Genetic Diversity in Apricot Orchards Across Key Growing Regions in Slovakia and Austria, Along with Cultivar Authentication of Apricot Genotypes Found in the Market
Abstract
1. Introduction
2. Materials and Methods
2.1. Biological Material
2.2. Microsatellite Analysis
2.3. Statistical Evaluation
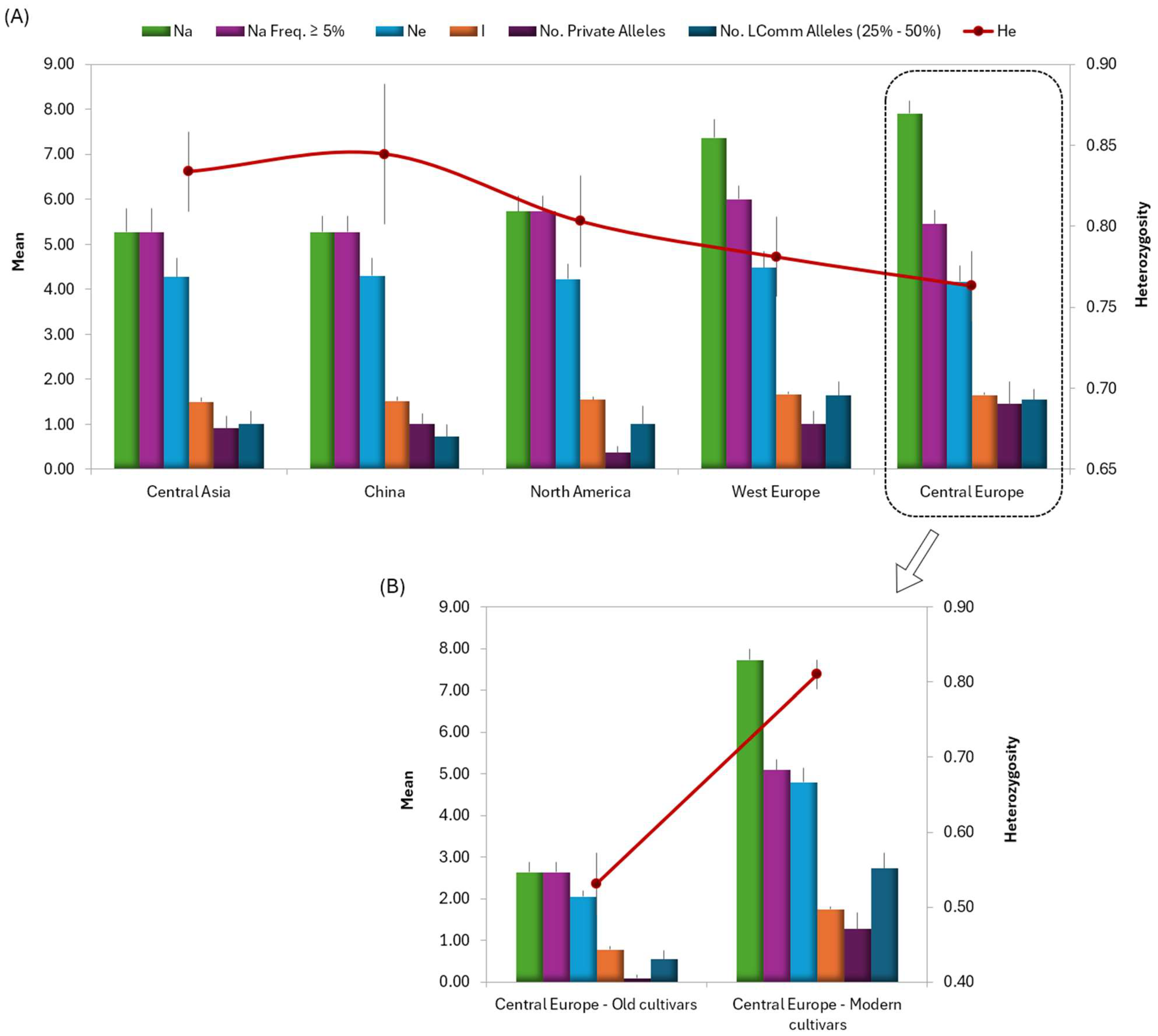
3. Results
3.1. Genetic Variation of Apricots from Control Database
3.2. Identification of Apricots Sampled in Orchards by Comparison with the Standard Control Genotypes
4. Discussion
5. Conclusions
Supplementary Materials
Author Contributions
Funding
Institutional Review Board Statement
Informed Consent Statement
Data Availability Statement
Acknowledgments
Conflicts of Interest
Abbreviations
| SSR | Simple sequence repeat |
| Na | No. of different alleles |
| Ne | No. of effective alleles |
| Ho | Observed heterozygosity |
| He | Expected heterozygosity |
| PIC | Polymorphic information content |
| PI | Probability of identity |
| I | Shannon’s information index |
| F | Fixation index |
| SE | Standard error |
| Na (Freq ≥ 5%) | No. of different alleles with a frequency ≥ 5% |
| No. Private Alleles | No. of alleles unique to a single population |
| No. LComm Alleles (25–50%) | No. of locally common alleles (Freq. ≥ 5%) found in 25–50% populations |
References
- RakiDa, A.; ÇetiNsağ, N.; Akparov, Z.; Bayramov, L.; Babayeva, S.; Izzatullayeva, V.; Abbasov, M.; ErciŞli, S.; Gürcan, K. Assessment of genetic diversity and search for Plum pox virus resistance alleles of apricot (Prunus armeniaca L.) genotypes spread in Azerbaijan using SSR markers. Turk. J. Agric. For. 2023, 47, 529–540. [Google Scholar] [CrossRef]
