Abstract
In recent years, although a variety of deep learning models have been developed for magnitude estimation, the complex and variable nature of earthquakes limits the generalizability and accuracy of these models. In this study, we selected the waveform data of the Japan earthquake. We applied four deep learning techniques (MagNet combined with bidirectional long- and short-term memory network Bi-LSTM, DCRNN with deepened CNN layers, DCRNNAmp with the introduction of a global scale factor, and Exams with a multilayered CNN architecture) for real-time magnitude estimation. By comparing the estimation errors of each model in the first 3 s after the earthquake, it is found that the DCRNNAmp performs the best, with an MAE of 0.287, an RMSE of 0.397, and an R2 of 0.737 in the first 3 s after the arrival of the P-wave, and the inclusion of S-wave seismic-phase information is found to significantly improve the accuracy of the magnitude estimation, which suggests that S-wave seismic-phase waveform features can enrich the model’s understanding of the relationship between the seismic phases. It shows that S-wave phase waveform features can enrich the model’s knowledge of the relationship between seismic fluctuations and magnitude. The epicentral distance positively correlates with the magnitude estimation, and the model can converge faster with the improved signal-to-noise ratio. Despite the shortcomings of model design and opaque internal mechanisms, this study provides important evidence for deep learning in earthquake estimation, demonstrating its potential to improve the accuracy of on-site earthquake early warning (EEW) systems. The estimation capability can be further improved by optimizing the model and exploring new features.
1. Introduction
Earthquake early warning (EEW) systems integrate highly efficient monitoring technologies, fast data processing algorithms, and intelligent decision-making systems that can collect and analyze seismic wave first-arrival data in an instant, aiming to quickly determine the three elements of an earthquake (time, location, and magnitude) based on the monitoring signals before the arrival of the main motion and to conduct seismic damage assessment and activate emergency controls to mitigate the disaster [1,2,3]. The system includes at least functional modules such as earthquake localization, real-time magnitude calculation, intensity estimation in the warning target area, and information dissemination, of which real-time magnitude calculation is the most critical and complex part. The core problem of the magnitude calculation is establishing a clear link between the limited information in the early stage and the final damage and ensuring that the error of the calculated magnitude is small enough. Although indicators early in the rupture cannot fully infer the final magnitude, previous research has found that accurate estimates within the first ten seconds are possible [4,5].
However, there is a trade-off between achieving the earliest possible warning time and improving the estimate’s accuracy [6]: waiting for additional data containing more information about the earthquake improves the magnitude and location estimates but delays the issuance of warnings. More importantly, the earlier the estimate, the worse it is to underestimate the final magnitude [7].
At this stage, three types of magnitude estimation methods exist: mathematical modeling, shallow machine learning, and deep learning algorithms. Mathematical modeling has been widely used to establish an empirical functional relationship between the initial P-waveform information and the magnitude of the earthquake, including a variety of period-like formulas: estimation of the magnitude of the earthquake based on the average excellence of the period τ in the first-to-first P-wave over a period of 3–4 s [8] and the sum of absolute displacements within the first second of arrival multiplied by the maximum dominant frequency Sdτ [9], the dominant period Sp, the maximum superior period Sp-max [1,10], the mean period Sc [11], and the peak displacement Pd [12], etc. Based on the above studies, new parameters have been continuously proposed in recent years, such as the logarithmic mean period τlog [13], the deviation time of similar growth with P-wave Tdp [14], and the wavelet transform period λlog [15]. However, with the increase in data volume and computational power, shallow machine learning, as a data-driven nonparametric method, has begun to gradually show its advantages on the basis of mathematical modeling. Shallow machine learning algorithms can automatically learn the relationship between feature parameters and magnitude without the need to manually construct complex empirical functions as in traditional mathematical modeling. Comparing the results of three machine learning methods (i.e., Random Forest, Extreme Gradient Boosting, and Support Vector Machine) with single-site, multi-feature inputs for estimating the epicentral distance, it was found that all three machine learning methods outperform the traditional mathematical modeling methods [16]. They have low generalization error rates and low computational overhead, but require manual feature extraction and are sensitive to parameter and kernel function selection. In contrast, deep learning models do not need to extract features manually, have stronger characterization capability and accuracy, automatically extract relevant information to avoid empirical interference, and directly map original time series to class probability distributions. Deep learning methods such as MagNet [17], attention mechanism-based modeling [18], and end-to-end CNNs [19] have achieved significant results in magnitude estimation, demonstrating that neural networks can learn general relationships for estimating magnitude from raw waveforms.
Although most of these studies focus on the average performance of the models, there are fewer comparative analyses of the effects of training data features and the details of the model framework, which are particularly important in practical applications. In deep learning, real-time streaming is important for incremental computation, dynamic backtracking, and implementation decisions of seismic waveform time-series maps. This is particularly important in EEW systems that emphasize real-time data processing. Therefore, it is crucial to investigate the role of specific layers in the magnitude estimation modeling framework and the degree of influence of certain features on the input data.
