Next Article in Journal
Carbon Emission from Land Use in Yanshan-Taihang Mountain Area of Hebei Province: Study on Spatial and Temporal Differentiation of Risk
Next Article in Special Issue
Measurement Uncertainty and Compliance Evaluation Applied to Natural Gas Moisture
Previous Article in Journal
Assessing the Economic Performance and Environmental Impact of Farming Systems Based on Different Organic Conservation Practices in Processing Tomato Cultivation
Previous Article in Special Issue
Uncertainty Quantification in Shear Wave Velocity Predictions: Integrating Explainable Machine Learning and Bayesian Inference
 
 
Font Type:
Arial Georgia Verdana
Font Size:
Aa Aa Aa
Line Spacing:
Column Width:
Background:
Article

Prediction of Wind Turbine Blade Stiffness Degradation Based on Improved Neural Basis Expansion Analysis

School of Mechanical Engineering, Xinjiang University, Urumqi 830046, China
*
Author to whom correspondence should be addressed.
Appl. Sci. 2025, 15(4), 1884; https://doi.org/10.3390/app15041884
Submission received: 19 January 2025 / Revised: 8 February 2025 / Accepted: 10 February 2025 / Published: 12 February 2025
(This article belongs to the Special Issue Uncertainty and Reliability Analysis for Engineering Systems)

Abstract

To reduce the significant time and cost associated with wind turbine blade fatigue testing, the applicability of the deep learning model Neural Basis Expansion Analysis (N-BEATS) for modeling the stiffness degradation of wind turbine blades was investigated. First, on the basis of a traditional blade stiffness degradation model, the stiffness data were expanded to meet the data volume requirements of N-BEATS. Second, the basic block structure of N-BEATS was improved (by treating the sequence-to-sequence prediction problem as a nonlinear multivariate regression problem) to meet the specific prediction requirements of this task, and the Pinball Mean Absolute Percentage Error (Pinball-MAPE) loss function was adopted to further reduce bias during the prediction process. Additionally, two data augmentation methods—time series combination and random noise injection—were applied to mitigate the risk of model overfitting and improve prediction accuracy. Experimental results demonstrated that the model can effectively learn underlying patterns in the stiffness data and successfully predict the remaining stiffness.

1. Introduction

Wind energy, as a sustainable power source, has become a key component of energy systems worldwide [1]. To improve the efficiency of wind energy utilization, the size of wind turbine blades has been continuously increasing, and the complexity of their material properties and structural design has also advanced. Enhancing blade performance to withstand extreme loads and extending the fatigue life are key challenges in current wind turbine blade design. Owing to the complexity of blade fatigue performance, the accurate prediction of fatigue life through theoretical calculations alone is difficult, and engineering insights or expertise from other fields frequently lack direct applicability to blade fatigue prediction. Therefore, full-scale fatigue testing is commonly used in engineering to validate whether wind turbine blades can meet the service life requirement of 20 years [2].
To accurately predict the fatigue life, it is essential to establish a reliable model for fatigue damage evolution. In this context, residual strength and stiffness are key parameters for assessing the damage state of composite materials, both of which gradually degrade with the accumulation of fatigue cycles. For engineering components with complex geometry and a large size, residual stiffness can be assessed without the need for destructive testing. Therefore, stiffness is more suitable for evaluating the fatigue damage of the blades [3,4]. If the residual stiffness of the blades can be predicted via early data during fatigue tests, the cost associated with blade evaluation could be significantly reduced.