- Herrera, S.; Hormaza, J.I.; Lora, J.; Ylla, G.; Rodrigo, J. Molecular Characterization of genetic diversity in apricot Cultivars: Current situation and Future Perspectives. Agronomy 2021, 11, 1714. [Google Scholar] [CrossRef]
- Shah, R.A.; Bakshi, P.; Sharma, N.; Jasrotia, A.; Itoo, H.; Gupta, R.; Singh, A. Diversity assessment and selection of superior Persian walnut (Juglans regia L.) trees of seedling origin from North-Western Himalayan region. Resour. Environ. Sustain 2021, 3, 100015. [Google Scholar] [CrossRef]
- Rimpika, N.; Sharma, D. Advances in breeding of peach, plum and apricot. In Prunus—Recent Advances; Küden, A., Küden, A., Eds.; IntechOpen: Rijeka, Croatia, 2021; p. 212. [Google Scholar] [CrossRef]
- Bourguiba, H.; Scotti, I.; Sauvage, C.; Zhebentyayeva, T.; Ledbetter, C.; Krška, B.; Remay, A.; D’Onofrio, C.; Iketani, H.; Christen, D.; et al. Genetic Structure of a Worldwide Germplasm Collection of Prunus armeniaca L. Reveals Three Major Diffusion Routes for Varieties Coming from the Species’ Center of Origin. Front. Plant Sci. 2020, 11, 638. [Google Scholar] [CrossRef]
- Rallo, P.; Jiménez, M.R.R.; Casanova, L.; Morales-Sillero, A.; Suárez, M.P. Genetic diversity of stone fruit cultivars preserved On-Farm in southern Spain. J. Agric. Sci. Technol. 2019, 21, 943–955. Available online: http://jast.modares.ac.ir/article-23-13725-en.html (accessed on 8 September 2024).
