Abstract
Long COVID-19, also known as post-acute sequelae of SARS-CoV-2 infection (PASC), involves symptoms or effects that persist for more than 4 weeks after the initial SARS-CoV-2 infection. One contributing factor to this condition is the disruption in the expression of the antioxidant enzyme Nuclear Factor Erythroid-2 (Nrf2) induced by the COVID-19 infection. Apigenin and related flavonoids, known for their diverse pharmacological activities, including potent antioxidant properties, have emerged as promising candidates for Long COVID-19 therapy. These compounds, particularly apigenin, are recognized for their ability to modulate oxidative stress and inflammation, making them potential activators of the Nrf2 pathway. This study aims to predict the activity of apigenin and its related flavonoids as Nrf2 activators using molecular modeling and molecular dynamics (MD) techniques, providing insights into their therapeutic potential in managing Long COVID-19. The findings from the molecular modeling analysis indicate that apigenin has a favorable affinity, with a free energy value (ΔG) of −6.40 kcal/mol. Additionally, MD simulation results demonstrate the strong stability of the Keap1-apigenin complex, with an average Root Mean Square Deviation (RMSD) value below 0.20 nm and the lowest average Root Mean Square Fluctuation (RMSF) value of 0.86 nm. Using the Molecular Mechanics/Generalized Born Surface Area (MM-GBSA) calculation method, the binding affinity of the Keap1-apigenin complex yields a lower free energy value (ΔG) of −67.039 kJ/mol, consistent with the molecular modeling results. Apigenin also exhibits the ability to inhibit the binding of Nrf2 to the hydrophobic surface of Keap1, with a total energy value of 993.266 kcal/mol and binding affinity value of −1.162 kJ/mol through peptide−receptor docking. In conclusion, the comprehensive results suggest that apigenin has the potential to be a lead compound for developing Nrf2 activators specifically designed for Long COVID-19 therapy.
1. Introduction
The number of Coronavirus Disease (COVID-19) cases continues to rise daily. According to the World Health Organization (WHO), as of December 2022, there were 639,132,486 confirmed cases of COVID-19 across 216 countries, resulting in 6,614,082 death [1]. As the virus evolved, SARS-CoV-2 mutated into various variants: Alpha, Beta, Gamma, Delta, Omicron, Lambda, and Mu [2]. COVID-19 is caused by the severe acute respiratory syndrome virus (SARS-CoV-2). Clinical symptoms of COVID-19 include an increased inflammatory response, respiratory disorders, multi-organ dysfunction syndrome, and significant thrombotic complications [3]. While 60% of infected cases recover after 28 days of hospital treatment, many patients continue to experience symptoms 3–12 weeks post-recovery, a condition known as Long COVID-19 syndrome [4].
Long COVID-19 is characterized by persistent symptoms that extend beyond 4 weeks following the onset of SAR-CoV-2 infection. During this phase, the transcription factor erythroid 2-related factor 2 (Nrf2) and the formation of inflammasomes play pivotal roles in developing Long COVID-19 [5]. DNA damage within infected cells inhibits the expression of Nrf2, which typically provides primary protection against oxidative stress (ROS). Excessive ROS production from SAR-COV-2 infection can disrupt the antioxidant system and cause widespread cellular damage if not counterbalanced by antioxidant production [6]. Maintaining ROS levels in homeostasis is crucial to prevent damage to DNA, proteins, and lipid structures. Under unfavorable conditions, ROS can activate transcription factors such as Nrf2. Upon activation, Nrf2 translocates into the nucleus and binds to the Antioxidant Response Element (ARE), activating genes crucial for antioxidant production [7]. Adequate antioxidant production is essential to mitigate cellular damage caused by ROS.
Antioxidants are compounds capable of delaying, slowing, and preventing oxidation [8]. The body naturally combats oxidative stress through endogenous antioxidants. However, when free radicals surpass endogenous antioxidants, supplementation with exogenous antioxidants from food and medicines becomes necessary [9]. To date, no medication has been developed to alleviate the symptoms of Long COVID-19, which results from a disruption in antioxidant enzyme expression due to COVID-19 infection [10]. Exploring natural compounds, such as apigenin, for their therapeutic potential against Long COVID-19 highlights the significance of discovering therapeutic agents from natural sources [11]. Such discoveries hold promise for the development of effective treatments for Long COVID-19 and other oxidative stress-related conditions.
In vitro studies have shown that apigenin, a flavonoid compound, possesses therapeutic properties such as antioxidant, anti-inflammatory, antidiabetic, anticancer, antidepressant, and neuroprotective effects [12]. A recent in silico study explored the potential of apigenin against Long COVID-19 using a 100-run molecular docking simulation (Autodock 4.2) of the Keap1-Nrf2 complex (PDB code 4L7B), resulting in a free energy value of −6.24 kcal/mol. Apigenin demonstrated interactions with amino acid residues Ser602, Ser363, Ser508, and Ser555 [13]. Further research is needed to validate the predicted activity of apigenin as an anti-Long COVID-19 agent by binding to NRF2 using molecular dynamics simulation methods. Other studies have suggested that the antiviral effect of apigenin may be directly linked to suppressing the activity of SARS-CoV 3CLpro [14]. Thus, apigenin intake, through a regular diet or supplements, may potentially mitigate chronic infection diseases such as COVID-19 [15].
Molecular dynamics is a computerized simulation used to examine microscopic interactions between molecules [16]. Using a physically known approach, this simulation allows atoms and molecules to interact over a specified period, providing insight into motion and interactions [17]. This study was conducted to analyze and obtain information regarding the stability of the complex interaction between the apigenin compound and Keap1-Nrf2 more accurately in a flexible state through molecular dynamics simulation. Unlike molecular docking, which does not allow protein movement to adjust its conformation after interaction with the ligand, molecular dynamics simulation offers flexibility by allowing such adjustments. The choice of this computational method is driven by its potential to save costs and time in drug development and discovery. This research is anticipated to contribute to advancements in health science, particularly in exploring and developing treatments for Long COVID-19.
2. Results
2.1. Exploring the Results of Molecular Docking and Interaction Binding
Pharmaceutical research has effectively integrated molecular modeling techniques into multiple drug development programs to explore intricate biological and chemical processes. The combination of computational and experimental methods has demonstrated significant advantages in the discovery and advancement of novel chemical compounds [18]. Molecular docking methodologies are commonly employed in contemporary drug design to investigate the spatial arrangement of ligands within the binding sites of large biological molecules and to assess the thermodynamics of ligand−receptor interactions by analyzing key events in intermolecular interactions [19]. These techniques not only deepen our understanding of molecular interactions but also enhance the efficiency of the drug discovery process by predicting how well different compounds might bind and by optimizing promising candidates. With ongoing improvements in computational tools and algorithms, these methods are becoming even more essential for finding effective new treatments [20]. As a result, molecular docking has become a crucial tool in drug development, seamlessly connecting theoretical insights with real-world applications.
Molecular docking simulations were performed using AutoDock Tools 4.2. with a grid box size of 64 Å × 60 Å × 60 Å. The resulting docking scores for the 4IQK-apigenin complex and the 4IQK-luteolin complex were −6.40 kcal/mol and −6.45 kcal/mol, respectively (Table 1). While 4IQK-genistein and 4IQK-kaempferol exhibited unfavorable interactions with the target protein, leading to weaker binding affinities, both 4IQK-apigenin and 4IQK-luteolin exhibit dominant hydrogen bonding, hydrophobic, and electrostatic interactions that significantly contribute to the binding efficacy and stability within the receptor site. For apigenin, the key hydrogen bond interactions were identified with residues such as SER508, GLY509, and GLY462, alongside hydrophobic contacts with ARG415 and ALA556. These interactions stabilize the ligand within the binding pocket, allowing for an energetically favorable orientation. Luteolin similarly formed robust interactions, particularly hydrogen bonds with SER363 and ASN414, and hydrophobic contacts with VAL604 and ALA556, which reinforced its stable binding within the receptor. Despite slightly lower docking scores, the extensive hydrogen bond network and hydrophobic interactions provide sufficient stability to maintain significant biological relevance [21,22]. Additionally, the presence of electrostatic interactions between the ligands and specific charged residues on the receptor further enhances binding specificity by facilitating complementary charge distribution, critical for their functionality. Furthermore, the binding orientation of both apigenin and luteolin allows them to interact effectively with key residues involved in receptor activation and stabilization, positioning them as promising candidates for modulating the Keap1-Nrf2 pathway. Their ability to activate Nrf2 by disrupting the Keap1 interaction could enhance antioxidant responses, making them potential therapeutic agents for oxidative stress-related conditions such as post-COVID-19 syndrome [23]. As a result, while the docking scores may not be optimal, the favorable interaction profiles ensure these complexes remain biologically relevant [22].
Table 1.
The docking scores from molecular simulations reveal a variety of intriguing binding interactions.
2.2. Comprehensive Review of Molecular Dynamics Simulations
The 500 ns molecular dynamics (MD) simulation trajectories provide data for analyzing the root mean square deviation (RMSD), root mean square fluctuation (RMSF), radius of gyration (RG), and solvent-accessible surface area (SASA). Additionally, they offer insights into the binding energy of the protein−ligand complex throughout the MD simulation, calculated using the Molecular Mechanics with Generalized Born and Surface Area Solvation (MM-GBSA) method. These analyses contribute to understanding the stability and dynamic behavior of the protein−ligand complex over time, highlighting their potential interactions and efficacy in pharmacological applications. Overall, the MD simulation offers valuable insights into the molecular mechanisms underlying the binding affinity between the protein and ligand, aiding in rational drug design and optimization [24]. The stability metrics such as RMSD and RMSF help assess the flexibility and conformational stability of the complex, while SASA provides information on the extent of the protein−ligand interaction surface. Furthermore, the RG analysis complements these findings by offering insights into the compactness and overall shape of the complex throughout the simulation [25].
