Sleep Varies According to Game Venue but Not Season Period in Female Basketball Players: A Team-Based Observational Study
Abstract
1. Introduction
2. Materials and Methods
2.1. Participants
2.2. Design and Procedures
2.3. Statistical Analyses
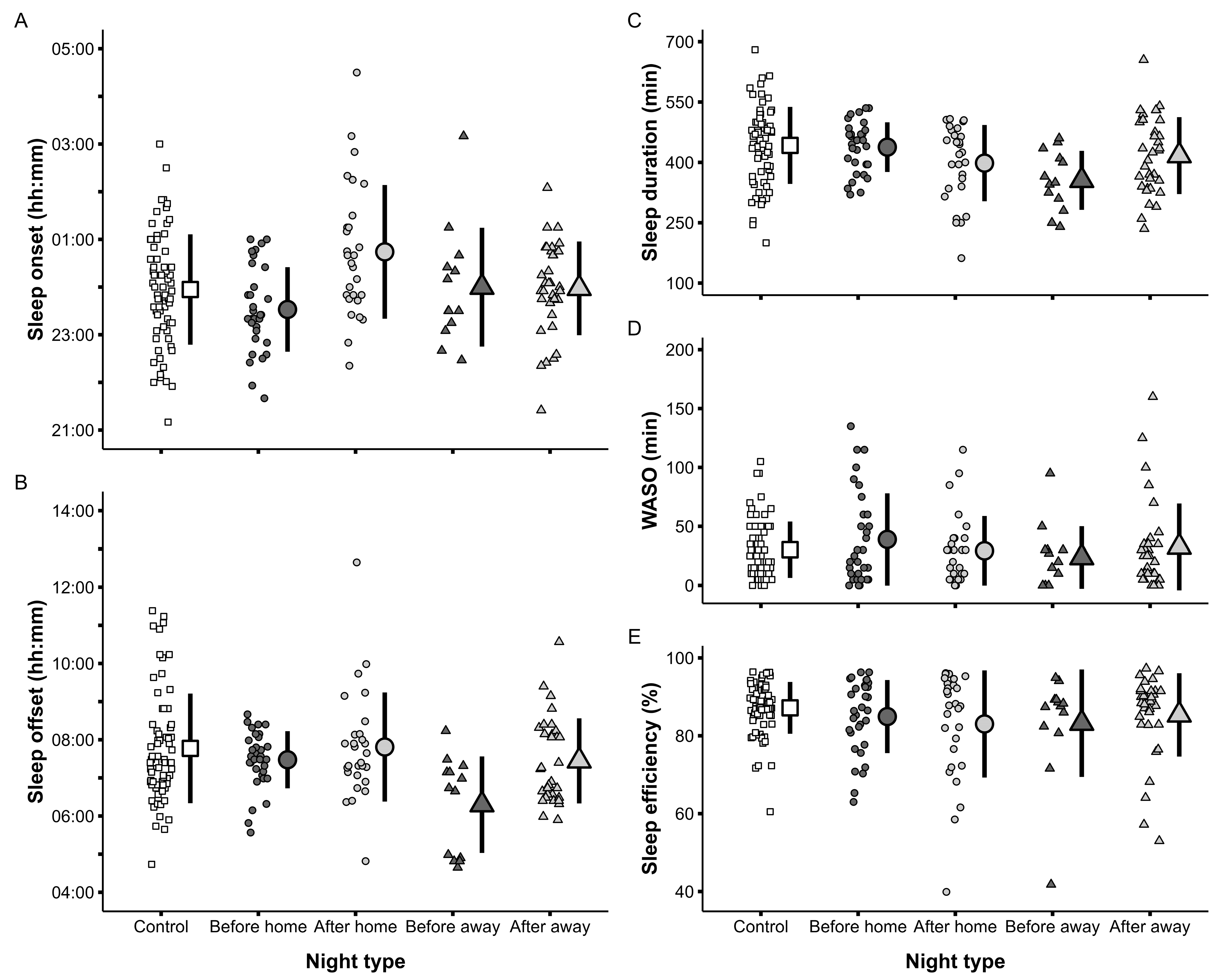
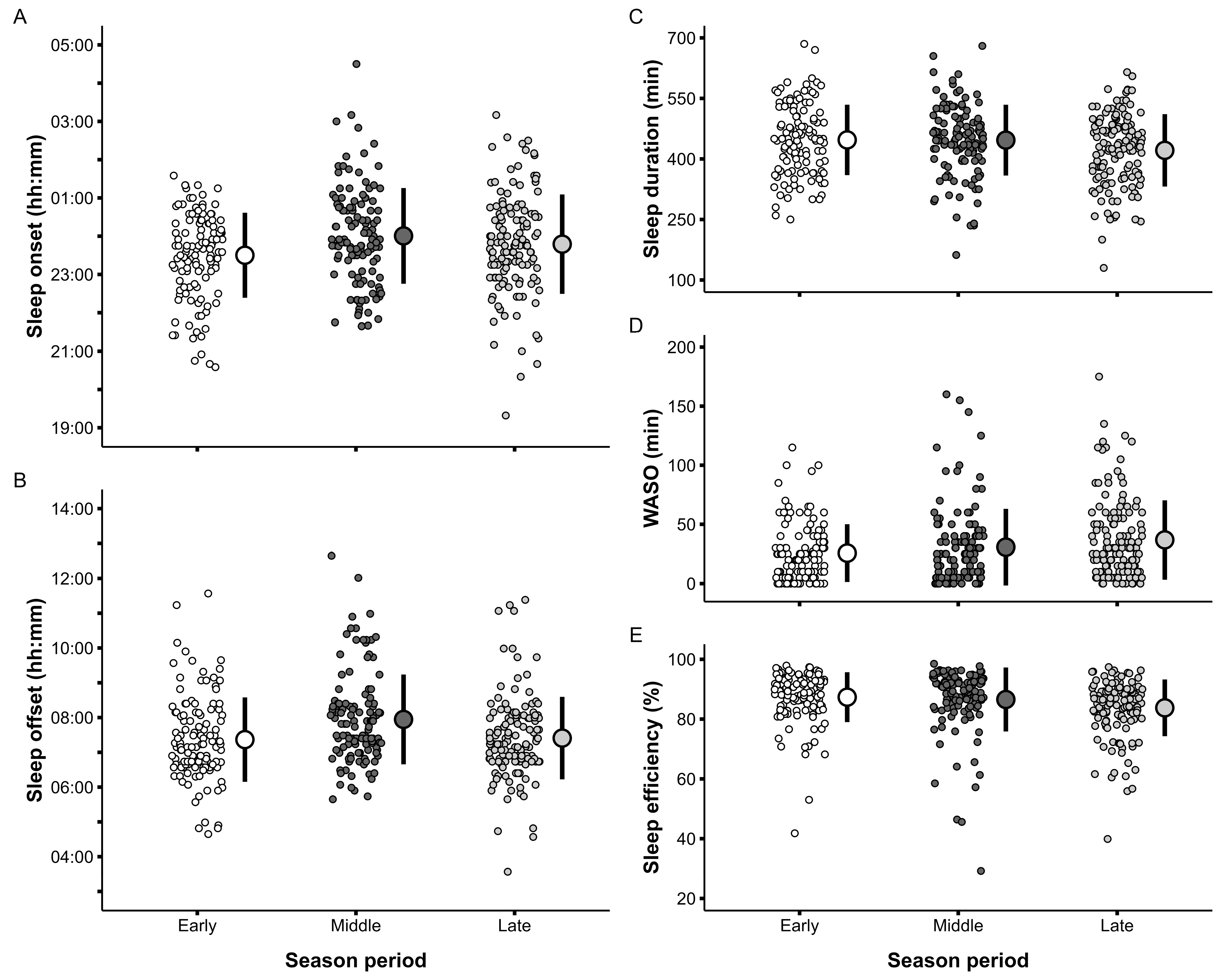
3. Results
3.1. Game Venue
3.2. Season Period
4. Discussion
5. Conclusions
Author Contributions
Funding
Institutional Review Board Statement
Informed Consent Statement
Data Availability Statement
Acknowledgments
Conflicts of Interest
References
- Power, C.; Fox, J.; Dalbo, V.; Scanlan, A. External and internal load variables encountered during training and games in female basketball players according to playing level and playing position: A systematic review. Sports Med.-Open 2022, 8, 107. [Google Scholar] [CrossRef] [PubMed]
- Clemente, F.; Teles Bredt, S.; Praça, G.; Duarte, E.; Mendes, B. Relationships between wellness status and perceived training load on daily and weekly bases over a basketball season. Kinesiology 2020, 52, 151–156. [Google Scholar] [CrossRef]
- Pernigoni, M.; Ferioli, D.; Calleja-González, J.; Sansone, P.; Tessitore, A.; Scanlan, A.; Conte, D. Match-related fatigue in basketball: A systematic review. J. Sports Sci. 2024, 42, 1727–1758. [Google Scholar] [CrossRef] [PubMed]
- Pernigoni, M.; Conte, D.; Calleja-González, J.; Boccia, G.; Romagnoli, M.; Ferioli, D. The application of recovery strategies in basketball: A worldwide survey. Front. Physiol. 2022, 13, 887507. [Google Scholar] [CrossRef]
- Venter, R. Perceptions of team athletes on the importance of recovery modalities. Eur. J. Sport Sci. 2014, 14, S69–S76. [Google Scholar] [CrossRef]
- Murray, A.; Fullagar, H.; Turner, A.; Sproule, J. Recovery practices in division 1 collegiate athletes in North America. Phys. Ther. Sport 2018, 32, 67–73. [Google Scholar] [CrossRef] [PubMed]
- Fox, J.; Stanton, R.; Scanlan, A.; Teramoto, M.; Sargent, C. The association between sleep and in-game performance in basketball players. Int. J. Sports Physiol. Perform. 2021, 16, 333–341. [Google Scholar] [CrossRef]
- Staunton, C.; Gordon, B.; Custovic, E.; Stanger, J.; Kingsley, M. Sleep patterns and match performance in elite Australian basketball athletes. J. Sci. Med. Sport 2017, 20, 786–789. [Google Scholar] [CrossRef]