- Uzun, A.; Pinar, H.; Gürcan, K.; Turgunbaev, K.; Yıldız, E.; Ilgın, M.; Dolgikh, S. Genetic diversity and population structure of wild and cultivated apricots collected from Kyrgyzstan. Genet. Resour. Crop Evol. 2024, 71, 4131–4140. [Google Scholar] [CrossRef]
- Powell, W.; Morgante, M.; Andre, C.; Hanafey, M.; Vogel, J.; Tingey, S.; Rafalski, A. The comparison of RFLP, RAPD, AFLP and SSR (microsatellite) markers for germplasm analysis. Mol. Breed. 1996, 2, 225–238. [Google Scholar] [CrossRef]
- Van Inghelandt, D.; Melchinger, A.E.; Lebreton, C.; Stich, B. Population structure and genetic diversity in a commercial maize breeding program assessed with SSR and SNP markers. Theor. Appl. Genet. 2010, 120, 1289–1299. [Google Scholar] [CrossRef]
- Cipriani, G.; Lot, G.; Huang, W.G.; Marrazzo, M.T.; Peterlunger, E.; Testolin, R. AC/GT and AG/CT microsatellite repeats in peach [Prunus persica (L.) Batsch]: Isolation, characterisation and cross-species amplification in Prunus. Theor. Appl. Genet. 1999, 99, 65–72. [Google Scholar] [CrossRef]
- Wang, Y. Genetic Mapping of the evergrowing Gene in Peach [Prunus persica (L.) Batsch]. J. Hered. 2002, 93, 352–358. [Google Scholar] [CrossRef]
- Hormaza, J. Molecular characterization and similarity relationships among apricot (Prunus armeniaca L.) genotypes using simple sequence repeats. Theor. Appl. Genet. 2002, 104, 321–328. [Google Scholar] [CrossRef] [PubMed]
- Chroboková, E.; Raddová, J.; Vachůn, M.; Krška, B.; Pidra, M. An analysis of apricot cultivars by random amplified polymorphic DNA and microsatellite primers. Hortic. Sci. 2011, 38, 125–133. [Google Scholar] [CrossRef]
- Regner, F.; Kickenweiz, M.; Hack, R. Genotyping apricots (Prunus armeniaca) by SSR markers. Mitt. Klosterneubg. 2004, 54, 33–42. [Google Scholar]
- Maghuly, F.; Fernandez, E.B.; Ruthner, S.; Pedryc, A.; Laimer, M. Microsatellite variability in apricots (Prunus armeniaca L.) reflects their geographic origin and breeding history. Tree Genet. Genomes 2005, 1, 151–165. [Google Scholar] [CrossRef]
- Rao, R.; Bencivenni, M.; Mura, L.; Araujo-Burgos, T.; Corrado, G. Molecular characterisation of Vesuvian apricot cultivars: Implications for the certification and authentication of protected plant material. J. Hortic. Sci. Biotechnol. 2010, 85, 42–47. [Google Scholar] [CrossRef]
- Hürkan, K. Distinguishing the Protected Designation of Origin Apricot (Prunus armeniaca L. cv. Şalak) from Closely Related Cultivars by High Resolution Melting. Commagene J. Biol. 2021, 5, 136–142. [Google Scholar] [CrossRef]
- Rezaei, M.; Rahmati, M.; Kavand, A.R.; Hemati, M.; Kazemi, S.R. Screening of some Iranian Commercial Apricot Cultivars by SSR Markers for identification of Synonyms. J. Hortic. Sci. 2022, 35, 493–505. [Google Scholar] [CrossRef]
- Sosinski, B.; Gannavarapu, M.; Hager, L.D.; Beck, L.E.; King, G.; Ryder, C.D.; Rajapakse, S.; Baird, W.V.; Ballard, R.E.; Abbott, A.G. Characterization of microsatellite markers in peach [Prunus persica (L.) Batsch]. Theor. Appl. Genet. 2000, 101, 421–428. [Google Scholar] [CrossRef]
