an expansin-like protein in Deschampsia antarctica. Int. J. Mol. Sci. 2022, 23, 5741. [Google Scholar] [CrossRef]
- García, N.L.; Famá, L.; Dufresne, A.; Aranguren, M.; Goyanes, S. A comparison between the physico-chemical properties of tuber and cereal starches. Food Res. Int. 2009, 42, 976–982. [Google Scholar] [CrossRef]
- Komesu, A.; Martins Martinez, P.F.; Lunelli, B.H.; Oliveira, J.; Wolf Maciel, M.R.; Maciel Filho, R. Study of Lactic Acid Thermal Behavior Using Thermoanalytical Techniques. J. Chem. 2017, 2017, 4149592. [Google Scholar] [CrossRef]
- Guerrero-Pérez, M.O.; Patience, G.S. Experimental methods in chemical engineering: Fourier transform infrared spectroscopy—FTIR. Can. J. Chem. Eng. 2020, 98, 25–33. [Google Scholar] [CrossRef]
- Van de Voort, F. Fourier transform infrared spectroscopy applied to food analysis. Food Res. Int. 1992, 25, 397–403. [Google Scholar] [CrossRef]
- Nandiyanto, A.B.D.; Oktiani, R.; Ragadhita, R. How to read and interpret FTIR spectroscope of organic material. Indones. J. Sci. Technol. 2019, 4, 97–118. [Google Scholar] [CrossRef]
- Domínguez-Martínez, I.; Meza-Márquez, O.G.; Osorio-Revilla, G.; Proal-Nájera, J.; Gallardo-Velázquez, T. Determination of capsaicin, ascorbic acid, total phenolic compounds and antioxidant activity of Capsicum annuum L. var. serrano by mid infrared spectroscopy (Mid-FTIR) and chemometric analysis. J. Korean Soc. Appl. Biol. Chem. 2014, 57, 133–142. [Google Scholar] [CrossRef]
- Krzykowski, A.; Polak, R.; Rudy, S. Retencja karotenoidów w papryce w zależności od obróbki wstępnej oraz sposobu i warunków suszenia. Inżynieria Rol. 2011, 15, 115–121. [Google Scholar]
- Krzykowski, A.; Dziki, D.; Rudy, S.; Gawlik-Dziki, U.; Polak, R.; Biernacka, B. Effect of pre-treatment conditions and freeze-drying temperature on the process kinetics and physicochemical properties of pepper. LWT 2018, 98, 25–30. [Google Scholar] [CrossRef]
- Rybak, K.; Wiktor, A.; Witrowa-Rajchert, D.; Parniakov, O.; Nowacka, M. The Effect of Traditional and Non-Thermal Treatments on the Bioactive Compounds and Sugars Content of Red Bell Pepper. Molecules 2020, 25, 4287. [Google Scholar] [CrossRef]
- Rybak, K.; Wiktor, A.; Witrowa-Rajchert, D.; Parniakov, O.; Nowacka, M. The quality of red bell pepper subjected to freeze-drying preceded by traditional and novel pretreatment. Foods 2021, 10, 226. [Google Scholar] [CrossRef]
- Hallmann, E.; Rembiałkowska, E. Characterisation of antioxidant compounds in sweet bell pepper (Capsicum annuum L.) under organic and conventional growing systems. J. Sci. Food Agric. 2012, 92, 2409–2415. [Google Scholar] [CrossRef] [PubMed]
- Schlesier, K.; Harwat, M.; Böhm, V.; Bitsch, R. Assessment of antioxidant activity by using different in vitro methods. Free Radic. Res. 2002, 36, 177–187. [Google Scholar] [CrossRef] [PubMed]
- Sanna, D.; Delogu, G.; Mulas, M.; Schirra, M.; Fadda, A. Determination of Free Radical Scavenging Activity of Plant Extracts Through DPPH Assay: An EPR and UV-Vis Study. Food Anal. Methods 2012, 5, 759–766. [Google Scholar] [CrossRef]
- Tachalerdmanee, P.; Moonmangmee, S.; Suwakul, W.; Charnvanich, D. Effect of total phenolic content on free radical scavenging activities of Boletes mushroom extracts. Thai J. Pharm. Sci. 2016, 40, 88–91. [Google Scholar]
- Wang, H.; Zhao, Q.-S.; Wang, X.-D.; Hong, Z.-d.; Zhao, B. Pretreatment of ultrasound combined vacuum enhances the convective drying efficiency and physicochemical properties of okra (Abelmoschus esculentus). LWT 2019, 112, 108201. [Google Scholar] [CrossRef]
- Ren, F.; Perussello, C.; Zhang, Z.; Kerry, J.P.; Tiwari, B.K. Impact of ultrasound and blanching on functional properties of hot-air dried and freeze dried onions. LWT 2018, 87, 102–111. [Google Scholar] [CrossRef]
- Yang, X.; Zhou, J.; Fan, L.; Qin, Z.; Chen, Q.; Zhao, L. Antioxidant properties of a vegetable–fruit beverage fermented with two Lactobacillus plantarum strains. Food Sci. Biotechnol. 2018, 27, 1719–1726. [Google Scholar] [CrossRef]







| Sample Code | Pre-Treatment |
|---|---|
| Fresh-control sample | no |
| US_15 | Ultrasonic cleaner, time 15 min |