Although magnitude estimation based on multistation data can improve accuracy, it often introduces additional delays. In this paper, we prioritize both timeliness and accuracy by adopting a single-station-based magnitude estimation method, which can provide faster results without waiting for seismic waves from multiple stations. The AI models studied by previous researchers have used various data sources, and the variability of these data sources can significantly affect the performance and results of the models. This paper compares different deep learning methods using standardized benchmark datasets. We discuss and compare the differences in model frameworks by simulating real-time streaming inputs to select the model with the best estimation performance and generalization ability. Additionally, we analyze the factors affecting the estimation and its application prospects.
Our research is firmly grounded in the model selection framework for magnitude prediction problems, as presented in the highly relevant study by Mousavi [17]. We carefully recombined three models from this prior work, a choice that was not haphazard but rather a deliberate strategy. In doing so, we aim to conduct a detailed and in-depth exploration at the fundamental mechanistic level. Our objective is to precisely dissect and explain the nuanced differences in the performance of these three models when achieving accurate earthquake magnitude prediction. Through this approach, we can contribute valuable insights into the inner workings of these models and identify areas for improvement and optimization. This, in turn, can significantly impact the advancement of the field of earthquake magnitude estimation and enhance the reliability and accuracy of future predictions.
2. Data and Methods
This paper uses the datasets from Japan’s K-NET and KiK-net networks, covering earthquake records from ground stations from January 2008 to June 2021. The dataset contains 8144 seismic events and 297,099 sets of three-component acceleration records. The magnitude of the events ranges from 3.0 to 7.7 (the MJMA magnitude is used uniformly), the depth ranges from 0 to 300 km, the longitude of the epicenter ranges from 122.267 E to 148.84 E, and the latitude of the epicenter ranges from 23.320 N to 45.985 N (Figure 1). The sampling frequency of the records from the stations is 100 Hz and the distance between the epicenters ranges from 0.11 to 299.88 km. A signal-to-noise ratio (S/N ratio) exceeding ten was selected to ensure the data quality. In order to ensure the data quality, events with a signal-to-noise ratio of more than ten and with more than five sets of three-component acceleration waveforms were selected.
Figure 1.
Distribution of earthquake epicenters and station locations in the K-NET and KiK-net networks in Japan.
The data were processed in the following steps: ① P-wave arrival pickup: using the vertical acceleration records, the P-wave arrivals were picked up automatically based on the long- and short-term averaging method and the Akaike information criterion, and the results were subsequently corrected manually. ② Baseline correction: the records were checked, and baseline correction was performed by subtracting the average value of the records from the first 2 s of the P-wave arrival. ③ Filtering process: a fourth-order Butterworth high-pass recursive filter was used for processing, with the cutoff band set to 0.075 Hz to remove low-frequency noise [20]. ④ Dataset division (Figure 2): The dataset was divided into a training set (5365 earthquakes), a validation set (728 earthquakes), and a test set (2051 earthquakes) according to the moment of epicenter generation to ensure that the proportion of magnitude in each dataset was appropriate. The epicenter distance directly affects the propagation characteristics of seismic waves, including amplitude attenuation, frequency variation, and waveform differences. Seismic records from different epicenter distances exhibit significant characteristic differences. Therefore, segmenting the dataset according to epicenter distance can ensure that samples within each sub-dataset have similar feature distributions, thereby reducing noise caused by differences in epicenter distance and improving data comparability and model prediction accuracy. After the above processing, the model inputs were waveforms of fixed length (20 s) and the arrivals were simulated for real-time monitoring.
Figure 2.
Distribution of the amount of data with magnitude for the training set (E), validation set (V), and test set (T).
This study combines the advantages of convolutional neural networks (CNNs) [21] and bidirectional long- and short-term memory networks (Bi-LSTMs) to optimize the efficiency and accuracy of seismic waveform analysis.
- MagNet [17] (https://github.com/smousavi05/MagNet, accessed on 13 February 2025) uses two one-dimensional convolutional layers (CNN1D) for feature extraction, with each encoder consisting of two CNN1D layers backed up by MaxPool1D for dimensionality reduction. The model extracts temporal dependencies through a bidirectional LSTM layer. The model effectively captures the relationship between the magnitude and P-wave arrival time.
- DCRNN adds three encoders to MagNet and the convolutional kernel size is gradually reduced to expand the sensory field for feature extraction. A multilayer perceptron (MLP) converts the feature output from the Bi-LSTM into magnitude estimations.
- DCRNNAmp adds a layer on top of DCRNN to take the maximum value of various input data as global information, which enhances the accuracy of the model estimation by splicing it with the Bi-LSTM output feature vectors.
- Exams [19] is based on a hybrid convolutional neural network structure. Spatial features are extracted through two-dimensional convolutional layers, then processed through multiple layers of one-dimensional convolution, and finally features are fused for magnitude regression.
In this study, we describe the construction and processing of the dataset in detail and elaborate on the architecture of each deep learning model and its characteristics. The study’s main objective is to reveal each model’s strengths and weaknesses in feature extraction and learning capability by comparing the performance differences in different deep learning models in earthquake magnitude estimation. This will provide a theoretical basis for practical applications and guidance for further optimization of model selection. The significance of the study lies in the fact that magnitude estimation is an important topic in seismological research and its accuracy directly affects the effectiveness of disaster prevention and mitigation work. By analyzing the performance of each model in depth, we can identify the most suitable model for handling magnitude estimation and help researchers better understand the strengths and weaknesses of the model in the data learning process. In addition, the response characteristics of different model architectures to data processing and parameter settings provide rich practical guidance for future research, enabling subsequent studies to optimize the models more efficiently, thus improving the accuracy and reliability of earthquake magnitude estimation.