1.1. Related Work

The fatigue testing process of wind turbine blades generates a large amount of data. These data contain rich patterns and characteristics, requiring effective analytical methods to unlock its potential value. Data-driven approaches can extract features from input data without relying on extensive prior knowledge, thus enabling predictions of Remaining Useful Life (RUL) [5]. Data-driven modeling methods can be categorized into statistical data-driven methods and machine learning methods [6]. Compared to statistical data-driven methods, machine learning methods can effectively extract deep features from monitoring data to achieve life prediction, avoiding the large errors caused by selecting inappropriate models. Furthermore, they do not significantly increase the training difficulty as the data dimension increases, making machine learning a widely explored and applied approach in the life prediction and health management fields in recent years. By training models with historical data, machine learning methods can be used for damage identification, reliability analysis, and prediction [7,8]. Among these, neural networks (NNs) have been extensively explored in the prediction. They possess many appealing characteristics, including the ability to model nonlinear relationships, perform large-scale parallelism, and approximate functions universally. Tao et al. [9] used an unsupervised learning network based on Neural Ordinary Differential Equations (Neural ODE) and Variational Autoencoders (VAE) to predict the fatigue residual stiffness of fiber-reinforced polymer composites, demonstrating that artificial neural networks outperform traditional mechanical and phenomenological models. Jiang [10] proposed a method for predicting residual stiffness on the basis of latent variable interpolation using latent Ordinary Differential Equation (ODE) neural networks and partial data retraining. Yin proposed a BP neural network optimized by the Chimp Optimization Algorithm (ChOA), significantly improving the accuracy of wind turbine tower vibration prediction [11]. Due to these advantages, neural networks have been widely applied in industrial fields, particularly in predictive maintenance strategies for composite structures. In the wind energy sector, the accurate fatigue prediction of fiber-reinforced polymer composites plays a crucial role in optimizing wind turbine blade maintenance schedules and extending service life. Additionally, neural networks have been employed for the real-time structural health monitoring of composite components, enabling condition-based maintenance and reducing operational costs. The ability of neural networks to effectively learn underlying degradation patterns makes them a key tool for enhancing the structural reliability and efficiency of composite-based applications across various industrial sectors.
Over the past few years, deep learning (DL) has proven effective in solving intricate prediction challenges. DL overcomes the inherent limitations of traditional neural networks and can better capture nonlinear features, enhancing RUL prediction accuracy. Modern DL models consist of various combinations of fundamental structures, including Recurrent Neural Network (RNN) and Convolutional Neural Network (CNN). Although RNN can capture dependencies in time series, they often face the problem of vanishing or exploding gradients while dealing with extended sequences, limiting their effectiveness in predicting distant states. To address this issue, the Long Short-Term Memory network (LSTM) was proposed [12]. LSTM has demonstrated superior performance compared to statistical and machine learning approaches, including AutoRegressive Integrated Moving Average (ARIMA), Support Vector Machine (SVM), and conventional neural networks [13]. CNN, which was originally developed for image processing, has recently been applied to time series analysis. The ability of these methods to automatically extract local features has made them highly effective in extracting fatigue damage features, especially when combined with LSTM for long-term dependency modeling. Liu [14] combined CNN and LSTM, using initial fatigue residual stiffness as input parameters, to construct a neural network model that learns characteristics directly from raw stiffness data, enabling subsequent predictions of residual stiffness.
Besides LSTM-based architecture, the subsequent DL models also show potential for time series forecasting. For instance, the Temporal Convolutional Network (TCN), proposed in 2018, can extract information from historical data relevant to the prediction moment and avoid the problems of vanishing and exploding gradients. It is more efficient and more effective at learning long-term dependencies when performing time series predictions [15]. Zha [16] proposed a RUL prediction model based on feature extraction methods and an improved TCN, which achieved a better prediction performance than other mainstream models did. Furthermore, the Encoder–Decoder Attention Mechanism [17] and Transformer [18] provide alternatives to LSTM. The attention mechanism enables the model to concentrate on the most relevant sections of the sequence when making predictions. Owing to their impressive prediction accuracy, transformer models have significantly outperformed expectations across many tasks. One of the key advantages of deep learning in industrial applications is its ability to process vast amounts of heterogeneous data, including real-time sensor measurements, vibration signals, acoustic emissions, and thermal imaging data, while maintaining higher accuracy and adaptability. For instance, in the wind energy sector, deep learning-based predictive maintenance systems leverage multi-source sensor data to detect early-stage damage in wind turbine blades, enabling condition-based maintenance and reducing unplanned downtime [19]. When dealing with small-scale univariate data, these models share common issues: first, the complexity of the model structures often leads to inefficient use of computational resources on small datasets, and limited data size increases the risk of overfitting. Additionally, the computational complexity of models such as the transformer increases quadratically with input size, making them computationally expensive and less advantageous for small datasets.
To address these issues, this study adopts the N-BEATS model. N-BEATS not only demonstrates excellent performance on large-scale time series datasets but also has a simple and efficient architecture that is suited for small-scale univariate data. First, N-BEATS, through forward and backward residual connections, enables cross-learning across multiple time series, which allows it to extract shared features across sequences while capturing the unique patterns of each sequence [20]. This characteristic is particularly crucial in this study’s stiffness prediction task under five different loading conditions, helping to better identify the commonalities and specificities of each dataset. Additionally, N-BEATS exhibits high flexibility when dealing with univariate data, providing accurate and efficient prediction results with minimal computational overhead, significantly enhancing the model’s applicability in this study.

1.2. Motivation and Contributions

This paper focuses on the prediction of stiffness degradation in wind turbine blade fatigue testing. Many existing studies are based on physical models, but such methods have limitations when dealing with nonlinear features or complex multidimensional data and rarely explore the great potential of DL in this field. This study clearly demonstrates the superior performance of DL in predicting the fatigue life of blades. Advanced nonlinear modeling based on N-BEATS architecture outperforms established models like LSTM and TCN in prediction accuracy. However, the dataset used in this paper is much smaller, which may hinder the application of deep neural networks. Therefore, the fundamental block structure of N-BEATS was improved to enable more flexible handling of datasets of varying scales. This paper clearly demonstrates that the improved N-BEATS model can be effectively applied to such small-scale prediction tasks and exhibits superior performance. Additionally, this study uses two methods—time series combination and random noise injection—to augment the dataset, aiming to mitigate the overfitting problem and further improve the model’s generalizability and prediction accuracy. Finally, most existing prediction algorithms focus primarily on improving accuracy while neglecting bias, which plays a critical role in fatigue prediction. This paper adopts a simple and effective mechanism: the Pinball-MAPE loss function is used to control prediction bias, and its effectiveness is demonstrated. Figure 1 shows the proposed framework for blade stiffness degradation prediction.