| US_30 | Ultrasonic cleaner, time 30 min |
| S_1 | Sonotrode, processing time 1 min |
| S_3 | Sonotrode, processing time 3 min |
| S_5 | Sonotrode, processing time 5 min |
| Sample | pH |
Dry Matter Before Fermentation (%) |
Dry Matter After Fermentation (%) |
|---|---|---|---|
| Fresh | 3.05 ± 0.01 a | 10.6 ± 0.1 a | 5.6 ± 0.1 f |
| US_15 | 3.04 ± 0.01 ab | 8.6 ± 0.2 bc | 5.1 ± 0.1 g |
| US_30 | 3.02 ± 0.01 bc | 8.0 ± 0.2 e | 4.8 ± 0.0 g |
| S_1 | 3.06 ± 0.01 a | 8.9 ± 0.1 b | 5.1 ± 0.0 g |
| S_3 | 3.06 ± 0.01 a | 8.4 ± 0.0 cd | 4.9 ± 0.1 g |
| S_5 | 3.01 ± 0.01 c | 8.2 ± 0.1 de | 5.6 ± 0.1 f |
| Sample | SEM | Micro-Tomography | SEM | Micro-Tomography | ||
|---|---|---|---|---|---|---|
| Non-Fermented | Fermented | |||||
| Fresh | ![]() | ![]() | ![]() | ![]() | ![]() | ![]() |
| US_15 | ![]() | ![]() | ![]() | ![]() | ![]() | ![]() |
| US_30 | ![]() | ![]() | ![]() | ![]() | ![]() | ![]() |
| S_1 | ![]() | ![]() | ![]() | ![]() | ![]() | ![]() |
| S_3 | ![]() | ![]() | ![]() | ![]() | ![]() | ![]() |
| S_5 | ![]() | ![]() | ![]() | ![]() | ![]() | ![]() |
| Sample | Step 1 | Step 2 | Step 3 | Sum (%) | Decomposition Temperature (°C) | ||||||
|---|---|---|---|---|---|---|---|---|---|---|---|
| Temp. Range (°C) | Mass Change (%) | Temp. Range (°C) | Mass Change (%) | Temp. Range (°C) | Mass Change (%) | 2 | |||||
| Fresh | 30–100 | 2.58 | 100–480 | 64.0 | 480–600 | 2.23 | 68.9 | 186.3 | 310.8 | ||
| US_15 | 30–100 | 2.71 | 100–480 | 66.1 | 480–600 | 2.19 | 71.0 | 187.3 | 311.3 | ||
| US_30 | 30–100 | 2.57 | 100–480 | 64.7 | 480–600 | 2.22 | 69.5 | 186.1 | 308.3 | ||
| S_1 | 30–100 | 2.58 | 100–480 | 63.8 | 480–600 | 2.18 | 68.5 | 186.2 | 309.3 | ||
| S_3 | 30–100 | 2.49 | 100–480 | 64.3 | 480–600 | 2.21 | 69.0 | 183.2 | 308.0 | ||
| S_5 | 30–100 | 2.67 | 100–480 | 63.9 | 480–600 | 2.17 | 68.8 | 185.8 | 307.9 | ||
| Fresh_F | 30–100 | 2.14 | 100–480 | 66.0 | 480–600 | 1.20 | 69.3 | 141.1 | 193.9 | 250.3 | 295.7 |
| US_15_F | 30–100 | 2.00 | 100–480 | 63.0 | 480–600 | 1.13 | 66.1 | 141.0 | 193.9 | 249.7 | 295.9 |
| US_30_F | 30–100 | 4.71 | 100–480 | 61.0 | 480–600 | 6.33 | 72.0 | 143.5 | 208.8 | 240.9 | 294.9 |
| S_1_F | 30–100 | 2.62 | 100–480 | 67.4 | 480–600 | 1.16 | 71.1 | 142.3 | 189.9 | 255.9 | 294.7 |
| S_3_F | 30–100 | 2.51 | 100–480 | 66.9 | 480–600 | 1.09 | 70.5 | 141.1 | 190.4 | 254.9 | 296.0 |
| S_5_F | 30–100 | 2.23 | 100–480 | 61.1 | 480–600 | 1.02 | 64.4 | 142.9 | 192.0 | 255.9 | 297.7 |
Disclaimer/Publisher’s Note: The statements, opinions and data contained in all publications are solely those of the individual author(s) and contributor(s) and not of MDPI and/or the editor(s). MDPI and/or the editor(s) disclaim responsibility for any injury to people or property resulting from any ideas, methods, instructions or products referred to in the content. |
© 2025 by the authors. Licensee MDPI, Basel, Switzerland. This article is an open access article distributed under the terms and conditions of the Creative Commons Attribution (CC BY) license (https://creativecommons.org/licenses/by/4.0/).
Share and Cite
Janiszewska-Turak, E.; Rybak, K.; Pobiega, K.; Ossowski, S. Effect of Ultrasonic Pre-Treatment on the Textural, Structural, and Chemical Properties of Fermented Red Bell Peppers. Appl. Sci. 2025, 15, 2988. https://doi.org/10.3390/app15062988
Janiszewska-Turak E, Rybak K, Pobiega K, Ossowski S. Effect of Ultrasonic Pre-Treatment on the Textural, Structural, and Chemical Properties of Fermented Red Bell Peppers. Applied Sciences. 2025; 15(6):2988. https://doi.org/10.3390/app15062988
Chicago/Turabian StyleJaniszewska-Turak, Emilia, Katarzyna Rybak, Katarzyna Pobiega, and Szymon Ossowski. 2025. "Effect of Ultrasonic Pre-Treatment on the Textural, Structural, and Chemical Properties of Fermented Red Bell Peppers" Applied Sciences 15, no. 6: 2988. https://doi.org/10.3390/app15062988
APA StyleJaniszewska-Turak, E., Rybak, K., Pobiega, K., & Ossowski, S. (2025). Effect of Ultrasonic Pre-Treatment on the Textural, Structural, and Chemical Properties of Fermented Red Bell Peppers. Applied Sciences, 15(6), 2988. https://doi.org/10.3390/app15062988





