3. Analysis of Results
3.1. Comprehensive Comparative Analysis of Models
This section provides a comprehensive and in-depth comparison of four forecasting models. By analyzing key performance metrics over time, including the coefficient of determination (R2), root mean square error (RMSE), mean absolute error (MAE), and mean absolute percentage error (MAPE), we reveal the relationship between estimation errors and key factors such as earthquake duration, depth of source, signal-to-noise ratio, and distance from the epicenter. In particular, we independently evaluate the effectiveness of single-station estimation for intense seismic events of magnitude six and above to better understand the estimation challenges and model limitations of extreme seismic events.
3.1.1. Comparison Criteria
Coefficient of determination (R2) measures the goodness-of-fit of the regression model by the statistic R2, where the best value is 1. The closer the value of R2 is to 1, the better the model fits the data, and the higher the prediction accuracy:
Root mean squared error (RMSE) is more sensitive to isolated outliers; it measures the mean absolute error between the predicted value and the true value. The smaller the value, the higher the prediction accuracy:
Mean absolute error (MAE) more comprehensively reflects the overall dispersion of prediction error; again, the smaller the value, the better the prediction effect of the model:
3.1.2. Analysis of Each Model’s Advantages
The analysis that follows examines the statistical characteristics of the overall magnitude predictions for the four models depicted in Figure 3.
Figure 3.
Coefficient of determination (R2), root mean squared error (RMSE), mean absolute error (MAE), and error bars for the estimation errors of the four models over time.
DCRNN and DCRNNAmp models: In the early stage of magnitude prediction (first and second), the R2 values reach 0.667 and 0.669, respectively, which are significantly higher than the 0.354 of the Exams model, indicating that these two models can provide more accurate estimates in the early stage. As the prediction time is extended, the R2 values of the prediction results reach about 0.9 at 20 s, proving their reliability and accuracy in magnitude prediction. The curves of MAE and RMSE not only show the same trend, but in the early stage of the magnitude prediction, the RMSE and MAE are about 0.45 and 0.32, respectively, which are much better than those of 0.625 and 0.442 in the Exams model, which indicates that the prediction accuracy is significantly higher at each time point.
Finally, the RMSE and MAE converge to 0.23 and 0.17, respectively, showing that the average error decreases steadily with the extension of the time window. Taken together, the DCRNN and DCRNNAmp models have significant advantages in the magnitude prediction task, providing more accurate magnitude estimates at the initial stage of prediction, and maintaining a high level of prediction accuracy with a steady decrease in the error over time, making them the best-performing models in this comparison, and can be used as the benchmark models.
Exams model: In the early stage of magnitude prediction, the R2 value is low, only 0.354, which is different from the DCRNN and DCRNNAmp models, indicating that the accuracy of early prediction is poor. As the prediction time is extended, the regression effect gradually improves and surpasses the MagNet model at 5.5 s, but the overall performance is still not as good as that of the DCRNN and DCRNNAmp models. The RMSE and MAE in the early stage are 0.625 and 0.442, respectively, which are much higher than those of the DCRNN and DCRNNAmp models, indicating that there are obvious shortcomings in their prediction accuracy. Finally, the RMSE and MAE converge to 0.23 and 0.17, which are the same as the DCRNN and DCRNNAmp models, but the overall performance in the whole prediction process is inferior to the DCRNN and DCRNNAmp models.
MagNet model: The overall performance of the regression results was average, with no outstanding R2 values at any of the time points. However, it reaches the earliest stable state at about 7 s, which shows that it has some unique characteristics in terms of model stability, but this advantage is not enough to make it a better model compared to the DCRNN and DCRNNAmp models in terms of prediction accuracy and overall performance.
In summary, the DCRNN and DCRNNAmp models perform well on several of the parameter metrics in this comparison, and are superior models for the magnitude prediction task and can be used as benchmark models; the Exams model performs poorly in terms of early prediction accuracy and overall performance; and the MagNet model, although it has the characteristic of reaching the steady state earlier, does not have as good a comprehensive performance as the DCRNN, DCRNNN, and DCRNNAmp models. These conclusions have important reference value for further optimizing the earthquake early warning models and improving the prediction accuracy. Subsequent studies can focus on the advantageous features of the DCRNN and DCRNNAmp models, explore how to further improve their performance, and also draw on the unique features of the other models to promote the development of earthquake early warning technology.
3.2. Analysis of Magnitude Estimation Results in the First 3 s
Although waveform estimation of magnitude may be limited in the early stage of a large earthquake due to incomplete rupture, 3 s of seismic recordings is still considered a reasonable starting point for magnitude estimation. This is because most earthquakes with magnitudes less than six usually have rupture half-durations shorter than 3 s [22]. Therefore, it is reasonable to believe that in most cases, using a 3 s seismic record, we can make a preliminary judgment on whether the magnitude of an earthquake will exceed magnitude 6, and even through deep learning methods, the model can capture the magnitude estimation features in the waveforms that are associated with large earthquakes [9,23].