2. Methods

2.1. Improved N-BEATS Architecture

The N-BEATS architecture in this paper differs from the existing architecture. Its fundamental block employs a fully connected nonlinear regressor (Figure 2a), using nonlinear multivariate regression to predict the next step’s solution [21]. Moreover, N-BEATS uses the principle of residual stacking to stack multiple layers together (Figure 2b), and its superiority has been fully demonstrated through extensive experimentation. By leveraging this principle, the model can effectively stack layers according to different tasks, thus fully learning the underlying patterns of the time series and showing excellent performance in subsequent predictions. At this stage, the basic module predicts future outputs while backtracking the input sequence to decompose its contribution to future predictions. The sum of the contributions from multiple basic blocks forms the output of the corresponding stack (Figure 2c). Conceptually, each fully connected layer can be regarded as a multivariate linear regression block, followed by a Rectified Linear Unit (ReLU) nonlinear layer. Therefore, improving the structure of the N-BEATS basic block can be viewed as a repeated multivariate regression with nonlinearity.
Mathematically, each block of the improved N-BEATS comprises a sequence of fully connected layers, ending with a forecast/backcast split. This architecture performs residual recursion within each stack and sums the outputs of all stacks to make the final prediction. Assuming that the model has M stacks and R residual blocks, with each residual block containing L hidden layers, the architecture takes x R w as the input. The model predicts a window of length H and backcasts over a window of length ω, using superscripts (r, l) for the residual blocks and layers, and denotes the Fully Connected Layers (FC) with weights W r , l and b r , l as follows:
FC r , l h r , l 1 Re Lu W r , l h r , l 1 + b r , l
Assume that x ^ 0 0 , x 0 x , where the projection matrix has dimensions B r R ω × d h , F r R H × d h , The operations for improving the N-BEATS model can be described as follows:
x r = ReLu x r 1 x ^ r 1 h r , 1 = FC r , 1 x r , , h r , L = FC r , L h r , L 1 x ^ r = B r h r , L , y ^ r = F r h r , L
In the formula, x r represents the input of the rth block and x ^ r represents the approximate backcast output of the rth block. y ^ r represents the forecast output of the rth block. B r and F r represent the backcast matrix and forecast matrix, respectively. h r , L represents the output of the Lth layer in the rth block. d h represents the dimension of the hidden layer.
The first residual block serves as the initial input of the model. For the other block, the backward residual branch can be considered as a continuous analysis of the input signal, where the preceding block removes the signal components that it can approximate well x ^ , thereby making the prediction task for downstream blocks easier. This structure also facilitates smoother gradient backpropagation. More importantly, the partial predictions output by each block are first aggregated at the stack level and then at the entire network level, providing a hierarchical decomposition. The final prediction is the sum of all partial predictions. The model’s hierarchical aggregation can be formulated as follows:
y m = r = 1 R y ^ r y = m = 1 M y m
In the formula, y m represents the output of the mth stack, and y represents the total output of the model.

2.2. Pinball-MAPE Loss Function

Most existing prediction algorithms focus primarily on improving prediction accuracy while neglecting bias, which plays a crucial role in fatigue prediction. In this study, the MAPE [22] is used as the primary accuracy metric. Using it as a loss function ensures maximum consistency between the training process and performance evaluation. However, the bias generated during the prediction process cannot be determined by the MAPE. Smyl [23] suggested that using lower τ can help avoid overprediction by the model during training. To minimize bias as much as possible during prediction, this paper adopts Pinball-MAPE as the loss function:
Pinball-MAPE y , y ^ = 1 N i = 1 N 200 τ y i y ^ i / y i if y i y ^ i 200 1 τ y ^ i y i / y i otherwise
In the formula, N represents the number of samples, y i denotes the true value, and y ^ i represents the predicted value. The parameter τ in Pinball-MAPE can be tuned on the validation set to offset bias introduced during training.

