Research on the Fine Control of the Influence of Pipe-Jacking Parameter Deviation on Surrounding Stratum Deformation
Abstract
1. Introduction
2. Project Overview
3. Analysis of Monitoring Results
3.1. Monitoring Point Layout
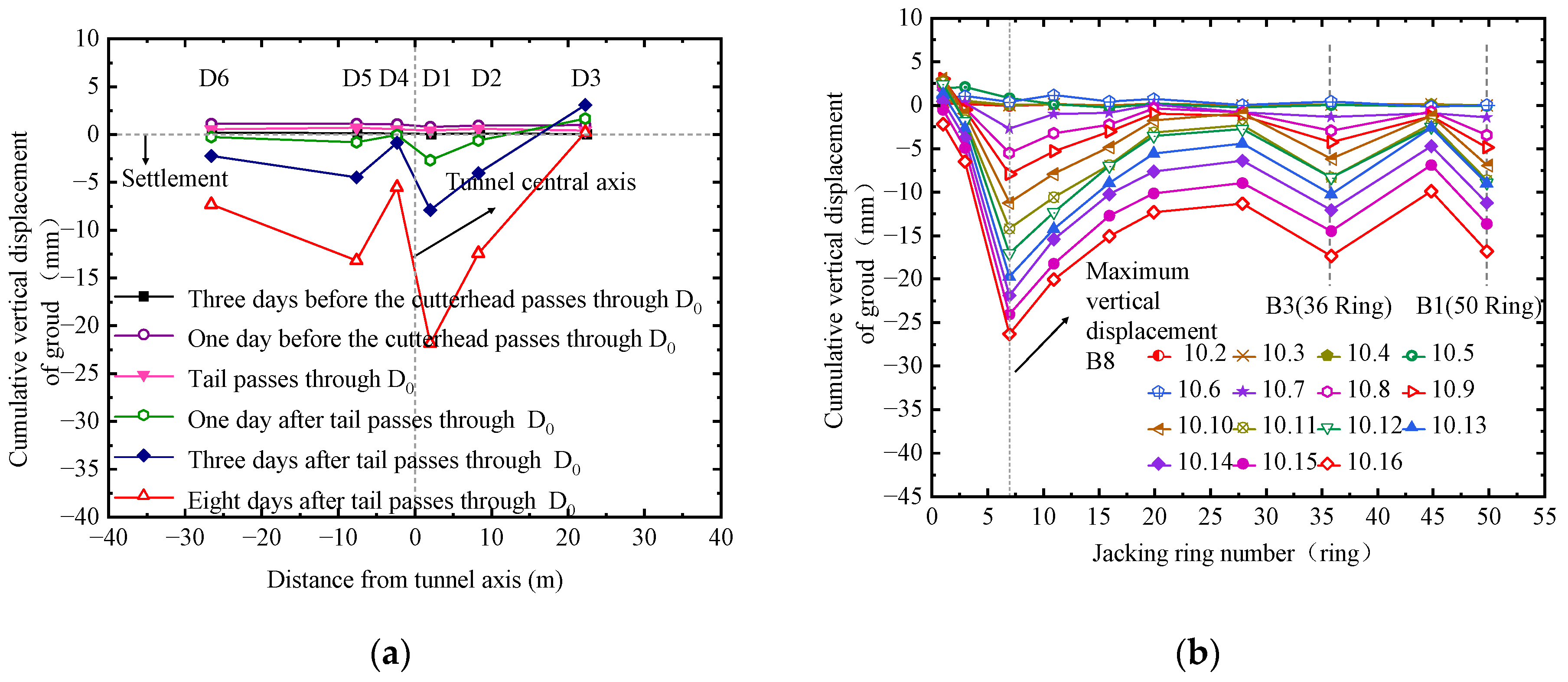
3.2. Analysis of the Measured Settlement Results
3.3. Jacking Parameter Analysis
4. Numerical Simulation Study
4.1. Numerical Modelling
4.2. Verification of the Simulation Results
5. Analysis of the Influence of Jacking Parameters on Land Subsidence
5.1. Analysis of the Formation Response After Jacking Speed Deviation
5.2. Analysis of the Formation Response After Pressure Deviation of the Tunnel Face
5.3. Analysis of the Formation Response After Friction Resistance Deviation
6. Prediction of the Ground Settlement of Pipe Jacking
6.1. Peck Theoretical Formula Regression Analysis
6.2. Peck Empirical Formula Correction
6.3. Statistical Analysis of the Peck Correction Coefficient
7. Conclusions
- (1)
- Under the maximum positive deviation and negative deviation of the jacking speed, after the tail passes through the monitoring section D0 16 ring, the settlement’s extreme value at B8 increases by 21.6% and decreases by 12.8%, respectively. Increasing the jacking speed decreases the arch foot at the tail of the pipe jacking machine, increases the area with R < 0 at monitoring section D0, and limits the influence of increasing the jacking speed on surface settlement control. When the pressure deviation of the tunnel face is small, only slight changes are observed when the tail passes through monitoring section D0; the changes are less than 1%, the stress change ratio is essentially the same as the positive and negative boundaries of R, and the effective stress does not change significantly. These two jacking parameters are negatively correlated with surface subsidence.