- Watson, A.; Johnson, M.; Sanfilippo, J. Decreased sleep is an independent predictor of in-season injury in male collegiate basketball players. Orthop. J. Sports Med. 2020, 8, 2325967120964481. [Google Scholar] [CrossRef]
- Senbel, S.; Sharma, S.; Raval, M.; Taber, C.; Nolan, J.; Artan, N.; Ezzeddine, D.; Kaya, T. Impact of sleep and training on game performance and injury in division-1 women’ basketball amidst the pandemic. IEEE Access 2022, 10, 15516–15527. [Google Scholar] [CrossRef]
- Walsh, N.; Halson, S.; Sargent, C.; Roach, G.; Nédélec, M.; Gupta, L.; Leeder, J.; Fullagar, H.; Coutts, A.; Edwards, B.; et al. Sleep and the athlete: Narrative review and 2021 expert consensus recommendations. Br. J. Sports Med. 2021, 55, 356–368. [Google Scholar] [CrossRef] [PubMed]
- Fox, J.; Scanlan, A.; Stanton, R.; O’Grady, C.; Sargent, C. Losing sleep over it: Sleep in basketball players affected by game but not training workloads. Int. J. Sports Physiol. Perform. 2020, 15, 1117–1124. [Google Scholar] [CrossRef] [PubMed]
- Power, C.; Fox, J.; Teramoto, M.; Scanlan, A. Sleep patterns fluctuate following training and games across the season in a semi-professional, female basketball team. Brain Sci. 2023, 13, 238. [Google Scholar] [CrossRef]
- Miles, K.; Clark, B.; Mara, J.; Fowler, P.; Miller, J.; Pumpa, K. How do the habitual sleep patterns of elite female basketball and soccer athletes compare with the general population? Int. J. Sports Physiol. Perform. 2022, 17, 234–240. [Google Scholar] [CrossRef]
- Carron, A.; Loughhead, T.; Bray, S. The home advantage in sport competitions: Courneya and Carron’ (1992) conceptual framework a decade later. J. Sports Sci. 2005, 23, 395–407. [Google Scholar] [CrossRef]
- Fox, J.; Scanlan, A.; Stanton, R.; Sargent, C. The effect of game-related contextual factors on sleep in basketball players. J. Strength Cond. Res. 2022, 36, 2942–2945. [Google Scholar] [CrossRef]
- Vlahoyiannis, A.; Aphamis, G.; Bogdanis, G.; Sakkas, G.; Andreou, E.; Giannaki, C. Deconstructing athletes’ sleep: A systematic review of the influence of age, sex, athletic expertise, sport type, and season on sleep characteristics. J. Sport Health Sci. 2021, 10, 387–402. [Google Scholar] [CrossRef]