2.3. Experimental Setup

2.3.1. Data Preprocessing

The full-scale fatigue test of blades is essentially an accelerated fatigue test based on the principle of damage equivalence. The goal is to replicate the fatigue damage equivalently and complete the fatigue performance assessment within a testing period that is acceptable in engineering practice [3,24]. During the full-scale fatigue test, if the stiffness variation in the blade is less than 10% and no significant damage, cracks, or local instability are observed, the blade is considered to meet design requirements. For simplicity, the blade is treated as a cantilever beam with isotropic material properties under constant load, and its stiffness can be expressed as:
E = F L
In this formula, E represents the static stiffness of the blade, F is the concentrated calibration load applied to the blade, and L denotes the measured displacement at the critical section. During testing, the ambient temperature and humidity can influence the variation in blade stiffness. If temperature and humidity are taken into account, it is necessary to train stiffness along with these factors simultaneously. According to Bai’s study [25], the changes in processed stiffness can reflect the impacts of temperature and humidity. Thus, stiffness alone is adequate for assessing the fatigue condition of blades. This method simplifies network training and facilitates increasing its depth to enhance performance [14]. In previous work by Kou [3], experimental data at the critical point (32 m) of a 52.5 m glass fiber-reinforced plastic (GFRP) wind turbine blade were obtained. Table 1 lists the specific parameters of the blade. In this paper, this critical point is chosen as an example for stiffness prediction, predicting blade stiffness under different fatigue life ratios. Table 2 presents the measured normalized stiffness under different calibration loads and fatigue life cycle ratios.
To better train the model for residual stiffness degradation prediction, this study adopts Liu’s stiffness degradation model [26] to expand the dataset. According to Liu’s model, the blade damage can be described as
D n = E 0 E n E 0 E f = 1 sin 1 n N b a π 2
In this formula, E0 is the initial Young’s modulus, Ef is the failure Young’s modulus, E(n) represents the Young’s modulus after the nth cycle, n is the corresponding number of cycles, and N is the fatigue life of the blade. Parameters a and b are material constants fitted from experimental data. Through Equation (6), the stiffness data in Table 2 can be converted into damage data while simultaneously fitting the parameters a and b. Table 3 lists the fitted parameters a and b, as well as Ef under five loading levels.
Based on Liu’s model, the model for stiffness at various load levels is formulated as follows:
E ( n ) = E f 1 sin 1 n N b a π 2 + sin 1 n N b a π 2
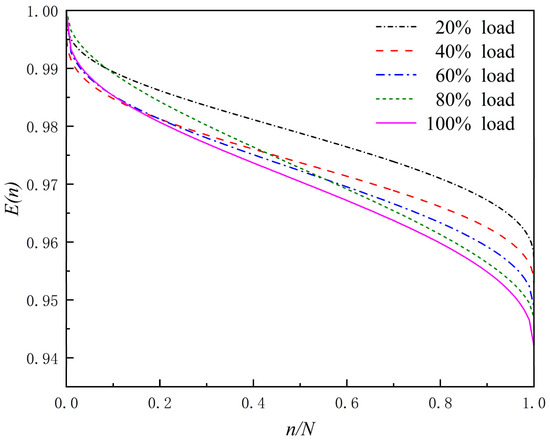
Figure 3 and Figure 4 illustrate the blade damage curves and stiffness degradation curves, respectively, under different load conditions.
Owing to the limited stiffness data obtained from experiments, DL methods typically need a substantial amount of samples to ensure the generalizability of the model. Therefore, stiffness degradation curve data serve as testing datasets to validate the effectiveness of this prediction approach. As observed in Figure 3, certain data points (the second green data point) exhibit localized deviations from the overall trend. These deviations primarily originate from experimental uncertainties in the original dataset, such as sensor accuracy, material property variations, and environmental influences. These uncertainties propagate through the stiffness degradation model parameter fitting and the damage data conversion process, gradually accumulating during numerical optimization, which ultimately results in localized data point shifts. However, from an overall perspective, the damage evolution and stiffness degradation curves under different loading levels exhibit expected trends, which are largely consistent with the findings of previous studies. Therefore, despite the presence of localized measurement errors in individual data points, they do not affect the overall degradation trend or compromise the conclusions of this study. The purpose of selecting Liu’s model is to fit the experimental data, generating additional data points to expand the dataset. On the basis of the experimental results, five original datasets—E20%(n), E40%(n), E60%(n), E80%(n), and E100%(n)—were constructed.

2.3.2. Data Augmentation

Although DL models rely on large datasets to capture complex patterns, they may tend to memorize the training data when the data diversity is insufficient, leading to overfitting. The initial data in this study are derived from regularized stiffness degradation curves, which exhibit a relatively smooth degradation trend. Therefore, this paper proposes two data augmentation methods to meet the model’s need for a sufficient amount of training data and to enhance the model’s generalizability.
Time series combination: In addition to being easy to implement and computationally efficient, this technique generates new samples that maintain some similarity with existing samples while introducing a degree of variability, thus enhancing the overall generalization capability of predictive models. In this study, the stiffness degradation data under five different load conditions were combined into three groups: E20%(n) and E40%(n), E40%(n) and E60%(n), and E60%(n) and E80%(n). A mean operator was applied to these combinations, generating three new datasets, Ea(n), Eb(n), and Ec(n), to help the model learn the mechanism of blade stiffness degradation.
Random noise injection: The use of this technique to create new training samples offers two key advantages. First, in theory, it can produce numerous new samples, thus expanding the training set. Second, when properly adjusted, random noise can introduce variance within the sequence while preserving the fundamental patterns that are crucial for prediction, thereby improving the generalization ability of the predictive model [27]. In this study, the initial stiffness degradation data are obtained through curve fitting, making the data relatively smooth. However, in real-world testing environments for wind turbine blades, stiffness degradation is influenced not only by fatigue accumulation but also by external environmental factors. By introducing random variables, the dynamic behavior and randomness during the blade testing process are described [28]. In this paper, random noise with a fixed signal-to-noise ratio of 65 dB is added to the training dataset.

2.3.3. Dataset Partitioning

Before training the model, the dataset is partitioned as follows: The training set comprises three groups of data with added noise at load levels of 20%, 40%, and 60%, as well as Ea(n), Eb(n), and Ec(n), along with the first 70% of the data under 80% load conditions. The remaining 30% of the data under 80% load conditions are used as a validation set to assess model’s predictive performance. Data at the 100% load level are not involved in the initial training and validation of the model; instead, they are evenly split into a training set and a test set. The training set is used for incremental training on the model that has already been trained on the previous four data groups, whereas the test set is used to assess the model’s predictive performance on entirely new data. This design allows for assessing the model’s generalization on previously unseen 100% load level data, ensuring that the model demonstrates robust predictive ability when faced with new load conditions in practical applications.