- Testolin, R.; Marrazzo, T.; Cipriani, G.; Quarta, R.; Verde, I.; Dettori, M.T.; Pancaldi, M.; Sansavini, S. Microsatellite DNA in peach (Prunus persica L. Batsch) and its use in fingerprinting and testing the genetic origin of cultivars. Genome 2000, 43, 512–520. [Google Scholar] [CrossRef] [PubMed]
- Peakall, R.; Smouse, P.E. GenAlEx 6.5: Genetic analysis in Excel. Population genetic software for teaching and research—An update. Bioinformatics 2012, 28, 2537–2539. [Google Scholar] [CrossRef]
- Kalinowski, S.T.; Taper, M.L.; Marshall, T.C. Revising how the computer program CERVUS accommodates genotyping error increases success in paternity assignment. Mol. Ecol. 2007, 16, 1099–1106. [Google Scholar] [CrossRef]
- Pritchard, J.K.; Stephens, M.; Donnelly, P. Inference of population structure using multilocus genotype data. Genetics 2000, 155, 945–959. [Google Scholar] [CrossRef] [PubMed]
- Evanno, G.; Regnaut, S.; Goudet, J. Detecting the number of clusters of individuals using the software structure: A simulation study. Mol. Ecol. 2005, 14, 2611–2620. [Google Scholar] [CrossRef] [PubMed]
- Saitou, N.; Nei, M. The neighbor-joining method: A new method for reconstructing phylogenetic trees. Mol. Biol. Evol. 1987, 4, 406–425. [Google Scholar] [CrossRef]
- Felsenstein, J. PHYLIP (Phylogeny Inference Package) Version 3.6; Department of Genome Sciences, University of Washington: Seattle, DC, USA, 2005. [Google Scholar]
- Perrier, X.; Jacquemound-Collet, J.P. DARwin Software (Release 6.0). 2006. Available online: http://darwin.cirad.fr (accessed on 20 June 2024).
- Hammer-Muntz, O.; Harper, D.; Ryan, P. PAST: Paleontological Statistics Software Package for Education and Data Analysis Version 2.09. Palaeontol. Electron. 2001, 4, 1–9. Available online: http://scienceopen.com/document?vid=f7c81409-9131-4ded-a3d6-e1509342d3df (accessed on 13 May 2024).
- Al-Suwaid, I.; STĂNICĂ, F.; Butcaru, A.; Mihai, C.; Ghasheem, N.A. An overview of apricot breeding programs focused on production improvement, field resistance and high-quality fruits. Sci. Pap. Ser. B Hortic. 2022, 66, 19–33. [Google Scholar]
- Lopes, M.S.; Sefc, K.M.; Laimer, M.; Da Câmara Machado, A. Identification of microsatellite loci in apricot. Mol. Ecol. Notes 2002, 2, 24–26. [Google Scholar] [CrossRef]
- Hagen, L.S.; Chaib, J.; Fady, B.; Decroocq, V.; Bouchet, J.P.; Lambert, P.; Audergon, J.M. Genomic and cDNA microsatellites from apricot (Prunus armeniaca L.). Mol. Ecol. Notes 2004, 4, 742–745. [Google Scholar] [CrossRef]
- Messina, R.; Lain, O.; Marrazzo, M.T.; Cipriani, G.; Testolin, R. New set of microsatellite loci isolated in apricot. Mol. Ecol. Notes 2004, 4, 432–434. [Google Scholar] [CrossRef]