- Chou, C.; Wang, F.; Wu, H.; Tsai, S.; Chen, C.; Bernard, J.; Kuo, Y.; Liao, Y. “The competitive season and off-season”: Preliminary research concerning the sport-specific performance, stress, and sleep in elite male adolescent basketball athletes. Int. J. Environ. Res. Public Health 2021, 18, 13259. [Google Scholar] [CrossRef] [PubMed]
- Nedelec, M.; Aloulou, A.; Duforez, F.; Meyer, T.; Dupont, G. The variability of sleep among elite athletes. Sports Med.-Open 2018, 4, 34. [Google Scholar] [CrossRef]
- Miles, K.; Clark, B.; Fowler, P.; Miller, J.; Pumpa, K. Sleep practices implemented by team sport coaches and sports science support staff: A potential avenue to improve athlete sleep? J. Sci. Med. Sport 2019, 22, 748–752. [Google Scholar] [CrossRef]
- Power, C.; Fox, J.; Elliott-Sale, K.; Bender, A.; Dalbo, V.; Scanlan, A. Waking up to the issue! Research inattention and sex-related differences warrant more sleep studies in female athletes. Sports Med. 2024, 54, 565–583. [Google Scholar] [CrossRef] [PubMed]
- von Elm, E.; Altman, D.; Egger, M.; Pocock, S.; Gøtzsche, P.; Vandenbroucke, J. Strengthening the reporting of observational studies in epidemiology (strobe) statement: Guidelines for reporting observational studies. BMJ 2007, 335, 806–808. [Google Scholar] [CrossRef]
- Lastella, M.; Roach, G.; Vincent, G.; Scanlan, A.; Halson, S.; Sargent, C. The impact of training load on sleep during a 14-day training camp in elite, adolescent, female basketball players. Int. J. Sports Physiol. Perform. 2020, 15, 724–730. [Google Scholar] [CrossRef] [PubMed]
- Chinoy, E.; Cuellar, J.; Huwa, K.; Jameson, J.; Watson, C.; Bessman, S.; Hirsch, D.; Cooper, A.D.; Drummond, S.; Markwald, R. Performance of seven consumer sleep-tracking devices compared with polysomnography. Sleep 2021, 44, zsaa291. [Google Scholar] [CrossRef] [PubMed]
- Driller, M.; McQuillan, J.; O’Donnell, S. Inter-device reliability of an automatic-scoring Actigraph for measuring sleep in healthy adults. Sleep Sci. 2016, 9, 198–201. [Google Scholar] [CrossRef]
- Chinoy, E.D.; Cuellar, J.A.; Jameson, J.T.; Markwald, R.R. Performance of four commercial wearable sleep-tracking devices tested under unrestricted conditions at home in healthy young adults. Nat. Sci. Sleep 2022, 14, 493–516. [Google Scholar] [CrossRef]