Figure 4 depicts the magnitude predictions for the initial 3 s. In the first second, when the magnitude is below 4.0, the Exams model demonstrates relatively good performance. The error between its prediction and the true value remains fairly small. However, as the magnitude increases, the scenario changes.
Figure 4.
Plot of the errors of the four models with magnitude in the first 6 s after the arrival of the P-wave.
For earthquakes with magnitudes ranging from 4.0 to 5.0, the prediction errors of all four models decrease. Paradoxically, the performance of the Exams model deteriorates, and the gap between it and the other models widens. When the magnitude surpasses 5.0, the DCRNN and DCRNNAmp models exhibit distinct advantages over the others.
Specifically, in the magnitude range of 6.5 to 7.5, all models significantly underestimate the magnitude. Nevertheless, it is notable that the DCRNN and DCRNNAmp models still yield the best results when the magnitude exceeds 6.5. Although the overall trends of these two models are similar, upon closer inspection, some subtle differences emerge. After the magnitude exceeds 7.0, the DCRNNAmp model shows slightly better stability, with a relatively smaller curve fluctuation. In contrast, the Exams model performs the worst in this magnitude range. The difference between its predicted and true values is substantial, and the curve fluctuates more erratically, highlighting its limitations in handling high-magnitude earthquakes.
As the prediction time window extends, the mean error values of all models display a downward trend, and the differences among the models gradually diminish. However, the DCRNN and DCRNNAmp models still outperform the other two. This indicates that they possess higher accuracy and stability when dealing with magnitude estimation tasks for seismic events of varying magnitudes.
This finding holds great significance for enhancing the reliability and accuracy of earthquake early-warning systems. In particular, the performance disparity between the DCRNN and DCRNNAmp models in the high-magnitude interval offers a valuable reference for further model optimization. By capitalizing on their respective characteristics, targeted improvements can be made to these two models, thereby better enhancing the performance of the earthquake early-warning system across different magnitude scenarios.
3.3. Analysis of the Magnitude Estimation Results for Different Time Durations of the First-to-Wave Wake
The results presented in Figure 4 further confirm that the overall performance of the DCRNN and DCRNNAmp in the magnitude estimation task has a significant advantage over MagNet and Exams. In order to analyze the error distribution characteristics of these models in more depth, we introduce a plot of the predicted magnitude versus the true magnitude during the first 8 s, as well as a histogram of the error distribution. The error distribution histogram reveals that the error data follow a Gaussian distribution.
When comparing R2 values, the DCRNN and DCRNNAmp achieve scores of 0.667 and 0.676, respectively, in the first second. These values are significantly better than MagNet’s score of 0.580 and Exams’ score of 0.383. As time progresses to the eighth second, the Exams model gradually improves and surpasses MagNet, reaching an R2 value of 0.816. However, it still falls short of the DCRNN and DCRNNAmp, which maintain R2 values of 0.863 and 0.861.
The error histogram dynamics provide a visual representation of the gradual optimization process of model performance. As the estimation time increases, the “tail” of the high error region starts to shorten, while the low error region expands, resulting in a more concentrated overall error distribution. This trend suggests that the model’s estimation error decreases, which ultimately enhances the accuracy and reliability of the estimations.
Additionally, we assessed the linear correlation between the predicted and true magnitudes by calculating the correlation coefficient. The data presented in Figure 5 indicate that the correlation coefficients for DCRNNAmp and DCRNN are both 0.82 from the start and onward. This performance is significantly better than that of MagNet (0.78) and Exams (0.76). Furthermore, the correlation coefficients for all models show a gradual increase with the extension of the time window, further confirming the continuous improvement in model performance.
Figure 5.
Rows 1 and 3 show the predicted magnitude and accurate magnitude distribution of DCRNN and DCRNNAmp models. Rows 2 and 4 show the frequency distribution of the error (predicted magnitude and true magnitude) for the DCRNN and DCRNNAmp models.
Notably, DCRNNAmp exhibits a faster and more accurate magnitude estimation capability during the first 3 s when compared to DCRNN. The results indicate that DCRNNAmp outperforms DCRNN in terms of both accuracy and speed in this initial period. This finding underscores the potential application of the DCRNNAmp in earthquake early warning systems and serves as an important reference for future model optimization and algorithm enhancement.
The performance of the Exams model against other models in a real-time streaming input scenario demonstrates the advantages of RNN and its variants (e.g., Bi-LSTM) in fast-magnitude prediction. The sequence and time dependence of events in seismic waveform data are crucial, and RNN effectively handles the long time dependence problem through a gating mechanism that captures subtle features and maintains the memory of historical information. Therefore, RNN and its hybrid models (e.g., DCRNNAmp) provide more stable and accurate magnitude prediction results when fast and accurate prediction is required, especially when facing continuous data streams.
3.4. Analysis of Error Variation with Epicenter Distance, SNR, Depth, and Magnitude
As a “black box” technology, the deep learning method has an internal working mechanism that is not transparent and difficult to visualize, which is the most important factor in developing deep learning algorithms.
These features have a significant impact on the estimation results. In this study, we did not directly integrate station information and other features with waveform data but expected the model to learn relevant information. Given this, we selected the DCRNNAmp, which performed well in the above comparative analysis, and deeply analyzed the relationship between its predicted magnitude and key factors, such as epicentral distance, signal-to-noise ratio (SNR), and depth, in order to determine whether the model has learned the relevant information that has a significant impact on the estimation results.