The root mean square deviation (RMSD) provides insight into the stability of the protein−ligand complex throughout the simulation. Figure 1a displays the RMSD values for 4IQK with apigenin, luteolin, omaveloxolone, and the Cpd16 compound, showing average values of 1.62 Å, 1.53 Å, 1.60 Å, and 1.59 Å, respectively. While the RMSD for 4IQK-Cpd16 showed significant fluctuations between 0 ns and 200 ns, the overall average values staying below 2 Å suggest that the receptor−ligand complex remains relatively stable throughout the simulation. After 200 ns, the complex stabilizes, highlighting the robustness of the receptor−ligand interactions during the simulation. However, the fluctuations that tend to increase are shown by 4IQK-omaveloxolone between 450 ns until the end of the simulation. Root mean square fluctuation (RMSF) evaluates the mobility and stability of amino acid residues, with higher RMSF values indicating greater instability and rigidity. As shown in Figure 1b, the RMSF values for apigenin, luteolin, omaveloxolone, and Cpd16 are all 0.09 nm, which points to their stability and rigidity within the receptor during the MD simulation. The radius of gyration (RG), illustrated in Figure 1c, reveals the compactness and stability of the structure, with average values consistently around 1.78 nm. Initial fluctuations between 250 ns and 450 ns were observed for 4IQK-Cpd16, but these stabilize with minimal fluctuations thereafter. This indicates a stable and compact ligand binding within the 4IQK molecule. Additionally, the solvent-accessible surface area (SASA) measurements show that apigenin, luteolin, and omaveloxolone are more stable in the solvent compared to the Cpd16 compound, which experienced significant fluctuations from 100 ns to 400 ns (Figure 1d). The average SASA values for apigenin, luteolin, omaveloxolone, and Cpd16 are 123.09 nm2, 122.54 nm2, 122.68 nm2, and 123.32 nm2, respectively. This suggests that apigenin and luteolin tend to form more stable and compact complexes with 4IQK, reducing surface fluctuations and enhancing their interactions with the solvent.
Figure 1.
(a) Root mean square deviation (RMSD) of atoms within the protein−ligand complex. (b) Root mean square fluctuation (RMSF) of residues within the protein−ligand complex. (c) Radius of gyration (RG) of the protein−ligand complex. (d) Solvent-accessible surface area (SASA) of the protein−ligand complex.
The MM-GBSA method delivers reliable calculations of binding free energy between a receptor and ligand by accounting for various energy components, including van der Waals interactions, electrostatic forces, and polar solvation energies [26]. The calculated binding free energies for apigenin, luteolin, omaveloxolone, and the Cpd16 compound are −67.039 kJ/mol, −71.136 kJ/mol, −50.269 kJ/mol, and −52.379 kJ/mol, respectively (Table 2). More negative binding energies indicate a stronger affinity towards the receptor protein, 4IQK, which aligns with its lower RMSD values. Consequently, MD simulation investigations reveal that apigenin and luteolin have binding free energies comparable to those of the Cpd16 compound and omaveloxolone, forming strong, enduring, and energetically favorable interactions within the ligand binding site of the 4IQK receptor molecule. Luteolin demonstrated the strongest binding, driven by its significant van der Waals contributions (−112.472 kJ/mol) and electrostatic interactions (−30.230 kJ/mol), closely followed by apigenin with van der Waals energy of −103.984 kJ/mol and electrostatic energy of −17.229 kJ/mol. These interactions ensure stability and specificity within the receptor pocket, counterbalancing the polar solvation penalties.
Table 2.
The binding energy of the optimal ligand conformation in complex with Keap1, as determined by MM-GBSA calculations.
Additionally, the favorable desolvation contributions highlight the strong hydrophobic interaction network established by both ligands, further enhancing their binding affinity. Notably, luteolin’s slightly higher polar solvation penalty (83.023 kJ/mol) compared to apigenin (65.496 kJ/mol) is effectively countered by its robust van der Waals and electrostatic contributions, underscoring its superior overall binding efficiency. The nonpolar solvation energy also contributes positively, reflecting the stable hydrophobic environment around these ligands within the Keap1 pocket. These findings indicate that both apigenin and luteolin not only achieve strong binding but also exhibit interaction profiles that support their biological relevance and therapeutic potential. Apigenin, in particular, shows significant interaction with the Keap1 binding pocket suggesting that both apigenin and luteolin may serve as promising candidates for further drug development targeting the 4IQK receptor. These insights into the energy contributions provide a deeper understanding of how these natural compounds modulate the Keap1-Nrf2 pathway, paving the way for their application in oxidative stress-related diseases and inflammatory conditions.
2.3. Inhibition of Nrf2 Recruitment by the Keap1-Ligand Complex
To explore how Nrf2 interacts with Keap1 in the presence of apigenin, luteolin, omaveloxolone, and the Cpd16 compound, peptide-receptor docking simulations were performed. The binding affinity was measured using total energy. The Nrf2 structure was sourced from a crystal complex with Keap1 (PDB ID: 2FLU) [27]. We first validated the DockThor (a receptor−ligand docking program) method to set up the parameters for our simulations [28]. This validation involved re-docking, during which we observed Root Mean Square Deviation (RMSD) and analyzed active site interactions to pinpoint possible binding sites for Nrf2. The results were fine-tuned to ensure precision, providing a clearer picture of how Nrf2 binds to Keap1. This detailed analysis is essential for developing effective therapeutic interventions targeting these interactions.
The RMSD value from the re-docking results was 1.7652 Å (Table 3), which validates the parameters used in the peptide−receptor docking simulations. This low RMSD value reflects the accuracy of the docking approach, indicating that the predicted binding conformation closely resembles the experimentally determined structure. The consistent identification of key interacting residues, such as ARG334, SER363, ARG415, and TYR572, further supports the reliability of the docking results. These residues play a crucial role in stabilizing the ligand−receptor complex through hydrogen bonding and electrostatic interactions, enhancing the precision of the docking process. Based on Table 4, the 4IQK-apigenin complex shows the lowest total energy of 993.266 kJ/mol in its interaction with Nrf2, compared to luteolin (993.573 kJ/mol), omaveloxolone (993.991 kJ/mol), and Cpd16 (993.960 kJ/mol). Although apigenin’s binding affinity (−1.162 kJ/mol) is lower than the others, the lower total energy indicates better interaction stability, supported by an electrostatic energy of −2.430 kJ/mol. This suggests that apigenin could be a more effective candidate for inhibiting the interaction between Nrf2 and Keap1, thus having greater potential in therapeutically influencing the Nrf2 signaling pathway. Additionally, the lower total energy suggests that the interaction between apigenin and Nrf2 is more energetically favorable, which could contribute to a more stable complex formation. This stability could enhance the inhibitory effect of apigenin on Nrf2’s interaction with Keap1, making it a promising candidate for further therapeutic investigation.
Table 3.
Findings from the validation process of the peptide−receptor docking technique.
Table 4.
Outcomes from docking simulations of Keap1-ligand complexes with nuclear factor erythroid 2-related factor 2 (Nrf2).
This calculation helps us understand how stable each complex is after peptide-receptor docking. Our results show that the 4IQK-apigenin complex is more effective at blocking Nrf2 binding compared to the other 4IQK-ligand complexes. This unique property of apigenin seems to stem from its strong interaction capabilities, which inhibit Nrf2 in cellular environments and reduce corepressor peptide binding. Specifically, Nrf2 interacts with key regions on Keap1, such as loop D–A and B–C (shown with a red box for emphasis), which are crucial for regulating Nrf2 degradation and maintaining the stability of the protein−ligand complex (Figure 2) [27]. The enhanced binding affinity of apigenin likely disrupts these interactions more effectively than other ligands, leading to a more pronounced inhibition of Nrf2 activity.
Figure 2.
Depiction of the initial pose (white) and final pose (colored) from the molecular dynamics simulation in the 4IQK-ligand complexes: 4IQK-apigenin, 4IQK-luteolin, 4IQK-omaveloxolone, and 4IQK-Cpd16.
The Nrf2-derived peptide binds to a shallow pocket on the top surface of the Keap1 domain, defined by the D–A and B–C loops (Figure 3). This pocket is crucial for the Nrf2−Keap1 interaction, but under normal conditions, Keap1 should not bind Nrf2 to prevent its premature activation. When Nrf2 binds to this pocket, it affects Keap1’s conformation, which is intended to inhibit Nrf2. Typically, Keap1 binds Nrf2 and facilitates its degradation to regulate the antioxidant response. However, apigenin, a flavonoid with antioxidant properties, can bind to Keap1 and alter its structure. This change reduces Keap1’s ability to bind and degrade Nrf2, thereby decreasing Nrf2 inhibition and enhancing its activation of the antioxidant signaling pathway [29].
Figure 3.
Visualization of the peptide−receptor docking results between nuclear factor erythroid 2-related factor 2 (Nrf2) and 4IQK-apigenin.
The visualization reveals that non-polar peptides from Nrf2 bind to a hydrophobic area on Keap1-apigenin. This binding site, located within the D–A and B–C loops of Keap1, is crucial for the interaction between Nrf2 and Keap1. When compared to other Keap1 crystal structures, there are noticeable differences in this binding area. These differences may result from changes in the shape of the D–A and B–C loops due to peptide binding, which can affect how Nrf2 attaches to Keap1. This interaction is important because it influences whether Keap1 stays in an open or closed state, which in turn affects the recruitment of Nrf2.
2.4. Physiochemical Properties Impacting ADMET
For effective medication, a potent molecule must reach its target in a bioactive state and remain long enough to facilitate the anticipated physiological effects. As drug development progresses, ADMET screening is increasingly integrated early in the discovery phase, mainly when candidate compounds are numerous but physical samples are limited [30]. In such scenarios, computer models serve as viable alternatives to experimentation. Researchers utilize the SwissADME web platform, which offers free access to rapid and reliable predictive models for pharmacokinetics, physicochemical properties, drug-likeness, and medicinal chemistry desirability [31]. This includes proprietary techniques such as iLOGP, BOILED-Egg, and Bioavailability Radar, aiding drug development milestones. Additionally, pkCSM employs graph-based approaches to forecast pharmacokinetic attributes based on small molecules, which are utilized to train prediction algorithms [32].
Lipophilicity is traditionally determined by the partition coefficient between n-octanol and water (log Po/w). Various computer techniques have been developed to estimate log Po/w, each with varying effectiveness across diverse chemical combinations. Multiple predictors are often employed to choose the most reliable techniques for specific chemical combinations or to generate consensus estimates [33]. Apigenin exhibits iLOGP values of 1.89. Apigenin demonstrates favorable lipophilicity (−0.7 < XLOGP3 < +5). The WLOGP values based on the Wildman and Crippen fragmental methodology for apigenin is 2.58. MLOGP represents a prototype topological strategy relying on linear connection. The MLOGP values for apigenin is 0.52. The SILICOS-IT technique delineates topological descriptors for apigenin as 2.52. Having soluble molecules simplifies various drug development processes, particularly handling and formulation. Solubility is crucial for oral delivery absorption and ensuring sufficient active components in a small pharmaceutical dose volume for parenteral administration [34]. The Log S (ESOL) values are −3.94, with solubilities of 3.07 × 10−2 mg/mL and 1.14 × 10−4 mol/L for apigenin; this indicates that apigenin is expected to be soluble (Table 5).
