Next Article in Journal
Time–Space Analysis of Transport Infrastructures: A Pilot Study of Shibuya-Type Crossings for Signalized Intersections in Developing Cities
Next Article in Special Issue
The Effectiveness of an Authentic E-Learning Environment for Deaf Learners
Previous Article in Journal
An HPLC and LC-MS Method for Analyzing 2,2′,4,4′,6,6′-Hexanitrostilbene
Previous Article in Special Issue
Effectiveness and Design of PBL-Based Project Approach for Non-Major University Computing Courses
 
 
Font Type:
Arial Georgia Verdana
Font Size:
Aa Aa Aa
Line Spacing:
Column Width:
Background:
Article

Digital Teaching Practices and Student Academic Stress in the Era of Digitalization in Higher Education

by
Roger Pedro Norabuena-Figueroa
1,
Angel Deroncele-Acosta
2,*,
Hugo Marino Rodríguez-Orellana
1,
Emerson Damián Norabuena-Figueroa
1,
Milagros Catalina Flores-Chinte
3,
Lourdes Liz Huamán-Romero
4,
Víctor Hilario Tarazona-Miranda
1 and
Marybel Esther Mollo-Flores
5
1
Departamento Académico de Estadística, Facultad de Ciencias Matemáticas, Universidad Nacional Mayor de San Marcos, Lima 15081, Peru
2
Doctorado en Educación, Escuela de Postgrado, Universidad San Ignacio de Loyola, Lima 15024, Peru
3
Departamento de Ciencias, Universidad Peruana de Ciencias Aplicadas, Lima 15023, Peru
4
Departamento Académico de Estadística, Facultad de Ciencias, Universidad Nacional Santiago Antúnez de Mayolo, Huaraz 02002, Peru
5
Carrera de Marketing, Facultad de Ciencias Empresariales y Económicas, Universidad de Lima, Lima 15023, Peru
*
Author to whom correspondence should be addressed.
Appl. Sci. 2025, 15(3), 1487; https://doi.org/10.3390/app15031487
Submission received: 5 January 2025 / Revised: 28 January 2025 / Accepted: 29 January 2025 / Published: 31 January 2025
(This article belongs to the Special Issue ICT in Education, 2nd Edition)

Abstract

ICT and digitization are transforming higher education, but one aspect that has been little addressed is student academic stress in this context. The objective of this research was to explore the relationship between teaching practices and academic stress in virtual learning environments. A quantitative study based on structural equation modeling was conducted using 6605 students from a public university in Lima. Two scales were applied and validated to assess specific dimensions of teaching practices and levels of academic stress. The scales demonstrated robust psychometric properties. Exploratory and confirmatory factor analysis allowed the identification of key underlying factors and the validation of the proposed theoretical model. Findings reveal indirect negative influences between teaching practices and academic stress. External factors like overload, distractions, and technological issues disrupt teacher interaction, collaboration, and learning processes. Model fit indices confirm its robustness, emphasizing the need to optimize resources and improve virtual education environments. ICT in education enhances accessibility and personalization but demands addressing academic stress and optimizing virtual learning environments. Future research is called for to delve deeper into the integration of emerging technologies, particularly artificial intelligence and virtual reality, as well as mindfulness, digital skills, and mobile self-efficacy, to comprehensively address stress and student well-being.

1. Introduction

In an era defined by the proliferation of ICT, digital technologies, and e-learning, higher education institutions face a dual reality. While these advancements offer numerous benefits, such as flexibility, accessibility, and personalized learning, they also present significant challenges. One key issue is the impact of digitalization on student well-being, particularly academic stress. The integration of virtual learning environments requires students to navigate technological demands, reduced face-to-face interactions, and heightened self-regulation, all of which can exacerbate stress levels. This study examined how digital teaching practices influence student academic stress.
Student wellness and stress management are crucial aspects of ensuring meaningful learning experiences in higher education. University life, while enriching, is replete with academic, emotional, and social challenges that can generate high levels of stress in students. This stress, often influenced by factors such as academic load, performance expectations, and time constraints, can have significant implications for students’ mental health, academic performance, and quality of life. The transition to online learning environments has intensified these difficulties, introducing new sources of stress, such as lack of face-to-face interaction, difficulty managing time, and distractions at home. This phenomenon has made stress management even more critical in the online learning mode, where students face additional barriers that threaten their overall well-being and academic performance.
Multiple studies have addressed the association between stress and the well-being of university students, highlighting the significant impact this phenomenon has on their mental health, academic performance, and quality of life. Over time, the scientific literature has explored a wide variety of factors associated with academic stress, from transitions to online study modalities and emotional challenges to coping strategies and the development of personal competencies. In this context, flexibility in coping mechanisms, resilience, emotional intelligence, and social support emerge as central themes, all of which are critical to mitigating stress and promoting well-being. The following theoretical foundation analytically reviews these contributions, highlighting key findings from recent research and highlighting challenges and opportunities for the design of effective educational interventions.
Academic stress has been identified as a significant factor negatively influencing the psychological well-being of college students. This phenomenon intensified during the COVID-19 pandemic when social constraints and the transition to online modes of education increased stress levels and comprehensively affected students’ well-being [1,2]. Flexibility in coping mechanisms emerged as a crucial tool to mitigate the negative impact of stress on students’ mental health, highlighting the need for interventions that promote this adaptive capacity [1].
A cross-sectional study conducted among nursing students found a strong relationship between academic stress, goal orientation, and mental health. This finding highlights the importance of pedagogical strategies that foster stress regulation and clear academic goal setting to improve well-being [3]. Complementing this finding, five categories of variables associated with academic stress were identified: adaptation to change, study modality, learning resources, academic–life balance, and socioemotional variables, providing a comprehensive framework for understanding the challenges faced by students during critical situations such as the pandemic [2].
Emotional intelligence (EI) has also been considered a key resource for stress management. In a study with nursing students, it was shown that greater development of EI facilitates the use of more active and effective coping strategies, which increases subjective well-being [4]. This finding coincides with research that highlights resilience as a predictor of psychological well-being, suggesting that fostering emotional competencies and resilience in educational programs can contribute significantly to student well-being [5].
Likewise, studies such as [6] have explored the relationship between eudaimonic well-being, self-efficacy, and adaptive coping strategies, concluding that these capacities are essential to mitigate the effects of academic stress. In parallel, social support and compassionate self-acceptance emerge as critical variables that promote well-being despite academic stress [7].
Subgroup analysis also suggests that certain groups of students, such as females and non-binary individuals, experience higher levels of academic stress compared to others, calling for interventions targeted to these vulnerable groups [8]. The presence of personal psychological resources, such as self-efficacy and optimism, buffers the negative effects of academic stress on well-being, highlighting the value of integrating psychological interventions into the university curriculum [9].
Finally, although the impact of stress varies among different student profiles, the results are consistent in showing a significant inverse relationship between stress and emotional well-being [10]. This picture highlights the urgency of developing educational strategies that not only manage stress but also strengthen students’ coping skills and emotional resources, especially in a world increasingly inclined toward virtual education [11,12].
A very recent study enriches the analysis of the association between stress and student well-being by highlighting the crucial role of personality profiles in modulating these variables. Identifying three distinct profiles—Excessive, Average, and Resilient Controllers—provides insight into how individual differences influence stress coping strategies and psychological well-being. In particular, Resilient students demonstrated higher levels of well-being and a tendency to employ proactive problem-solving strategies, while Excessive Controllers used less adaptive strategies, such as self-criticism, which may intensify stress. This approach not only delves deeper into the individual dynamics that mediate the impact of stress but also underscores the importance of promoting resilience characteristics and effective coping strategies within educational interventions, especially in high-demand academic contexts [13].
Recent studies continue to highlight innovative strategies for developing student well-being. Authors such as Duchi and collaborators [14] introduced the concept of “study crafting”, which allows students to customize their educational experience based on their strengths, interests, and goals. This approach improves psychological well-being, independent learning skills, and academic satisfaction, as well as reducing burnout. For their part, other authors highlighted the inverse relationship between academic stress and emotional well-being, finding significant moderations by sociodemographic variables, which underscores the need to address stress with an approach tailored to the student’s profile. Finally, other authors examined the impact of a competitive climate in schools, concluding that student well-being does not depend directly on the perceived competitive environment, but on protective factors such as resilience, self-efficacy, and positivity of students, which mitigate the adverse effects of stress and enhance their integral development [15]. These findings highlight the importance of personalized approaches and the strengthening of emotional competencies as key pillars for well-being in contemporary educational contexts.
Recent studies [16,17] underscore the importance of educational approaches that promote student well-being. Laakso and collaborators [16] evaluated the impact of a school-based intervention, Flourishing Students, designed to improve psychological well-being, and hope and reduce depressive symptoms through 32 specific lessons implemented over an academic year. Their results showed that students in the intervention group presented lower levels of depressive symptoms and higher indicators of psychological well-being and hope compared to the control group, highlighting the effectiveness of structured and sustained interventions in educational contexts. Wahyuni and collaborators [17] investigated the role of the learning environment and task orientation as determinants of student well-being in an analysis of 1698 Indonesian students. The findings showed that a task-oriented learning environment significantly explained 33.4% of the variability in student well-being, establishing itself as a key factor. Both studies highlight that the careful design of interventions and learning environments can contribute substantially to improving student well-being, providing a framework for more effective pedagogical practices focused on the holistic needs of students.
Multiple factors can be found that are potentially stressful, and among them is the impact that the educational system can have on the well-being and academic performance of university students. This is referred to as academic stress [18]. Previous studies highlight the need to address academic stress comprehensively, not only as a threat to well-being but also as an opportunity to strengthen personal and academic competencies through the design of effective pedagogical strategies and institutional policies.

1.1. Literature Review

Student Academic Stress

Several studies address academic stress, including several highly cited studies that address this construct in the context of college students [8,11,19,20,21,22,23,24,25,26,27]. According to these studies, academic stress in college students is defined as the perception of an imbalance between academic demands and personal resources to cope with them, influencing their emotional well-being and academic performance.
This phenomenon includes dimensions such as pressure to achieve high standards, interpersonal conflicts in the educational environment, and the perceived lack of adequate resources, as well as factors associated with fear of failure and difficulties of integration into the university environment. The causes range from curricular and evaluative demands to social and academic transitions, exacerbated by events such as the COVID-19 pandemic, which increased uncertainty and emotional impact.
The consequences can manifest in anxiety, decreased performance, mental health problems such as emotional exhaustion and depersonalization, and the weakening of social support networks, particularly among more vulnerable populations such as women and international students. It is crucial to implement tailored strategies that strengthen coping and resilience, along with learning environments that consider cultural and gender differences.
For some students, accessing university becomes a stressful experience that manifests itself in signs of anxiety, so university institutions continue to design programs to manage stress and anxiety and improve mental well-being [28], because as one study ratifies, university can be a challenging time for students, associated with uncertainty and stress [29].
In particular, online education presents challenges such as time management, maintaining social interactions, and motivation, which can generate academic stress [30]. Living year-round with online learning can be overwhelming and uncomfortable for university students, with mental health consequences such as stress or fatigue, and this has an impact on their academic performance. Stress and fatigue levels in students can be high as they have to sit and face monitors every time they participate in a lecture with an online learning platform [31].
One study found that a significant number of participants noted an increase in their academic stress after switching to online academic programming (62%, n = 286) [32], while other research found that all academic stressors have a significant relationship with students’ level of online learning fatigue [33]; at the same time, another study shows that the risk of academic stress experienced by university students increased in online learning during the COVID-19 pandemic [34]. A further study shows that academic stress and its associated variables had unfavorable consequences on the psychological well-being of university students [2]. From there arises the need to study how to deal with the new normal: how to adapt to online and distance learning in the post-pandemic era [35].
Thus, it is demonstrated that academic stress is a risk factor for the health of students and their quality of life [36,37], associated with poor performance and mental health [38], while perceived social support and self-management are positive elements that may mitigate stress [39]. School climate may also moderate the relationships between students’ academic stress and their depressive symptoms [40], as well as academic motivation [41,42], authenticity [43], self-efficacy, management of physical distractions [36], and positive coping strategies [44,45].
Examinations are also a major source of academic stress. Assessment of learning outcomes is an essential element of curriculum design, but even well-designed assessments are a major source of stress and anxiety for university students [46]; this is directly related to course evaluations, submission of activities, assignments, course activities, and perception of limited time for the completion of assignments.
The five groups of variables associated with academic stress are (1) adaptation to change; (2) study modality; (3) learning resources; (4) academic–life balance; and (5) socioemotional variables [2]. In addition, specific scales, such as that developed by Busari, have allowed a more accurate assessment of academic stress in university students, providing a valuable background for the present research [47].
The perception of high academic demands, mentioned as a recurrent source of stress, is associated with student overload. This includes pressures from multiple deadlines, excessive workload, and expectations related to achieving high academic standards, which are frequent causes of academic stress.
Albeit indirectly, the learning environment during the transition to online modes due to the pandemic is a prominent example. Inadequacy of study spaces and external factors in the home environment (such as noise, interruptions, and family responsibilities) emerged as major obstacles contributing to academic stress, especially for students who did not have a suitable environment to study from home.
Regarding the teaching environment, students felt responsibility and academic overload, as though they had little time to finish homework, and that high levels of effort and dedication were required to obtain good grades, and were also affected by distractions generated by social networks, chats, and video games. The students in this research self-evaluated the consequences and solutions to emotional problems due to academic stress [48]. This is related to findings associated with academic stress in another study, where the majority of students reported poor time management skills, lack of confidence, and distractions [38].
From the studies analyzed, it is possible to identify dimensions of student academic stress in online environments:
  • Student Overload: Associated with academic pressure, fear of failure, and overload of homework, exams, activities, etc.: Includes the level of demand related to assessments, deadlines, and students’ perceived overall performance. “I’m afraid of not meeting academic expectations.”
  • Student Interaction: Associated with managing interpersonal relationships, including factors such as conflicts with teachers, problems with classmates, and difficulties in relational dynamics in the educational environment.
  • Digital Resources: Adequacy of educational resources, including perceived inadequacies in study materials, infrastructure, or institutional support, especially in online education
  • Environmental Distractions: Impact of external events. These include external circumstances such as the COVID-19 pandemic, which altered the normal dynamics of learning and added uncertainty to the academic process; external noises; and physical distractions.
A fundamental aspect is individual differences. Factors such as gender, culture, and personal skills (e.g., coping capacity and resilience) influence how students experience stress, hence the importance of taking these elements and sociodemographic variables into account in studies of academic stress.