2.3.4. Model Training and Prediction

The model is trained using the Adam optimizer. During validation, a segment of data from the end of the training set, matching the length of the backcast window, is combined with the initially defined validation set to form a new validation set. This ensures that the contextual information of the input sequence is preserved, allowing the model to perform a more comprehensive evaluation while considering the temporal nature of the data. The optimal model parameters obtained through the hyperparameter tuning process described in the previous section are shown in Table 4. Hyperparameters were tuned to minimize MAPE on the validation set. The loss function was adjusted separately for different configurations of τ , and ultimately, τ = 0.45 was selected. Finally, the MAPE, RMSE, MAE, and R2 were selected as the metrics to evaluate the model’s predictive performance.

2.3.5. Baseline Models

The baseline models used in the comparative experiments include CNN-LSTM, TCN, Neural Hierarchical Interpolation for Time Series (NHiTS), and N-BEATS (generic architecture). These baseline models follow the same hyperparameter optimization strategy as the improved N-BEATS model. Some of the baseline models utilize the Darts library for their predictions [29].

2.3.6. Effect Evaluation

During the training process, Pinball-MAPE was used as the loss function to control potential biases in the prediction process and the Mean Absolute Error (MAE), Root Mean Squared Error (RMSE), MAPE, and Coefficient of Determination (R2) were selected as the metrics to evaluate the model’s predictive performance. Table 5 lists the calculation functions for the four evaluation metrics.
In the above formula: N represents the number of samples, y t denotes the true value, y ¯ represents the mean of the true values, and y ˜ t represents the predicted value.

3. Results and Discussion

Figure 5 and Table 6 present the prediction results and metric scores of all the models. The improved N-BEATS model outperforms the other baseline models across all the evaluation metrics. This demonstrates that the improved N-BEATS exhibits outstanding performance in predicting the stiffness degradation sequence of wind turbine blades, particularly excelling in handling small-scale datasets and mitigating the impact of noise. In contrast, although the TCN model excels at long-sequence modeling and capturing dependencies within them, its sensitivity to small-scale datasets and high-noise data often leads to a decline in prediction accuracy. The TCN model still shows limitations in handling short time series and noisy data, making its performance slightly inferior in this experiment. Although both N-BEATS and NHiTS have shown excellent performance in multiple time series forecasting tasks, especially on large-scale datasets, where their layered architectures can effectively capture global features, the complexity of these models becomes a burden when dealing with the small-scale data in this study, resulting in slower training speeds and slightly lower generalization performance. The CNN-LSTM model, while combining the advantages of both to capture local features and model long-term dependencies in sequences, is more limited in extracting useful feature information from small-scale, high-noise datasets. As a result, its performance is inferior to that of the improved N-BEATS model.
Moreover, each model exhibited a certain degree of bias during the forecasting process. This study uses the Mean Percentage Error (MPE) to measure the bias in each model’s predictions. Table 7 presents the bias associated with each model’s predictions. Among all models, the improved N-BEATS model, which introduces the Pinball-MAPE loss function, achieved the lowest MPE of −0.02%, significantly reducing the risk of over-prediction.
To evaluate the impact of different modules on the predictive performance of the improved N-BEATS model, this study conducted two ablation experiments. Figure 6a,b, respectively, illustrate the comparison of prediction results under different loss functions and data processing methods in two sets of experiments. The first experiment examined the effect of changing the loss function, demonstrating that the adoption of the Pinball-MAPE loss function reduced the model’s MAPE from 0.04435 to 0.04152. The second experiment compared the impact of using original data versus employing a data augmentation strategy. The results indicated that the data augmentation strategy reduced the model’s MAPE from 0.07223 to 0.04152. These findings collectively demonstrate that the Pinball-MAPE loss function and the data augmentation strategy significantly enhance the predictive accuracy and generalization capability of the improved N-BEATS model.
The improved N-BEATS model adopts advanced architecture, including a nonlinear multivariate regression structure and forward–backward residual connections, significantly enhancing its adaptability to the small-scale dataset used in this study. Even in the presence of noise, the model can still identify fundamental patterns that are crucial for sequence prediction, demonstrating high robustness. This architecture not only captures shared patterns of stiffness sequences under different loading conditions but also learns the unique characteristics of each predictive sequence, thereby improving model adaptability. Additionally, the Pinball-MAPE loss function parameters can be flexibly adjusted to accommodate different prediction tasks, reducing bias and optimizing prediction accuracy. Traditional methods for predicting the stiffness degradation of wind turbine blades are primarily based on physics-driven and empirical models. While these methods provide a certain degree of theoretical interpretability, they exhibit significant limitations in practical applications. For instance, finite element analysis (FEA) offers high-fidelity local stress and stiffness analysis, but its computational cost is extremely high. Due to their strong dependence on predefined material properties and boundary conditions, these methods exhibit limited generalization capabilities under dynamically changing environments. For data-driven physics-based models, extensive experimental calibration is often required, making them highly dependent on the availability and quality of data. Furthermore, these models typically fail to capture complex multi-factor interactions, leading to reduced generalization performance when encountering previously unseen working conditions. In contrast, the improved N-BEATS model can autonomously learn degradation patterns from historical data without requiring predefined complex physical assumptions, thereby enhancing its generalization capability.