- Vilanova, S.; Soriano, J.M.; Lalli, D.A.; Romero, C.; Abbott, A.G.; Llácer, G.; Badenes, M.L. Development of SSR markers located in the G1 linkage group of apricot (Prunus armeniaca L.) using a bacterial artificial chromosome library. Mol. Ecol. Notes 2006, 6, 789–791. [Google Scholar] [CrossRef]
- Lalli, D.A.; Abbott, A.G.; Zhebentyayeva, T.N.; Badenes, M.L.; Damsteegt, V.; Polák, J.; Krška, B.; Salava, J. A genetic linkage map for an apricot (Prunus armeniaca L.) BC1 population mapping plum pox virus resistance. Tree Genet. Genomes 2008, 4, 481–493. [Google Scholar] [CrossRef]
- Pedryc, A.; Ruthner, S.; Hermán, R.; Krska, B.; Hegedűs, A.; Halász, J. Genetic diversity of apricot revealed by a set of SSR markers from linkage group G1. Sci. Hortic. 2009, 121, 19–26. [Google Scholar] [CrossRef]
- Mora, C.M.; Rodríguez, J.; Cenis, J.; García, L.R. Genetic variability among local apricots (Prunus armeniaca L.) from the Southeast of Spain. Span. J. Agric. Res. 2009, 7, 855–868. [Google Scholar] [CrossRef]
- Zhang, Q.; Liu, D.; Liu, S.; Liu, N.; Wei, X.; Zhang, A.; Liu, W. Genetic diversity and relationships of common apricot (Prunus armeniaca L.) in China based on simple sequence repeat (SSR) markers. Genet. Resour. Crop Evol. 2013, 61, 357–368. [Google Scholar] [CrossRef]
- Khadivi-Khub, A.; Yarahmadi, M.; Jannatizadeh, A.; Ebrahimi, A. Genetic relationships and diversity of common apricot (Prunus armeniaca L.) based on simple sequence repeat (SSR) markers. Biochem. Syst. Ecol. 2015, 61, 366–371. [Google Scholar] [CrossRef]
- Wünsch, A. Cross-transferable polymorphic SSR loci in Prunus species. Sci. Hortic. 2008, 120, 348–352. [Google Scholar] [CrossRef]
- Testolin, R.; Messina, R.; Cipriani, G.; De Mori, G. SSR-based DNA fingerprinting of fruit crops. Crop Sci. 2022, 63, 390–459. [Google Scholar] [CrossRef]
- Nei, M. Estimation of average heterozygosity and genetic distance from a small number of individuals. Genetics 1978, 89, 583–590. [Google Scholar] [CrossRef] [PubMed]
- Botstein, D.; White, R.L.; Skolnick, M.; Davis, R.W. Construction of a genetic linkage map in man using restriction fragment length polymorphisms. Am. J. Hum. Genet. 1980, 32, 314–331. Available online: https://pubmed.ncbi.nlm.nih.gov/6247908 (accessed on 25 August 2024). [PubMed]
- Nekvindová, V.; Žďárská, I.; Čmejlová, J. Využití genetických markerů pro ověření odrůdové identity meruněk. Úroda 2020, 12, 85–92. [Google Scholar]
- Romero, C.; Pedryc, A.; Muñoz, V.; Llácer, G.; Badenes, M.L. Genetic diversity of different apricot geographical groups determined by SSR markers. Genome 2003, 46, 244–252. [Google Scholar] [CrossRef] [PubMed]
- Zhebentyayeva, T.; Reighard, G.; Gorina, V.; Abbott, A. Simple sequence repeat (SSR) analysis for assessment of genetic variability in apricot germplasm. Theor. Appl. Genet. 2003, 106, 435–444. [Google Scholar] [CrossRef] [PubMed]
- Dettori, M.T.; Micali, S.; Giovinazzi, J.; Scalabrin, S.; Verde, I.; Cipriani, G. Mining microsatellites in the peach genome: Development of new long-core SSR markers for genetic analyses in five Prunus species. SpringerPlus 2015, 4, 337. [Google Scholar] [CrossRef] [PubMed]