1.2. Teaching Practices

Teaching practices are the result of the teacher’s conceptions and evaluations within a specific context and are composed of behavioral, cognitive, and attitudinal components [49,50,51]. To conceptualize teaching practices, it is essential to link them to the context (Becerril, 2005). Each teacher has unique characteristics that shape their interactions with students, the institution, and society, which are reflected in their beliefs and actions within the classroom. In this context, formative feedback from the teacher plays a crucial role, as it effectively guides the development of each student, bringing their formative potential to light and fostering meaningful and personalized learning [52,53].
At the university level, it is argued that teachers should not only be experts in their subjects but also strengthen their psycho-pedagogical training, to educate students in values, emotions, and social relations. Self-reflection is key to understanding and improving teaching practice, as it helps to analyze the elements that influence the pedagogical experience [54].
Teaching practices are “actions conditioned” to the educational context, which makes it difficult to define what constitutes a “good teaching practice” since it is a dynamic concept adaptable to pedagogical theories and applied approaches. These practices refer to pedagogical actions that solve specific problems, help schools become resources for communities, or articulate quality and access to learning in contexts of inequality. Good practices are not universal and need to be adapted to each educational context [51].
Four fundamental characteristics of good teaching practices are identified: first, they are conditioned by the context, since teaching actions depend on factors such as the students, the institution, and the curriculum; second, they have a two-dimensional nature, combining objective behaviors and subjective thoughts, according to the Theory of Reasoned Action; third, they follow the process–product paradigm, where teaching strategies facilitate learning; and finally, they must become praxis, where reflection and action are integrated to improve the educational reality [51].
It is difficult to define a practice or a teacher as “totally good”, so it is essential to identify specific actions that can be considered good teaching practices. These are important at all educational levels, as they allow for sharing experiences, improving the quality of teaching, and establishing medium- and long-term benchmarks. Good practices include a behavioral component, which encompasses actions both inside and outside the classroom, and a subjective component related to the beliefs and attitudes of the teacher. Promoting critical reflection on these practices is key to the continuous improvement of the educational process [51,55]
Perrenoud highlights several benefits that reflective practice can bring to teachers. Some of these benefits include: (1) complementing initial professional development; (2) facilitating the development of experiential knowledge; (3) fostering learning and collaboration among colleagues; (4) preparing teachers to assume political or ethical responsibilities; and (5) increasing the competencies needed for educational innovation. In short, reflection on practice enables teachers to identify problems in their own experiences and generate innovative solutions [55].
For their part, the importance of teachers considering their didactic knowledge from two perspectives is emphasized: public knowledge of teaching–learning theories and knowledge acquired through experience. Teachers must adapt this knowledge to their personal and contextual characteristics. At the university level, improvements in teaching practices are reflected in better student learning. Good teaching practices seek to foster deep learning and reduce superficial learning, which requires teachers to identify the cognitive, affective, and motivational characteristics that can influence their students’ motivation toward these learning approaches [50].

1.2.1. Teaching Practice in Virtual Environments

Teaching practice in virtual environments has evolved significantly thanks to technological advances and contemporary educational demands. Virtual education requires constant and strategic teacher training so that the teacher can perform optimally [56]. The results show that future teachers value digital learning content but are not sufficiently prepared for its creation; they develop tolerance in communication but do not have sufficient skills to show empathy; they appreciate independence in learning management and still need training in professional digital self-presentation [57], also considering the development of a pedagogical profile of experienced, enthusiastic, and cautious teachers [58], and holistically integrating three essential aspects for virtual environments: technological content, pedagogical content, and disciplinary content [59,60].
This educational model involves a comprehensive approach that combines teacher interaction, technology-mediated communication, student collaboration, and the implementation of innovative pedagogical processes. It also highlights the need for continuous support for teachers to ensure their adaptation and effectiveness in this environment. The main characteristics of this practice are presented below, organized into five key aspects that mark its impact on teaching and learning.
1.
Teacher Interaction
Teacher interaction in virtual environments is a central aspect that defines the quality of learning. The importance of frequent contact between teachers and students through digital platforms is highlighted, which contributes to a more effective and personalized educational experience [61]. In addition, teachers’ ability to generate professional discourse, through critical analysis of incidents in virtual contexts, fosters a reflective practice that enriches their interaction with students [62] and encourages collaborative online learning [63].
2.
Media Communication
The use of technological tools, both synchronous and asynchronous, transforms teacher–student communication. Tools such as forums, videoconferences, and virtual platforms allow not only the transmission of content but also the promotion of motivational and affective actions, essential for learning [64]. For example, the use of synchronous software enables real-time communication, which facilitates a more immersive and participatory learning experience [65].
3.
Student Collaboration
Collaboration among students in virtual environments is enriched by technologies that promote social interaction and community learning. Virtual worlds and serious games are effective tools for fostering collaboration and immersion, increasing intrinsic motivation and social connections among students [66]. This approach allows students to interact and solve problems together, which is essential for meaningful learning.
4.
Teaching Process
The teaching process in virtual environments requires rigorous planning that considers both content design and assessment methods. Teachers must adapt to new teaching models that integrate innovative technologies, such as virtual reality, which improves teaching quality and student satisfaction by offering more practical and realistic experiences [67]. In addition, content design must consider students’ prior knowledge to ensure relevance and accessibility [61].
5.
Teacher Support
Teacher support is crucial to the success of teaching in virtual environments. This support includes both training in digital competencies and access to pedagogical tools that facilitate adaptation to technological environments. For example, professional development programs focused on the use of synchronous software and the creation of an effective teaching presence are fundamental to improving pedagogy in virtual classrooms [65]. Likewise, the need for a dialogic approach and reflection on teaching practices as a means to generate professional discourses that strengthen their role is also highlighted [62].

1.2.2. Justification and Gaps in the Literature

Despite advancements in research on virtual education, significant gaps remain in the literature. First, there is a lack of in-depth studies exploring the relationship between teaching practices and academic stress among students in virtual learning environments. Furthermore, existing research lacks sufficiently comprehensive scales to assess academic stress resulting from virtualization. These scales often fail to integrate key dimensions that holistically address the multifaceted stressors of virtual learning environments, such as academic overload, technological distractions, and reduced interpersonal interaction. Similarly, there is a notable absence of robust and validated measures to evaluate teaching practices in virtual settings, hindering systematic analysis of this relationship.

1.3. Research Questions

What are the psychometric properties (construct validity and internal reliability) of the Teaching Practices Scale in Virtual Education (TPSVE), and how suitable is its structure for evaluating teaching practices in virtual education?
What are the psychometric properties (construct validity and internal reliability) of the Student Academic Stress Scale in Virtual Education (SASSEV), and how suitable is its structure for evaluating academic stress in virtual education?
What is the relationship between digital teaching practices and academic stress among university students in virtual learning environments, and what are the key factors influencing this dynamic according to a theoretical model validated through structural equation modeling?

1.4. Research Objectives

To evaluate the psychometric properties of construct validity and internal reliability of the Teaching Practices Scale in Virtual Education (TPSVE) to determine its applicability in studies on teaching practices in virtual educational settings.
To evaluate the psychometric properties of construct validity and internal reliability of the Student Academic Stress Scale in Virtual Education (SASSEV) supporting its capacity to comprehensively measure academic stress in virtual education.
To examine the relationship between digital teaching practices and academic stress among university students in virtual learning environments, identifying key factors influencing this dynamic and validating a theoretical model using structural equation modeling.

2. Materials and Methods

2.1. Methodological Approach

The present study adopted a quantitative approach, which allows for analyzing statistical relationships between variables using objective and replicable methods. This approach was appropriate to explore the relationship between teaching practice in virtual environments and academic stress in university students, using structural equation modeling as the main tool for analysis. This study was based on a non-experimental, cross-sectional, correlational research design.

2.2. Variables

Independent variable:
Teaching Practice in virtual environments is broken down into the following dimensions:
  • Teacher Interaction;
  • Media Communication;
  • Student Collaboration;
  • Teaching Process;
  • Teacher Support.
Dependent variable:
Student Academic Stress is structured in the following dimensions:
  • Student Overload;
  • Student Interaction;
  • Digital Resources;
  • Environmental Distractions.

2.3. Sampling

The sample consisted of 6605 university students from the Universidad Nacional Mayor de San Marcos, selected using a simple random sampling method with allocation proportional to the number of students per faculty. The sample size was calculated using the formula for finite populations, considering a tolerance error of 0.01, a significance level of 0.05, and a success ratio of 0.5. This design ensures the representativeness of the data at the level of the entire institution.

2.4. Instruments for Obtaining Information

The Teaching Practices Scale in Virtual Education (TPSVE) is designed to measure the dimensions of teaching practice. This scale has 21 items (Cronbach’s alpha: 0.889), distributed in five dimensions that evaluate key aspects of teaching practice in virtual environments. It uses a Likert-type scale from 1 to 5, where the values represent the degree of agreement or disagreement with the proposed statements:
  • Strongly disagree;
  • Disagree;
  • Neither agree nor disagree;
  • Agree;
  • Strongly agree.
Example item: “The means of communication used by the teacher were useful”. A student answering “5” indicates that they perceive the teacher’s communication to be highly effective.
The Student Academic Stress Scale in Virtual Education (SASSEV) is used to evaluate the identified dimensions of academic stress. This instrument consists of 15 items (Cronbach’s alpha: 0.879) grouped into four dimensions that reflect the main factors of academic stress in virtual contexts. It also uses a Likert-type scale from 1 to 5, in this case, measuring the frequency with which students experience stressful situations:
  • Never;
  • Rarely;
  • Sometimes;
  • Almost always;
  • Always.
Sample item: “I feel overloaded with assignments and/or course activities”. A response of “4” indicates that the student frequently experiences this type of overload.
Both scales were subjected to rigorous validations, including reliability analysis (Cronbach’s alpha) and content validity (Lawshe’s index), ensuring their ability to measure the variables of interest accurately.

2.5. Fieldwork

The data collection was conducted in a virtual environment, considering the constraints inherent to digital platforms. Questionnaires were distributed electronically, ensuring both the anonymity and confidentiality of participants. The fieldwork spanned the second semester of 2023, with data systematically collected over three months. Measures were implemented to minimize bias and ensure consistency in responses, thereby enhancing the reliability of the findings.

2.6. Data Analysis

Data processing and analysis were performed using tools such as Excel 2024, SPSS version 26, and R-project version 4.4.2, AMOS version 24 following a detailed analytical sequence:
-
Calculation of reliability using Cronbach’s alpha and the theta and omega coefficients.
-
Obtaining the content validity index (CVI) to assess the quality of the instruments.
-
Exploratory factor analysis to identify the underlying structures of the variables.
-
Statistical description of the data collected.
-
Verification of assumptions of the parametric model.
-
Confirmatory factor analysis to validate the identified structures.
-
Application of structural equation models to analyze the relationships between variables and evaluate model fit. The structural equation modeling approach was chosen for its ability to simultaneously evaluate complex relationships between teaching practices and academic stress while accounting for the indirect effects and latent variables central to this study’s objectives.

3. Results

3.1. Results of Teaching Practice

3.1.1. Exploratory Analysis of the Data on Teaching Practice

The ICC value for single measures (0.271) indicates that the consistency of individual responses is low. In other words, students do not respond very consistently to the individual survey items, which could be due to variability in how they interpret the items or individual differences. Also, the ICC value for average measures (0.929) shows that when the items are considered as a whole (averaged), the scale has a very high reliability. This suggests that the 35 items are measuring the construct consistently when the responses are averaged.
In the initial reliability analysis of the 35-item Do-Cent practice scale, Cronbach’s alpha (0.935) and the theta coefficient (0.937) reflect excellent internal consistency, indicating that the items are highly correlated and accurately measure the construct of interest. Although the omega coefficient is slightly lower (0.784), it still indicates good reliability, being less sensitive to dimensionality. Taken together, the three coefficients suggest that the scale is highly reliable and suitable for assessing teaching practice.
From Table 1, it can be observed that the highest value in the mean corresponds to item PD21 (3.90), indicating that students tend to give it a higher score compared to other items, while item PD33 (2.80) presents the lowest score, suggesting that this item has a relatively lower evaluation. In terms of standard deviation, item PD10 (1.115) shows the highest variability in students’ responses, indicating a greater dispersion in scores, and item PD27 (0.770) presents the lowest variability, suggesting more consistent and uniform responses among students. The total corrected item correlation is highest for item PD27 (0.609), indicating that this item is highly correlated with the rest and contributes strongly to internal consistency, and the lowest value is for item PD9 (0.382), suggesting that this item has less of a relationship with the other items and could be affecting the consistency of the scale. In the squared multiple correlation, item PD22 (0.608) shows the highest proportion of its variance explained by the rest of the items, indicating a good alignment with the scale, and item PD10 (0.247) has the lowest value, suggesting that its variance is less explained by the other items, indicating a possible mismatch. Finally, Cronbach’s alpha if the item has been deleted is highest for item PD9 (0.933), indicating that removing it could improve the internal consistency of the scale, and the lowest value is for item PD22 (0.930), so no single item is noticeably decreasing the overall reliability of teaching practice.
The summary statistics are given herein of the 35 items that make up the teaching practice scale. The item means range from a minimum of 2.803 to a maximum of 3.901, with an overall mean of 3.401, suggesting that, in general, participants tend to score the items in the indifference (3) and agree (4) parts of the scale. As for the item variances, the values range from 0.593 to 1.244, with a mean variance of 0.875, indicating that the items present moderate variability in the responses. Finally, the correlations among the items range from a minimum of 0.043 to a maximum of 0.746, with a mean correlation of 0.293, which implies that, although some items are more correlated with each other, most have moderate correlations, suggesting some independence among them within the construct of teaching practice.
The Mardia (asymmetry = 16,905,812; kurtosis = 117,056), Royston (6,056,455), Henze–Zirkler (1040), and energy (13,349) tests are consistent and show very low p-values (<0.001), indicating that the data for the teaching practice items do not follow a multivariate normal distribution.
The variance inflation factor (VIF) values for the 35 items of the teaching practice scale range between 1.33 and 2.49, which indicates a low level of multicollinearity among the items, i.e., there are no strong linear relationships among them, which is a good sign for the consistency of the instrument. Furthermore, it is worth noting that a VIF of less than 5 is generally acceptable; in this case, all items are significantly below that threshold. This reinforces the conclusion that multicollinearity is not a problem and provides confidence that the estimates obtained from subsequent analyses will not be affected by the presence of multicollinearity.