Table 5.
ADMET profiling through SwissADME and pkCSM analysis.
Pharmacokinetics explores the journey of drugs within the body, from absorption to distribution, metabolism, and excretion, which are influenced by their pharmacological properties at the target site of action [35]. Utilizing the BOILED-Egg model, it has been determined that apigenin and related flavonoids exhibit high gastrointestinal (GI) absorption, making them well suited for oral administration. However, their inability to cross the blood−brain barrier (BBB) limits their direct therapeutic application for central nervous system (CNS) disorders. Despite this limitation, the high GI absorption of apigenin suggests its potential for addressing systemic oxidative stress and inflammation, particularly in peripheral tissues [36]. Furthermore, apigenin’s non-substrate status for permeability glycoprotein (P-gp), an ATP-binding cassette (ABC) transporter, reduces the likelihood of active efflux, enhancing its bioavailability in peripheral circulation.
The lack of BBB permeability may also have positive implications in reducing off-target effects in the CNS, minimizing risks of neurotoxicity while concentrating therapeutic action in non-CNS tissues. This characteristic makes apigenin particularly promising for conditions like Long COVID-19, where oxidative stress and inflammation are predominant in peripheral tissues rather than the CNS [31]. Additionally, apigenin’s pharmacokinetics should be further optimized to address its relatively low bioavailability due to rapid metabolism and clearance. Formulation strategies, such as nanoencapsulation, co-crystallization, or prodrug development, could enhance its stability and systemic availability. Moreover, while the pharmacokinetic profile of apigenin poses certain challenges, its high GI absorption and favorable interaction with P-gp offer significant therapeutic potential for systemic applications, particularly in conditions driven by oxidative stress and inflammation outside the CNS [37].
Drug-likeness assesses the likelihood of a chemical becoming an oral drug in terms of bioavailability. This assessment is based on structural or physicochemical evaluations of compounds that have progressed to be considered potential oral drug candidates [38]. The concept of drug-likeness is commonly used to screen chemical libraries to exclude compounds with characteristics likely incompatible with a favorable pharmacokinetic profile [39]. Ligand has positive Lipinski values without any violations and has a negative Ghose value with three violations (MW < 160, MR < 40, #atoms < 20). Additionally, apigenin has positive Veber and Egan values. Interestingly, selected ligand has the same bioavailability score of 0.55 each. The Medicinal Chemistry section aims to support medicinal chemistry’s routine drug development [40]. Despite the absence of alerts for PAINS assessment, apigenin is not associated with any PAINS alerts. Apigenin positively influences lead-likeness, a key factor in computer-aided drug design (CADD). This process focuses on selecting the most promising molecules for synthesis and further biological or other investigations. Synthetic accessibility (SA) is a critical component of this evaluation, apigenin has an SA value of 2.96, indicating its potential for practical synthesis [41].
The AMES toxicity test is a widely utilized method for assessing a substance’s mutagenic potential using bacteria. A positive result indicates mutagenicity, suggesting a potential risk of carcinogenesis. Apigenin exhibits no mutagenic potential. The Maximum Recommended Therapeutic Dose (MRTD) estimates a chemical’s hazardous dosage threshold in humans [42]. Apigenin has the lowest MRTD values at 0.328, indicating its high safety profile. Remarkably, apigenin does not demonstrate hepatotoxicity, skin sensitization, or inhibitory effects on hERG I and II channels. Assessing a compound’s potential hazards is crucial, and lethal dose estimates (LD50) are used to evaluate the acute toxicity of various compounds. The LD50 represents the dose at which 50% of test animals succumb to the compound when administered simultaneously. Apigenin exhibits the lowest LD50 values at 2.45 mol/kg, reflecting its low acute toxicity. Additionally, apigenin has a lower LOAEL value, further supporting its favorable safety profile.
2.5. Advanced Frontiers Molecular Orbitals (FMOs)
The frontier molecular orbitals, specifically the highest occupied molecular orbital (HOMO) and the lowest unoccupied molecular orbital (LUMO), are key indicators of a molecule’s electronic properties in quantum chemistry [43]. The HOMO represents electron donors, while the LUMO corresponds to electron acceptors, with light absorption being associated with the transition from HOMO to LUMO orbitals. Figure 4 shows the surface visualizations of the frontier molecular orbitals for the apigenin molecule. The HOMO orbitals are distributed across the entire molecule except for the hydrogen atoms, and the LUMO orbitals are similarly distributed, excluding hydrogen atoms and the carbonyl oxygen. The contour surfaces of the HOMO are mainly located over the π-system ring and the C7=C8 bond, where the accumulation of electron clouds on the oxygen atoms suggests a role in charge transfer properties. This distribution suggests a significant role of these atoms in charge transfer properties and interactions with biological targets. Notably, the C7=C8 bond and adjacent oxygen atoms facilitate electron delocalization, enhancing the molecule’s reactivity in biological systems (Figure 5). These features are particularly important in modulating oxidative stress pathways, such as the Keap1−Nrf2 interaction, by enabling stable yet flexible binding to the target protein.
Figure 4.
Surface visualizations depicting the frontier molecular orbitals of the apigenin molecule.
Figure 5.
Chemical structure of apigenin with numbered carbon positions.
The π-system also contributes to the stabilization of π−π interactions with aromatic residues in proteins, highlighting apigenin’s potential in receptor binding. Furthermore, the extensive HOMO delocalization reflects apigenin’s strong antioxidant activity, as it allows for efficient electron donation to neutralize reactive oxygen species. The accumulation of electron clouds near these functional groups highlights their potential for facilitating binding and activity, particularly in pathways such as the Keap1−Nrf2 interaction. Providing a detailed chemical structure with atom numbering would further enhance the interpretation of these findings, clarifying the specific roles of key molecular features. LUMO densities, on the other hand, are found primarily on the carbon atoms of the phenyl and phenol rings and on the central chain’s C-C single bond. Thus, the electronic transition from HOMO to LUMO primarily arises from π−π* electronic transitions due to the rich electron clouds of π atomic orbitals [44]. This transition underscores the molecule’s ability to engage in light absorption processes, which may influence its bioavailability and interaction dynamics with proteins.
The correlation between the calculated molecular energies and their quantum chemical parameters provides insights into the molecule’s chemical reactivity. Quantum chemical descriptors, such as hardness (η), softness (S), electronegativity (χ), and electrophilicity (ω), serve as global indicators of a molecule’s chemical behavior. The hardness value reflects the molecule’s resistance to charge transfer, while softness measures the ability to accept electrons. Electronegativity (χ) describes a molecule’s tendency to attract electrons, and electrophilicity (ω) determines the molecule’s capacity to accept electrons [45]. Table 6 shows the calculated quantum parameters, highlighting that the studied molecule has a hardness value of 4.42 eV, a softness of 0.226 eV^-1, and an electronegativity of 4.33 eV. The electrophilicity index (ω) is 2.12 eV, classifying the apigenin molecule as a moderate electrophile. This classification is based on a quantum chemical scale where electrophiles with ω < 1.5 eV are considered weak, those with 1.5 eV ≤ ω ≤ 2.5 eV are moderate, and those with ω > 2.5 eV are strong with a value within the moderate range; apigenin demonstrates a balanced capacity to accept electrons during interactions with nucleophiles, such as key residues in the Keap1 protein. This property is crucial in enabling apigenin to disrupt the Keap1−Nrf2 interaction, facilitating the activation of antioxidant pathways [46]. The moderate electrophilicity of apigenin highlights its therapeutic relevance, particularly in oxidative stress-related conditions, as it indicates an optimal reactivity that can be further harnessed in biological systems.
Table 6.
Computed quantum chemical properties for the apigenin molecule.
Additionally, the nucleophilicity index, calculated as 2.95 eV, suggests that the molecule is a moderate nucleophile. This classification is derived from quantum chemical principles, where nucleophilicity measures a molecule’s ability to donate electrons to an electrophilic center during a chemical reaction. On a relative scale, molecules with a nucleophilicity index less than 2.5 eV are considered weak nucleophiles, those between 2.5 and 4.0 eV are classified as moderate nucleophiles, and those greater than 4.0 eV are strong nucleophiles [47]. These findings, supported by previous studies on chalcone derivatives, indicate that the studied molecule demonstrates high chemical reactivity. The comparison with similar compounds shows that apigenin has a relatively high electronegativity and electrophilicity index, contributing to its notable reactivity. These descriptors further affirm that the molecule is an active participant in electron transfer processes, confirming its high reactivity in chemical interactions.
3. Discussion
Keap1, the primary intracellular regulator of Nrf2, is composed of five key domains (Figure 6): three broad complex-tramtrack-bric a brac (BTB) domains, one intervening region (IVR) domain, and two glycine repeat (DGR) domains, each playing a vital role in controlling Nrf2 activity. The BTB domains, located at the N-terminal part of Keap1, are crucial for Keap1 dimerization and interaction with other transcription factors, thereby stabilizing Keap1’s structure. The IVR domain, positioned between the BTB and DGR domains, contains a nuclear export signal sequence essential for retaining Keap1 in the cytoplasm and interacting with E3 ligase complexes like Cul3-Roc1 [48]. On the other hand, the DGR domains, found at the C-terminal end of Keap1, are responsible for binding to the DLG and ETGE motifs on Nrf2, facilitating its ubiquitination and degradation under normal conditions. These domains are also essential for detecting and responding to oxidative stress by modulating Nrf2 binding, allowing Nrf2 to translocate into the nucleus and activate antioxidant genes. Together, these domains regulate the balance between stabilizing Nrf2 and responding to stress signals, thereby maintaining cellular health by controlling genes involved in detoxification and protection against oxidative damage [49].