It should be noted that the error in this paper is defined as the predicted value minus the actual value, with positive values indicating overestimation and negative values indicating underestimation. In the practical application of earthquake early warning (EEW), the thresholds of ground shaking parameters are mainly used to determine whether the ground shaking is destructive. Therefore, for the practical application of EEW, it is imperative to evaluate the effectiveness of deep learning methods in recognizing destructive earthquakes. In the analysis, we compared the large earthquakes with a magnitude greater than 6 with all of the data.
3.4.1. Effect of Epicenter Distance on Magnitude Estimation Accuracy
According to [24], in the empirical formula for magnitude estimation using waveforms with different time windows after P-wave, the results were significantly improved by adding the distance term, and the training convergence speed of the network and the impact on the training set were better than the network without the introduction of the epicenter distance feature. In contrast, the normalization process adversely affects the model’s acquisition of accurate amplitude information.
The results in Figure 6 show that the overall error distribution gradually tends to concentrate as the epicenter distance increases, while the mean error for large earthquakes is skewed towards negative values, i.e., underestimation. In the first second, the errors of large earthquakes are significantly larger than the mean errors, and the maximum underestimation reaches about magnitude 4. The magnitude underestimation is more serious in remote sites. However, as the time window lengthens, at about 5 s, the mean of the estimation errors for large earthquakes improves considerably, and the underestimation of events at distant epicentral distances gradually returns to normal levels. The overall mean error is less than 0.5, and the error of large earthquakes is also less than 1. Although the universal magnitude error of large earthquakes is larger than the mean magnitude error of all data, the magnitude errors of large earthquakes show a positive correlation tendency with the increase in the source distance, which is in line with the objective law that the source information accounts for more in the near-seismic waveforms, and decreases in remote earthquakes due to the increase in the path effect.
Figure 6.
Error variation with epicenter distance at 1–20 s (all events in gray; events larger than magnitude 6 in orange).
3.4.2. Influence of Signal-to-Noise Ratio (SNR) on Magnitude Estimation Accuracy
Both the overall error and the large seismic error converge with increasing SNR (Figure 7). Since the near shocks can mostly be categorized as high-SNR, the higher the SNR, the smaller the mean value of the errors, which is in line with the objective law. In the first second, the overall mean error tends to be 0. However, the negative error region is more expansive, indicating that the underestimated events are more discrete, while the overestimated events are relatively concentrated. The mean errors of large earthquake events in all SNR segments are located in the negative region, and the standard deviations of the errors are significantly more significant than the overall performance, indicating that most large earthquake events are significantly underestimated and the underestimation errors are significant. However, with the time window extension, the overall error and the large seismic error gradually converge and the mean value of the large seismic error tends to be close to zero.
Figure 7.
Error variation with SNR at 1–20 s (all events in gray; events larger than magnitude 6 in orange).
3.4.3. Effect of Depth on Magnitude Estimation Accuracy
Deeper earthquakes tend to produce longer seismic wave propagation times, leading to longer signal acquisition times, which may cause some signals to be ignored or misclassified. The overall error in the results of this paper converges gradually with the increase in depth (Figure 8). The error of large earthquakes is more concentrated within 70 km, stabilized in the distribution of the negative error region. Some events with more significant errors occur at a depth of about 25 km. Analyzing the error distribution at 1 s, the estimation value of large earthquakes is significantly lower than the overall estimation average at a depth of about 13 km, the error is more concentrated (there may be a significant fault), and the most significant error reaches level 4 at a depth of 25 km, which indicates that the distribution of large earthquakes is more extensive. The estimation accuracy is lower (there may be a low-velocity layer).
Figure 8.
Error variation with depth at 1–20 s (all events in gray; events greater than magnitude 6 in orange).
3.4.4. Magnitude Error with Time
In order to explore the performance of the DCRNN in in-depth real-time earthquake estimation, we analyze the change in its magnitude estimation results over time in detail (Figure 9). The results show that the DCRNN has a prominent phenomenon of “overestimation for small earthquakes and underestimation for large earthquakes” in the first 3 s when predicting earthquakes of different magnitudes. However, by the third second, the underestimation of large earthquakes has been significantly improved, and the average value of the errors for the whole magnitude range has been gradually reduced. By the 5th second, the overestimation of small earthquakes has also been effectively improved. After 6 s, the overall mean error stays near 0, which indicates that the magnitude estimation performance of the DCRNN continues to improve with time.
Figure 9.
Error with magnitude at 1–20 s (all events in gray; average error per magnitude class in blue error bars).
3.4.5. Effect of S-Wave Information on Magnitude Estimation Accuracy
In the study of earthquake estimation [25], the results of a support vector machine (SVM) trained using six features to predict earthquake location and magnitude, which include mean amplitude, signal peak absolute amplitude, root mean square amplitude, P-wave onset time, S-wave onset time, and P-S interval, showed that the S-wave onset time is a handy feature that can help to improve the estimation accuracy of the location and magnitude of earthquakes when only a single vertical component is used. Previous studies usually consider the information of epicenter distance and S-wave phase arrival time in estimating magnitude. However, waveform features, especially those after the S-wave phase, may have equally important impacts on the magnitude estimation. When waveforms are used as inputs to the model, the magnitude estimation may be less dependent on the propagation time or attenuation and more on the frequency characteristics of the waveforms and the fingerprinting characteristics of the location.