3.1.2. Exploratory Factor Analysis of Teaching Practice

The KMO is 0.958, which indicates excellent sampling adequacy to perform a factor analysis since the items are highly correlated with each other. In addition, Bartlett’s test of sphericity is significant (p = 0.000), confirming that there are sufficient correlations among the variables to justify factor analysis. Taken together, these results suggest that further factor analysis is appropriate and is expected to provide a good representation of the underlying structure of the data.
In Table 2, it is shown that the highest commonality corresponds to item PD1, with a value of 0.755, indicating that 75.5% of its variance is explained by the extracted factors, meaning that item PD1 is well-represented by the common factors and contributes significantly to the model. On the other hand, the lowest communality is that of item PD7, with a value of 0.372, indicating that only 37.2% of its variance is explained by the factors, meaning that item PD7 has a low representation in the factorial model, which makes it a candidate for revision or possible elimination since its contribution to the model is limited.
In Table 3, the results of the analysis of total variance explained show that the first six components have eigenvalues greater than 1, indicating that these factors are significant and explain 50.86% of the total variance before rotation. The first component alone explains 31.82%, but after rotation, its contribution decreases to 9.74%, while subsequent components, such as the second and third, increase their explained variance to 7.14% and 5.78%, respectively. This reflects a better distribution of variance among the components after rotation, facilitating their interpretation. The remaining components, starting with the seventh, explain minimal proportions of the variance, suggesting that they are not relevant to the model. Together, these six factors account for a significant amount of the variance and allow for a more balanced interpretation after rotation.
Table 4 shows the factor loadings of the items on the underlying factors obtained using a principal components analysis with Promax rotation (an oblique rotation that allows for correlation between factors). Each item has a significant loading on one of the five extracted factors, suggesting the presence of five different latent constructs. All factor loadings are greater than 0.50, which gives it a better interpretation. The following factors are included:
-
Factor 1 “Teacher interaction” is composed of the items PD1 (0.909), PD2 (0.919), and PD3 (0.599). These three items have high factor loadings, especially PD1 and PD2, which exceed 0.90, indicating that they are very strongly related to the factor. This factor may represent a clear and definite construct to which the items are strongly associated. PD3, although it has a lower loading (0.599), is still well-aligned with this factor, contributing to the same latent construct.
-
Factor 2 “Media” is composed of items PD5 (0.901) and PD6 (0.838). This factor has two items with high factor loadings, indicating that both items are strongly aligned with the factor. Loadings above 0.80 suggest that these items measure the underlying construct represented by this factor very well. Given the high magnitude of the factor loadings, this factor is very well-defined by items PD5 and PD6.
-
Factor 3 “Student collaboration” is composed of the items PD8 (0.589), PD9 (0.679), PD10 (0.731), and PD11 (0.595). The items associated with this factor also present high factor loadings, particularly PD10 (0.731) and PD9 (0.679), indicating that these items are strongly related to the construct represented by this factor. All items in this factor exceed a loading of 0.50, suggesting that they are adequately represented by this factor.
-
Factor 4 “Teaching process” is composed of the items PD17 (0.589), PD19 (0.558), PD20 (0.722), PD21 (0.813), PD22 (0.640), PD26 (0.554), PD27 (0.625), PD28 (0.623), and PD32 (0.525). This factor has a greater number of associated items, all with factor loadings exceeding 0.50, indicating a good association with the factor. PD21 stands out with a loading of 0.813, suggesting a strong alignment with this construct. Other items such as PD20 and PD22 also have a strong relationship with the factor, indicating that this factor is well-defined and represents a clear construct.
-
Factor 5 “Teacher support” is composed of the items PD33 (0.810), PD34 (0.780), and PD35 (0.513). This factor also has items with high factor loadings, especially PD33 (0.810) and PD34 (0.780), indicating a strong association with the underlying construct. PD35, although it has a lower loading (0.513), is still adequately represented in this factor.
Table 4. Underlying factors in teaching practice.
Table 4. Underlying factors in teaching practice.
ItemsUnderlying Factors
12345
PD1 0.909
PD2 0.919
PD3 0.599
PD5 0.901
PD6 0.838
PD8 0.589
PD9 0.679
PD10 0.731
PD11 0.595
PD170.589
PD190.558
PD200.722
PD210.813
PD220.640
PD260.554
PD270.625
PD280.623
PD320.525
PD33 0.810
PD34 0.780
PD35 0.513
Note: Extraction method: principal component analysis. Rotation method: Promax with Kaiser normalization.
Beyond those, item PD18 was eliminated for not containing factor loadings greater than 0.30, item PD4 was eliminated for having a variance ratio of 1.07, item PD12 was eliminated for having a variance ratio of 1.08, item PD23 was eliminated for having a variance ratio of 1.43, item PD29 was eliminated for having a variance ratio of 1.23, item PD25 was eliminated for having a commonality of 0.352, item PD7 was eliminated for having a commonality of 0.363, item PD24 was eliminated for having a commonality of 0.376, item PD31 was eliminated for having a variance ratio of 1.39, item PD30 was eliminated for having a variance ratio of 1.05, item PD14 was eliminated for having a commonality of 0.381, item PD15 was eliminated for having a commonality of 0.379, item PD13 was eliminated for having a commonality of 0.378, and item PD16 was eliminated for having a commonality of 0.391. In total, 14 items were eliminated.
The final results of the exploratory factor analysis for teaching practice show that the Kaiser–Meyer–Olkin measure (KMO) of sampling adequacy is 0.920, which indicates that the data are adequate to perform a factor analysis since a value greater than 0.9 is excellent. Bartlett’s test of sphericity is highly significant (p < 0.001), with an approximate chi-square value of 12,841.328 and 210 degrees of freedom (gl). These results suggest that the correlations between the items are not identifiable, so it is appropriate to perform a factor analysis.
Table 5 shows the final commonalities of the items in the exploratory factor analysis of teaching practice. Higher values, as in items PD1 (0.806), PD2 (0.808), and PD5 (0.802), indicate that these items have a stronger relationship with the underlying factors and are better explained by them. On the other hand, items with lower commonalities, such as PD17 (0.411) and PD19 (0.436), suggest that these items are less related to the factors, although they are still acceptable. Overall, most of the commonalities are moderate, indicating that the extracted factors explain the variance of the items in the teaching practice scale reasonably well.
Table 6 shows the results of the final total variance explained by the underlying factors of teaching practice, extracted through principal component analysis. The first five components have eigenvalues greater than 1, indicating that they are the most significant, explaining 56.251% of the total accumulated variance. The first component explains 32.620%, while the remaining components explain between 5% and 7% each. After rotation, the values of variance explained are more balanced, with the first component explaining 5.819% and the following ones around 3–4%, suggesting that the rotation redistributed the factor loadings, facilitating the interpretation of the factors. In summary, these five components are key in explaining most of the variance in the teaching practice scale.
In Table 7, the results are robust, or the data show robustness to the method of analysis employed. This means that the underlying patterns in the data remain consistent regardless of the extraction method or technique used, which is a sign that the underlying model is robust and reliable.
The final reliability analysis of the teaching practice scale indicated high internal consistency with a Cronbach’s alpha of 0.889, suggesting that the 21 items consistently measure the underlying construct. The omega coefficient is 0.733, an acceptable value, but somewhat lower, which could indicate some variability in the factor loadings of the items, although still adequate. Finally, the theta coefficient of 0.897 confirms the high reliability of the scale, showing that the instrument is consistent and adequate for measuring teaching practice.
The confirmatory factor analysis of teaching practice is presented in Figure 1.
From Table 8, the following can be observed:
-
The F1 factor is well-represented by items PD1, PD2, and PD3, with PD1 being the strongest indicator (0.717) and PD3 the weakest (0.660). This means that all items contribute significantly to the construct, but PD1 is the item that most influences the definition of F1, while PD3 has a somewhat smaller contribution.
-
The F2 factor is mainly defined by PD6 (0.852), which has a very strong relationship with the factor, while PD5 also contributes significantly (0.741), although to a lesser degree. PD6 is the best indicator of F2, suggesting that the aspects captured by this item are crucial to the measurement of the construct.
-
Factor F3 is moderately well-represented by its four items, with PD8 being the strongest indicator (0.615) and PD9 the weakest (0.560). Although all items are statistically significant, PD8 has the strongest influence on the definition of F3, while PD9 contributes the least.
-
Factor F4 is well-represented by items PD21, PD22, PD26, PD17, PD19, PD20, PD32, PD28, and PD27, with PD26 being the strongest (0.691) and PD20 the weakest (0.505). Although all items contribute significantly to the construct, PD26 has the strongest influence on the definition of F4, while PD20 has a lower weight in comparison.
-
In the case of factor F5, PD35 is the strongest indicator (0.699) and PD33 the weakest (0.470), indicating that PD35 plays a crucial role in defining the factor. Although PD33 is significant, its lower weight suggests that it contributes less to the F5 construct.
Table 8. Weights of the model for measuring teaching practice.
Table 8. Weights of the model for measuring teaching practice.
RelationCoefficientS.E.C.R.p-Value
EstimatedStandardized
PD1F11.0000.717
PD2F10.9450.7210.02242.057***
PD3F10.9530.6600.04222.815***
PD5F21.0000.741
PD6F21.0550.8520.04125.569***
PD8F31.0000.615
PD9F30.9350.5600.05516.926***
PD10F30.9860.5750.05717.237***
PD11F30.9560.5860.05617.014***
PD21F40.9490.5280.05417.622***
PD22F41.1900.6530.05521.552***
PD26F41.1100.6910.05221.494***
PD33F51.0000.470
PD34F51.2620.6250.06918.181***
PD35F51.3660.6990.08216.727***
PD17F41.0000.571
PD19F41.0620.5760.05519.258***
PD20F40.9610.5050.05417.897***
PD32F41.1010.6230.05320.732***
PD28F41.0670.6530.05021.498***
PD27F40.9810.6480.04920.034***
Note: S.E. = standard error, C.R. = critical ratio. *** Significance at 0.1%
From Table 9, it can be observed that factors F4 and F5 are the most strongly correlated factors (0.887), indicating that the items measuring these factors share a large part of variance and are highly interdependent, which suggests that the dimensions that capture these factors of teaching practice are practically complementary. On the other hand, F2 and F3 have the lowest correlation (0.477), implying that they measure more differentiated aspects of teaching practice. Likewise, the correlations between the error terms are low, meaning that the observed variables are well-represented by their respective latent factors, with minimal shared variance not explained by the model, i.e., the presence of low correlations between the errors indicates that these correlations are not unduly influencing each other, which helps to maintain the integrity and validity of the estimates of the model measuring teaching practice.
From Table 10, it can be seen that the estimated measurement model presents an acceptable overall fit, with several measures reaching the ideal thresholds, such as RMR, GFI, PGFI, PRATIO, PCFI, RMSEA, and Hoelter’s indices, indicating a good representation of the observed data. Other measures, such as CMIN/DF, AGFI, IFI, and CFI, are within acceptable ranges, suggesting a reasonable, though not ideal, fit. However, measures such as NFI, RFI, TLI, and CFI do not reach the minimum acceptable values, indicating that the model could benefit from additional adjustments. Overall, the model is valid, but with opportunities for improvement to optimize its fit.

3.2. Results of Student Academic Stress

3.2.1. Exploratory Analysis of Academic Stress Data

The ICC value for single measures (0.313) indicates that the consistency of individual responses is low. In other words, students do not respond very consistently to the individual survey items, which could be due to variability in how they interpret the items or individual differences. Also, the ICC value for average measures (0.905) shows that when the items are considered as a whole (averaged), the scale has very high reliability. This suggests that the 21 items are measuring the construct consistently when the responses are averaged.
In the initial reliability analysis of the academic stress scale with 21 items, Cronbach’s alpha (0.911) and the theta coefficient (0.913) reflect excellent internal consistency, indicating that the items are highly correlated and accurately measure the construct of academic stress. Although the omega coefficient is slightly lower (0.786), it still indicates good reliability, being less sensitive to dimensionality. Taken together, the three coefficients suggest that the scale is highly reliable and suitable for assessing academic stress.
From Table 11, it can be observed that the highest value in the mean corresponds to item EA2 (3.56), indicating that students tend to give it a higher score compared to other items, while item EA18 (2.70) presents the lowest mean, suggesting that this item has a relatively lower evaluation. In terms of standard deviation, item EA20 (1.212) shows the highest variability in students’ responses, indicating a greater dispersion in scores, and item EA16 (0.997) presents the lowest variability, suggesting more consistent and uniform responses among students. The corrected total item correlation is highest for item EA14 (0.655), indicating that this item is highly correlated with the rest and contributes strongly to internal consistency, and the lowest value is for item EA20 (0.445), suggesting that this item has less relationship with the other items and could be affecting the consistency of the scale. In the squared multiple correlation, item EA14 (0.618) shows the highest proportion of its variance explained by the rest of the items, indicating a good alignment with the scale, and item EA1 (0.250) has the lowest value, suggesting that its variance is less explained by the other items, indicating a possible mismatch. Finally, Cronbach’s alpha if the item has been deleted is highest for item EA20 (0.909), indicating that removing it could improve the internal consistency of the scale, and the lowest value is for item EA14 (0.904), so no single item is noticeably decreasing the overall reliability of academic stress.
The summary statistics are given herein of the 21 items that make up the academic stress scale. The item means a range of 2.701 to a maximum of 3.561, with an overall mean of 3.172, suggesting that, in general, participants tend to score the items in the sometimes (3) and almost always (4) parts of the scale. As for the item variances, the values range from 0.995 to 1.469, with a mean variance of 1.170, indicating that the items present moderate variability in responses. Finally, the correlations among the items range from a minimum of 0.157 to a maximum of 0.737, with a mean correlation of 0.330, which implies that, although some items are more correlated with each other, most have moderate correlations, suggesting some independence among them within the construct of academic stress.
The Mardia (asymmetry = 3,903,451; kurtosis = 60,398), Royston (3,178,622), Henze–Zirkler (1240), and energy (9727) tests are consistent and show very low p-values (<0.001), indicating that the data for the academic stress items do not follow a multivariate normal distribution.
The variance inflation factor (VIF) values 21 items of the academic stress scale range between 1.33 and 2.62, which indicates a low level of multicollinearity among the items, i.e., there are no strong linear relationships among them, which is a good sign for the consistency of the instrument. Furthermore, it is worth noting that a VIF of less than 5 is generally acceptable; in this case, all items are significantly below that threshold. This reinforces the conclusion that multicollinearity is not a problem and provides confidence that the estimates obtained from subsequent analyses will not be affected by the presence of multicollinearity.