Recent research underscores that the Keap1-Nrf2-ARE pathway plays a crucial role in regulating the body’s antioxidant defense system and detoxification mechanisms, making it a compelling therapeutic target for oxidative stress-related disorders. Flavonoids, particularly those derived from citrus, such as hesperidin, naringin, and nobiletin, have shown significant potential as dietary antioxidants capable of modulating the Keap1−Nrf2 interaction [50]. These compounds activate Nrf2 by disrupting its binding with Keap1 through mechanisms such as phosphorylation, autophagic degradation, and epigenetic modifications. Experimental and computational studies reveal that citrus-derived flavonoids exhibit strong binding affinity with Keap1 through stable hydrogen bonding and hydrophobic interactions, classifying them into strong and weak agonists based on their antioxidant response element (ARE) activation capabilities [51]. In the context of respiratory viral infections, including SARS-CoV-2, Nrf2 activators demonstrate protective effects by reducing ACE2 receptor expression, mitigating oxidative stress, and enhancing antiviral responses, thus lowering disease severity. However, despite promising in silico and in vitro findings, challenges remain in translating these results into clinical applications. Issues such as the poor bioavailability of flavonoids and the lack of robust human studies highlight the need for advanced drug delivery systems and comprehensive clinical trials to optimize their therapeutic efficacy for oxidative stress and inflammation-related diseases, including COVID-19 and its complications [52].
Interestingly, apigenin, a flavonoid identified in olive oil, holds promising therapeutic and prophylactic potential for managing post-COVID-19 syndrome due to its multifaceted bioactivities. As demonstrated by docking studies and in vitro experiments, apigenin exhibits moderate antiviral properties against SARS-CoV-2 through a strong binding affinity to viral RNA-dependent RNA polymerase (RdRP), suggesting its utility in disrupting viral replication [53]. Furthermore, apigenin’s potent anti-inflammatory and antioxidant properties, including modulation of cytokine release and inhibition of enzymes like phospholipase A2 (PLA2-IIA), address key drivers of chronic inflammation and oxidative damage observed in post-COVID-19 conditions. These features, combined with its adherence to Lipinski’s rule and favorable ADMET profiles, underscore apigenin’s potential as a critical component in supportive care strategies aimed at mitigating long-term complications, including pulmonary fibrosis and systemic inflammation, in post-COVID-19 patients [54]. Further clinical research is needed to optimize its delivery and evaluate its full therapeutic efficacy.
Figure 6.
Diagram of the primary structures of Nrf2 and Keap1. The key functions of the Nrf2 and Keap1 domains are illustrated [49,55].
Figure 6.
Diagram of the primary structures of Nrf2 and Keap1. The key functions of the Nrf2 and Keap1 domains are illustrated [49,55].

On the other hand, apigenin, a flavonoid with antioxidant properties, plays a crucial role in altering the interaction between Keap1 and Nrf2. When apigenin binds to Keap1, it induces structural changes that reduce Keap1’s ability to retain Nrf2. This disruption primarily affects the DGR domains in Keap1, which typically facilitate the binding and degradation of Nrf2. As a result, Nrf2 is released from Keap1 and translocates into the nucleus where it activates antioxidant genes by targeting specific DNA sequences known as antioxidant response elements (AREs) [56]. Research indicates that apigenin not only stabilizes Nrf2, extending its presence in cells, but also enhances its antioxidant effects. Furthermore, apigenin upregulates the expression of genes involved in detoxification and cellular defense, thereby improving the cells’ ability to manage oxidative stress. In this way, apigenin enhances Nrf2 activation and strengthens the cellular response to oxidative damage, offering additional protection against cellular harm [57].
Moreover, apigenin has several pharmacophores that play a key role in its effects on the Keap1-Nrf2 pathway, particularly relevant for managing Long COVID-19 symptoms (Figure 7). The hydroxyl groups in apigenin are crucial for its antioxidant activity, allowing for the activation of the Keap1-Nrf2 pathway by regulating Keap1 activity, thereby releasing Nrf2 to initiate the expression of antioxidant genes in the cell nucleus [58]. The flavonoid structure of apigenin enables efficient interaction with target proteins such as Keap1, affecting the binding and release of Nrf2. Additionally, the lipophilic nature of apigenin, enhanced by its benzene rings and substituents, allows for better penetration into cell membranes, thus enhancing its bioavailability to interact with the Keap1-Nrf2 pathway [59]. This understanding provides important insights into the potential of apigenin as a supportive therapy in reducing oxidative stress and inflammation associated with Long COVID-19, encouraging further studies for the development of effective therapeutic strategies. To verify these findings, further molecular experiments such as in vitro binding affinity assays, Nrf2 activation studies using cell-based models, and site-directed mutagenesis on Keap1 to analyze specific apigenin interactions are essential. These experiments would provide a deeper understanding of the mechanism by which apigenin regulates the Keap1-Nrf2 pathway, validating its therapeutic potential.
Figure 7.
Summary of structure−activity relationships and key pharmacophores for apigenin [60,61,62].
4. Materials and Methods
4.1. Preparation of the Ligand Structure
The ligands, apigenin (PubChem CID: 5280443), genistein (PubChem CID: 5280961), gossypetin (PubChem CID: 5280647), kaempferol (PubChem CID: 5280863), luteolin (PubChem CID: 5280445), phloretin (PubChem CID: 4788), and quercetin (PubChem CID: 5280343) were obtained from the PubChem database (https://pubchem.ncbi.nlm.nih.gov/) (accessed on 14 June 2024) (Figure 8) [63]. ChemDraw Professional 16.0 and Chem3D 16.0 were used to convert these ligands to three-dimensional form and to generate potential tautomers and conformers. The ChemDraw Professional 16.0 and Chem3D 16.0 tool was performed at neutral ionization and the geometry optimization of the ligand was performed using the Density Functional Theory (DFT) method with the B3LYP (Becke, 3-parameter, Lee-Yang-Parr) functional and the 3-21G basis set, utilizing Quantum Espresso v.7.3 software [64].
Figure 8.
Shows the shared features among the polyphenol flavonoids tested, all of which are derived from 5,7-dihydroxy-4H-chromen-4-one.
4.2. Preparation of the Keap1 and Nrf2 Receptor Macromolecule
The crystallographic structure of the Kelch-like ECH-associated protein 1 (Keap1) target protein (PDB ID: 4IQK) bound with the inhibitor (Cpd16 = N,N′-naphthalene-1,4-diylbis(4-methoxybenzenesulfonamide)) was acquired from the Protein Data Bank (https://www.rcsb.org/) (accessed on 16 June 2024) [65]. The crystallographic structure of Nuclear factor erythroid 2-related factor 2 (Nrf2) was then obtained from the Protein Data Bank with PDB ID: 2FLU [27] (Figure 9). Protein preparation was conducted using the Protein Preparation Wizard (PPW) tool in Maestro v.11.2 (Maestro, Schrödinger, LLC, New York, NY, USA) [66]. The PPW tool involves a three-step process: importing and refining, reviewing and modifying, and optimizing and minimizing the protein structure. Initially, the protein underwent preprocessing steps, including the addition of hydrogen atoms, removal of solvent molecules beyond 5 Å from the hetero group, and generation of ligand states using Epik at pH 7.0 (+/−2) via AutoDock Tools 4.2.6 software [67]. Subsequently, the protein was minimized with an RMSD allocation of 0.30 Å using the OPLS3e force fields [68].
Figure 9.
The three-dimensional structures of the Keap1 macromolecule bound to the Cpd16 inhibitor (left) and to Nrf2 (right).
4.3. Ligand-Receptor Molecular Docking
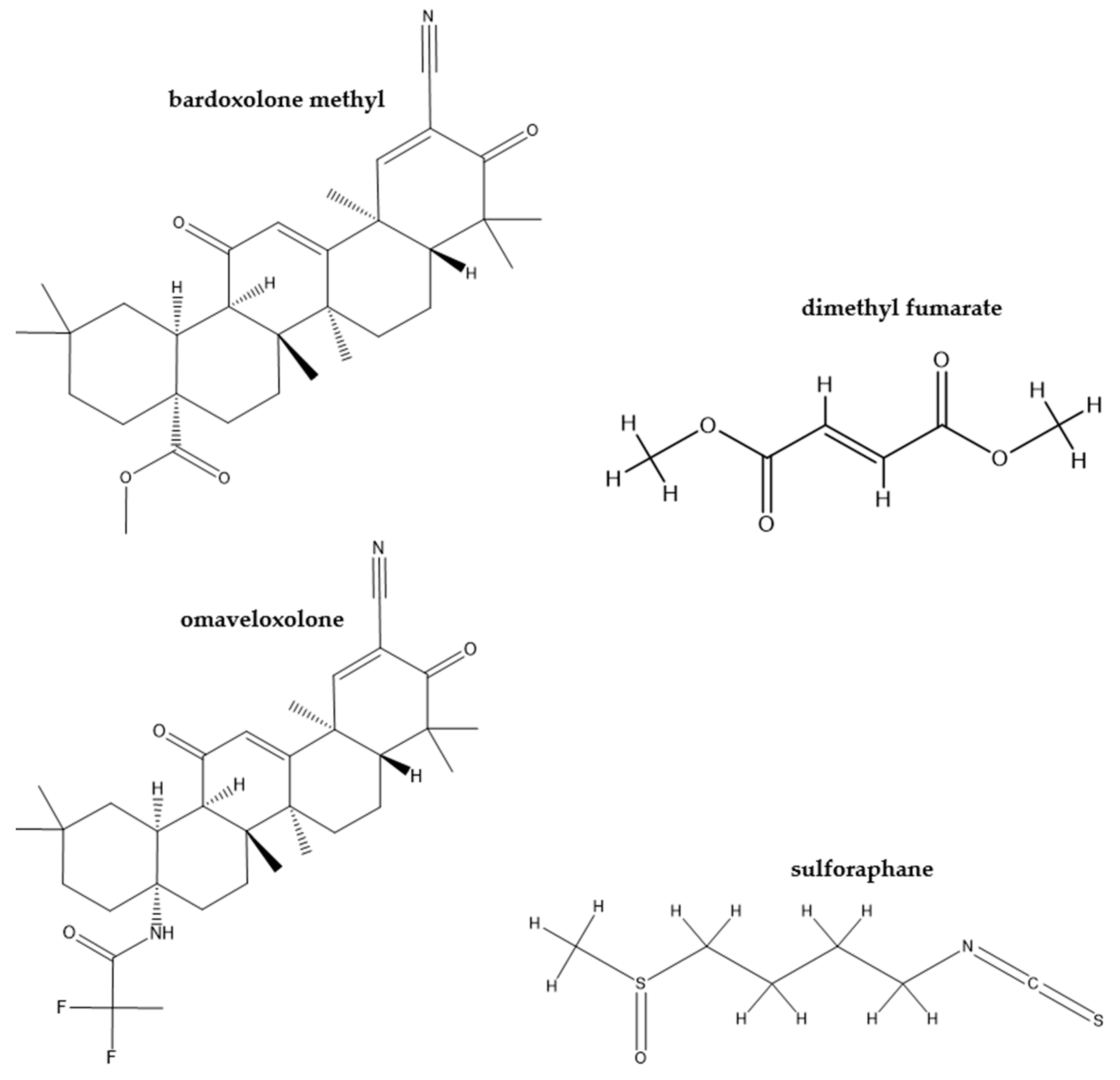
AutoDock Tools 4.2.6 was employed to conduct molecular docking, aligning ligands’ energy-minimized three-dimensional structures with target proteins’ energy-minimized structures [67]. The prepared ligands in .pdb format were converted to pdbqt format using the Python script prepare_ligand4.py version 3.13.1. from AutoDock Tools 4.2.6. Similarly, the energy-minimized structure of Keap1, Nrf2, and the ligands (apigenin, genistein, gossypetin, kaempferol, luteolin, phloretin, and quercetin) in .pdb format were converted to .pdbqt format using the Python script prepare_receptor4.py from AutoDock Tools 4.2.6. In this molecular docking study, comparators such as bardoxolone methyl (PubChem CID: 400769), dimethyl fumarate (PubChem CID: 637568), omaveloxolone (PubChem CID: 71811910), and sulforaphane (PubChem CID: 5350) were used to evaluate the binding effectiveness of the test ligands (Figure 10) [7,69]. For protein−ligand docking, the appropriate grid box was manually determined based on the search space center and size for both the protein and ligand, considering key residues crucial for the function and specificity of the proteases. For Keap1, the grid box was defined with a search space center of (−47.843, 4.168, −12.971) and a search space size of 64 Å × 60 Å × 60 Å. The molecular docking of the prepared ligands with the target protein was conducted using AutoDock Tools 4.2.6, employing the Lamarckian Genetic Algorithm (LGA) with 100 conformation searches. The best-docked pose, characterized by the lowest binding energy, was selected from the output of AutoDock Tools 4.2.6. Finally, the combined structure file in .pdb format of the docked protein−ligand complex, with the ligand in the best-docked pose, was analyzed using the Discovery Studio 2019 program [70,71].