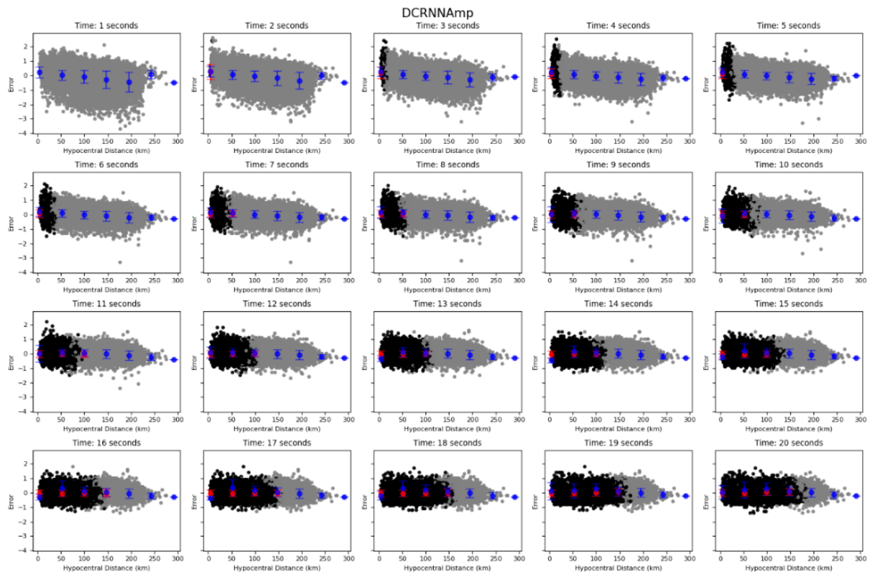
In this paper, we explored whether the S-wave seismic phase improves the accuracy of magnitude estimation after introducing S-wave information (Figure 10). After viewing the S-wave information without S-wave arrivals, we compared the magnitude estimation errors with the source distance. These were analyzed as follows: Gray dots indicate that only the P-wave information is available. In contrast, black dots indicate that both the P-wave and the S-wave seismic phases are included in the information. Starting from the 2nd second, the S-wave arrival information of the station gradually becomes involved in the magnitude estimation. From the 3rd second onwards, the mean magnitude estimation errors of the stations containing S-wave information are significantly lower than those using only P-wave. After the 13th second, the mean error of the stations containing S-wave information tends to be more stable and close to 0, while the overall error fluctuates somewhat. Overall, introducing S-wave information can effectively improve the accuracy of magnitude estimation, and this finding provides new ideas for future earthquake estimation research.
Figure 10.
Variation in error with epicenter distance after the appearance of S-wave seismic phase at 1–20 s (gray is all events; black is the appearance of S-wave seismic phase in the station waveform of the current event, Red symbols are error bars for black seismic events, and blue symbols are error bars for gray seismic events).
4. Discussion
This study delves into the application of deep learning models for magnitude prediction based on the correlation between the first few seconds of P-wave time series and frequency information with magnitude. We conducted a comparative analysis of four models: MagNet, Exams with multi-layer CNN, DCRNN augmented with CNN layers from MagNet, and DCRNNAmp, which further incorporates global amplitude scaling information. The results show that the modified DCRNN and DCRNNAmp models perform best in real-time magnitude prediction, primarily due to their significant advantage in extracting complex waveform features. Their deeper CNN structures can capture more temporal information and global features.
Timeliness and accuracy: In terms of timeliness, the DCRNNAmp model is similar to the DCRNN model, but it exhibits higher accuracy. Through comprehensive analysis of the dynamic changes in magnitude prediction and overall error metrics across the four models, we found that the DCRNNAmp model improves prediction errors faster when handling high-magnitude events and gradually enhances its ability to capture earthquake-related features over time, thanks to the inclusion of global scale factors.
Impact factor analysis: Further analysis of how model parameters change with epicentral distance, depth, and signal-to-noise ratio (SNR) revealed a positive correlation between epicentral distance and magnitude prediction. Stations farther from the epicenter tend to underestimate magnitude more severely, but this bias improves after about 5 s. Overall errors and large-event errors converge as SNR increases. In terms of depth, large-event errors are mainly concentrated within 70 km, particularly around 25 km, possibly due to low-velocity layers or fault planes.
This study also examined the impact of S-wave phase information on the accuracy of magnitude prediction. After inputting continuous waveforms without labeled S-waves, the model’s accuracy in magnitude prediction significantly improved after the arrival of S-waves. This improvement is attributed to the rich spatial and temporal features provided by S-waves during earthquake propagation, allowing the model to better capture seismic wave characteristics and their relationship with magnitude, thereby enhancing prediction capability.