- (2)
- Under the maximum positive deviation and negative deviation of the friction coefficient, after the tail passes through the monitoring section D0 16 ring, the settlement’s extreme value at B8 decreases by 4.9% and increases by 16.5%, respectively. The area with R < 0 at monitoring section D0 decreases with an increasing friction coefficient, resulting in an increase in the surface settlement value. After the jacking distance increases to a certain extent, the maximum surface settlement value is positively correlated with the friction coefficient of the slurry.
- (3)
- Among the jacking parameters, the jacking speed has the strongest effect on surface subsidence, the pipe slurry friction coefficient has the second-strongest effect, and the tunnel face pressure has the weakest effect. When the tail of the machine passes through a section with strict surface deformation, the pressure of the tunnel face can be appropriately increased; after passing, the lower limit of the pushing speed should be strictly controlled.
- (4)
- The confidence intervals of α and β are 0.6~3.0 and 1.6~4.0, respectively. When the values of and are in this range, the Peck-modified prediction curve is more suitable for the actual situation, and the prediction results are more reliable. The curve is also applicable to the prediction of surface subsidence in the other three intervals relevant to the project.
Author Contributions
Funding
Institutional Review Board Statement
Informed Consent Statement
Data Availability Statement
Acknowledgments
Conflicts of Interest
References
- Zhou, H.; Ma, B.S.; Zhao, Y.S.; Zhang, P. Study on Influence of Large Cross-Section Rectangular Pipe Jacking Construction on Vertical Deformation of Strata under Multiple Factors. Tunn. Constr. 2020, 40, 1324–1332. (In Chinese) [Google Scholar]
- Wang, X.R.; Zhou, F.; Zhang, Z.; Guo, J. Dynamic Deformation of the Oversized Cross-Section Rectangular Pipe-Jacking Tunnel. Earth Sci. 2016, 41, 1959–1965. (In Chinese) [Google Scholar]
- Niu, Z.; Cheng, Y.; Zhang, Y.; Song, Z.; Yang, G.; Li, H. A New Method for Predicting Ground Settlement Induced by Pipe Jacking Construction. Math. Probl. Eng. 2020, 2020, 1681347. [Google Scholar] [CrossRef]
- Ren, D.-J.; Xu, Y.-S.; Shen, J.S.; Zhou, A.; Arulrajah, A. Prediction of Ground Deformation during Pipe-Jacking Considering Multiple Factors. Appl. Sci. Switz. 2018, 8, 1051. [Google Scholar] [CrossRef]
- Wang, Y.; Zhang, D.; Fang, Q.; Liu, X.; Wang, J. Analytical Solution on Ground Deformation Caused by Parallel Construction of Rectangular Pipe Jacking. Appl. Sci. 2022, 12, 3298. [Google Scholar] [CrossRef]
- Yen, J.; Shou, K. Numerical Simulation for the Estimation the Jacking Force of Pipe Jacking. Tunn. Undergr. Space Technol. 2015, 49, 218–229. [Google Scholar] [CrossRef]
- Xiao, Z.-Q.; Lin, J.; Tang, D.-S.; Xu, C.-Y. Estimations of the Jacking Forces of Large-Sized Rectangular Jacking Pipes Based on a Displacement Control Method. Adv. Civ. Eng. 2021, 2021, 8790899. [Google Scholar] [CrossRef]
- Li, C.; Zhong, Z.; Liu, X.; Tu, Y.; He, G. Numerical Simulation for an Estimation of the Jacking Force of Ultra-Long-Distance Pipe Jacking with Frictional Property Testing at the Rock Mass-Pipe Interface. Tunn. Undergr. Space Technol. 2019, 89, 205–221. [Google Scholar] [CrossRef]
- Kong, C.; Guan, G.; Gu, S.; Zhou, Z.; Wang, H. Frictional Resistance Calculation and Jacking Force Prediction of Rectangular Pipe Jacking. Sci. Rep. 2023, 13, 14992. [Google Scholar] [CrossRef]