3.2.2. Exploratory Factor Analysis of Academic Stress

The KMO is 0.926, which indicates excellent sampling adequacy to perform the factor analysis since the items are highly correlated with each other. In addition, Bartlett’s test of sphericity is significant (p = 0.000), confirming that there are sufficient correlations among the variables to justify the use of factor analysis. Taken together, these results suggest that it is appropriate to continue with factor analysis and it is expected to provide a good representation of the underlying structure of the data.
In Table 12, it is shown that the highest commonality corresponds to item EA19, with a value of 0.701, indicating that 70.1% of its variance is explained by the extracted factors, meaning that item EA19 is well-represented by the common factors and contributes significantly to the factor model. On the other hand, the lowest communality is that of item EA1, with a value of 0.287, indicating that only 28.7% of its variance is explained by the factors, meaning that item EA1 has a low representation in the factorial model, which makes it a candidate for revision or possible elimination since its contribution to the model is limited.
In Table 13, the results of the analysis of total variance explained show that the first four components have eigenvalues greater than 1, indicating that these factors are significant and explain 56.417% of the total variance before rotation. The first component alone explains 36.539%, but after rotation, its contribution decreases to 6.113%, while subsequent components, such as the second and third, increase their explained variance to 5.956% and 4.597%, respectively. This reflects a better distribution of variance among the components after rotation, facilitating their interpretation. The remaining components, starting with the fifth, explain minimal proportions of the variance, suggesting that they are not relevant to the model. Together, these four factors account for a significant amount of the variance and allow for a more balanced interpretation after rotation.
Table 14 shows the factor loadings of the items on the underlying factors obtained using a principal components analysis with Promax rotation (an oblique rotation that allows for correlation between factors). Each item has a significant loading on one of the four extracted factors, suggesting the presence of four different latent constructs. All factor loadings are greater than 0.60, which gives it a better interpretation. The following factors are included:
-
Factor 1 “Overload and time constraints” is composed of the items EA2 (0.885), EA3 (0.767), EA14 (0.687), EA15 (0.714), and EA21 (0.616). These five items have high factor loadings, especially EA2 and EA3, indicating that they are very strongly related to the factor. This factor may represent a clear and distinct construct to which the items are strongly associated. EA21, although it has a lower loading (0.616), is still well-aligned with this factor, contributing to the same latent construct.
-
Factor 2 “Interaction and Participation” is composed of the items EA8 (0.778), EA9 (0.804), EA12 (0.772), and EA13 (0.698). This factor has four items without very high factor loadings, indicating that the four items are strongly aligned with the factor. Item EA9 has the highest predominance, while item EA13 has the lowest predominance.
-
Factor 3 “Technological Resources” is composed of items EA17 (0.601), EA18 (0.757), EA19 (0.897), and EA20 (0.744). Item EA19 has the highest predominance in the factor, while item EA17 has the lowest predominance in the factor.
-
Factor 4 “Distractions in the Study Environment” is composed of the items EA4 (0.816) and EA5 (0.810). These two items indicate a strong association with the underlying construct.
Table 14. Underlying factors of academic stress.
Table 14. Underlying factors of academic stress.
ItemUnderlying Factors
1234
EA20.885
EA30.767
EA4 0.816
EA5 0.810
EA8 0.778
EA9 0.804
EA12 0.772
EA13 0.698
EA140.687
EA150.714
EA17 0.601
EA18 0.757
EA19 0.897
EA20 0.744
EA210.616 0.300
Note: Extraction method: principal component analysis. Rotation method: Promax with Kaiser normalization.
Beyond those, item EA1 was eliminated for not containing factor loadings higher than 0.30, item EA10 was eliminated for having a variance ratio of 1.30, item EA6 was eliminated for not containing factor loadings higher than 0.30, item EA7 was eliminated for having a variance ratio of 1.44, and items EA16 and EA11 were eliminated for not being robust to estimation with non-parametric methods.
The final results of the exploratory factor analysis for academic stress show a Kaiser–Meyer–Olkin measure (KMO) of sampling adequacy at 0.876, which indicates that the data are adequate to perform a factor analysis. Bartlett’s test of sphericity is highly significant (p < 0.001), with an approximate chi-square value of 11,317.158 and 105 degrees of freedom (gl). These results suggest that the correlations between the items are not identifiable, so it is appropriate to perform the factor analysis.
Table 15 shows the final commonalities of the items in the exploratory factor analysis of academic stress. Higher values, as in items EA5 (0.758), EA4 (0.754), and EA19 (0.728), indicate that these items have a stronger relationship with the underlying factors and are better explained by them. On the other hand, items with lower commonalities, such as Ea17 (0.509) and EA20 (0.571), suggest that these items are less related to the factors, although they are still acceptable. Overall, most of the commonalities are moderate, indicating that the extracted factors explain the variance of the items in the academic stress scale reasonably well.
Table 16 shows the results of the final total variance explained by the underlying factors of academic stress, extracted through principal component analysis. The first four components have eigenvalues greater than 1, indicating that they are the most significant, explaining 64.105% of the total accumulated variance. The first component explains 37.757%, while the remaining components explain between 10.260%, 8.863%, and 7.226% each. After rotation, the explained variance values are more balanced, with the first component explaining 4.440%, the second component 4.136%, the third component 3.642%, and the fourth component 2.166%, suggesting that the rotation redistributed the factor loadings, facilitating the interpretation of the factors. In summary, these four components are key in explaining most of the variance in the academic stress scale.
From Table 17, it can be seen that the results are robust, or the data show robustness to the method of analysis employed. This means that the underlying patterns in the data remain consistent, regardless of the extraction method or technique used, which is a sign that the underlying model is robust and reliable.
The final reliability analysis of the academic stress scale indicates a high internal consistency with Cronbach’s alpha of 0.879, suggesting that the 15 items coherently measure the underlying construct. The omega coefficient is 0.752, an acceptable value, but somewhat lower, which could indicate some variability in the factor loadings of the items, although it is still adequate. Finally, the theta coefficient of 0.882 confirms the high reliability of the scale, showing that the instrument is consistent and adequate for measuring academic stress.

3.2.3. Confirmatory Factor Analysis of Academic Stress

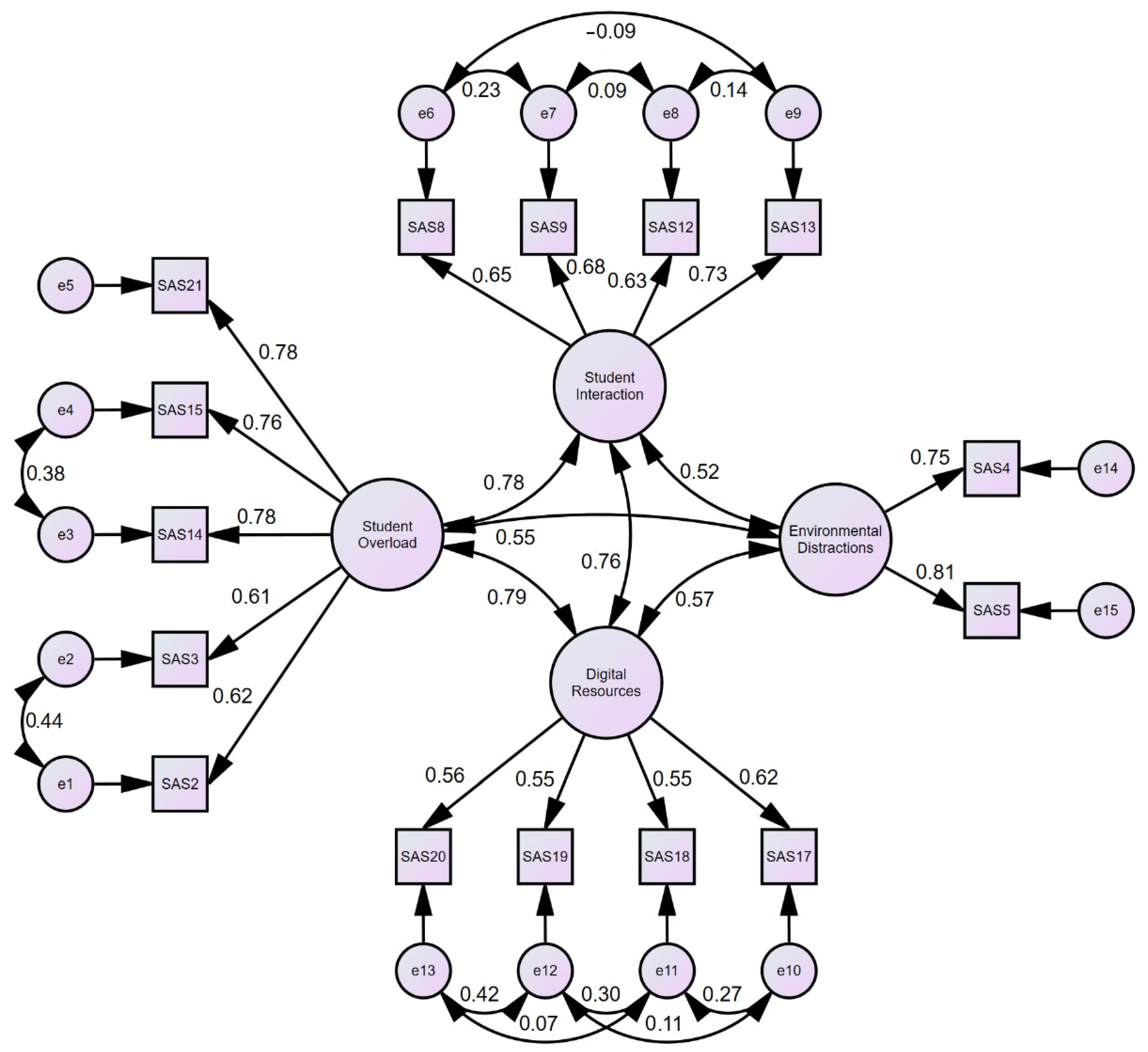
Figure 2 shows the Academic Stress Measurement Model (standardized loads).
From Table 18, the following can be observed:
-
The F1 factor is well-represented by items EA3, EA14, EA15, EA21, and EA2, with EA21 being the strongest indicator (0.780) and EA3 the weakest (0.610). This means that all items contribute significantly to the construct, but EA21 is the item that most influences the definition of F1, while EA3 has a somewhat smaller contribution.
-
Factor F2 is represented by items EA9, EA12, EA8, and Ea13, where the factor is mainly defined by EA13 (0.733), which has a very strong relationship with the factor, while EA12 also contributes, although to a lesser degree (0.630).
-
Factor F3 is moderately well-represented by its four items, with EA17 being the strongest indicator (0.622) and EA18 the weakest (0.548).
-
Factor F4 is well-represented by items EA4 and EA5, with EA5 being the strongest (0.809) and EA4 the weakest (0.753).
Table 18. Weights of the academic stress measurement model.
Table 18. Weights of the academic stress measurement model.
RelationCoefficientS.E.C.R.p-Value
EstimatedStandardized
EA3F10.9730.6100.03230.182***
EA14F11.2670.7800.05025.447***
EA15F11.2390.7630.04925.180***
EA21F11.3460.7800.05226.061***
EA2F11.0000.621
EA9F20.9700.6790.03825.512***
EA12F20.8620.6300.04419.571***
EA8F21.0000.653
EA13F21.0090.7330.04323.632***
EA17F31.0000.622
EA18F30.9390.5480.04122.721***
EA19F30.9570.5500.05318.145***
EA20F31.0630.5580.06117.292***
EA4F41.0000.753
EA5F41.0470.8090.04921.223***
Note: S.E. = standard error, C.R. = critical ratio. *** Significance at 0.1%
Overall, each factor has at least one key indicator that strongly defines it, while other items contribute to a lesser extent, but are still significant in representing the construct of academic stress.
From Table 19, it can be observed that factors F1 and F3 are the most strongly correlated factors (0.792), indicating that the items measuring these factors share a large part of the variance and are highly interdependent, suggesting that the dimensions capturing these factors of academic stress are practically complementary. On the other hand, F2 and F4 have the lowest correlation (0.516), implying that they measure more differentiated aspects of academic stress. Likewise, the correlations between the error terms are low, meaning that the observed variables are well-represented by their respective latent factors with minimal shared variance not explained by the model, i.e., the presence of low correlations between the errors indicates that these correlations are not unduly influencing one another, which helps to maintain the integrity and validity of the estimates of the model measuring academic stress.
In Table 20, the estimated measurement model presents an acceptable overall fit, with several measures reaching the ideal and acceptable thresholds, such as RMR, GFI, AGFI, PGFI, IFI, CFI, PRATIO, PNFI, PCFI, RMSEA, and Hoelter’s indices, indicating a good representation of the observed data. Other measures, such as CMIN/DF, NFI, RFI, and TLI, do not reach the minimum acceptable values, indicating that the model could benefit from additional adjustments. Overall, the model is valid, but with opportunities for improvement to optimize its fit.

3.3. Structural Equation Model

The estimation of the structural model was performed using asymptotic free distribution estimation, due to the multivariate non-normality of the data.
From Table 21, the following can be observed:
-
There is a negative and significant relationship between academic stress (F2) and teaching support (F5pd), suggesting that higher levels of academic stress are associated with lower teaching support perceived by students.
-
Teaching support (F5pd) positively influences the use of technological resources (F3ea) dimension of students’ academic stress, meaning that the higher the teaching support, the higher the levels of academic stress in the use of technological resources.
-
Teaching support (F5pd) positively influences the interaction and participation dimension (F2ea) of students’ academic stress, meaning that the greater the teaching support, the higher the stress levels in the interaction and participation dimension.
-
Overload and time constraints (F1ea) as a dimension of students’ academic stress are positively related to teaching practice (F1); although the effect is small, it means that teaching practice in virtual environments increases academic stress in students in the dimension of overload and time constraints.
-
Interaction and participation (F2ea) as a dimension of students’ academic stress has a negative and significant relationship with student collaboration (F3pd), which could indicate that higher levels of academic stress in the interaction and participation dimension do not promote collaboration among students.
-
Distractions in the study environment (F4ea) as a dimension of students’ academic stress are negatively associated with media (F2pd), suggesting that more distractions decrease the positive perception of media.
-
The use of technological resources (F3ea) as a dimension of students’ academic stress is negatively associated with the teaching process (F4pd), which could suggest that excessive use of technology could interfere with the perception of a good teaching process.
-
Overload and time constraints (F1ea) as a dimension of students’ academic stress are negatively related to teacher interaction (F1pd), suggesting that more overload decreases teacher–student interaction.
-
Distractions in the study environment (F4ea) as a dimension of students’ academic stress have a negative relationship with teacher interaction (F1pd), indicating that distractions also negatively affect student–teacher interaction.
-
Both measurement models present acceptable and positive factor loadings, signifying the direct relationship between the dimensions of each construct and the construct itself.
Table 21. Structural equation modeling of university teaching practice and academic stress of university students in virtual education.
Table 21. Structural equation modeling of university teaching practice and academic stress of university students in virtual education.
RelationCoefficientS.E.C.R.p-Value
EstimatedStandardized
F5pdF2−0.184−0.1630.029−6.429***
F5pdF10.9180.5840.04819.025***
F2eaF20.9260.7260.03923.892***
F4eaF20.7670.4950.04417.513***
F3eaF5pd0.1470.1330.0255.767***
F3eaF20.7330.5870.03620.126***
F2eaF5pd0.1320.1170.0255.361***
F1eaF10.0970.0590.0382.5720.01
F1eaF21.0000.839
F2pdF11.0250.5950.04721.699***
F4pdF11.0120.8380.03826.304***
F3pdF2ea−0.063−0.0730.019−3.387***
F3pdF10.8610.5660.04320.238***
F2pdF4ea−0.071−0.0890.016−4.403***
F4pdF3ea−0.045−0.0640.013−3.417***
F1pdF1ea−0.065−0.0730.020−3.341***
F1pdF4ea−0.038−0.0560.014−2.7480.006
F1pdF11.0000.678
Note: F1 = teaching practice in virtual environments, F1pd = teaching interaction, F2pd = means of co-communication, F3pd = student collaboration, F4pd = teaching process, F5pd = Do-Cent support, F2 = student academic stress in virtual environments, F1ea = time overload and constraints, F2ea = interaction and participation, F3ea = technological resources, F4ea = distractions in the study environment.
From Table 22, it can be observed that the correlations between the error terms are low but significant, meaning that the corresponding dimensions share something in common not measured, which is indirectly picked up by the errors.
In Table 23, the structural equation model presents an ideal fit in most of the key indicators, such as CMIN/DF (1.271), RMR (0.010), GFI (0.996), AGFI (0.989), NFI (0.979), RFI (0.952), IFI (0.995), TLI (0.989), and CFI (0.995), indicating that the model fits the data very well. However, parsimony indicators, such as PGFI (0.354), PRATIO (0.444), PNFI (0.435), and PCFI (0.442), do not reach acceptable thresholds, suggesting that the model is somewhat complex. The Hoelter (0.05:2472) and Hoelter (0.01:3008) values indicate that the sample size is adequate for the model fit to be reliable. Finally, the model has an excellent overall fit but could be improved in terms of parsimony.
Figure 3 presents the structural equation model of university teaching practice and the academic stress of university students in virtual education.
Although no significant relationship is found between the latent variables V1 (teaching practice) and V2 (student academic stress), the model shows that some specific dimensions of student academic stress (V2) have a negative influence on some dimensions of virtual teaching practice (V1). This implies that there is no direct and global relationship between both variables, but indirect effects are observed between some of their dimensions.
Explanation of negative influences:
  • Student overload (dimension of student academic stress) hurts “teacher interaction” (dimension of teaching practice). This suggests that when students experience high levels of overload and feel they do not have enough time to meet academic demands, interaction with teachers decreases.
  • Environmental distractions negatively affect both teacher interaction and the means of communication used in virtual teaching practice. This could be explained by the fact that a study environment with many distractions has an impact on the student’s attention and participation, which limits their ability to interact effectively with the teacher and take advantage of the available means of communication.
  • Student interaction (dimension of student academic stress) has a negative influence on student collaboration (dimension of teaching practice). This indicates that when students feel that they are not sufficiently engaged or do not participate adequately, this affects their ability to collaborate effectively with their peers.
  • Digital resources (dimension of student academic stress) negatively influence the teaching process (dimension of teaching practice). This reflects that when students experience problems with technology, this is detrimental to teaching in a virtual environment since the effectiveness of the process depends largely on the availability and functionality of technological resources.
The model suggests that academic stress related to specific problems in the student’s environment (technological, time, distractions, etc.) has a detrimental effect on how students interact and collaborate in virtual teaching. Although virtual teaching practice does not directly generate academic stress, high levels of stress do appear to impair some aspects of the educational dynamic.
Therefore, institutions and teachers should consider these dimensions of academic stress to mitigate its effects on virtual teaching by adjusting the workload, improving technological resources, and promoting more suitable study environments for students.
In the model we analyzed, student academic stress arises mainly from contextual and personal factors that affect their ability to manage the demands of virtual education. These factors are not directly dependent on teaching practice but are more linked to the circumstances in which students find themselves during their remote learning process.
Although student academic stress affects certain aspects of their educational experience, the model indicates that there is no direct and significant relationship between virtual teaching practice and stress. This is because the source of stress is not in the quality of teaching or the pedagogical strategies implemented by the teacher, but in external factors that the student faces during the virtual learning process.
Teaching practice may be effectively designed and offer adequate support, interaction, and collaboration; however, student stress arises from conditions outside the direct intervention of the teacher. For example, a teacher may organize their virtual classes in a clear and accessible way, but if the student faces technological problems or a noisy environment, or feels they have too many responsibilities, these external factors will continue to affect their learning as the main source of their stress.
Overall, the model indicates that students’ academic stress in this context does not depend directly on how the teacher implements instruction, but on contextual and environmental elements that are beyond the teacher’s control. Teacher–student interaction may be affected by student stress, but this does not mean that the stress is caused by the teacher’s actions or by the educational practice itself.
This study validated two key scales for virtual education: the Teaching Practices Scale in Virtual Education (TPSVE), which measures teaching practices, and the Student Academic Stress Scale in Virtual Education (SASSEV), which assesses academic stress in virtual environments. Both tools are valuable for future research and the development of more effective pedagogical strategies and are presented below for use by the academic community (Table 24).