Notably, while the models exhibit significant accuracy and simplicity in magnitude prediction, there are certain limitations. First, the design of machine learning models (including architecture and parameters) is experience-based, potentially limiting performance in magnitude estimation. Future research should optimize model design to improve prediction accuracy. Second, as deep learning operates as a black box method, the lack of transparency in internal mechanisms hinders clear understanding of which features are the most important in EEW applications and their physical meanings. Therefore, future studies should focus on revealing these features and their physical explanations. Additionally, the differences in model predictions between large and small earthquakes, as well as the impact of dataset imbalance on training outcomes, need further consideration. To enhance data utilization and prediction accuracy, future research could explore the integrated use of various monitoring devices and more comprehensive analytical methods.
5. Conclusions
In summary, deep learning models demonstrate great potential in the field of earthquake prediction. Continuous optimization of model design, exploration of features and their physical significance, and improvements in data utilization and analytical comprehensiveness will likely lead to more substantial progress in earthquake prediction.
Model advantages: Models combining convolutional neural networks (CNNs) and bidirectional long- and short-term memory networks (Bi-LSTMs) show significant advantages in magnitude prediction. Their strong feature learning capabilities and efficient temporal information capture enable them to more accurately reflect seismic wave characteristics and energy release patterns.
Role of S-wave information: the addition of S-wave information further boosts the overall predictive power of the models, allowing for a more comprehensive grasp of various features throughout the earthquake process.
Research contributions: This study shows that even when only waveforms are fed into the DCRNNAmp model without additional feature information, the model can effectively learn important information related to magnitude. Such end-to-end deep learning models exhibit significant accuracy and simplicity in magnitude prediction, significantly improving the judgment of ground motion damage in early earthquake warning (EEW).
Real-time data streams: Since earthquake early warning systems usually need to deal with real-time data streams, RNNs and their variants are well suited for such application scenarios as they can continuously receive new data and update their internal state, thus enabling an immediate response. While many scholars in the field have already endorsed the existing MagNet method, we would like to start from this aspect by fine-tuning and modifying the technique to produce more objective fine-tuning suggestions for this type of model without wishing to undermine the general applicability or generalization of the existing earthquake magnitude prediction models by pushing back and reconstructing them. The authors’ work discussing these three model architectures in earthquake magnitude prediction can be a reference for future generations to carry out related work.
Despite the challenges in achieving precise magnitude prediction, our research provides valuable insights and technical support for future earthquake prediction efforts, pointing out directions for further optimization and potential research paths.
Author Contributions
Conceptualization, X.S.; Methodology, X.S. and B.H.; Software, B.H.; Validation, X.S. and B.H.; Formal analysis, X.S.; Writing—original draft, X.S.; Writing—review & editing, B.H., J.L. and S.L.; Supervision, J.L. and S.L.; Project administration, J.L. and S.L.; Funding acquisition, J.L. and S.L. All authors have read and agreed to the published version of the manuscript.
Funding
This research was financially supported by the Key Science and Technology Project of Ministry of Emergency Management of the People’s Republic of China (2024EMST040409).
Data Availability Statement
Seismic waveforms were provided by the Japanese National Research Institute for Earth Science and Disaster Resilience (NIED; http://www.kyoshin.bosai.go.jp/), Tsukuba, Japan. The figures were made using Genetic Mapping Tools. The magnitude estimation model’s codes were written with Python packages TensorFlow (www.tensorflow.org) and Sklearn (https://scikit-learn.org/stable/).
Acknowledgments
I would like to extend my heartfelt gratitude to Hou for generously sharing the code and inspiring research ideas. My sincere appreciation also goes to Lu Jianqi for his unwavering support on the project and insightful suggestions for paper revisions. Additionally, I am thankful to Li Shanyou for his thoughtful reviews and constructive feedback. Your invaluable contributions have not only made this research possible but have also enriched the entire journey.
Conflicts of Interest
The authors declare no conflicts of interest.
References
- Nakamura, Y. A method for estimating the magnitude of an earthquake using the period of the first P-wave motion. Bull. Seismol. Soc. Am. 1988, 78, 2231–2250. [Google Scholar]