- Savoia, M.A.; Del Faro, L.; Turco, A.; Fanelli, V.; Venerito, P.; Montemurro, C.; Sabetta, W. Biodiversity Evaluation and preservation of Italian stone fruit germplasm (Peach and apricot) in southern Italy. Plants 2023, 12, 1279. [Google Scholar] [CrossRef] [PubMed]





| No. | Cultivar | Pedigree | Country of Breeding | Geographical Origin * | Sampling Location ** (Year) |
|---|---|---|---|---|---|
| 1 | ‘Bergeval®Aviclo’ | ‘Goldrich’ × ‘Bergeron’ | France | WE | GB, Austria (2020) |
| 2 | ‘Koolgat®’ | − | France | WE | GB, Austria (2020) |
| 3 | ‘Tsunami®EA5016’ | − | France | WE | GB, Austria (2020) |
| 4 | ‘Pricia’ | − | France | WE | GB, Austria (2020) |
| 5 | ‘Hungarian Best’ | Hungarian landrace | Hungary | CE | GB, Austria (2020) |
| 6 | ‘Pinkcot®Cotpy’ | − | France | WE | GB, Austria (2020) |
| 7 | ‘Kioto’ | − | France | WE | GB, Austria (2020) |
| 8 | ‘Bergarouge®Avirine’ | ‘Orangered’ × ‘Bergeron’ | France | WE | GB, Austria (2020) |
| 9 | ‘Frisson’ | − | France | WE | GB, Austria (2020) |
| 10 | ‘Klosterneuburger’ | Austrian landrace | Austria | CE | GB, Austria (2020) |
| 11 | ‘Anegat’ | ‘Goldrich’, ‘Orangered’ | France | WE | GB, Austria (2020) |
| 12 | ‘Farbaly®’ | − | France | WE | GB, Austria (2020) |
| 13 | ‘Orangered®Bhart’ | ‘NJA2’ × ‘Lasgerdi Mashhad’ | USA | NA | GB, Slovakia (2019) |
| 14 | ‘Goldrich’ | ‘Sungold’ × ‘Perfection’ | USA | NA | GB, Slovakia (2019) |
| 15 | ‘Bergeron’ | Selection from ‘Bergeron’ clone A 660 (random seedling France 1920) | France | WE | GB, Slovakia (2019) |
| 16 | ‘Madarska’ | ‘Magyar Kajszi’ (‘Hungarian Best’) | Hungary | CE | GB, Slovakia (2019) |
| 17 | ‘Hargrand’ | Hybrid ‘V 51092’ × ‘NJA 1’ | Canada | NA | GB, Slovakia (2019) |
| 18 | ‘Velkopavlovicka’ | Czech landrace | Czechia | CE | GB, Slovakia (2019) |
| 19 | ‘Aurora®’ | ‘RR17-62’ × ‘NJA-13’ | France | WE | GB, Slovakia (2019) |
| 20 | ‘Vestar’ | ‘Madarska’ × pollen mixture of Chinese cultivars | Slovakia | CE | GB, Slovakia (2019) |
| 21 | ‘Vynoslivyj’ | − | Central Asia | CA | GB, Slovakia (2019) |
| 22 | ‘Vesna’ | ‘Madarska’ × pollen mixture of ‘Achrori’, ‘Arzami’, ‘Zard’ | Slovakia | CE | GB, Slovakia (2019) |
| 23 | ‘Veharda’ | ‘Julskij’ × ‘Madarska’ | Slovakia | CE | GB, Slovakia (2019) |
| 24 | ‘Veselka’ | ‘Vesna’ × ‘Vegama’ | Slovakia | CE | GB, Slovakia (2019) |
| 25 | ‘Betinka’ | ‘Vestar’ × ‘Stark Early Orange’ | Czechia | CE | GB, Slovakia (2019) |
| 26 | ‘Veecot’ | − | Canada | NA | GB, Slovakia (2021) |
| 27 | ‘Perle Cot’ | − | USA | NA | GB, Slovakia (2021) |
| 28 | ‘BigRed®’ | − | France | WE | GB, Slovakia (2021) |
| 29 | ‘Kuresia®’ | − | Germany | WE | GB, Slovakia (2021) |
| 30 | ‘Aramis®Shamade’ | − | France | WE | GB, Slovakia (2021) |
| 31 | ‘Fardao’ | − | France | WE | GB, Slovakia (2021) |
| 32 | ‘Spring Blush®EA3126TH’ | − | France | WE | GB, Slovakia (2021) |