4. Discussion

Our study does not find a significant relationship between the latent variables virtual teaching practice and student academic stress. This finding is consistent with a previous study [68], which found that there is no direct relationship between the use of educational platforms and academic stress in university students. The coincidence between both studies suggests that the effects of academic stress in the virtual context may not depend exclusively on the use of technological tools, but on how pedagogical strategies are designed and implemented within these platforms.
However, one study found a direct relationship between virtual learning environments and students’ coping with stress, suggesting that the way virtual learning is structured may influence how students manage stress [69].
Therefore, educators and designers of virtual environments must consider not only the integration of technologies but also the proper management of academic demands and the creation of environments that minimize sources of stress. This approach would help reduce the negative effects of specific dimensions of academic stress on teaching practice, thus optimizing the quality of the educational process.
The results obtained in this study highlight several critical dimensions that contribute to students’ academic stress and their interaction with teaching practice in virtual learning environments. One of the main findings indicates that the academic overload experienced by students negatively affects their interaction with teachers, a key aspect of the educational process [70]. This overload suggests the need to balance and dimension the tasks assigned among the different school subjects, to mitigate its adverse effects on the teacher–student dynamic.
In addition, environmental distractions were identified as hurting both teacher interaction and media use. This finding supports the existing literature on the importance of reducing environmental distractions to facilitate cognitive performance [71] and suggests that strategies such as mindfulness can play a role in helping students manage these distractions. [72]. In this context, it would be useful to design interventions that promote more controlled and focused learning environments.
Interaction among students, another factor associated with academic stress, showed a negative influence on student collaboration. This result reinforces the need to foster connectivity and teamwork skills in remote learning contexts, as explored through digital resources [73] and even tools optimized by artificial intelligence [74].
Finally, problems related to digital resources, such as limited access or lack of functionality, adversely affect the effectiveness of the teaching process in virtual environments. This underscores the importance of ensuring the availability and proper design of these resources to facilitate a more effective and less stressful learning experience for students. These gaps in teaching practice and student interaction suggest the need to expand existing research [75] to develop interventions that are replicable at various grade levels and educational contexts.
Overall, the findings and complementary literature highlight the importance of comprehensive strategies that consider both student well-being and the optimization of teaching practice, particularly in the context of virtual education.
On the other hand, it is important to highlight that the five-factor structure of teaching practice (teacher interaction, media, student collaboration, teaching process, and teacher support) is congruent with that proposed by Zabalza, who emphasizes that effective teaching practices are adaptive and reflect cognitive and attitudinal components [51].
In addition, the finding on the importance of “Teacher Interaction” and “Teacher Support” aligns with Biggs, who suggests that the relationship between teacher and student is critical to promote deep learning and decrease stress [50]. However, Perrenoud emphasizes that reflective practice must be continuous to adapt pedagogical strategies to changing contexts, and this study does not explore in depth how teachers adapt their methods based on feedback [55].
The factors identified for academic stress (deadline management, workload, and perception of teacher support) reflect the dimensions of academic stress found in studies such as those of Naranjo, who noted that academic stress stems from various sources, such as workload and teacher expectations [76].
In a further previous study, 50% of participants were stressed by short turnaround times on academic assignments [77]. Another study showed that 41.5% of those surveyed presented moderate stress, the frequent causes being the short time to complete tasks and exams, and in the face of this, they presented permanent tiredness, drowsiness, and listlessness [78].
Another study found that more than 50% of students present a moderate level of academic stress, which is produced by fear of failure, family pressure, changes in eating habits, and new responsibilities in college, among others [79]. Meanwhile, the results of a survey indicated that 60% of respondents had a moderate level of academic stress, while 35.9% had a severe level, which were due to the short times given to complete work, the overload of tasks, the exams, the demanding teacher, the lack of clarity on the tasks, and the frequent use of technology, which affected the health of the respondents [80].
Other results indicated that 47.1% of participants had high levels of academic stress, while 37.8% had moderate levels of stress; it was also detected that women had higher levels of stress, and likewise, the participants who are between 16 and 25 years old had higher levels of stress [81]. In another study, it was found that the causes of academic stress were the teachers’ evaluations, the large amount of homework, the time given to complete it, the lack of understanding of the subjects in class, and the attitude and character of the teacher [82]. Similarly, another study—where the average age of the respondents was 21 years old—found that 96.32% of the respondents had academic stress, 66.94% of whom experienced this at the moderate level. The elements that made them stressed most frequently were the way teachers evaluated them and their formative practices [83].
The findings of this study align with and are further enriched by recent advancements in artificial intelligence (AI) applications in educational settings, particularly in addressing academic stress. The systematic review Integrating Artificial Intelligence to Assess Emotions in Learning Environments [84] highlights the potential of AI-driven tools to assess students’ emotional states in real-time, providing opportunities for adaptive and personalized support. Incorporating such technologies into virtual learning environments could complement the teaching practices identified in this study, offering proactive interventions to mitigate stress and improve engagement.
Similarly, a study emphasizes the effectiveness of integrating IoT-enabled AI systems for recognizing stress and emotional responses in students. These systems can enhance teacher–student interactions and collaboration by enabling more responsive and empathetic virtual environments, aligning with the dimensions of interaction and support validated in the structural equation model [85].
Additionally, another study demonstrates the transformative role of AI in promoting efficient workload management and reducing stress levels. AI-driven solutions, such as automated scheduling and intelligent tutoring systems, can directly address mediators of academic stress identified in this study, such as overload and resource adequacy, by optimizing task distribution and providing tailored academic resources [86].
These studies collectively underscore the potential of AI to bridge gaps in virtual education by enhancing emotional recognition, optimizing the workload, and providing personalized learning experiences. Future research should explore the integration of AI-driven tools within the framework proposed by this study to validate their effectiveness in diverse educational contexts. Moreover, interdisciplinary collaborations could refine these technologies to better align with pedagogical goals and the psychological well-being of students.
In the context of the increasing digitization of higher education, the mediating role of digital skills and mobile self-efficacy in the stress and academic engagement of university students is becoming more and more fundamental [87], aligned with several studies highlighting the power of virtual reality to help students cope with anxiety, depression, and stress [88,89,90], including scientific evidence combining virtual reality training with mindfulness-based training to reduce academic stress [91,92,93].
Looking ahead, the integration of virtual reality tools into digital teaching practices offers a promising horizon. These technologies integrated with mindfulness practices not only enhance interactive learning but also directly address the emotional and psychological needs of students. Thus, a holistic approach that combines effective pedagogical practices with innovative technological interventions, such as those based on VR, can transform higher education into a space that prioritizes both academic learning and students’ holistic well-being.

5. Conclusions

In summary, the study explored the relationship between virtual teaching practice and students’ academic stress, identifying that there is no significant relationship between these latent variables globally, but there are indirect effects in specific dimensions. Among the main findings, it is highlighted that factors such as academic overload, environmental distractions, and problems with digital resources negatively affect aspects of teaching practice such as interaction with students and the use of media. These results underscore the importance of designing adaptive pedagogical strategies that reduce sources of stress and optimize learning dynamics in virtual environments. Furthermore, this study confirms that key components of teaching practice, such as interaction and support, are fundamental to promoting deep learning and reducing academic stress.
Among the main limitations of the study is its cross-sectional design, which prevents the establishment of causal relationships between the variables analyzed. In addition, the context restricted to the virtual environment limits the generalization of the findings to other educational scenarios, such as face-to-face or hybrid modalities. Another relevant aspect is the lack of analysis on how teachers adjust their pedagogical strategies according to the feedback received, an element that has been pointed out as essential in the specialized literature. Likewise, although key dimensions of academic stress were identified, this study did not consider mediating or moderating variables, such as coping strategies or social support, which could offer a more complete view of the dynamics studied.
As for future perspectives, it is proposed that longitudinal research should be developed, permitting us to better understand how the relationships between teaching practice and academic stress evolve. It would also be valuable to replicate this study at different educational levels and in various cultural contexts to evaluate the applicability of the results in other scenarios. On the other hand, it is recommended that mediating and moderating variables should be incorporated, such as students’ level of digital competencies, coping strategies, and social support, to obtain a more holistic understanding. Finally, it is suggested that intervention programs should be designed and implemented with a focus on reducing environmental distractions, balancing academic demands, and optimizing the use of digital resources, to improve both student well-being and the effectiveness of teaching practice in virtual environments.
Reliability and validity analyses confirmed that the instruments are consistent and adequate to assess these practices and the constructs of this study, offering the scientific and educational community two robust scales for Teaching Practice in virtual environments, which are broken down into the following dimensions: Teacher Interaction, Media Communication, Student Collaboration, Teaching Process, Teacher Support, and for Student Academic Stress, structured in the following dimensions: Student Overload, Student Interaction, Digital Resources, and Environmental Distractions.
This study addressed three key research questions to advance the understanding of the relationship between digital teaching practices and academic stress in virtual environments.
(1)
What are the psychometric properties (construct validity and internal reliability) of the Teaching Practices Scale in Virtual Education (TPSVE), and how suitable is its structure for evaluating teaching practices in virtual education?
The TPSVE demonstrated strong psychometric properties, with a Cronbach’s alpha of 0.889, indicating high internal reliability. Construct validity was confirmed through exploratory and confirmatory factor analyses, identifying key dimensions such as teacher interaction, technology-mediated communication, and the teaching process. The scale’s structure is well-suited to evaluating teaching practices in virtual contexts, providing a robust framework for future research and assessments in this domain.
(2)
What are the psychometric properties (construct validity and internal reliability) of the Student Academic Stress Scale in Virtual Education (SASSEV), and how suitable is its structure for evaluating academic stress in virtual education?
The SASSEV also exhibited high internal reliability (α = 0.879) and significant construct validity. This instrument effectively captured essential dimensions of academic stress, such as overload, environmental distractions, and adequacy of digital resources. The scale is validated as a comprehensive tool for assessing the factors contributing to academic stress in virtual environments, facilitating the identification of critical areas for intervention.
(3)
What is the relationship between digital teaching practices and academic stress among university students in virtual learning environments, and what are the key factors influencing this dynamic according to a theoretical model validated through structural equation modeling?
The validated structural equation model (SEM) revealed a significant inverse relationship between digital teaching practices and academic stress. Factors such as high-quality teacher interaction, technology-mediated communication, and teacher support have a positively impact in reducing academic stress. However, this relationship is moderated by mediators such as academic overload, environmental distractions, and insufficient digital resources. The findings emphasize that well-designed teaching practices aimed at personalizing learning and minimizing technological barriers are essential for mitigating academic stress and improving student well-being.
The findings provide a solid theoretical framework to guide future research. Further studies should investigate contextual and sociodemographic differences that may influence the relationship between digital teaching practices and academic stress, as well as evaluate specific interventions, such as emotional support programs and personalized pedagogical strategies. From a practical perspective, educational institutions can design inclusive policies that not only optimize virtual environments but also strengthen the resilience, self-regulated learning, and the overall well-being of students.
Building on the established framework, future research could explore innovative directions to deepen the understanding of this relationship. One promising avenue is the integration of advanced learning analytics to identify patterns of academic stress in real-time and provide adaptive interventions. Additionally, longitudinal studies could investigate the long-term effects of digital teaching practices on academic stress and student well-being across diverse educational contexts. Exploring the role of emerging technologies, such as virtual reality (VR) and artificial intelligence (AI), in creating immersive and supportive learning environments is another potential area of study. Finally, interdisciplinary research that combines educational psychology, technology design, and policy development could yield holistic strategies to further enhance the effectiveness of virtual education while minimizing its adverse impacts on students.

Author Contributions

R.P.N.-F.: conceptualization, methodology, software, validation, formal analysis, investigation, resources, data curation, writing—original draft preparation, writing—review and editing, visualization, supervision, project administration. A.D.-A.: conceptualization, methodology, software, validation, formal analysis, investigation, resources, data curation, writing—original draft preparation, writing—review and editing, visualization, supervision. H.M.R.-O.: conceptualization, methodology, investigation, writing—original draft preparation. E.D.N.-F.: conceptualization, methodology, investigation, writing—original draft preparation. M.C.F.-C.: conceptualization, methodology, investigation, writing—original draft preparation. L.L.H.-R.: conceptualization, methodology, investigation, writing—original draft preparation. V.H.T.-M.: conceptualization, methodology, investigation, writing—original draft preparation. M.E.M.-F.: conceptualization, methodology, investigation, writing—original draft preparation. All authors have read and agreed to the published version of the manuscript.

Funding

This research received no external funding.

Institutional Review Board Statement

The study was conducted in accordance with the Declaration of Helsinki and approved by the Rectoral Resolution 05753-R-21-R/UNMSM of the Universidad Nacional Mayor de San Marcos (protocol code B21141111, approved on June 10, 2021).

Informed Consent Statement

Informed consent was obtained from all subjects involved in this study. Written informed consent has been obtained from the participants to publish this paper.

Data Availability Statement

The data supporting the findings of this study are available from the corresponding author upon reasonable request.

Acknowledgments

We would like to express our gratitude to all the students who participated in this study. Their valuable contributions and engagement were essential to the success of this research.