- Dimililer, K.; Dindar, H.; Al-Turjman, F. An overview of deep learning, machine learning, and the Internet of Things in geophysical engineering applications. Microprocess. Microsyst. 2021, 80, 103613. [Google Scholar] [CrossRef]
- Minson, S.E.; Meier, M.A.; Baltay, A.S.; Hanks, T.C.; Cochran, E.S. The limits of earthquake early warning: Timeliness of ground motion estimates. Sci. Adv. 2018, 4, eaaq0504. [Google Scholar] [CrossRef]
- Goldberg, D.E.; Melgar, D.; Bock, Y.; Allen, R.M. Geodetic Observations of Weak Determinism in Rupture Evolution of Large Earthquakes. J. Geophys. Res. Solid Earth 2018, 123, 9950–9962. [Google Scholar] [CrossRef] [PubMed]
- Trugman, D.T.; Page, M.T.; Minson, S.E.; Cochran, E.S. Peak Ground Displacement Saturates Exactly When Expected: Implications for Earthquake Early Warning. J. Geophys. Res. Solid Earth 2019, 124, 4642–4653. [Google Scholar] [CrossRef]
- Meier, A. How “good” are real-time ground motion estimations from Earthquake Early Warning systems? J. Geophys. Res. Solid Earth 2017, 122, 5561–5577. [Google Scholar] [CrossRef]
- Melgar, D.; Gavin, P. Hayes, Characterizing large earthquakes before rupture is complete. Sci. Adv. 2019, 5, eaav2032. [Google Scholar] [CrossRef] [PubMed]
- Kumar, S.; Mittal, H.; Roy, K.S.; Wu, Y.-M.; Chaubey, R.; Singh, A.P. Development of earthquake early warning system for Kachchh, Gujarat, in India using τc and Pd. Arab. J. Geosci. 2020, 13, 622. [Google Scholar] [CrossRef]
- Wang, Y.; Li, X.; Li, L.; Wang, Z.; Lan, J. New Magnitude, Proxy for Earthquake Early Warning, Based on Initial Time Series and Frequency. Seismol. Res. Lett. 2021, 93, 216–225. [Google Scholar] [CrossRef]
- Allen, R.M.; Kanamori, H. The potential for earthquake early warning in Southern California. Science 2003, 300, 786–789. [Google Scholar] [CrossRef] [PubMed]
- Kanamori, H. Earthquake physics and real-time seismology. Nature 2008, 451, 271–273. [Google Scholar] [CrossRef] [PubMed]
- Wu, Y.M.; Zhao, L. Magnitude estimation using the first three seconds P-wave amplitude in earthquake early warning. Geophys. Res. Lett. 2006, 33, L16312. [Google Scholar] [CrossRef]
- Ziv, A. New frequency-based real-time magnitude proxy for earthquake early warning. Geophys. Res. Lett. 2014, 41, 7035–7040. [Google Scholar] [CrossRef]
- Noda, S.; Ellsworth, W.L. Scaling the relationship between earthquake magnitude and the departure time from the P wave is similar to growth. Geophys. Res. Lett. 2016, 43, 9053–9060. [Google Scholar] [CrossRef]
- Atefi, S.; Heidari, R.; Mirzaei, N.; Siahkoohi, H.R. Rapid Estimation of Earthquake Magnitude by a New Wavelet-Based Proxy. Seismol. Res. Lett. 2017, 88, 1527–1533. [Google Scholar] [CrossRef]
- Zhu, J.; Sun, W.; Zhou, X.; Yao, K.; Li, S.; Song, J. Machine Learning-Based Rapid Epicentral Distance Estimation from a Single Station. Bull. Seismol. Soc. Am. 2024, 114, 1507–1522. [Google Scholar] [CrossRef]
- Mousavi, S.M.; Beroza, G.C. A machine-learning approach for earthquake magnitude estimation. Geophys. Res. Lett. 2020, 47, e2019GL085976. [Google Scholar] [CrossRef]
- Kavianpour, P.; Kavianpour, M.; Jahani, E.; Ramezani, A. A CNN-Bi-LSTM model with attention mechanism for earthquake prediction. J. Supercomput. 2023, 79, 19194–19226. [Google Scholar] [CrossRef]
- Münchmeyer, J.; Bindi, D.; Leser, U.; Tilmann, F. Earthquake magnitude and location estimation from real-time seismic waveforms with a transformer network. Geophys. J. Int. 2021, 226, 1086–1104. [Google Scholar] [CrossRef]
- Zollo, A.; Amoroso, O.; Lancieri, M.; Wu, Y.-M.; Kanamori, H. A threshold-based earthquake early warning using dense accelerometer networks. Geophys. J. Int. 2010, 183, 963–974. [Google Scholar] [CrossRef]
- Lomax, A.; Michelini, A.; Jozinović, D. An Investigation of Rapid Earthquake Characterization Using Single-Station Waveforms and a Convolutional Neural Network. Seismol. Res. Lett. 2019, 90, 517–529. [Google Scholar] [CrossRef]
- Meier, M.-A.; Ampuero, J.; Heaton, T.H. The hidden simplicity of subduction megathrust earthquakes. Science 2017, 357, 1277–1281. [Google Scholar] [CrossRef] [PubMed]
- Lara, P.; Bletery, Q.; Ampuero, J.-P.; Inza, A.; Tavera, H. Earthquake Early Warning starting from 3 s of records on a single station with machine learning. J. Geophys. Res. Solid Earth 2023, 128, e2023JB026575. [Google Scholar] [CrossRef]
- Meng, F.; Ren, T.; Liu, Z.; Zhong, Z. Toward earthquake early warning: A convolutional neural network for rapid earthquake magnitude estimation. Artif. Intell. Geosci. 2023, 4, 39–44. [Google Scholar] [CrossRef]
- Chanda, S.; Somala, S.N. Single-Component/Single-Station-Based Machine Learning for Estimating Magnitude and Location of an Earthquake: A Support Vector Machine Approach. Pure Appl. Geophys. 2021, 178, 1959–1976. [Google Scholar] [CrossRef]
Disclaimer/Publisher’s Note: The statements, opinions and data contained in all publications are solely those of the individual author(s) and contributor(s) and not of MDPI and/or the editor(s). MDPI and/or the editor(s) disclaim responsibility for any injury to people or property resulting from any ideas, methods, instructions or products referred to in the content. |
© 2025 by the authors. Licensee MDPI, Basel, Switzerland. This article is an open access article distributed under the terms and conditions of the Creative Commons Attribution (CC BY) license (https://creativecommons.org/licenses/by/4.0/).