Figure 10.
Characteristics of the reference compounds that exhibit activity against the Keap1-Nrf2 pathway.
4.4. Discovery of Interactions Ligand-Receptor
We examined the combined structure file of the docked protein−ligand complex to identify residues in the protein that interact with the ligand and the various non-covalent interactions facilitating ligand binding [72]. These non-covalent interactions were analyzed using specific geometric criteria for each interaction type: (1) Binding site Residues: Amino acids in the protein with at least one non-hydrogen atom in proximity to at least one non-hydrogen atom of the ligand were considered binding site residues. The proximity between non-hydrogen atoms of the protein and ligand was determined using a distance cutoff equal to the sum of their van der Waals radii plus 0.5Å. (2) Hydrogen bonds: For hydrogen bonds of type D-H⋯A, the accepted geometric criteria include the following: (i) the distance between the hydrogen (H) and acceptor (A) atoms should be less than the sum of their van der Waals radii, ideally around 3.5 Å or strictly less than 3.9 Å to avoid overestimation, and (ii) the angle formed by the donor (D), H, and A should ideally be greater than 100°, as suggested by some studies, instead of the commonly used 90° [73,74]. Donor atoms can be carbon (C), nitrogen (N), oxygen (O), or sulfur (S), while acceptor atoms can be N, O, or S. (3) Hydrophobic interactions: Geometric criteria for hydrophobic interactions between atoms in the protein and ligand were as follows: (i) the distance between a carbon atom in the protein or ligand and a carbon, halogen, or sulfur atom in the ligand or protein, respectively, should be less than or equal to 4 Å, and (ii) the involved atoms in a hydrophobic interaction should not form hydrogen, chalcogen, or halogen bonds between them.
4.5. Ligand-Receptor Molecular Dynamics
Utilizing OpenMM with the OPLS4 (Optimized Potentials for Liquid Simulations) force field, we conducted molecular dynamics (MD) simulations for the best ligand conformations against Keap1 to evaluate the stability of their protein−ligand complexes [75,76]. The Automated Topology Builder (ATB) version 3.0 (https://atb.uq.edu.au/) (accessed on 10 July 2024) was employed to generate topology for the ligands [77]. The protein−ligand complex was centered in a cubic periodic box and solvated by adding simple point charge (SPC) waters. Subsequently, the system’s net charge was neutralized by adding Na+ and Cl− ions. Energy minimization was performed using the steepest descent algorithm. The system was then heated to 310 K through a constant number of particles, volume, and temperature (NVT) simulation for 50 ns with a 2 fs time step. Pressure equilibration to 1 bar was achieved using a constant number of particles, pressure, and temperature (NPT) simulation for 50 ns with a 2 fs time step. During both simulations, the protein and ligand were restrained. The position restraint was removed, and a production MD run was executed for 500 ns with a 2 fs time step. Structural coordinates were saved every 2 ps during the MD simulation. The temperature was maintained at 310 K using the v-rescale temperature method, while the pressure was kept at 1 bar using the Parrinello−Rahman pressure coupling method [78]. Time constants for temperature and pressure coupling were set to 0.1 ps and 2 ps, respectively. Short-range interactions were calculated for atom pairs within a cutoff of 1.4 nm, while long-range electrostatic interactions were computed using the Particle mesh Ewald (PME) method with fourth-order cubic interpolation and a 0.16 nm grid spacing [79]. All bonds were constrained using the LINCS method. Trajectories obtained from the MD simulations were subsequently utilized to compute and analyze the root mean square deviation (RMSD), root mean square fluctuation (RMSF), and radius of gyration of the protein (Rg) using OpenMM scripts.
4.6. MM-GBSA Calculation
The Molecular Mechanics with Generalized Born and Surface Area Solvation (MM-GBSA) method was employed to calculate the binding energy of interactions between the protein−ligand complexes involving selected ligands from molecular docking results against Keap1 [80]. From the 500 ns trajectory, 100 snapshots were extracted at intervals of 5 ns, spanning from the beginning to the end of the simulation. The binding energy was computed using OpenMM-GBSA [81]. This method calculates the Gibbs free energy of binding (ΔGbinding) using the MM-GBSA approach, represented by the equation:
where Gcomplex, Gprotein, and Gligand denote the total binding energy of the protein−ligand complex, the free protein, and the unbound ligand, respectively. In the MM-GBSA method, the Gibbs free energy values for the proteinligand complex (Gcomplex), free protein (Gprotein), and free ligand (Gligand) are obtained through molecular dynamics simulations. The energy for the protein−ligand complex is accounted for by running simulations on the complex, while the energies for the protein and ligand are calculated separately to capture the behavior of each component. Here, Gcomplex, Gprotein, and Gligand represent the total binding energy of the protein−ligand complex, the energy of the free protein, and the energy of the unbound ligand, respectively. These simulations incorporate the effects of solvation and electrostatic interactions, providing results that reflect actual biological conditions. This energy is then used to estimate the binding energy, which gives an indication of the stability of the interaction between the protein and ligand [14].
ΔGbinding = Gcomplex − (Gprotein + Gligand)
4.7. Peptide-Receptor Molecular Docking
Peptide-receptor docking was performed between Nrf2 and the best ligand−receptor complexes identified from molecular dynamics simulations to see how well each ligand−Keap1 complex interacts with Nrf2. We used DockThor (a receptor−ligand docking program) webserver to analyze these interactions, which focuses on matching the shapes of molecular surfaces to find the best initial docking solutions [28]. The default clustering RMSD of 2.0 Å was applied, with a focus on peptide−receptor interactions. DockThor generated detailed surface representations of the molecules, classifying them into different types of patches. The top solutions were then refined and reassessed, with the side-chain interfaces of the top 100 candidates being re-evaluated. Adjustments were made to the relative orientations of the molecules, allowing some flexibility in side-chains while keeping the rest of the structure rigid. The results of the peptide-receptor docking were analyzed using the total energy, and the interactions and bindings of the docked structures were visualized using Discovery Studio 2019 software [70].
4.8. Role of Physiochemical Properties in ADMET
In silico methodologies were used to predict the absorption, distribution, metabolism, excretion, and toxicity (ADMET) properties of ligands and their impurities, supporting the quality assessment of medications. SwissADME (http://www.swissadme.ch/) (accessed on 22 August 2024) and pkCSM (https://biosig.lab.uq.edu.au/pkcsm/) (accessed on 22 August 2024) servers were employed to predict the ADMET properties associated with the ligands [82].
4.9. Functional Frontiers Molecular Orbitals (FMOs)
The ground-state molecular structure of the studied molecule was determined using Density Functional Theory (DFT) with the B3LYP/6-31G model. B3LYP stands for Becke’s three-parameter exchange function combined with the Lee–Yang–Parr correlation functional, a widely trusted method in quantum chemistry due to its accuracy. The initial molecular geometry was generated from experimental single-crystal X-ray data. Vibrational frequencies were derived from optimized structural parameters using the same computational method (B3LYP and 6-31G basis set). All Frontiers Molecular Orbitals (FMOs) calculations were performed using Gaussian 09W software, and Gauss View 6 was utilized to visualize the optimized geometry, HOMO-LUMO, molecular electrostatic potential (MEP), and vibrational band assignments [43].
5. Conclusions
Molecular modeling simulations of the Keap1 and Nrf2 receptors (PDB codes: 4IQK and 2FLU, respectively) reveal that apigenin shows promising potential as an Nrf2 activator for Long COVID-19 therapy, with a favorable ΔG value of −6.40 kcal/mol. The 500 ns molecular dynamics (MD) simulation results demonstrate that apigenin maintains good stability, with an average RMSD fluctuation value of <0.20 nm and the lowest RMSF value of 0.86 nm, indicating superior affinity. MM-GBSA calculations further confirm the 4IQK-apigenin complex has the lowest free energy (ΔG) at −67.039 kJ/mol. Additionally, radius of gyration (Rg) and solvent-accessible surface area (SASA) analyses reveal that the protein molecules adopt flexible and compact conformations. Apigenin also exhibits the ability to inhibit the binding of Nrf2 to the hydrophobic surface of Keap1, with a total energy value of 993.266 kcal/mol and binding affinity value of −1.162 kJ/mol, as observed through peptide-receptor docking. In terms of drug-likeness, apigenin complies with all of Lipinski’s Rule of Five. ADMET predictions indicate less favorable absorption but demonstrate good distribution and metabolism profiles. Finally, in several parts of the results, apigenin demonstrated superior performance compared to the Cpd16 compound, particularly in protein−protein docking. Cpd16 was unable to effectively inhibit the attachment of Nrf2 to the surface of Keap1, highlighting apigenin potential as a more effective modulator of the Keap Nrf2 pathway.