Conflicts of Interest

The authors declare no conflicts of interest.

References

  1. Pan, Q.; Fu, W.; Zhang, Y. Exploring the Relationship between Coping Styles and Well-Being among Chinese University Students: A Longitudinal Study Based on the Transactional Stress Model. Appl. Psychol. Health Well-Being 2024, 16, 1584–1605. [Google Scholar] [CrossRef] [PubMed]
  2. Wong Aitken, H.G.; Rabanal-León, H.C.; Saldaña-Bocanegra, J.C.; Carranza-Yuncor, N.R.; Rondon-Eusebio, R.F. Variables Linked to Academic Stress Related to the Psychological Well-Being of College Students Inside and Outside the Context of the COVID-19 Pandemic. Educ. Sci. 2024, 14, 739. [Google Scholar] [CrossRef]
  3. Ji, Q.; Zhang, L.; Xu, J.; Ji, P.; Song, M.; Chen, Y.; Guo, L. Associations of Mental Well-Being with Higher Education-Related Stress and Orientation of the Academic Goals among Nursing Students: A Cross-Sectional Study. Int. J. Ment. Health Nurs. 2024, 33, 1062–1072. [Google Scholar] [CrossRef] [PubMed]
  4. Por, J.; Barriball, L.; Fitzpatrick, J.; Roberts, J. Emotional Intelligence: Its Relationship to Stress, Coping, Well-Being and Professional Performance in Nursing Students. Nurse Educ. Today 2011, 31, 855–860. [Google Scholar] [CrossRef] [PubMed]
  5. Li, Z.-S.; Hasson, F. Resilience, Stress, and Psychological Well-Being in Nursing Students: A Systematic Review. Nurse Educ. Today 2020, 90, 104440. [Google Scholar] [CrossRef]
  6. Freire, C.; Ferradás, M.M.; Núñez, J.C.; Valle, A.; Vallejo, G. Eudaimonic Well-Being and Coping with Stress in University Students: The Mediating/Moderating Role of Self-Efficacy. Int. J. Environ. Res. Public Health 2019, 16, 48. [Google Scholar] [CrossRef] [PubMed]
  7. Neely, M.E.; Schallert, D.L.; Mohammed, S.S.; Roberts, R.M.; Chen, Y.-J. Self-Kindness When Facing Stress: The Role of Self-Compassion, Goal Regulation, and Support in College Students’ Well-Being. Motiv. Emot. 2009, 33, 88–97. [Google Scholar] [CrossRef]
  8. Barbayannis, G.; Bandari, M.; Zheng, X.; Baquerizo, H.; Pecor, K.W.; Ming, X. Academic Stress and Mental Well-Being in College Students: Correlations, Affected Groups, and COVID-19. Front. Psychol. 2022, 13, 886344. [Google Scholar] [CrossRef] [PubMed]
  9. Denovan, A.; Macaskill, A. Stress and Subjective Well-Being Among First Year UK Undergraduate Students. J. Happiness Stud. 2017, 18, 505–525. [Google Scholar] [CrossRef]
  10. Ansari, S.; Khan, I.; Iqbal, N. Association of Stress and Emotional Well-Being in Non-Medical College Students: A Systematic Review and Meta-Analysis. J. Affect. Disord. 2025, 368, 200–223. [Google Scholar] [CrossRef] [PubMed]
  11. Clabaugh, A.; Duque, J.F.; Fields, L.J. Academic Stress and Emotional Well-Being in United States College Students Following Onset of the COVID-19 Pandemic. Front. Psychol. 2021, 12, 628787. [Google Scholar] [CrossRef] [PubMed]
  12. He, F.X.; Turnbull, B.; Kirshbaum, M.N.; Phillips, B.; Klainin-Yobas, P. Assessing Stress, Protective Factors and Psychological Well-Being among Undergraduate Nursing Students. Nurse Educ. Today 2018, 68, 4–12. [Google Scholar] [CrossRef] [PubMed]
  13. Mammadov, S.; Lockhart, D.; Rinn, A.; Ward, T.J. Personality Profiles Among Honors and Regular Undergraduate Students: Associations with Well-Being and Strategies for Coping with Stress. Gift. Child Q. 2025, 69, 16–33. [Google Scholar] [CrossRef]
  14. Duchi, L.; Wijnia, L.; Loyens, S.; Paas, F. Redefining Education: The Role of Study Crafting in Enhancing Students’ Well-Being, Self-Direction, and Academic Achievement. Learn. Individ. Differ. 2025, 118, 102608. [Google Scholar] [CrossRef]
  15. Fülöp, M.; Varga, B.A.; Sebestyén, N. Competitive and Non-Competitive School Climate and Students’ Well-Being. Learn. Instr. 2025, 95, 102036. [Google Scholar] [CrossRef]
  16. Laakso, M.; Fagerlund, Å.; Lagerström, M. Increasing Student Well-Being through a Positive Psychology Intervention: Changes in Salivary Cortisol, Depression, Psychological Well-Being, and Hope. Appl. Psychol. Health Well-Being 2025, 17, e12616. [Google Scholar] [CrossRef]
  17. Wahyuni, E.N.; Maksum, A.; Aziz, R.; Mangestuti, R. Strategies for Students’ Well-Being Development: The Task-Oriented Classroom Approach. Int. J. Eval. Res. Educ. 2025, 14, 535–543. [Google Scholar] [CrossRef]
  18. Martín Monzón, I.M. Estrés académico en estudiantes universitarios. Apunt. Psicol. 2007, 25, 87–99. [Google Scholar] [CrossRef]
  19. Akgun, S.; Ciarrochi, J. Learned Resourcefulness Moderates the Relationship between Academic Stress and Academic Performance. Educ. Psychol. 2003, 23, 287–294. [Google Scholar] [CrossRef]
  20. Backović, D.V.; Živojinović, J.I.; Maksimović, J.; Maksimović, M. Gender Differences in Academic Stress and Burnout among Medical Students in Final Years of Education. Psychiatr. Danub. 2012, 24, 175–181. [Google Scholar] [PubMed]
  21. Bedewy, D.; Gabriel, A. Examining Perceptions of Academic Stress and Its Sources among University Students: The Perception of Academic Stress Scale. Health Psychol. Open 2015, 2, 2055102915596714. [Google Scholar] [CrossRef] [PubMed]
  22. Chandra, Y. Online Education during COVID-19: Perception of Academic Stress and Emotional Intelligence Coping Strategies among College Students. Asian Educ. Dev. Stud. 2021, 10, 229–238. [Google Scholar] [CrossRef]
  23. Misra, R.; Castillo, L.G. Academic Stress among College Students: Comparison of American and International Students. Int. J. Stress Manag. 2004, 11, 132–148. [Google Scholar] [CrossRef]
  24. Rayle, A.D.; Chung, K.-Y. Revisiting First-Year College Students’ Mattering: Social Support, Academic Stress, and the Mattering Experience. J. Coll. Stud. Retent. Res. Theory Pract. 2007, 9, 21–37. [Google Scholar] [CrossRef]
  25. Reddy, K.J.; Menon, K.R.; Thattil, A. Academic Stress and Its Sources among University Students. Biomed. Pharmacol. J. 2018, 11, 531–537. [Google Scholar] [CrossRef]
  26. Struthers, C.W.; Perry, R.P.; Menec, V.H. An Examination of the Relationship among Academic Stress, Coping, Motivation, and Performance in College. Res. High. Educ. 2000, 41, 581–592. [Google Scholar] [CrossRef]
  27. Wilks, S.E.; Spivey, C.A. Resilience in Undergraduate Social Work Students: Social Support and Adjustment to Academic Stress. Soc. Work Educ. 2010, 29, 276–288. [Google Scholar] [CrossRef]
  28. Lizarte Simón, E.J.; Gijón Puerta, J.; Galván Malagón, M.C.; Khaled Gijón, M. Influence of Self-Efficacy, Anxiety and Psychological Well-Being on Academic Engagement During University Education. Educ. Sci. 2024, 14, 1367. [Google Scholar] [CrossRef]
  29. Schladitz, S.; Rölle, D.; Drüge, M. Is Intrinsic Motivation Related to Lower Stress among University Students? Relationships between Motivation for Enrolling in a Study Program, Stress, and Coping Strategies. Educ. Sci. 2024, 14, 851. [Google Scholar] [CrossRef]
  30. Knežević, M.; Polak, N. Beyond the Screen: Predictors of Academic Stress and Resilience among University Students in Online Education. Psihol. Teme 2024, 33, 311–332. [Google Scholar] [CrossRef]
  31. Wulandari, C.P.; Muthi’Ah, A.D.; Aldhama, S.A.; Shafarani, R.S.; Yohana, P. Analyzing Perceived Academic Stress among First Year Undergraduate Students during Online Distance Learning. AIP Conf. Proc. 2023, 2536, 040001. [Google Scholar]
  32. Scheffert, A.H.M.; Parrish, D.E.; Harris, H. Factors Associated With Social Work Students’ Academic Stress During the COVID-19 Pandemic: A National Survey. J. Soc. Work Educ. 2021, 57, 182–193. [Google Scholar] [CrossRef]
  33. Gumasing, M.J.J.; Josue, N.L.; Salazar, E.D.U.U.; Urbiztondo, A.M.B.; Rodriguez, R.J.R.A. Effects of Academic Stress on the Fatigue Level of Students in Online Learning. In Proceedings of the 2023 14th International Conference on E-Education, E-Business, E-Management and E-Learning, Shenzhen, China, 1–4 February 2023; pp. 177–182. [Google Scholar]
  34. Murdhiono, W.R.; Vidayanti, V.; Retnaningsih, L.N.; Setiawan, D.I.; Wiyani, C.; Syafitri, E.N.; Widayati, R.W. Gender, Self-Control and Self-Development Affect Academic Stress During Online Learning Among Undergraduate Students Program. Malays. J. Med. Health Sci. 2022, 18, 81–85. [Google Scholar]
  35. Sato, S.N.; Condes Moreno, E.; Rubio-Zarapuz, A.; Dalamitros, A.A.; Yañez-Sepulveda, R.; Tornero-Aguilera, J.F.; Clemente-Suárez, V.J. Navigating the New Normal: Adapting Online and Distance Learning in the Post-Pandemic Era. Educ. Sci. 2024, 14, 19. [Google Scholar] [CrossRef]
  36. Díaz Martín, Y.; Guano Bermeo, I.; Pérez Esquive, V. Academic Stress and Coping in Medicine Students of Universidad Técnica de Ambato. Investig. Clin. 2018, 59, 215–222. [Google Scholar]
  37. Hosseinkhani, Z.; Nedjat, S.; Parsaeian, M.; Hampa, F.V.E.I.S.I.; Hassanabadi, H.-R. Designing and Psychometric Evaluation of Iranian Students’ Academic Stress Questionnaire (Iaasq). Iran. J. Public Health 2020, 49, 701–710. [Google Scholar] [CrossRef] [PubMed]
  38. Manjula, M. Academic Stress Management: An Intervention in Pre-University College Youth. J. Indian Acad. Appl. Psychol. 2016, 42, 105–113. [Google Scholar]
  39. Pontes, A.; Coelho, V.; Peixoto, C.; Meira, L.; Azevedo, H. Academic Stress and Anxiety among Portuguese Students: The Role of Perceived Social Support and Self-Management. Educ. Sci. 2024, 14, 119. [Google Scholar] [CrossRef]
  40. Liu, Y.; Lu, Z. Chinese High School Students’ Academic Stress and Depressive Symptoms: Gender and School Climate as Moderators. Stress Health 2012, 28, 340–346. [Google Scholar] [CrossRef] [PubMed]
  41. Berdida, D.J.E. Resilience and Academic Motivation’s Mediation Effects in Nursing Students’ Academic Stress and Self-Directed Learning: A Multicenter Cross-Sectional Study. Nurse Educ. Pract. 2023, 69, 103639. [Google Scholar] [CrossRef] [PubMed]
  42. Liu, Y. The Longitudinal Relationship between Chinese High School Students’ Academic Stress and Academic Motivation. Learn. Individ. Differ. 2015, 38, 123–126. [Google Scholar] [CrossRef]
  43. Kim, M.; Poncy, G.; Lopez, F.G. Passive Facebook Use and Students’ Academic Stress: The Moderating Role of Authenticity. J. Am. Coll. Health 2024, 72, 554–562. [Google Scholar] [CrossRef] [PubMed]
  44. Zarei, P.; Hashemi, T.; Sadipoor, S.; Delavar, A.; Khoshnevisan, Z. Effectiveness of Coping Strategies in Reducing Student’s Academic Stress. Int. J. Ment. Health Addict. 2016, 14, 1057–1061. [Google Scholar] [CrossRef]
  45. Zhao, Y. The Impact of College Students’ Academic Stress on Student Satisfaction from a Typological Perspective: A Latent Profile Analysis Based on Academic Self-Efficacy and Positive Coping Strategies for Stress. Behav. Sci. 2024, 14, 311. [Google Scholar] [CrossRef]
  46. Schmidt, M.; Pinney, B.; Werning, S. Declining Student Performance and Satisfaction Following Back-to-Back Scheduling of Foundational Science Exams: Experience at a Large US Osteopathic Medical School. Educ. Sci. 2022, 12, 94. [Google Scholar] [CrossRef]
  47. Busari, A.O. Validation of Student Academic Stress Scale (SASS). Eur. J. Soc. Sci. 2011, 21, 94–105. [Google Scholar]
  48. Valencia, R.A.M.; Ruiz, J.M.T.; Vega, A.R. Solutions and Consequences of Synchronous Remote Teaching and Types of Asynchronous Communication. Hum. Rev. Int. Humanit. Rev./Rev. Int. Humanidades 2022, 11, 1–10. [Google Scholar] [CrossRef]
  49. Becerril Calderón, S.R. Comprender la Práctica Docente: Categorías Para Una Interpretación Científica. Plaza y Valdes: Mexico City, Mexico, 1999; ISBN 978-968-856-640-4. [Google Scholar]
  50. Biggs, J. Calidad del Aprendizaje Universitario. Narcea, S.A. de Ediciones: Madrid, Spain, 2006; ISBN 84-277-1398-3. [Google Scholar]
  51. Zabalza Beraza, M.Á. El estudio de las buenas prácticas docentes en la enseñanza universitaria. REDU Rev. Docencia Univ. 2012, 10, 17–42. [Google Scholar] [CrossRef]
  52. Deroncele-Acosta, A.; Zuta, P.M.; Tur, R.G. Management of formation potentialities in the individual: Epistemic reflection and methodological guidelines. Univ. Soc. 2020, 12, 97–104. [Google Scholar]
  53. Mollo Flores, M.E.; Deroncele Acosta, A. Integrated Formative Feedback Modelan. Univ. Soc. 2022, 14, 391–401. [Google Scholar]
  54. Imbernón Muñoz, F. Un nuevo Profesorado para una nueva Universidad: ¿conciencia o presión? RIFOP Rev. Interuniv. Form. Profr. Contin. Antig. Rev. Esc. Norm. 2000, 38, 37–46. [Google Scholar]
  55. Perrenoud, P. Desarrollar la Práctica Reflexiva en el Oficio de Enseñar. Graó: Barcelona, Spain, 2004; ISBN 978-84-7827-323-2. [Google Scholar]
  56. Atuncar-Prieto, C.; Deroncele-Acosta, A. Educational virtualization model in initial teacher training. In Proceedings of the 2021 XVI Latin American Conference on Learning Technologies (LACLO), Arequipa, Peru, 19–21 October 2021; pp. 490–493. [Google Scholar]