| 33 | ‘Sweet Red®Red Sylver’ | A more reddish mutation of ‘Sylred®’ | France | WE | GB, Slovakia (2021) |
| 34 | ‘Arzami’ | − | Central Asia | CA | GB, Slovakia (2023) |
| 35 | ‘Achrori’ | − | Central Asia | CA | GB, Slovakia (2023) |
| 36 | ‘Zard’ | − | Central Asia (Uzbekistan) | CA | GB, Slovakia (2023) |
| 37 | ‘Chuan Zhi Hong’ | − | China | CH | GB, Slovakia (2023) |
| 38 | ‘Velbora’ | ‘Madarska’ × ‘Hindukus’ | Slovakia | CE | GB, Slovakia (2023) |
| 39 | ‘Rakovskeho’ | Slovak landrace | Slovakia | CE | GB, Slovakia (2023) |
| 40 | ‘VS 9/83’ | ‘Madarska’ × pollen mixture of Chinese cultivars | Slovakia | CE | GB, Slovakia (2023) |
| 41 | ‘Sabinovska’ | Slovak landrace | Slovakia | CE | GB, Slovakia (2023) |
| 42 | ‘Vegama’ | Selection from open pollination ‘Madarska’ (probably with pollen of Chinese cultivars) | Slovakia | CE | GB, Slovakia (2023) |
| 43 | ‘Vemina’ | ‘Rakovskeho’ × pollen mixture of ‘Achrori’, ‘Arzami’, ‘Zard’ | Slovakia | CE | GB, Slovakia (2023) |
| 44 | ‘Velita’ | ‘Madarska’ × pollen mixture of ‘Achrori’, ‘Arzami’, ‘Zard’ | Slovakia | CE | GB, Slovakia (2023) |
| 45 | ‘Vesprima’ | ‘Madarska’ × pollen mixture of ‘Achrori’, ‘Arzami’, ‘Zard’ | Slovakia | CE | GB, Slovakia (2023) |
| 46 | ‘Barbora’ | Combination cross of ‘Madarska’ × pollen mixture of ‘Achrori’, ‘Arzami’, ‘Zard’ | Slovakia | CE | GB, Slovakia (2023) |
| 47 | ‘Julskij’ | − | Central Asia | CA | GB, Slovakia (2023) |
| 48 | ‘Perfection’ | Random seedling USA 1937 | USA | NA | GB, Slovakia (2023) |
| 49 | ‘Santunska’ | − | China | CH | GB, Slovakia (2023) |
| 50 | ‘Budapest’ | ‘Nancy’ × (‘Hungarian Best’, ‘Kései Rózsa’, ‘Acme’?) | Hungary | CE | GB, Slovakia (2023) |
| 51 | ‘Stark Early Orange’ | − | USA | NA | GB, Slovakia (2023) |
| 52 | ‘Mai Huang’ | − | China | CH | GB, Slovakia (2023) |
| 53 | ‘Mai Chuan Sin’ | − | China | CH | GB, Slovakia (2023) |
| PCR Conditions | ||||
|---|---|---|---|---|
| Locus | Reference | Repetition | Mg2+ Concentration | Annealing Temperature |
| UDP96-005 | [10] | (AC)nTG(CT)mCA(CT)k | 1.5 mM | 58 °C |
| UDP98-409 | [10] | (AG)n | 1.5 mM | 57 °C |
| Pchcms5 | [19] | (CA)n(TA)m | 2 mM | 57 °C |
| UDP98-412 | [20] | (AG)n | 1.5 mM | 57 °C |
| UDP98-411 | [20] | (TC)n | 1.5 mM | 57 °C |
| Pchgms2 | [19] | (CT)n | 1.5 mM | 57 °C |
| UDP98-406 | [10] | (AG)n | 2.5 mM | 57 °C |
| UDP96-003 | [10] | (CT)n(CA)m | 1.5 mM | 57 °C |
| Pchgms4 | [19] | (CT)n | 2.5 mM | 57 °C |
| UDP96-019 | [10] | (TG)n(AG)m | 2.5 mM | 57 °C |
| UDP97-402 | [10] | (AG)n | 1.5 mM | 58 °C |
| Locus | Na | Size Range (bp) | Ne | Ho | He | PIC | PI | I | F |
|---|---|---|---|---|---|---|---|---|---|
| UDP96-005 | 16 | 80–152 | 6.511 | 0.922 | 0.846 | 0.831 | 0.039 | 2.190 | −0.089 |
| UDP98-409 | 16 | 120–162 | 6.495 | 0.887 | 0.846 | 0.830 | 0.039 | 2.179 | −0.048 |
| Pchcms5 | 16 | 239–281 | 6.173 | 0.960 | 0.838 | 0.825 | 0.039 | 2.227 | −0.146 |