Author Contributions
M.M. and R.P. compiled and designed experiments, analyzed data, and corrected the script; S.A.A. and S.S. performed experiments, collected data, and compiled the script; M.M., R.P. and T.M.F. analyzed the data and corrected the script; and M.M., R.P., S.A.A., R.F.N., N.K.K.I. and T.M.F. corrected the manuscript. All authors have read and agreed to the published version of the manuscript.
Funding
Academic Leadership Grant with contract No. 1503/UN6.3.1/PT.00/2024, Universitas Padjadjaran, Indonesia.
Institutional Review Board Statement
Not applicable.
Informed Consent Statement
Not applicable.
Data Availability Statement
The original contributions presented in the study are included in the article, further inquiries can be directed to the corresponding author.
Acknowledgments
All authors acknowledge the 6th ISPST and 15th Annual ISCC 2024 Committee of Universitas Padjadjaran which facilitated the preparation of this manuscript including help with English proofreading. We would like to acknowledge the Indonesia Endowment Fund for Education (LPDP) under the Ministry of Finance, Republic of Indonesia, for its scholarship funding support.
Conflicts of Interest
The authors declare that they have no conflicts of interest related to the contents of this article.
Abbreviations
The following abbreviations are used in this manuscript:
| PASC | Post-Acute Sequelae of SARS-CoV-2 Infection |
| Nrf2 | Nuclear Factor Erythroid-2 |
| MD | Molecular Dynamics |
| RMSD | Root Mean Square Deviation |
| RMSF | Root Mean Square Fluctuation |
| RG | Radius of Gyration |
| SASA | Solvent-Accessible Surface Area |
| MM-GBSA | Molecular Mechanics with Generalized Born and Surface Area Solvation |
| CADD | Computer-Aided Drug Design |
| FMO | Frontiers Molecular Orbitals |
| HOMO | Highest Occupied Molecular Orbital |
| LUMO | Lowest Unoccupied Molecular Orbital |
| COVID-19 | Coronavirus Disease |
| WHO | World Health Organization |
| SARS-CoV-2 | Severe Acute Respiratory Syndrome Virus |
| ROS | Oxidative Stress |
| ARE | Antioxidant Response Element |
| GI | Gastrointestinal |
| BBB | Blood−Brain Barrier |
| CNS | Central Nervous System |
| P-gp | Glycoprotein |
| ABC | ATP-Binding Cassette |
| MRTD | Maximum Recommended Therapeutic Dose |
| LD50 | Lethal Dose Estimates |
| BTB | Broad Complex-Tramtrack-Bric a Brac |
| IVR | Intervening Region |
| DGR | Glycine Repeat |
References
- Mboussou, F.; Farham, B.; Nsasiirwe, S.; Atagbaza, A.; Oyaole, D.; Atuhebwe, P.L.; Alegana, V.; Osei-Sarpong, F.; Bwaka, A.; Paluku, G.; et al. COVID-19 Vaccination in the WHO African Region: Progress Made in 2022 and Factors Associated. Vaccines 2023, 11, 1010. [Google Scholar] [CrossRef]
- Xu, X.; Deng, Y.; Ding, J.; Zheng, X.; Li, S.; Liu, L.; Chui, H.K.; Poon, L.L.M.; Zhang, T. Real-time allelic assays of SARS-CoV-2 variants to enhance sewage surveillance. Water Res. 2022, 220, 118686. [Google Scholar] [CrossRef]
- Alimohamadi, Y.; Sepandi, M.; Taghdir, M.; Hosamirudsari, H. Determine the most common clinical symptoms in COVID-19 patients: A systematic review and meta-analysis. J. Prev. Med. Hyg. 2020, 61, E304–E312. [Google Scholar] [CrossRef] [PubMed]
- Sylvester, S.V.; Rusu, R.; Chan, B.; Bellows, M.; O’Keefe, C.; Nicholson, S. Sex differences in sequelae from COVID-19 infection and in long COVID syndrome: A review. Curr. Med. Res. Opin. 2022, 38, 1391–1399. [Google Scholar] [CrossRef] [PubMed]
- Wang, Y.; Ma, J.; Jiang, Y. Transcription factor Nrf2 as a potential therapeutic target for COVID-19. Cell Stress. Chaperones 2023, 28, 11–20. [Google Scholar] [CrossRef] [PubMed]
- He, F.; Ru, X.; Wen, T. NRF2, a Transcription Factor for Stress Response and Beyond. Int. J. Mol. Sci. 2020, 21, 4777. [Google Scholar] [CrossRef] [PubMed]
- Dinkova-Kostova, A.T.; Copple, I.M. Advances and challenges in therapeutic targeting of NRF2. Trends Pharmacol. Sci. 2023, 44, 137–149. [Google Scholar] [CrossRef]
- Raghunath, A.; Sundarraj, K.; Nagarajan, R.; Arfuso, F.; Bian, J.; Kumar, A.P.; Sethi, G.; Perumal, E. Antioxidant response elements: Discovery, classes, regulation and potential applications. Redox Biol. 2018, 17, 297–314. [Google Scholar] [CrossRef] [PubMed]
- Hosseinpour, A.; Daneshzad, E.; Dezfouli, R.A.; Zamani, S.; Qorbani, M. The Association Between Antioxidants and COVID-19 Outcomes: A Systematic Review on Observational Studies. Biol. Trace Elem. Res. 2023, 201, 5098–5114. [Google Scholar] [CrossRef]
- Flora, D.E.; Balansky, R.; LA Maestra, S. Antioxidants and COVID-19. J. Prev. Med. Hyg. 2021, 62, E34–E45. [Google Scholar] [CrossRef]
- Hossain, M.A.; Rahman, M.H.; Sultana, H.; Ahsan, A.; Rayhan, S.I.; Hasan, M.I.; Sohel, M.; Somadder, P.D.; Moni, M.A. An integrated in-silico Pharmaco-BioInformatics approaches to identify synergistic effects of COVID-19 to HIV patients. Comput. Biol. Med. 2023, 155, 106656. [Google Scholar] [CrossRef]
- Hidayah, H.; Widyaningsih, A.; Pangestu, A.D.; Dewi, S.R. Literatur Riview: Flavonoid Activity as an Anti-Cancer Compound. MAHESA Malahayati Health Stud. J. 2023, 3, 9. [Google Scholar] [CrossRef]
- Sarkar, A.; Mukherjee, S.; Sarkar, D.; Thakur, S.; Nandy, S. Molecular Docking Analysis of Phytochemicals from Tinospora Cordifolia as Potential Inhibitor against SARS-CoV-2. Int. J. Appl. Sci. Eng. 2023, 11, 439–446. [Google Scholar] [CrossRef]
- Lazniewski, M.; Dermawan, D.; Hidayat, S.; Muchtaridi, M.; Dawson, W.K.; Plewczynski, D. Drug repurposing for identification of potential spike inhibitors for SARS-CoV-2 using molecular docking and molecular dynamics simulations. Methods 2022, 203, 498–510. [Google Scholar] [CrossRef] [PubMed]
- Khalil, A.; Tazeddinova, D. The upshot of Polyphenolic compounds on immunity amid COVID-19 pandemic and other emerging communicable diseases: An appraisal. Nat. Prod. Bioprospect 2020, 10, 411–429. [Google Scholar] [CrossRef] [PubMed]
- Uto, T.; Ikeda, Y.; Sunagawa, N.; Tajima, K.; Yao, M.; Yui, T. Molecular Dynamics Simulation of Cellulose Synthase Subunit D Octamer with Cellulose Chains from Acetic Acid Bacteria: Insight into Dynamic Behaviors and Thermodynamics on Substrate Recognition. J. Chem. Theory Comput. 2021, 17, 488–496. [Google Scholar] [CrossRef] [PubMed]
- Muchtaridi, M.; Triwahyuningtyas, D.; Muhammad Fakih, T.; Megantara, S.; Choi, S.B. Mechanistic insight of α-mangostin encapsulation in 2-hydroxypropyl-β-cyclodextrin for solubility enhancement. J. Biomol. Struct. Dyn. 2024, 42, 3223–3232. [Google Scholar] [CrossRef] [PubMed]
- Hikmawati, D.; Fakih, T.M.; Sutedja, E.; Dwiyana, R.F.; Atik, N.; Ramadhan, D.S.F. Pharmacophore-guided virtual screening and dynamic simulation of Kallikrein-5 inhibitor: Discovery of potential molecules for rosacea therapy. Inform. Med. Unlocked 2022, 28, 100844. [Google Scholar] [CrossRef]
- Syaban, M.; Faratisha, I.; Yunita, K.; Budi, D.; Putra, G. Molecular Docking and Interaction Analysis of Propolis Compounds Against SARS-CoV-2 Receptor. J. Trop. Life Sci. 2022, 12, 219–230. [Google Scholar] [CrossRef]
- Forli, S.; Huey, R.; Pique, M.E.; Sanner, M.F.; Goodsell, D.S.; Olson, A.J. Computational protein–ligand docking and virtual drug screening with the AutoDock suite. Nat. Protoc. 2016, 11, 905–919. [Google Scholar] [CrossRef]
- Pantsar, T.; Poso, A. Binding affinity via docking: Fact and fiction. Molecules 2018, 23, 1899. [Google Scholar] [CrossRef] [PubMed]
- Varma, A.K.; Patil, R.; Das, S.; Stanley, A.; Yadav, L.; Sudhakar, A. Optimized hydrophobic interactions and hydrogen bonding at the target-ligand interface leads the pathways of Drug-Designing. PLoS ONE 2010, 5, e12029. [Google Scholar] [CrossRef]
- Sang, P.; Chen, Y.Q.; Liu, M.T.; Wang, Y.T.; Yue, T.; Li, Y.; Yin, Y.R.; Yang, L.Q. Electrostatic Interactions Are the Primary Determinant of the Binding Affinity of SARS-CoV-2 Spike RBD to ACE2: A Computational Case Study of Omicron Variants. Int. J. Mol. Sci. 2022, 23, 14796. [Google Scholar] [CrossRef]