- Ferreira, M.; Camões, M.; Lima, R.; Silva, R.; Castro, H.; Mendes, B.; Bezerra, P.; Clemente, F. Variations of workload and well-being measures across a professional basketball season. Rev. Bras. Cineantropometria Desempenho Hum. 2021, 23, e75863. [Google Scholar] [CrossRef]
- Kuznetsova, A.; Brockhoff, P.; Christensen, R. Lmertest package: Tests in linear mixed effects models. J. Stat. Softw. 2017, 82, 1–26. [Google Scholar] [CrossRef]
- Lüdecke, D.; Patil, I.; Ben-Shachar, M.; Wiernik, B.; Waggoner, P.; Makowski, D. See: An R package for visualizing statistical models. J. Open Source Softw. 2021, 6, 3393. [Google Scholar] [CrossRef]
- Lüdecke, D.; Ben-Shachar, M.; Patil, I.; Waggoner, P.; Makowski, D. Performance: An r package for assessment, comparison and testing of statistical models. J. Open Source Softw. 2021, 6, 3139. [Google Scholar] [CrossRef]
- Lenth, R. Emmeans: Estimated Marginal Means, Aka Least-Squares Means, R Package Version 1.8.7. 2023. Available online: https://cran.r-project.org/package=emmeans (accessed on 18 February 2025).
- Lakens, D. Calculating and reporting effect sizes to facilitate cumulative science: A practical primer for t-tests and ANOVAs. Front. Psych. 2013, 4, 863. [Google Scholar] [CrossRef]
- Cumming, G. Understanding the New Statistics: Effect Sizes, Confidence Intervals, and Meta-Analysis; Routledge: New York, NY, USA, 2013. [Google Scholar]
- Hopkins, W.; Marshall, S.; Batterham, A.; Hanin, J. Progressive statistics for studies in sports medicine and exercise science. Med. Sci. Sports Exerc. 2009, 41, 3–13. [Google Scholar] [CrossRef]
- Hirshkowitz, M.; Whiton, K.; Albert, S.; Alessi, C.; Bruni, O.; DonCarlos, L.; Hazen, N.; Herman, J.; Adams Hillard, P.; Katz, E.; et al. National Sleep Foundation’ updated sleep duration recommendations: Final report. Sleep Health 2015, 1, 233–243. [Google Scholar] [CrossRef]
- Ohayon, M.; Wickwire, E.; Hirshkowitz, M.; Albert, S.; Avidan, A.; Daly, F.; Dauvilliers, Y.; Ferri, R.; Fung, C.; Gozal, D.; et al. National sleep foundation’ sleep quality recommendations: First report. Sleep Health 2017, 3, 6–19. [Google Scholar] [CrossRef]
- Miles, K.; Clark, B.; Fowler, P.; Miller, J.; Pumpa, K. What are the sleep characteristics of elite female athletes? A systematic review with meta-analysis. Biol. Sport 2022, 39, 751–763. [Google Scholar] [CrossRef] [PubMed]