4. Conclusions

Accurately predicting the stiffness degradation of wind turbine blades is crucial for ensuring their long-term reliability and reducing high experimental costs. This study proposes an effective method to predict the stiffness degradation of wind turbine blades by improving the N-BEATS model, and its superior performance is validated through multiple experiments.
First, the N-BEATS basic block structure was improved, and the Pinball-MAPE loss function was introduced to make the model more suitable for the stiffness degradation prediction task in this study. In addition, a dataset was constructed based on the stiffness degradation model and used for model validation. Compared to other well-established deep learning models, the improved N-BEATS demonstrated the best prediction accuracy. Meanwhile, partial data re-training was conducted on unseen sequences to verify the model’s generalization capability under unknown working conditions.
Second, this study employs two data augmentation methods—time series combination and random noise injection—that successfully expand the dataset and effectively enhance the model’s generalization ability. This method effectively addresses the common issue of data in wind turbine blade testing data, allowing the model to adapt to diverse data environments and tackle challenges posed by limited original data.
In engineering applications, the proposed model, combined with historical blade stiffness degradation data and early-stage experimental data, enables the prediction of the subsequent stiffness evolution of wind turbine blades. This allows for the assessment of whether the blades still meet operational requirements. The proposed approach reduces the need for physical testing during blade evaluation, thereby lowering assessment costs and improving engineering efficiency. Furthermore, this method can be extended to the fatigue life prediction of composite materials, providing data-driven decision support for structural health monitoring. It is applicable to wind energy, aerospace, and other composite material structures requiring long-term reliability assessment.

Author Contributions

Conceptualization, S.Y. and J.G.; methodology, S.Y.; software, S.Y.; validation, S.Y., Y.Y., J.Z. and L.M.; formal analysis, Y.Y.; investigation, J.G.; data curation, J.Z.; writing—original draft preparation, S.Y.; writing—review and editing, S.Y., J.G., Y.Y. and L.M.; visualization, S.Y.; supervision, J.G.; project administration, Y.Y. and J.Z.; funding acquisition, J.G. All authors have read and agreed to the published version of the manuscript.

Funding

This work was supported by the National Natural Science Foundation of China (52465019), Natural Science Foundation of Xinjiang Uygur Autonomous Region (2024D01C27), Xinjiang Uygur Autonomous Region Central Guidance Local Science and Technology Development Fund Project (ZYYD2025JD07), and Changji Hui Autonomous Prefecture Science and Technology Plan Project (2023Z02).

Institutional Review Board Statement

Not applicable.

Informed Consent Statement

Not applicable.

Data Availability Statement

Data is contained within the article.

Conflicts of Interest

The authors declare no conflicts of interest.