| UDP98-412 | 14 | 76–116 | 6.988 | 1.000 | 0.857 | 0.841 | 0.037 | 2.143 | −0.167 |
| UDP98-411 | 10 | 150–176 | 3.595 | 0.863 | 0.722 | 0.698 | 0.101 | 1.679 | −0.195 |
| Pchgms2 | 10 | 130–170 | 5.466 | 0.956 | 0.817 | 0.798 | 0.052 | 1.949 | −0.170 |
| UDP98−406 | 13 | 80–124 | 5.883 | 0.981 | 0.830 | 0.811 | 0.047 | 2.064 | −0.182 |
| UDP96-003 | 14 | 86–124 | 6.399 | 0.792 | 0.844 | 0.827 | 0.041 | 2.127 | 0.061 |
| Pchgms4 | 10 | 126–178 | 5.765 | 0.981 | 0.827 | 0.806 | 0.051 | 1.944 | −0.187 |
| UDP96-019 | 13 | 153–209 | 2.547 | 0.640 | 0.607 | 0.592 | 0.170 | 1.534 | −0.054 |
| UDP97-402 | 11 | 118–140 | 8.486 | 0.925 | 0.882 | 0.871 | 0.025 | 2.242 | −0.048 |
| Mean | 13 | − | 5.846 | 0.901 | 0.811 | 0.794 | 0.058 | 2.025 | −0.111 |
| SE | 0.739 | − | 0.483 | 0.032 | 0.024 | 0.022 | 0.012 | 0.070 | 0.025 |
Disclaimer/Publisher’s Note: The statements, opinions and data contained in all publications are solely those of the individual author(s) and contributor(s) and not of MDPI and/or the editor(s). MDPI and/or the editor(s) disclaim responsibility for any injury to people or property resulting from any ideas, methods, instructions or products referred to in the content. |
© 2025 by the authors. Licensee MDPI, Basel, Switzerland. This article is an open access article distributed under the terms and conditions of the Creative Commons Attribution (CC BY) license (https://creativecommons.org/licenses/by/4.0/).
Share and Cite
Hudcovicová, M.; Klčová, L.; Gubišová, M.; Gubiš, J.; Zetochová, E.; Horacek, M.; Kraic, J.; Havrlentová, M.; Ondreičková, K. Genetic Diversity in Apricot Orchards Across Key Growing Regions in Slovakia and Austria, Along with Cultivar Authentication of Apricot Genotypes Found in the Market. Appl. Sci. 2025, 15, 2444. https://doi.org/10.3390/app15052444
Hudcovicová M, Klčová L, Gubišová M, Gubiš J, Zetochová E, Horacek M, Kraic J, Havrlentová M, Ondreičková K. Genetic Diversity in Apricot Orchards Across Key Growing Regions in Slovakia and Austria, Along with Cultivar Authentication of Apricot Genotypes Found in the Market. Applied Sciences. 2025; 15(5):2444. https://doi.org/10.3390/app15052444
Chicago/Turabian StyleHudcovicová, Martina, Lenka Klčová, Marcela Gubišová, Jozef Gubiš, Erika Zetochová, Micha Horacek, Ján Kraic, Michaela Havrlentová, and Katarína Ondreičková. 2025. "Genetic Diversity in Apricot Orchards Across Key Growing Regions in Slovakia and Austria, Along with Cultivar Authentication of Apricot Genotypes Found in the Market" Applied Sciences 15, no. 5: 2444. https://doi.org/10.3390/app15052444
APA StyleHudcovicová, M., Klčová, L., Gubišová, M., Gubiš, J., Zetochová, E., Horacek, M., Kraic, J., Havrlentová, M., & Ondreičková, K. (2025). Genetic Diversity in Apricot Orchards Across Key Growing Regions in Slovakia and Austria, Along with Cultivar Authentication of Apricot Genotypes Found in the Market. Applied Sciences, 15(5), 2444. https://doi.org/10.3390/app15052444