- Dunican, I.; Caldwell, J.; Morgan, D.; Stewart, A.; Eastwood, P. An education intervention in a professional female basketball team and coaching staff improves sleep and alertness. Transl. Sports Med. 2021, 4, 419–427. [Google Scholar] [CrossRef]
- Juliff, L.; Halson, S.; Peiffer, J. Understanding sleep disturbance in athletes prior to important competitions. J. Sci. Med. Sport 2015, 18, 13–18. [Google Scholar] [CrossRef] [PubMed]
- Erlacher, D.; Ehrlenspiel, F.; Adegbesan, O.; Galal El-Din, H. Sleep habits in German athletes before important competitions or games. J. Sports Sci. 2011, 29, 859–866. [Google Scholar] [CrossRef]
- Chemelo, V.; Né, Y.; Frazão, D.; de Souza-Rodrigues, R.; Fagundes, N.; Magno, M.; da Silva, C.; Maia, L.; Lima, R. Is there an association between stress and bruxism? A systematic review and meta-analysis. Front. Neurol. 2020, 11, 590779. [Google Scholar] [CrossRef]
- Kalmbach, D.; Anderson, J.; Drake, C. The impact of stress on sleep: Pathogenic sleep reactivity as a vulnerability to insomnia and circadian disorders. J. Sleep Res. 2018, 27, e12710. [Google Scholar] [CrossRef]
- Fullagar, H.; Duffield, R.; Skorski, S.; Coutts, A.; Julian, R.; Meyer, T. Sleep and recovery in team sport: Current sleep-related issues facing professional team-sport athletes. Int. J. Sports Physiol. Perform. 2015, 10, 950–957. [Google Scholar] [CrossRef]
- Caia, J.; Scott, T.; Halson, S.; Kelly, V. Do players and staff sleep more during the pre- or competitive season of elite rugby league? Eur. J. Sport Sci. 2017, 17, 964–972. [Google Scholar] [CrossRef] [PubMed]
- Assar, A.; Lueke, N.; Eouanzoui, K.; Bolin, J. Sleep in NCAA Division I collegiate athletes: Relations with self-compassion, stress, and rumination. Stress Health 2024, 40, e3338. [Google Scholar] [CrossRef] [PubMed]
- Halson, S.; Appaneal, R.; Welvaert, M.; Maniar, N.; Drew, M. Stressed and not sleeping: Poor sleep and psychological stress in elite athletes prior to the Rio 2016 Olympic games. Int. J. Sports Physiol. Perform. 2022, 17, 195–202. [Google Scholar] [CrossRef]
- Elliott-Sale, K.; Minahan, C.; de Jonge, X.; Ackerman, K.; Sipilä, S.; Constantini, N.; Lebrun, C.; Hackney, A. Methodological considerations for studies in sport and exercise science with women as participants: A working guide for standards of practice for research on women. Sports Med. 2021, 51, 843–861. [Google Scholar] [CrossRef] [PubMed]