  57. Yakovleva, O. Digital Learning Environment Values of Pre-Service Teachers as a Basis for Successful Professional Self-Realisation: A Case Study. Educ. Sci. 2022, 12, 120. [Google Scholar] [CrossRef]
  58. Dorfsman, M.; Horenczyk, G. Experienced, Enthusiastic and Cautious: Pedagogy Profiles in Emergency and Post-Emergency. Educ. Sci. 2022, 12, 756. [Google Scholar] [CrossRef]
  59. Alemán-Saravia, A.C.; Deroncele-Acosta, A. Technology, Pedagogy and Content (TPACK Framework): Systematic Literature Review. In Proceedings of the 2021 XVI Latin American Conference on Learning Technologies (LACLO), Arequipa, Peru, 19–21 October 2021; pp. 104–111. [Google Scholar]
  60. Alemán-Saravia, A.C.; Deroncele-Acosta, A.; Robles-Mori, H. Translation, Cultural Adaptation and Validation of the TPACK-21 Questionnaire in Teachers’ in-Service. Rev. Cienc. Soc. 2023, 29, 453–469. [Google Scholar] [CrossRef]
  61. Alvarez-Blanco, L.; Castro-Lopez, A.; Cervero, A. Intelligent Analysis of the Quality of Education through Teaching Practices on Virtual Campuses. Eur. J. Psychol. Educ. 2023, 38, 1111–1128. [Google Scholar] [CrossRef]
  62. Badia, A.; Becerril, L. Renaming Teaching Practice through Teacher Reflection Using Critical Incidents on a Virtual Training Course. J. Educ. Teach. 2016, 42, 224–238. [Google Scholar] [CrossRef]
  63. Palacios-Núñez, M.; Deroncele-Acosta, A. Online Collaborative Learning: Analysis of the Current State. In Proceedings of the 2021 XVI Latin American Conference on Learning Technologies (LACLO), Arequipa, Peru, 19–21 October 2021; pp. 44–51. [Google Scholar]
  64. Tonelli, E.; De Souza, C.H.M.; De Almeida, F.M. The Teaching Practises in Virtual Learning Environments in Dialogicity Context. Observatorio 2015, 9, 149–158. [Google Scholar]
  65. Pelliccione, L.; Broadley, T. R U There yet? In Using Virtual Classrooms to Transform Teaching Practice. In Proceedings of the Ascilite Sydney 2010, Sydney, Australia, 5–8 December 2010; pp. 749–760. [Google Scholar]
  66. de Freitas, S.; Dunwell, I.; Rebolledo-Mendez, G. Learning as Immersive Experience: Learning and Teaching Practices in Virtual Worlds. In Teaching and Learning in 3D Immersive Worlds: Pedagogical Models and Constructivist Approaches; IGI Global: New York, NY, USA, 2011; pp. 15–30. [Google Scholar]
  67. Zhou, J.; Zhou, Y.; Shan, S. Integration of Virtual Reality Technology and Innovative Teaching Practices in Rehabilitation Education and Management. Appl. Math. Nonlinear Sci. 2024, 9. [Google Scholar] [CrossRef]
  68. Berrio-Quispe, M.L.; Chavez-Bellido, D.E.; Gonzalez-Diaz, R.R. Use of Educational Platforms and Student Academic Stress during COVID-19. In Proceedings of the 2021 16th Iberian Conference on Information Systems and Technologies (CISTI), Chaves, Portugal, 23–26 June 2021. [Google Scholar]
  69. Aldana-Trejo, F.; Nieves-Barreto, C.; Farfán-Aguilar, J.; Torres-Quiroz, A.; Alvarado-Bravo, N.; Gutierrez-Tirado, R.; Chavez-Sanchez, W. Virtual Learning and Coping with Stress Generated in University Students in the Context of the COVID-19 Pandemic. In Proceedings of the 20th LACCEI International Multi-Conference for Engineering, Education and Technology: “Education, Research and Leadership in Post-pandemic Engineering: Resilient, Inclusive and Sustainable Actions”, Boca Raton, FL, USA, 18–22 July 2022. [Google Scholar]
  70. Peko, A.; Dubovicki, S.; Munjiza, E. Does Homework as a Learning Strategy Stimulate Additional Student Overload? Didact. Slov.-Pedagos. Obz. 2014, 29, 49–65. [Google Scholar]
  71. Vredeveldt, A.; Perfect, T. Reduction of Environmental Distraction to Facilitate Cognitive Performance. Front. Psychol. 2014, 5, 860. [Google Scholar] [CrossRef]
  72. Passmore, J. Mindfulness in Coaching: Identifying Environmental Distractions. In Coaching Practiced; Wiley: Hoboken, NJ, USA, 2022; pp. 347–350. [Google Scholar]
  73. Hehir, E.; Zeller, M.; Luckhurst, J.; Chandler, T. Developing Student Connectedness under Remote Learning Using Digital Resources: A Systematic Review. Educ. Inf. Technol. 2021, 26, 6531–6548. [Google Scholar] [CrossRef] [PubMed]
  74. Jokhan, A.; Chand, A.A.; Singh, V.; Mamun, K.A. Increased Digital Resource Consumption in Higher Educational Institutions and the Artificial Intelligence Role in Informing Decisions Related to Student Performance. Sustainability 2022, 14, 2377. [Google Scholar] [CrossRef]
  75. Pianta, R.C. Teacher–Student Interactions: Measurement, Impacts, Improvement, and Policy. Policy Insights Behav. Brain Sci. 2016, 3, 98–105. [Google Scholar] [CrossRef]
  76. Naranjo Pereira, M.L. Una revisión teórica sobre el estrés y algunos aspectos relevantes de éste en el ámbito educativo. Rev. Educ. 2009, 33, 171–190. [Google Scholar] [CrossRef]
  77. González Briones, J.M.; Ferrusca Rangel, L.G.; Ortiz Reséndiz, A.; Gallegos Torres, R.M.; Nilo, S.G. Estrés académico en estudiantes de licenciatura en medicina de una universidad pública de Querétaro, México. Horiz. Enfermería 2024, 35, 110–118. [Google Scholar] [CrossRef]
  78. Romero, A.C.; Paz, E.; Medina, N. Academic Stress in Students of the Faculty of Engineering at a Honduran University. In Proceedings of the 22nd LACCEI International Multi-Conference for Engineering, Education and Technology (LACCEI 2024), San Jose, Costa Rica, 17–19 July 2024. [Google Scholar]
  79. Pinto Aragón, E.E.; Villa Navas, A.R.; Pinto Aragón, H.A. Estrés académico en estudiantes de la Universidad de La Guajira, Colombia. Rev. Cienc. Soc. 2022, 28, 87–99. [Google Scholar] [CrossRef]
  80. Calizaya López, J.; Alvarez, G.; Ortega, G.; Vilca, Y. Academic Stress in University Students in a Period of Confinement Due to COVID 19. Univ. Cienc. Y Tecnol. 2021, 25, 23–30. [Google Scholar] [CrossRef]
  81. Estrada Araoz, E.G.; Mamani Roque, M.; Gallegos Ramos, N.A.; Mamani Uchasara, H.J.; Zuloaga Araoz, M.C. Estrés Académico en Estudiantes Universitarios Peruanos en Tiempos de la Pandemia del COVID-19. 2021. Available online: http://saber.ucv.ve/ojs/index.php/rev_aavft/article/view/22351 (accessed on 15 November 2024).
  82. Silva Ramos, M.F.; López Cocotle, J.J.; Columba Meza Zamora, M.E. Estrés académico en estudiantes universitarios. Investig. Y Cienc. Univ. Autónoma Aguascalientes 2020, 28, 75–83. [Google Scholar] [CrossRef]
  83. Llorente Pérez, Y.J.; Herrera Herrera, J.L.; Hernández Galvis, D.Y.; Padilla Gómez, M.; Padilla Choperena, C.I. Estrés académico en estudiantes de un programa de Enfermería—Montería 2019. Rev. Cuid. 2020, 11, 12. [Google Scholar] [CrossRef]
  84. Rojas Vistorte, A.O.; Deroncele-Acosta, A.; Martín Ayala, J.L.; Barrasa, A.; López-Granero, C.; Martí-González, M. Integrating Artificial Intelligence to Assess Emotions in Learning Environments: A Systematic Literature Review. Front. Psychol. 2024, 15, 1387089. [Google Scholar] [CrossRef] [PubMed]
  85. Lu, Z.; Zhou, L. Entertainment Robots Based on Internet of Things and Artificial Intelligence in the Process of Student Stress and Emotion Recognition. Entertain. Comput. 2025, 52, 100786. [Google Scholar] [CrossRef]
  86. Li, E.Y.; Jan, A. Impact of Artificial Intelligence (AI) in Enhancing Productivity and Reducing Stress Among Students. In Proceedings of the ICEB 2023 Proceedings, Chiayi, Taiwan, 19–23 October 2023; Volume 23, pp. 334–342. [Google Scholar]
  87. Arbulú Pérez Vargas, C.G.; Moreno Muro, J.P.; Pérez Delgado, J.W.; Espino Carrasco, D.K.; Fernández Cueva, A.; Acosta-Enriquez, B.G. Mediating Role of Digital Skills and Mobile Self-Efficacy in the Stress and Academic Engagement of Peruvian University Students in Postpandemic Virtual Environments. BMC Psychol. 2024, 12, 481. [Google Scholar] [CrossRef]
  88. Yang, P. Virtual Reality Tools to Support Music Students to Cope with Anxiety and Overcome Stress. Educ. Inf. Technol. 2024, 29, 16525–16540. [Google Scholar] [CrossRef]
  89. El-Qirem, F.A.; Malak, M.Z.; Bani Salameh, A.K.; Ali, R.; Alsswey, A. Effect of Virtual Reality Therapy on Stress and Anxiety Symptoms, and Physiological Measures among University Students: An Experimental Study in Jordan. Curr. Psychol. 2023, 42, 18997–19005. [Google Scholar] [CrossRef]
  90. Xu, W.; Liang, H.-N.; Baghaei, N.; Ma, X.; Yu, K.; Meng, X.; Wen, S. Effects of an Immersive Virtual Reality Exergame on University Students’ Anxiety, Depression, and Perceived Stress: Pilot Feasibility and Usability Study. JMIR Serious Games 2021, 9, e29330. [Google Scholar] [CrossRef]
  91. Zheng, L.; Li, W.; Song, S.; Xiao, X.; Low, S.R.; Zhang, Y.; Yu, X.; Peng, Y. Effectiveness of Mindfulness-Based Virtual Reality Training on Stress, Anxiety, and Depression among Chinese University Students. Mindfulness 2024, 15, 899–913. [Google Scholar] [CrossRef]
  92. Modrego-Alarcón, M.; López-del-Hoyo, Y.; García-Campayo, J.; Pérez-Aranda, A.; Navarro-Gil, M.; Beltrán-Ruiz, M.; Morillo, H.; Delgado-Suarez, I.; Oliván-Arévalo, R.; Montero-Marin, J. Efficacy of a Mindfulness-Based Programme with and without Virtual Reality Support to Reduce Stress in University Students: A Randomized Controlled Trial. Behav. Res. Ther. 2021, 142, 103866. [Google Scholar] [CrossRef]
  93. El Morr, C.; Ritvo, P.; Ahmad, F.; Moineddin, R. Effectiveness of an 8-Week Web-Based Mindfulness Virtual Community Intervention for University Students on Symptoms of Stress, Anxiety, and Depression: Randomized Controlled Trial. JMIR Ment. Health 2020, 7, e18595. [Google Scholar] [CrossRef]
Figure 1. Teaching practice measurement model (standardized loads). e1-e21 = error. TP1-TP35 = items.
Figure 1. Teaching practice measurement model (standardized loads). e1-e21 = error. TP1-TP35 = items.
Applsci 15 01487 g001
Figure 2. Academic stress measurement model (standardized loadings). e1-e15 = error. SAS = items.
Figure 2. Academic stress measurement model (standardized loadings). e1-e15 = error. SAS = items.
Applsci 15 01487 g002
Figure 3. Structural equation model of university teaching practice and academic stress of university students in virtual education. E1-E9 = error.
Figure 3. Structural equation model of university teaching practice and academic stress of university students in virtual education. E1-E9 = error.
Applsci 15 01487 g003
Table 1. Statistics of the items deleted from the teaching practice.
Table 1. Statistics of the items deleted from the teaching practice.
Item codeElement StatisticsElement Deleted
MediaStandard
Deviation
Total Correlation of Corrected ElementsSquared Multiple CorrelationCronbach’s Alpha If the Item Has Been Deleted
PD13.420.8780.5620.5960.931
PD23.440.8250.5670.5980.931
PD33.240.8880.5240.3810.931
PD43.240.9290.5180.3740.931
PD53.440.9730.4950.4410.931
PD63.640.8970.5450.4810.931
PD73.130.9500.4710.2710.932
PD83.271.0500.4250.2640.932
PD93.041.0870.3820.2510.933
PD103.491.1150.3710.2470.933
PD113.301.0610.4270.2650.932
PD123.560.8730.5440.3660.931
PD133.460.9100.4880.2960.932
PD143.400.8880.5680.3650.931
PD153.520.8620.5410.3440.931
PD163.450.8890.5480.3510.931
PD173.640.8970.5350.3550.931
PD183.410.9560.5330.3380.931
PD193.500.9400.5450.3700.931
PD203.690.9850.4750.3300.932
PD213.900.9420.4920.3950.931
PD223.600.9120.6080.4440.930
PD233.400.9420.5340.4070.931
PD243.230.9880.5200.3990.931
PD253.191.0450.4310.2540.932
PD263.390.8250.6300.4520.930
PD273.590.7700.6090.4430.931
PD283.570.8130.6060.4330.930
PD293.380.8930.5700.3860.931
PD303.360.8840.6290.4530.930
PD313.360.8440.5880.4150.931
PD323.520.8870.5480.3430.931
PD332.801.0620.3840.2740.933
PD343.070.9980.5070.3740.931
PD353.410.9500.5630.3610.931
Table 2. Initial communalities of the teaching practice items.
Table 2. Initial communalities of the teaching practice items.
ItemCommunityItemCommunityItemCommunityItemCommunity
PD10.755PD110.456PD210.570PD310.517
PD20.747PD120.478PD220.528PD320.414
PD30.557PD130.418PD230.584PD330.522
PD40.544PD140.416PD240.594PD340.541
PD50.741PD150.401PD250.445PD350.425
PD60.718PD160.404PD260.503
PD70.372PD170.454PD270.503
PD80.397PD180.387PD280.497
PD90.501PD190.449PD290.468
PD100.479PD200.486PD300.529
Table 3. Initial total variance explained by the underlying factors of teaching practice.
Table 3. Initial total variance explained by the underlying factors of teaching practice.
ComponentInitial EigenvaluesSums of Squared
Extraction Charges
Sums of Loads
Squared by Rotation
Total% Variance% AccumulatedTotal% Variance% AccumulatedTotal
111.13631.81731.81711.13631.81731.8179.742
21.6294.65336.4701.6294.65336.4707.136
31.5204.34440.8141.5204.34440.8145.784
41.3863.96044.7741.3863.96044.7745.209
51.1243.21247.9871.1243.21247.9875.642
61.0042.87050.8561.0042.87050.8562.636
70.9592.74053.596
80.8842.52656.122
90.8822.52058.642
100.8032.29560.937
110.7602.17063.107
120.7352.10065.207
130.7052.01367.220
140.6951.98769.207
150.6681.90871.115
160.6471.84872.963
170.6331.81074.773
180.6221.77676.549
190.6081.73878.287