- Wen, K.; Zeng, W.; Shimada, H.; Sasaoka, T.; Hamanaka, A. Numerical and Theoretical Study on the Jacking Force Prediction of Slurry Pipe Jacking Traversing Frozen Ground. Tunn. Undergr. Space Technol. 2021, 115, 104076. [Google Scholar] [CrossRef]
- Ye, Y.; Peng, L.; Zhou, Y.; Yang, W.; Shi, C.; Lin, Y. Prediction of Friction Resistance for Slurry Pipe Jacking. Appl. Sci. 2019, 10, 207. [Google Scholar] [CrossRef]
- Ma, P.; Shimada, H.; Sasaoka, T.; Hamanaka, A.; Moses, D.N.; Dintwe, T.K.M.; Matsumoto, F.; Ma, B.; Huang, S. A New Method for Predicting the Friction Resistance in Rectangular Pipe-Jacking. Tunn. Undergr. Space Technol. 2022, 123, 104338. [Google Scholar] [CrossRef]
- Namli, M.; Guler, E. Effect of Bentonite Slurry Pressure on Interface Friction of Pipe Jacking. J. Pipeline Syst. Eng. Pract. 2017, 8, 04016016. [Google Scholar] [CrossRef]
- Zhou, S.; Wang, Y.; Huang, X. Experimental Study on the Effect of Injecting Slurry inside a Jacking Pipe Tunnel in Silt Stratum. Tunn. Undergr. Space Technol. 2009, 24, 466–471. [Google Scholar] [CrossRef]
- Zhong, Z.L.; Diao, X.J.; Liu, X.R. Method for Calculating Frictional Resistance of Long-Distance Pipe Jacking in Deeply Buried Rock Strata. Chin. J. Geotech. Eng. 2022, 44, 2063–2070. (In Chinese) [Google Scholar]
- Ye, Y.; Peng, L.; Yang, W.; Zou, Y.; Cao, C. Calculation of Friction Force for Slurry Pipe Jacking Considering Soil-Slurry-Pipe Interaction. Adv. Civil Eng. 2020, 2020, 6594306. [Google Scholar] [CrossRef]
- Wang, Y.; Du, S.J.; Wang, Z.Z.; Li, Y.; Li, X.J. Analysis on Jacking Parameters of Large Cross-Sectional Long-Distance Rectangular Pipe Jacking. Eng. J. Wuhan Univ. 2023, 56, 826–834. [Google Scholar] [CrossRef]
- Pan, W.Q. Monitoring and Analysis of Ground Settlement During Pipe Roof Construction of Pipe-Jacking Groups in Soft Soil Areas. Chin. J. Geotech. Eng. 2019, 41, 201–204. [Google Scholar]
- Xu, H.; Ye, F.; Liu, Q.; Tian, L.M.; An, X. Study on Stratum Deformation Caused by Large-Section Rectangular Pipe Jacking and Jacking Parameter. Control. Mod. Tunn. Technol. 2022, 59, 97–105. [Google Scholar] [CrossRef]
- Wang, Z.J.; Yan, J.J.; Qin, L.; Wu, Y.L.; Liu, W. Numerical Simulation Study on Ground Deformation induced by Box tunnelling. Sci. Technol. Eng. 2022, 22, 15349–15357. (In Chinese) [Google Scholar]
- Lambrughi, A.; Medina Rodriguez, L.; Castellanza, R. Development and Validation of a 3D Numerical Model for TBM-EPB Mechanised Excavations. Comput. Geotech. 2012, 40, 97–113. [Google Scholar] [CrossRef]
- Chapman, D.N.; Ahn, S.K.; Hunt, D.V. Investigating Ground Movements Caused by the Construction of Multiple Tunnels in Soft Ground Using Laboratory Model Tests. Can. Geotech. J. 2007, 44, 631–643. [Google Scholar] [CrossRef]
- Gan, S.Q.; Peng, L.M.; Lei, M.F.; Zhu, L.C.; Tang, Z.H. Study on Calculation Method of Friction Resistance of Shallow Rectangular Pipe Jacking Tunnel with Large Section Considering Pipe-Soil/Mud Contact State. J. Cent. South Univ. 2023, 54, 1178–1186. (In Chinese) [Google Scholar]
- Li, T.L.; Zhao, W.; Han, J.Y.; Li, S.G.; Lu, B.; Zhang, L.; Shen, Z.P. Experimental Study on Shear Mechanical Properties of Interface Between Mud Screen of Jacking Pipe and Concrete. J. Basic Sci. Eng. 2022, 30, 396–406. (In Chinese) [Google Scholar] [CrossRef]
- Yu, J.; Li, Y.H. Effect of Physical Properties of Mud Screen of Pipe-Jacking on Jacking Forces. China Civil Eng. J. 2015, 48, 327–331. (In Chinese) [Google Scholar]
- Lee, C.J.; Wu, B.R.; Chen, H.T.; Chiang, K.H. Tunnel Stability and Arching Effects during Tunneling in Soft Clayey Soil. Tunn. Undergr. Space Technol. 2006, 21, 119–132. [Google Scholar] [CrossRef]