- Koikawa, N.; Takami, Y.; Kawasaki, Y.; Kawana, F.; Shiroshita, N.; Ogasawara, E.; Kasai, T. Changes in the objective measures of sleep between the initial nights of menses and the nights during the midfollicular phase of the menstrual cycle in collegiate female athletes. J. Clin. Sleep Med. 2020, 16, 1745–1751. [Google Scholar] [CrossRef]
- Majumder, T.; De Martin Topranin, V.; Sandbakk, Ø.; Noordhof, D. Indian endurance athletes’ menstrual cycle: Practices, knowledge, communication, health, and changes in perceptions across the phases. Int. J. Sports Physiol. Perform. 2022, 17, 1706–1715. [Google Scholar] [CrossRef]
- Craven, J.; McCartney, D.; Desbrow, B.; Sabapathy, S.; Bellinger, P.; Roberts, L.; Irwin, C. Effects of acute sleep loss on physical performance: A systematic and meta-analytical review. Sports Med. 2022, 52, 2669–2690. [Google Scholar] [CrossRef]
- Gong, M.; Sun, M.; Sun, Y.; Jin, L.; Li, S. Effects of acute sleep deprivation on sporting performance in athletes: A comprehensive systematic review and meta-analysis. Nat. Sci. Sleep 2024, 16, 935–948. [Google Scholar] [CrossRef]
- Vitale, K.; Owens, R.; Hopkins, S.; Malhotra, A. Sleep hygiene for optimizing recovery in athletes: Review and recommendations. Int. J. Sports Med. 2019, 40, 535–543. [Google Scholar] [CrossRef]



| Variable | Night Type | ||||
|---|---|---|---|---|---|
| Control | Before Home | After Home | Before Away | After Away | |
| Sleep onset (hh:mm) | 23:46 (23:12, 00:19) # | 23:30 (22:55, 00:05) # | 00:41 (00:05, 01:17) | 23:47 (23:10, 00:22) # | 23:46 (23:10, 00:22) # |
| Sleep offset (hh:mm) | 07:41 (07:13, 08:08) * | 07:25 (06:53, 07:57) * | 07:46 (07:13, 08:19) * | 06:07 (05:22, 6:52) | 07:16 (06:43, 07:49) * |
| Sleep duration (min) | 444 (402, 485) * | 434 (390, 479) * | 397 (352, 443) | 346 (290, 403) | 408 (362, 453) |
| Wake after sleep onset (min) | 32.0 (16.7, 47.3) | 39.9 (23.6, 56.1) | 29.6 (13.0, 46.2) | 29.5 (9.5, 49.4) | 38.5 (1.9, 55.0) |
| Sleep efficiency (%) | 86.6 (82.4, 90.8) | 84.5 (79.9, 88.3) | 82.8 (78.0, 87.5) | 81.4 (75.3, 87.5) | 83.6 (78.8, 88.3) |
| Variable | Season Period | ||
|---|---|---|---|
| Early | Middle | Late | |