- Li, D.; Luan, J.; Zhang, L. Molecular docking of potential SARS-CoV-2 papain-like protease inhibitors. Biochem. Biophys. Res. Commun. 2021, 538, 72–79. [Google Scholar] [CrossRef]
- Yuniarta, T.A.; Sumartha, I.G.A.; Fakih, T.M.; Handayani, R.; Ramadhan, D.S.F. Discovery of Potential Prolyl-tRNA Synthetase Allosteric Inhibitor Through Virtual Screening and In Vitro Assay against Plasmodium falciparum. Jordan. J. Pharm. Sci. 2023, 16, 880–900. [Google Scholar] [CrossRef]
- Medina-Barandica, J.; Contreras-Puentes, N.; Tarón-Dunoyer, A.; Durán-Lengua, M.; Alviz-Amador, A. In-silico study for the identification of potential destabilizers between the spike protein of SARS-CoV-2 and human ACE-2. Inform. Med. Unlocked 2023, 40, 101278. [Google Scholar] [CrossRef]
- Lo, S.C.; Li, X.; Henzl, M.T.; Beamer, L.J.; Hannink, M. Structure of the Keap1:Nrf2 interface provides mechanistic insight into Nrf2 signaling. EMBO J. 2006, 25, 3605–3617. [Google Scholar] [CrossRef] [PubMed]
- Guedes, I.A.; Costa, L.S.C.; dos Santos, K.B.; Karl, A.L.M.; Rocha, G.K.; Teixeira, I.M.; Galheigo, M.M.; Medeiros, V.; Krempser, E.; Cust?dio, F.L.; et al. Drug design and repurposing with DockThor-VS web server focusing on SARS-CoV-2 therapeutic targets and their non-synonym variants. Sci. Rep. 2021, 11, 5543. [Google Scholar] [CrossRef]
- Huang, Y.; Yang, W.; Yang, L.; Wang, T.; Li, C.; Yu, J.; Zhang, P.; Yin, Y.; Li, R.; Tao, K. Nrf2 inhibition increases sensitivity to chemotherapy of colorectal cancer by promoting ferroptosis and pyroptosis. Sci. Rep. 2023, 13, 14359. [Google Scholar] [CrossRef]
- Eurtivong, C.; Choowongkomon, K.; Ploypradith, P.; Ruchirawat, S. Molecular docking study of lamellarin analogues and identification of potential inhibitors of HIV-1 integrase strand transfer complex by virtual screening. Heliyon 2019, 5, e02811. [Google Scholar] [CrossRef]
- Daina, A.; Zoete, V. A BOILED-Egg To Predict Gastrointestinal Absorption and Brain Penetration of Small Molecules. ChemMedChem 2016, 11, 1117–1121. [Google Scholar] [CrossRef]
- Pires, D.E.V.; Blundell, T.L.; Ascher, D.B. pkCSM: Predicting Small-Molecule Pharmacokinetic and Toxicity Properties Using Graph-Based Signatures. J. Med. Chem. 2015, 58, 4066–4072. [Google Scholar] [CrossRef]
- Kalasariya, H.S.; Patel, N.B.; Gacem, A.; Alsufyani, T.; Reece, L.M.; Yadav, V.K.; Awwad, N.S.; Ibrahium, H.A.; Ahn, Y.; Yadav, K.K.; et al. Marine Alga Ulva fasciata-Derived Molecules for the Potential Treatment of SARS-CoV-2: An In Silico Approach. Mar. Drugs 2022, 20, 586. [Google Scholar] [CrossRef] [PubMed]
- Udugade, S.; Tare, H.; Udugade, B.; Wakale, V.; Pulate, C. in silico Analysis of 4-((1-(3-Nitrophenyl)-5-oxo-3-phenyl-4,5-dihydro-1H-pyrazol-4-yl)methyl)benzoic Acid: An Emerging 3-CLpro Non-peptidic Inhibitors for COVID-19. Asian J. Org. Med. Chem. 2022, 7, 137–142. [Google Scholar] [CrossRef]
- Yeni, Y.; Rachmania, R.A. The Prediction of Pharmacokinetic Properties of Compounds in Hemigraphis alternata (Burm. F.) T. Ander Leaves Using pkCSM. Indones. J. Chem. 2022, 22, 1081–1089. [Google Scholar] [CrossRef]
- Allemailem, K.S.; Almatroudi, A.; Alharbi, H.O.A.; AlSuhaymi, N.; Alsugoor, M.H.; Aldakheel, F.M.; Khan, A.A.; Rahmani, A.H. Apigenin: A Bioflavonoid with a Promising Role in Disease Prevention and Treatment. Biomedicines 2024, 12, 1353. [Google Scholar] [CrossRef]
- Tsiailanis, A.D.; Tellis, C.C.; Papakyriakopoulou, P.; Kostagianni, A.D.; Gkalpinos, V.; Chatzigiannis, C.M.; Kostomitsopoulos, N.; Valsami, G.; Tselepis, A.D.; Tzakos, A.G. Development of a Novel Apigenin Dosage form as a Substitute for the Modern Triple Antithrombotic Regimen. Molecules 2023, 28, 2311. [Google Scholar] [CrossRef] [PubMed]
- Khotimah, H.; Jatmiko, W.; Azizah, D.N.; Rahmaniar, A.A.; Nugraeni, Y.; Rach-mawati, R.; Fuadiy, D. Prediction of drug candidate from Rosmarinus officinalis L to inhibit IL-6R, IL-1R1, and TNF-α: In silico study. World J. Adv. Res. Rev. 2024, 21, 252–260. [Google Scholar] [CrossRef]
- Kar, S.S.; Thomas, C.A. Strategically Placed Trifluoromethyl Substituent in the Realm of Antitubercular Drug Design. Curr. Drug Ther. 2018, 14, 114–123. [Google Scholar] [CrossRef]
- Tripathi, P.; Ghosh, S.; Talapatra, S.N. Bioavailability Prediction of Phytochemicals Present in Calotropis Procera (Aiton) R. Br. by Using Swiss-ADME Tool. 2019. Available online: http://www.swissadme.ch/ (accessed on 22 August 2024).
- Setyawati, L.U.; Binti Parlan, F.I.H.; Khairul Ikram, N.K.; Yusuf, M.; Muchtaridi, M. Molecular Dynamic Simulation and 3d-pharmacophore Modeling of Alpha Mangostin and Its Derivatives against Estrogen Alpha Receptor. Lett. Drug Des. Discov. 2023, 21, 1103–1119. [Google Scholar] [CrossRef]
- Arab, F.L.; Hoseinzadeh, A.; Mohammadi, F.S.; Rajabian, A.; Faridzadeh, A.; Mahmoudi, M. Immunoregulatory effects of nanocurcumin in inflammatory milieu: Focus on COVID-19. Biomed. Pharmacother. 2024, 171, 116131. [Google Scholar] [CrossRef]
- Yu, J.; Su, N.Q.; Yang, W. Describing Chemical Reactivity with Frontier Molecular Orbitalets. JACS Au 2022, 2, 1383–1394. [Google Scholar] [CrossRef]
- Sucheta, M.; Pramod, A.G.; Zikriya, M.; Mohammed Salma, K.; Venugopal, N.; Chaithra, R.; Harshitha, D.; Amudan, S.; Renuka, C.G.; Murthy, S. Frontier molecular orbital, molecular structure and Thermal properties of 2,4,6,8-tetramethyl-2,3,6,7-tetrahydro-s-indacene-1,5-dione using DFT calculation. Mater. Today Proc. 2022, 62, 5241–5244. [Google Scholar] [CrossRef]
- Geerlings, P.; De Proft, F. Chemical Reactivity as Described by Quantum Chemical Methods. Int. J. Mol. Sci. 2002, 3, 276–309. [Google Scholar] [CrossRef]
- Ríos-Gutiérrez, M.; Saz Sousa, A.; Domingo, L.R. Electrophilicity and nucleophilicity scales at different DFT computational levels. J. Phys. Org. Chem. 2023, 36, e4503. [Google Scholar] [CrossRef]
- Domingo, L.R.; Ríos-Gutiérrez, M.; Pérez, P. Applications of the Conceptual Density Functional Theory Indices to Organic Chemistry Reactivity. Molecules 2016, 21, 748. [Google Scholar] [CrossRef] [PubMed]
- Furukawa, M.; He, Y.J.; Borchers, C.; Xiong, Y. Targeting of protein ubiquitination by BTB-Cullin 3-Roc1 ubiquitin ligases. Nat. Cell Biol. 2003, 5, 1001–1007. [Google Scholar] [CrossRef] [PubMed]
- Bellezza, I.; Giambanco, I.; Minelli, A.; Donato, R. Nrf2-Keap1 signaling in oxidative and reductive stress. Biochim. Biophys. Acta—Mol. Cell Res. 2018, 1865, 721–733. [Google Scholar] [CrossRef] [PubMed]
- Guan, T.; Bian, C.; Ma, Z. In vitro and in silico perspectives on the activation of antioxidant responsive element by citrus-derived flavonoids. Front. Nutr. 2023, 10, 1257172. [Google Scholar] [CrossRef]
- Huang, W.; Zhong, Y.; Gao, B.; Zheng, B.; Liu, Y. Nrf2-mediated therapeutic effects of dietary flavones in different diseases. Front. Pharmacol. 2023, 14, 1240433. [Google Scholar] [CrossRef]
- Mendonca, P.; Soliman, K.F.A. Flavonoids Activation of the Transcription Factor Nrf2 as a Hypothesis Approach for the Prevention and Modulation of SARS-CoV-2 Infection Severity. Antioxidants 2020, 9, 659. [Google Scholar] [CrossRef] [PubMed]
- Bardelčíková, A.; Miroššay, A.; Šoltýs, J.; Mojžiš, J. Therapeutic and prophylactic effect of flavonoids in post-COVID-19 therapy. Phytother. Res. 2022, 36, 2042–2060. [Google Scholar] [CrossRef] [PubMed]
- Selim, S.; Albqmi, M.; Alanazi, A.; Alruwaili, Y.; Al-Sanea, M.M.; Alnusaire, T.S.; Almuhayawi, M.S.; Al Jaouni, S.K.; Hussein, S.; Warrad, M.; et al. Antiviral activities of olive oil apigenin and taxifolin against SARS-CoV-2 RNA-dependent RNA polymerase (RdRP): In silico, pharmacokinetic, ADMET, and in-vitro approaches. Cogent Food Agric. 2023, 9, 2236828. [Google Scholar] [CrossRef]