- Wei, G.; Xu, R.Q.; Tu, W. Testing Study and Analysis on Soil Disturbance Induced by Pipe Jacking Construction. Chin. J. Rock Mech. Eng. 2004, 2004, 476–482. (In Chinese) [Google Scholar]
- Peck, R.B. Deep Excavations and Tunnelling in Soft Ground. In Proceedings of the 7th International Conference on Soil Mechanics and Foundation Engineering, Mexico City, State of the Art Volume, Mexico City, Mexico, August 1969; pp. 225–290. [Google Scholar]
- O’Reilly, M.P.; New, B.M. 831153 Settlement above Tunnels in the United Kingdom—Their Magnitude and Prediction: In: Tunnelling 82, Proceedings of the 3rd International Symposium, Brighton, 7–11 June 1982, P173–181. Publ London: IMM, 1982. Int. J. Rock Mech. Min. Sci. Geomech. Abstr. 1983, 20, A18. [Google Scholar] [CrossRef]
- Han, X.; Li, N.; Standing, J.R. An Adaptability Study of Gaussian Equation Applied to Predicting Ground Settlements Induced by Tunnelling in China. Rock. Soil. Mech. 2007, 35, 23–28. (In Chinese) [Google Scholar] [CrossRef]


















| Soil | |||||||||
|---|---|---|---|---|---|---|---|---|---|
| Miscellaneous fill | 1.5 | 19.2 | 5.51 × 10–2 | 0.843 | 0.35 | 32.3 | 0.574 | 0.0724 | 0.0091 |
| Silty clay | 1.5 | 19.3 | 4.10 × 10–4 | 0.855 | 0.32 | 29.5 | 1.178 | 0.1177 | 0.0100 |
| Clayey silt | 5.0 | 19.0 | 1.52 × 10−2 | 0.907 | 0.31 | 30.3 | 1.213 | 0.1005 | 0.0090 |
| Silt | 4.0 | 19.3 | 1.09 × 10−1 | 0.830 | 0.28 | 30.8 | 1.234 | 0.0395 | 0.0049 |
| Muddy-silty clay | 7.0 | 17.8 | 2.11 × 10−4 | 1.222 | 0.34 | 25.8 | 1.018 | 0.1356 | 0.0130 |
| Clay | 9.0 | 17.9 | 1.48 × 10−4 | 1.197 | 0.35 | 23.1 | 0.903 | 0.1081 | 0.0090 |
| Silt | 2.0 | 19.1 | 1.06 × 10−1 | 0.866 | 0.28 | 29.8 | 1.191 | 0.0290 | 0.0030 |
| Parameter | Jacking Speed | Tunnel Face Pressure | Coefficient of Friction |
|---|---|---|---|
| Average value | 5 | 105 | 0.03 |
| Value range | [2,10] | [100,140] | [0.01,0.09] |
| Deviation area | [−60%,100%] | [−4.8%,33.3%] | [−66.7%,200%] |
Disclaimer/Publisher’s Note: The statements, opinions and data contained in all publications are solely those of the individual author(s) and contributor(s) and not of MDPI and/or the editor(s). MDPI and/or the editor(s) disclaim responsibility for any injury to people or property resulting from any ideas, methods, instructions or products referred to in the content. |
© 2025 by the authors. Licensee MDPI, Basel, Switzerland. This article is an open access article distributed under the terms and conditions of the Creative Commons Attribution (CC BY) license (https://creativecommons.org/licenses/by/4.0/).
Share and Cite
Zhang, T.; Chen, G.; Lu, P.; Nie, D. Research on the Fine Control of the Influence of Pipe-Jacking Parameter Deviation on Surrounding Stratum Deformation. Appl. Sci. 2025, 15, 2208. https://doi.org/10.3390/app15042208
Zhang T, Chen G, Lu P, Nie D. Research on the Fine Control of the Influence of Pipe-Jacking Parameter Deviation on Surrounding Stratum Deformation. Applied Sciences. 2025; 15(4):2208. https://doi.org/10.3390/app15042208
Chicago/Turabian StyleZhang, Tianlong, Guoqing Chen, Ping Lu, and Dongqing Nie. 2025. "Research on the Fine Control of the Influence of Pipe-Jacking Parameter Deviation on Surrounding Stratum Deformation" Applied Sciences 15, no. 4: 2208. https://doi.org/10.3390/app15042208
APA StyleZhang, T., Chen, G., Lu, P., & Nie, D. (2025). Research on the Fine Control of the Influence of Pipe-Jacking Parameter Deviation on Surrounding Stratum Deformation. Applied Sciences, 15(4), 2208. https://doi.org/10.3390/app15042208