| Sleep onset (hh:mm) | 23:18 (22:41, 23:55) | 23:48 (23:11, 00:25) † | 23:52 (23:17, 00:28) † |
| Sleep offset (hh:mm) | 07:12 (06:46, 07:38) | 07:46 (07:20, 08:12) † | 07:26 (07:01, 07:52) |
| Sleep duration (min) | 440 (400, 481) | 441 (400, 481) | 435 (394, 475) |
| Wake after sleep onset (min) | 29.7 (17.4, 41.9) | 34.1 (21.9, 46.3) | 34.5 (22.5, 46.6) |
| Sleep efficiency (%) | 86.2 (83.1, 89.3) | 85.5 (81.2, 87.2) | 84.2 (81.2, 87.2) |
Disclaimer/Publisher’s Note: The statements, opinions and data contained in all publications are solely those of the individual author(s) and contributor(s) and not of MDPI and/or the editor(s). MDPI and/or the editor(s) disclaim responsibility for any injury to people or property resulting from any ideas, methods, instructions or products referred to in the content. |
© 2025 by the authors. Licensee MDPI, Basel, Switzerland. This article is an open access article distributed under the terms and conditions of the Creative Commons Attribution (CC BY) license (https://creativecommons.org/licenses/by/4.0/).
Share and Cite
Scanlan, A.T.; Elsworthy, N.; Fox, J.L.; Stojanović, E.; Campos-Redondo, A.; Ibáñez, S.J.; Power, C.J. Sleep Varies According to Game Venue but Not Season Period in Female Basketball Players: A Team-Based Observational Study. Appl. Sci. 2025, 15, 2731. https://doi.org/10.3390/app15052731
Scanlan AT, Elsworthy N, Fox JL, Stojanović E, Campos-Redondo A, Ibáñez SJ, Power CJ. Sleep Varies According to Game Venue but Not Season Period in Female Basketball Players: A Team-Based Observational Study. Applied Sciences. 2025; 15(5):2731. https://doi.org/10.3390/app15052731
Chicago/Turabian StyleScanlan, Aaron T., Nathan Elsworthy, Jordan L. Fox, Emilija Stojanović, Amalia Campos-Redondo, Sergio J. Ibáñez, and Cody J. Power. 2025. "Sleep Varies According to Game Venue but Not Season Period in Female Basketball Players: A Team-Based Observational Study" Applied Sciences 15, no. 5: 2731. https://doi.org/10.3390/app15052731
APA StyleScanlan, A. T., Elsworthy, N., Fox, J. L., Stojanović, E., Campos-Redondo, A., Ibáñez, S. J., & Power, C. J. (2025). Sleep Varies According to Game Venue but Not Season Period in Female Basketball Players: A Team-Based Observational Study. Applied Sciences, 15(5), 2731. https://doi.org/10.3390/app15052731