- Dodson, M.; Redmann, M.; Rajasekaran, N.S.; Darley-Usmar, V.; Zhang, J. KEAP1-NRF2 signalling and autophagy in protection against oxidative and reductive proteotoxicity. Biochem. J. 2015, 469, 347–355. [Google Scholar] [CrossRef] [PubMed]
- Yang, M.; Jiang, Z.; Li, C.; Zhu, Y.; Li, Z.; Tang, Y.; Ni, C. Apigenin prevents metabolic syndrome in high-fructose diet-fed mice by Keap1-Nrf2 pathway. Biomed. Pharmacother. 2018, 105, 1283–1290. [Google Scholar] [CrossRef]
- Perez-Leal, O.; Barrero, C.A.; Merali, S. Pharmacological stimulation of nuclear factor (erythroidderived 2)-like 2 translation activates antioxidant responses. J. Biol. Chem. 2017, 292, 14108–14121. [Google Scholar] [CrossRef] [PubMed]
- Golonko, A.; Olichwier, A.J.; Swislocka, R.; Szczerbinski, L.; Lewandowski, W. Why Do Dietary Flavonoids Have a Promising Effect as Enhancers of Anthracyclines? Hydroxyl Substituents, Bioavailability and Biological Activity. Int. J. Mol. Sci. 2023, 24, 391. [Google Scholar] [CrossRef] [PubMed]
- Auti, P.S.; Jagetiya, S.; Paul, A.T. Chromone Containing Hybrid Analogs: Synthesis and Applications in Medicinal Chemistry. Chem. Biodivers. 2023, 20, e202300587. [Google Scholar] [CrossRef]
- Mushtaq, Z.; Sadeer, N.B.; Hussain, M.; Mahwish; Alsagaby, S.A.; Imran, M.; Mumtaz, T.; Umar, M.; Tauseef, A.; Al Abdulmonem, W.; et al. Therapeutical properties of apigenin: A review on the experimental evidence and basic mechanisms. Int. J. Food Prop. 2023, 26, 1914–1939. [Google Scholar] [CrossRef]
- Liu, W.-N.; Shi, J.; Fu, Y.; Zhao, X.-H. The Stability and Activity Changes of Apigenin and Luteolin in Human Cervical Cancer Hela Cells in Response to Heat Treatment and Fe2+/Cu2+ Addition. Foods 2019, 8, 346. [Google Scholar] [CrossRef]
- Leopoldini, M.; Pitarch, I.P.; Russo, N.; Toscano, M. Structure, Conformation, and Electronic Properties of Apigenin, Luteolin, and Taxifolin Antioxidants. A First Principle Theoretical Study. J. Phys. Chem. A 2004, 108, 92–96. [Google Scholar] [CrossRef]
- Kim, S.; Chen, J.; Cheng, T.; Gindulyte, A.; He, J.; He, S.; Li, Q.; Shoemaker, B.A.; Thiessen, P.A.; Yu, B.; et al. PubChem 2023 update. Nucleic Acids Res 2023, 51, D1373–D1380. [Google Scholar] [CrossRef] [PubMed]
- Giannozzi, P.; Baseggio, O.; Bonf, P.; Brunato, D.; Car, R.; Carnimeo, I.; Cavazzoni, C.; De Gironcoli, S.; Delugas, P.; Ferrari Ruffino, F.; et al. Quantum ESPRESSO toward the exascale. J. Chem. Phys. 2020, 152, 154105. [Google Scholar] [CrossRef] [PubMed]
- Marcotte, D.; Zeng, W.; Hus, J.C.; McKenzie, A.; Hession, C.; Jin, P.; Bergeron, C.; Lugovskoy, A.; Enyedy, I.; Cuervo, H.; et al. Small molecules inhibit the interaction of Nrf2 and the Keap1 Kelch domain through a non-covalent mechanism. Bioorg. Med. Chem. 2013, 21, 4011–4019. [Google Scholar] [CrossRef] [PubMed]
- Melavanki, R.; Sharma, K.; Yallur, B.C.; Kusanur, R.; Sadasivuni, K.K.; Singh, D.; Mane, S.; Katagi, K.; Pattar, S.V. Understanding the binding interaction between phenyl boronic acid P1 and sugars: Determination of association and dissociation constants using S-V plots, steady-state spectroscopic methods and molecular docking. Luminescence 2021, 36, 163–168. [Google Scholar] [CrossRef] [PubMed]
- Forli, W.; Halliday, S.; Belew, R.; Olson, A. AutoDock, Version 4.2; The Scripps Research Institute: La Jolla, CA, USA, 2012. Available online: https://autodock.scripps.edu/ (accessed on 18 June 2024).
- Roos, K.; Wu, C.; Damm, W.; Reboul, M.; Stevenson, J.M.; Lu, C.; Dahlgren, M.K.; Mondal, S.; Chen, W.; Wang, L.; et al. OPLS3e: Extending Force Field Coverage for Drug-Like Small Molecules. J. Chem. Theory Comput. 2019, 15, 1863–1874. [Google Scholar] [CrossRef]
- Hou, X.; Du, J.; Zhang, J.; Du, L.; Fang, H.; Li, M. How to improve docking accuracy of AutoDock4.2: A case study using different electrostatic potentials. J. Chem. Inf. Model. 2013, 53, 188–200. [Google Scholar] [CrossRef]
- Biovia. Dassault Systemes BIOVIA, Discovery Studio Modeling Environment, Release 2017; Dassault Systems: San Diego, CA, USA, 2017. [Google Scholar]
- Mardianingrum, R.; Yusuf, M.; Hariono, M.; Mohd Gazzali, A.; Muchtaridi, M. α-Mangostin and its derivatives against estrogen receptor alpha. J. Biomol. Struct. Dyn. 2022, 40, 2621–2634. [Google Scholar] [CrossRef]
- Budiman, A.; Fakih, T.M.; Megantara, S.; Muchtaridi, M.; Aulifa, D.L. Leveraging Non-Covalent Adaptable Networks to Stabilize Drug-Polymer Systems in Supersaturated Solutions: A Computational and Experimental Approach. Applied Sciences 2025, 15, 307. [Google Scholar] [CrossRef]
- Love, O.; Winkler, L.; Cheatham, T.E. van der Waals Parameter Scanning with Amber Nucleic Acid Force Fields: Revisiting Means to Better Capture the RNA/DNA Structure through MD. J. Chem. Theory Comput. 2024, 20, 625–643. [Google Scholar] [CrossRef]
- Tan, K.P.; Singh, K.; Hazra, A.; Madhusudhan, M.S. Peptide bond planarity constrains hydrogen bond geometry and influences secondary structure conformations. Curr. Res. Struct. Biol. 2021, 3, 1–8. [Google Scholar] [CrossRef] [PubMed]
- Eastman, P.; Swails, J.; Chodera, J.D.; McGibbon, R.T.; Zhao, Y.; Beauchamp, K.A.; Wang, L.P.; Simmonett, A.C.; Harrigan, M.P.; Stern, C.D.; et al. OpenMM 7: Rapid development of high performance algorithms for molecular dynamics. PLoS Comput. Biol. 2017, 13, e1005659. [Google Scholar] [CrossRef] [PubMed]
- Alzain, A.A.; Mukhtar, R.M.; Abdelmoniem, N.; Shoaib, T.H.; Osman, W.; Alsulaimany, M.; Aljohani, A.K.B.; Almadani, S.A.; Alsaadi, B.H.; Althubyani, M.M.; et al. Modulation of NRF2/KEAP1-Mediated Oxidative Stress for Cancer Treatment by Natural Products Using Pharmacophore-Based Screening, Molecular Docking, and Molecular Dynamics Studies. Molecules 2023, 28, 6003. [Google Scholar] [CrossRef]
- Stroet, M.; Caron, B.; Visscher, K.M.; Geerke, D.P.; Malde, A.K.; Mark, A.E. Automated Topology Builder Version 3.0: Prediction of Solvation Free Enthalpies in Water and Hexane. J. Chem. Theory Comput. 2018, 14, 5834–5845. [Google Scholar] [CrossRef] [PubMed]
- Shiga, M.; Sorai, M. Salinity Effect on the Interfacial Tension of CO2-Brine: Estimation and Investigation by Molecular Dynamics Simulations. In Proceedings of the International Petroleum Technology Conference, Bangkok, Thailand, 3 March 2023. [Google Scholar]
- Wang, H.; Gao, X.; Fang, J. Multiple Staggered Mesh Ewald: Boosting the Accuracy of the Smooth Particle Mesh Ewald Method. J. Chem. Theory Comput. 2016, 12, 5596–5608. [Google Scholar] [CrossRef] [PubMed]
- Genheden, S.; Ryde, U. The MM/PBSA and MM/GBSA methods to estimate ligand-binding affinities. Expert. Opin. Drug Discov. 2015, 10, 449–461. [Google Scholar] [CrossRef] [PubMed]
- Wang, K.W.; Lee, J.; Zhang, H.; Suh, D.; Im, W. CHARMM-GUI Implicit Solvent Modeler for Various Generalized Born Models in Different Simulation Programs. J. Phys. Chem. B 2022, 126, 7354–7364. [Google Scholar] [CrossRef]
- Kumar, N.; Singh, A.; Gulati, H.K.; Bhagat, K.; Kaur, K.; Kaur, J.; Dudhal, S.; Duggal, A.; Gulati, P.; Singh, H.; et al. Phytoconstituents from ten natural herbs as potent inhibitors of main protease enzyme of SARS-COV-2: In silico study. Phytomedicine Plus 2021, 1, 100083. [Google Scholar] [CrossRef] [PubMed]
Disclaimer/Publisher’s Note: The statements, opinions and data contained in all publications are solely those of the individual author(s) and contributor(s) and not of MDPI and/or the editor(s). MDPI and/or the editor(s) disclaim responsibility for any injury to people or property resulting from any ideas, methods, instructions or products referred to in the content. |
© 2025 by the authors. Licensee MDPI, Basel, Switzerland. This article is an open access article distributed under the terms and conditions of the Creative Commons Attribution (CC BY) license (https://creativecommons.org/licenses/by/4.0/).





