References

  1. Davis, M.; Dejesus, E.N.; Shekaramiz, M.; Zander, G.; Memari, M. Identification and localization of wind turbine blade faults using Deep Learning. Appl. Sci. 2024, 14, 6319. [Google Scholar] [CrossRef]
  2. Su, H.M.; Kam, T.Y. Reliability analysis of composite wind turbine blades considering material degradation of blades. Compos. Struct. 2020, 234, 111663. [Google Scholar] [CrossRef]
  3. Kou, H.X. Study on Stiffness Degradation Model of Composite Wind Turbine Blades. Ph.D. Thesis, Lanzhou University of Technology, Lanzhou, China, 2019. [Google Scholar]
  4. Liu, X.T.; Zhang, X.Y.; Wang, S.C. An improved model of fatigue life for stitched carbon fiber composites considering stiffness degradation. J. Braz. Soc. Mech. Sci. Eng. 2023, 45, 184. [Google Scholar] [CrossRef]
  5. Li, H.L.; Liu, Y.Z.; Zou, Y.S.; Liu, Y.T.; Song, X.X. A method for predicting the remaining life of bearings based on TC-CAE. J. Vib. Shock 2022, 41, 105–113. [Google Scholar]
  6. Zhao, Z.H.; Li, Q.; Yang, S.P.; Li, L.H. Research on remaining useful life prediction based on BiLSTM and attention mechanism. J. Vib. Shock 2022, 41, 44–50. [Google Scholar]
  7. Jordan, M.I.; Mitchell, T.M. Machine learning: Trends, perspectives, and prospects. Science 2015, 349, 255–260. [Google Scholar] [CrossRef] [PubMed]
  8. Shi, Z.Y.; Lu, Z.Z.; Zhang, X.B.; Li, L.Y. A novel adaptive support vector machine method for reliability analysis. Proc. Inst. Mech. Eng. Part O J. Risk Reliab. 2021, 235, 896–908. [Google Scholar] [CrossRef]
  9. Tao, C.C.; Zhang, C.; Ji, H.L.; Qiu, J.H. Application of neural network to model stiffness degradation for composite laminates under cyclic loadings. Compos. Sci. Technol. 2021, 203, 108573. [Google Scholar] [CrossRef]
  10. Jiang, D.; Qian, H.; Wang, Y.S.; Zheng, J.C.; Zhang, D.H.; Li, Q.Y. Data driven prediction of fatigue residual stiffness of braided ceramic matrix composites based on Latent-ODE. Compos. Struct. 2023, 323, 117504. [Google Scholar] [CrossRef]
  11. Yin, X.J.; Mu, Q.Z.; Zhou, L.; Li, B.; Shao, G.C.; Du, Z.L. Vibration modeling and simulation analysis of wind turbine flexible tower based on ChOA algorithm optimization. J. Appl. Sci. Eng. 2024, 28, 109–118. [Google Scholar]
  12. Hochreiter, S.; Schmidhuber, J. Long short-term memory. Neural Comput. 1997, 9, 1735–1780. [Google Scholar] [CrossRef]
  13. Yan, K.; Wang, X.D.; Du, Y.; Jin, N.; Huang, H.C.; Zhou, H.X. Multi-Step Short-Term Power Consumption Forecasting with a Hybrid Deep Learning Strategy. Energies 2018, 11, 3089. [Google Scholar] [CrossRef]
  14. Liu, H.W.; Zhang, Z.C.; Jia, H.B.; Li, Q.Y.; Liu, Y.J.; Leng, J.S. A novel method to predict the stiffness evolution of in-service wind turbine blades based on deep learning models. Compos. Struct. 2020, 252, 112702. [Google Scholar] [CrossRef]
  15. Wang, H.R.; Li, D.J.; Li, Y.; Zhu, G.F.; Lin, R.X. Method for Remaining Useful Life Prediction of Turbofan Engines Combining Adam Optimization-Based Self-Attention Mechanism with Temporal Convolutional Networks. Appl. Sci. 2024, 14, 7723. [Google Scholar] [CrossRef]
  16. Zha, W.T.; Ye, Y.H. An aero-engine remaining useful life prediction model based on feature selection and the improved TCN. Frankl. Open 2024, 6, 100083. [Google Scholar] [CrossRef]
  17. Chorowski, J.; Bahdanau, D.; Cho, K.; Bengio, Y. End-to-end continuous speech recognition using attention-based recurrent nn: First results. arXiv 2014, arXiv:1412.1602. [Google Scholar]
  18. Vaswani, A.; Shazeer, N.; Parmar, N.; Uszkoreit, J.; Jones, L.; Gomez, A.N.; Kaiser, L.; Polosukhin, I. Attention is all you need. In Proceedings of the 31st Conference on Neural Information Processing Systems, Long Beach, CA, USA, 4–9 December 2017. [Google Scholar]
  19. Lu, Q.; Ye, W.; Yin, L. ResDenIncepNet-CBAM with principal component analysis for wind turbine blade cracking fault prediction with only short time scale SCADA data. Measurement 2023, 212, 112696. [Google Scholar] [CrossRef]
  20. Oreshkin, B.N.; Carpov, D.; Chapados, N.; Bengio, Y. N-BEATS: Neural basis expansion analysis for interpretable time series forecasting. In Proceedings of the 2020 International Conference on Learning Representations, Addis Ababa, Ethiopia, 26 April–1 May 2020. [Google Scholar]
  21. Oreshkin, B.N.; Dudek, G.; Pełka, P.; Turkina, E. N-BEATS neural network for mid-term electricity load forecasting. Appl. Energy 2021, 293, 116918. [Google Scholar] [CrossRef]
  22. Makridakis, S.; Hibon, M. The M3-Competition: Results, conclusions and implications. Int. J. Forecast. 2000, 16, 451–476. [Google Scholar] [CrossRef]
  23. Smyl, S. A hybrid method of exponential smoothing and recurrent neural networks for time series forecasting. Int. J. Forecast. 2020, 36, 75–85. [Google Scholar] [CrossRef]
  24. Li, G.J.; Hu, P.; Xie, C.Y.; Ge, R.W.; Wang, Y.S. Research on life prediction of rubber vibration damping structure based on mechanical-thermal double stress accelerated test. Equip. Environ. Eng. 2021, 18, 25–30. [Google Scholar]
  25. Bai, X.Z.; An, Z.W.; Hou, Y.F.; Ma, Q. Health assessment and management of wind turbine blade based on the fatigue test data. Microelectron. Reliab. 2017, 75, 205–214. [Google Scholar] [CrossRef]
  26. Liu, H.W.; Zhang, Z.C.; Jia, H.B.; Liu, Y.J.; Leng, J.S. A modified composite fatigue damage model considering stiffness evolution for wind turbine blades. Compos. Struct. 2020, 233, 111736. [Google Scholar] [CrossRef]
  27. Semenoglou, A.A.; Spiliotis, E.; Assimakopoulos, V. Data augmentation for univariate time series forecasting with neural networks. Pattern Recognit. 2023, 134, 109132. [Google Scholar] [CrossRef]
  28. Zhang, F.; Nan, H.; Yao, H.J.; Lyu, C.C. Analysis of dynamic wear reliability of mechanism under stochastic noise. Acta Armamentarii 2014, 35, 2104–2108. [Google Scholar]
  29. Herzen, J.; Lässig, F.; Piazzetta, S.G.; Neuer, T.; Tafti, L.; Raille, G.; van Pottelbergh, T.; Pasieka, M.; Skrodzki, A.; Huguenin, N.; et al. Darts: User-friendly modern machine learning for time series. J. Mach. Learn. Res. 2022, 23, 1–6. [Google Scholar]
Figure 1. Framework of blade stiffness degradation prediction.
Figure 1. Framework of blade stiffness degradation prediction.
Applsci 15 01884 g001
Figure 2. Improved N-BEATS architecture. (a) Fully connected nonlinear regressor block. (b) Residual stacking with multiple layers. (c) Stack aggregation of outputs for the final prediction.
Figure 2. Improved N-BEATS architecture. (a) Fully connected nonlinear regressor block. (b) Residual stacking with multiple layers. (c) Stack aggregation of outputs for the final prediction.
Applsci 15 01884 g002
Figure 3. Damage progression curves under different loads.
Figure 3. Damage progression curves under different loads.
Applsci 15 01884 g003
Figure 4. Stiffness degradation curves under different loads.
Figure 4. Stiffness degradation curves under different loads.
Applsci 15 01884 g004
Figure 5. Comparison of prediction performance of different models.
Figure 5. Comparison of prediction performance of different models.
Applsci 15 01884 g005
Figure 6. Ablation experiments. (a) Comparison of prediction results under Pinball-MAPE and MAPE loss functions. (b) Comparison of prediction results using original data and data augmentation.
Figure 6. Ablation experiments. (a) Comparison of prediction results under Pinball-MAPE and MAPE loss functions. (b) Comparison of prediction results using original data and data augmentation.
Applsci 15 01884 g006
Table 1. Basic parameters of the blade.
Table 1. Basic parameters of the blade.
NameValue
Power 2.5 MW
Blade length52.5 m
The length of the blade root2.4 m
Blade mass10,968 kg
Maximum chord length3 m
AirfoilDU/NACA
Rated speed 23 rpm
Main materialclass fiber-reinforced epoxy resin
Table 2. Blade stiffness under different fatigue life ratios.
Table 2. Blade stiffness under different fatigue life ratios.
Loading LevelPercent of Life (n/N)
00.1450.2500.3150.7501
20%10.98870.98470.98210.97290.9568
40%10.98290.98000.97820.96750.9526
60%10.98310.97950.97790.96490.9488
80%10.98300.98910.97670.96280.9470
100%10.98260.97880.97710.96160.9421
Table 3. Fitted parameters of the stiffness degradation equation under five loading levels.
Table 3. Fitted parameters of the stiffness degradation equation under five loading levels.
ParametersLoading Level
20%40%60%80%100%
a0.424660.422650.457500.573640.45208
b0.118750.081920.110920.217310.12594
Ef0.95680.95260.94880.94700.9421
Table 4. Optimal hyperparameters of the improved N-BEATS.
Table 4. Optimal hyperparameters of the improved N-BEATS.
HyperparametersValueHyperparametersValue
Backcast Window16Layers5
Prediction Window5Width291
Batch size152Epochs20
Stacks10Dropout0.12
Blocks4Learning rate6.5 × 10−5
Table 5. Evaluation functions.
Table 5. Evaluation functions.
MetricMAERMSEMAPER2
Function MAE = 1 N t = 1 N y t y ˜ t RMSE = 1 N t = 1 N y t y ˜ t 2 MAPE = 100 % N t = 1 N y t y ˜ t y t R 2 = 1 t = 1 N y t y ˜ t 2 t = 1 N y t y ¯ 2
Table 6. Comparison of evaluation metrics for different prediction models.
Table 6. Comparison of evaluation metrics for different prediction models.
ModelEvaluation Metrics
MAPE(%)RMSEMAER2
CNN-LSTM0.087360.001010.000830.9758
TCN0.058860.000780.000560.9859
N-BEATS0.074450.000910.000710.9811
NHiTS0.046960.000580.000450.9923
Improved N-BEATS0.041520.000490.000410.9945
Table 7. Prediction biases of different models.
Table 7. Prediction biases of different models.
ModelImproved N-BEATSNHiTSN-BEATSTCNCNN-LSTM
MPE−0.02%0.04%−0.06%−0.04%−0.05%
Disclaimer/Publisher’s Note: The statements, opinions and data contained in all publications are solely those of the individual author(s) and contributor(s) and not of MDPI and/or the editor(s). MDPI and/or the editor(s) disclaim responsibility for any injury to people or property resulting from any ideas, methods, instructions or products referred to in the content.

Share and Cite

MDPI and ACS Style

Yang, S.; Gao, J.; Yuan, Y.; Zhou, J.; Meng, L. Prediction of Wind Turbine Blade Stiffness Degradation Based on Improved Neural Basis Expansion Analysis. Appl. Sci. 2025, 15, 1884. https://doi.org/10.3390/app15041884

AMA Style

Yang S, Gao J, Yuan Y, Zhou J, Meng L. Prediction of Wind Turbine Blade Stiffness Degradation Based on Improved Neural Basis Expansion Analysis. Applied Sciences. 2025; 15(4):1884. https://doi.org/10.3390/app15041884

Chicago/Turabian Style

Yang, Shuai, Jianxiong Gao, Yiping Yuan, Jianxing Zhou, and Lingchao Meng. 2025. "Prediction of Wind Turbine Blade Stiffness Degradation Based on Improved Neural Basis Expansion Analysis" Applied Sciences 15, no. 4: 1884. https://doi.org/10.3390/app15041884

APA Style

Yang, S., Gao, J., Yuan, Y., Zhou, J., & Meng, L. (2025). Prediction of Wind Turbine Blade Stiffness Degradation Based on Improved Neural Basis Expansion Analysis. Applied Sciences, 15(4), 1884. https://doi.org/10.3390/app15041884

Note that from the first issue of 2016, this journal uses article numbers instead of page numbers. See further details here.

Article Metrics

Back to TopTop