200.5901.68579.973
210.5791.65581.628
220.5571.59283.220
230.5531.58084.800
240.5331.52286.322
250.5061.44587.767
260.4991.42689.193
270.4941.41290.605
280.4921.40492.009
290.4741.35393.363
300.4591.31394.675
310.4381.25395.928
320.4271.21997.147
330.4031.15198.298
340.3490.99899.296
350.2460.704100.000
Table 5. Final commonalities of the teaching practice items.
Table 5. Final commonalities of the teaching practice items.
ItemCommunalityItemCommunality
PD10.806PD200.472
PD20.808PD210.571
PD30.516PD220.505
PD50.802PD260.519
PD60.782PD270.509
PD80.452PD280.500
PD90.541PD320.436
PD100.571PD330.599
PD110.450PD340.630
PD170.411PD350.498
PD190.436
Table 6. Final total variance explained by the underlying factors of teaching practice.
Table 6. Final total variance explained by the underlying factors of teaching practice.
ComponentInitial EigenvaluesSums of Squared
Extraction Charges
Sums of Loads Squared by Rotation *
Total% Variance% AccumulatedTotal% Variance% AccumulatedTotal
16.85032.62032.6206.85032.62032.6205.819
21.4236.77839.3981.4236.77839.3984.215
31.2736.06445.4621.2736.06445.4623.126
41.1895.66251.1231.1895.66251.1233.561
51.0775.12856.2511.0775.12856.2513.329
60.8414.00460.255
70.7763.69463.950
80.7093.37767.326
90.6703.18970.515
100.6683.18273.697
110.6413.05476.751
120.6272.98879.739
130.6092.90182.640
140.5812.76885.408
150.5402.57387.982
160.5222.48390.465
170.5082.42192.886
180.4632.20395.088
190.4232.01597.104
200.3611.71998.822
210.2471.178100.000
Table 7. Factor loadings by the method of extraction of the teaching practice items.
Table 7. Factor loadings by the method of extraction of the teaching practice items.
ItemExtraction Methods
Principal
Components Analysis
Unweighted
Least-Squares
Principal Axis
Factorization
Alpha FactorizationImage Factoring
PD10.9090.8610.8690.8640.737
PD20.9190.9040.8970.8910.744
PD30.5990.3660.3660.3750.351
PD50.9010.7970.7930.7770.587
PD60.8380.7720.7760.7870.563
PD80.5890.4450.4450.4310.321
PD90.6790.5430.5430.5480.367
PD100.7310.6010.6010.6070.394
PD110.5950.4450.4450.4300.325
PD170.5890.5410.5410.5250.491
PD190.5580.4680.4680.4950.423
PD200.7220.5940.5950.6360.537
PD210.8130.8020.8020.7950.698
PD220.6400.6250.6250.6040.558
PD260.5540.5440.5440.5280.483
PD270.6250.6100.6100.5850.555
PD280.6230.6010.6000.5850.539
PD320.5250.4580.4580.4570.403
PD330.8100.6260.6260.6300.500
PD340.7800.7110.7100.7190.527
PD350.5130.4280.4280.4250.360
Table 9. Covariance weights of the teaching practice measurement model.
Table 9. Covariance weights of the teaching practice measurement model.
CovariabilityCovarianceCorrelationS.E.C.R.p-Value
F2F50.1990.5890.01612.202***
F3F40.1980.6450.01513.051***
F2F40.2180.630.01613.61***
F4F50.2080.8870.01513.65***
F3F50.1940.6470.01611.881***
F1F50.2130.7310.01613.344***
F1F30.2190.5760.01712.792***
F1F40.230.7710.01614.033***
F2F30.2110.4770.01811.888***
F1F20.2670.6240.01914.24***
e1e20.1710.5260.0189.483***
e11e120.1190.2010.0177.071***
e12e130.0970.1620.0165.95***
e13e140.1310.2590.0158.728***
e15e160.0380.1180.0094.06***
e16e170.0550.1610.015.431***
e19e200.0840.1240.024.135***
e11e130.0720.1310.0145.172***
e6e9−0.124−0.1870.023−5.47***
Note: S.E. = standard error, C.R. = critical ratio. *** Significance at 0.1%
Table 10. Measures of adjustment of the teaching practice measurement model.
Table 10. Measures of adjustment of the teaching practice measurement model.
MeasureValue ObtainedThresholdInterpretation
AcceptableIdeal
CMIN/DF2.1951–31–2Acceptable
RMR0.037<0.08<0.05Ideal
GFI0.955>0.90>0.95Ideal
AGFI0.939>0.90>0.95Acceptable
PGFI0.703>0.50>0.60Ideal
NFI0.794>0.90>0.95Not Acceptable
RFI0.746>0.90>0.95Not Acceptable
IFI0.876>0.90>0.95Not Acceptable
TLI0.843>0.90>0.95Not Acceptable
CFI0.873>0.90>0.95Not Acceptable
PRATIO0.8100.50–1.000.80–1.00Ideal
PNFI0.643>0.50>0.60Ideal
PCFI0.707>0.50>0.70Ideal
RMSEA0.025<0.08<0.05Ideal
Hoelter (0.05)1032>200-Ideal
Hoelter (0.01)1106>200-Ideal
Table 11. Academic stress item and suppressed item statistics.
Table 11. Academic stress item and suppressed item statistics.
Item CodeElement StatisticsElements Deleted
MediaStandard
Deviation
Total Correlation of
Corrected Elements
Squared Multiple CorrelationCronbach’s Alpha If the Item Has Been Deleted
EA12.901.0930.4700.2500.908
EA23.561.0290.5580.5060.906
EA33.441.0210.5610.4710.906
EA43.091.1930.4740.4290.908
EA53.301.1580.4810.4380.908
EA63.161.0130.4890.2700.908
EA73.441.0010.5880.4120.906
EA83.191.1860.5550.4040.906
EA93.301.1020.5970.4850.905
EA103.031.0570.5900.3990.905
EA113.301.0520.5700.3690.906
EA123.041.0660.5480.3920.906
EA133.231.0790.5730.4320.906
EA143.291.0450.6550.6180.904
EA153.321.0420.6410.6040.904
EA163.060.9970.5830.4190.906
EA172.941.0260.5280.4050.907
EA182.701.0870.4890.4120.908
EA192.861.1160.4680.4820.908
EA203.131.2120.4450.4020.909
EA213.321.1040.6230.4480.905
Table 12. Initial communalities of academic stress items.
Table 12. Initial communalities of academic stress items.
ItemCommunalityItemCommunalityItemCommunality
EA10.287EA80.555EA150.648
EA20.693EA90.643EA160.476
EA30.620EA100.548EA170.534
EA40.681EA110.446EA180.595
EA50.697EA120.560EA190.701
EA60.330EA130.570EA200.537
EA70.497EA140.661EA210.569
Table 13. The initial total variance is explained by the underlying factors of academic stress.
Table 13. The initial total variance is explained by the underlying factors of academic stress.
ComponentInitial EigenvaluesSums of Squared Extraction ChargesSums of Charges Squared by Rotation *
Total% Variance% AccumulatedTotal% Variance% AccumulatedTotal
17.67336.53936.5397.67336.53936.5396.113
21.6247.73244.2711.6247.73244.2715.956
31.4026.67850.9491.4026.67850.9494.597
41.1485.46756.4171.1485.46756.4173.154
50.9034.30060.717
60.8754.16964.886
70.7703.66868.553
80.6783.22871.781
90.6563.12574.906
100.6202.95277.858
110.5492.61780.474
120.5132.44382.917
130.4972.36885.285
140.4942.35387.638
150.4522.15389.791
160.4232.01391.803
170.3971.89193.695
180.3801.80895.503
190.3621.72397.226
200.3301.57298.797
210.2531.203100.000
Note: * Extraction method: principal component analysis. *When the components are correlated, the sums of squared loadings cannot be added to obtain a total variance.
Table 15. Final commonalities of academic stress items.
Table 15. Final commonalities of academic stress items.
ItemCommunalityItemCommunalityItemCommunality
EA20.685EA90.650EA170.509
EA30.635EA120.578EA180.591
EA40.754EA130.606EA190.728
EA50.758EA140.691EA200.571
EA80.595EA150.675EA210.591
Table 16. Final total variance explained by the factors underlying academic stress.
Table 16. Final total variance explained by the factors underlying academic stress.
ComponentInitial EigenvaluesSums of Loads Squared by ExtractionSums of Loads Squared by Rotation *
Total% Variance% AccumulatedTotal% Variance% AccumulatedTotal
15.66437.75737.7575.66437.75737.7574.440
21.53910.26048.0161.53910.26048.0164.136
31.3298.86356.8791.3298.86356.8793.642
41.0847.22664.1051.0847.22664.1052.166
50.8045.36269.467
60.7464.97374.440
70.6454.30278.742
80.5083.38982.131
90.4923.27985.411
100.4322.88388.294
110.4102.73491.028
120.3842.56193.589
130.3702.47096.058
140.3362.24198.300
150.2551.700100.000
Note: * Extraction method: principal component analysis. *When the components are correlated, the sums of squared loadings cannot be added to obtain a total variance.
Table 17. Factor loadings according to the method of extraction of academic stress items.
Table 17. Factor loadings according to the method of extraction of academic stress items.
ItemExtraction Method
Principal
Components Analysis
Unweighted
Least-Squares
Principal Axis
Factorization
Alpha FactorizationImage Factoring
EA20.8850.7810.7790.8180.575
EA30.7670.6590.6580.6630.480
EA40.8160.6800.6810.6710.513
EA50.8100.7040.7020.7090.518
EA80.7780.6770.6760.6600.566
EA90.8040.7660.7660.7710.612
EA120.7720.6470.6470.6530.546
EA130.6980.6270.6260.6480.517
EA140.6870.6670.6690.6310.651
EA150.7140.6850.6870.6440.668
EA170.6010.4690.4690.4930.424
EA180.7570.6160.6170.6400.549
EA190.8970.9080.9080.9130.693
EA200.7440.6150.6150.5730.562
EA210.6160.5290.5290.5230.459
Table 19. Covariance weights of the academic stress measurement model.
Table 19. Covariance weights of the academic stress measurement model.
CovariabilityCovarianceCorrelationS.E.C.R.p-Value
F1F30.3110.7920.0215.871***
F3F40.3090.5680.02412.922***
F2F40.3440.5160.02613.022***
F1F20.3770.7850.02316.24***
F1F40.3020.5530.02313.243***
F2F30.3610.7550.02415.177***
e1e20.2770.4400.02113.328***
e3e40.1620.3840.0198.613***
e6e70.1620.2270.0256.352***
e6e9−0.055−0.0870.023−2.4020.016
e7e80.0580.0890.0212.7360.006
e8e90.0830.1430.0243.489***
e10e110.1910.2710.0286.715***
e10e120.0780.1090.0233.385***
e11e120.2430.3000.0317.914***
e11e130.0650.0740.0272.4150.016
e12e130.3790.4230.03311.414***
Note: S.E. = standard error, C.R. = critical ratio. *** Significance at 0.1%
Table 20. Measures of fit of the academic stress measurement model.
Table 20. Measures of fit of the academic stress measurement model.
MeasureValue ObtainedThresholdInterpretation
AcceptableIdeal
CMIN/DF4.0621–31–2Not acceptable
RMR0.051<0.08<0.05Acceptable
GFI0.962>0.90>0.95Ideal
AGFI0.938>0.90>0.95Acceptable
PGFI0.585>0.50>0.60Acceptable
NFI0.879>0.90>0.95Not acceptable
RFI0.826>0.90>0.95Not acceptable
IFI0.906>0.90>0.95Acceptable
TLI0.863>0.90>0.95Not acceptable
CFI0.905>0.90>0.95Acceptable
PRATIO0.6950.50–1.000.80–1.00Acceptable
PNFI0.611>0.50>0.60Ideal
PCFI0.629>0.50>0.70Acceptable
RMSEA0.040<0.08<0.05Ideal
Hoelter (0.05)606>200-Ideal
Hoelter (0.01)671>200-Ideal
Table 22. Covariance weights of the structural equation model of university teaching practice and academic stress of university students in virtual education.
Table 22. Covariance weights of the structural equation model of university teaching practice and academic stress of university students in virtual education.
CovariabilityCovarianceCorrelationS.E.C.R.p-Value
e8e90.0610.0970.0193.2080.001
e3e50.0280.0750.0112.5410.011
Note: S.E. = standard error, C.R. = critical ratio.
Table 23. Goodness-of-fit indicators of the structural equation model of university teaching practice and academic stress of university students in virtual education.
Table 23. Goodness-of-fit indicators of the structural equation model of university teaching practice and academic stress of university students in virtual education.
MeasureValue ObtainedThresholdInterpretation
AcceptableIdeal
CMIN/DF1.2711–31–2Ideal
RMR0.010<0.08<0.05Ideal
GFI0.996>0.90>0.95Ideal
AGFI0.989>0.90>0.95Ideal
PGFI0.354>0.50>0.60Not Acceptable
NFI0.979>0.90>0.95Ideal
RFI0.952>0.90>0.95Ideal
IFI0.995>0.90>0.95Ideal
TLI0.989>0.90>0.95Ideal
CFI0.995>0.90>0.95Ideal
PRATIO0.4440.50–1.000.80–1.00Not Acceptable
PNFI0.435>0.50>0.60Not Acceptable
PCFI0.442>0.50>0.70Not Acceptable
RMSEA0.012<0.08<0.05Ideal
Hoelter (0.05)2472>200-Ideal
Hoelter (0.01)3008>200-Ideal
Table 24. Final scales of this study.
Table 24. Final scales of this study.
Item Code
Teaching Practices Scale in Virtual Education (TPSVE)
TP1The instructor communicated efficiently.
TP2The instructor communicated effectively.
TP3The instructor was easily accessible.
TP5The communication channels used by the instructor were sufficient.
TP6The communication channels used by the instructor were useful.
TP8Communication among students was frequent.
TP9The student introductions at the course start helped us connect.
TP10I formed study groups with other students in the course.
TP11Earning extra points for answering peers’ questions motivated me.
TP17The instructor was well-informed about the course material.
TP19Repeated evaluations on the same topic aided learning.
TP20Problems with solutions helped me self-assess.
TP21The instructor provided clear deadlines for assignments and activities.
TP22The instructor provided clear instructions for assignments and activities.
TP26The course information was clear and easy to understand.
TP27The instructor linked the course activities to the topics covered.
TP28The assignments and activities aligned with course topics.
TP32The instructor provided supportive materials to assist in my learning.
TP33The instructor offered personalized attention.
TP34The course structure helped me avoid information overload.
TP35Online video conferences held by the instructor were useful.
Student Academic Stress Scale in Virtual Education (SASSEV)
SAS2Overload of assignments and activities in courses.
SAS3Overload of course materials (slides, books, handouts, videos, etc.).
SAS4The presence of third parties in my study environment.
SAS5Noise in my study environment.
SAS8Requirement to activate camera and microphone during online classes.
SAS9Being selected to answer questions by instructors.
SAS12Voluntary participation in online classes.
SAS13Presentation of assignments and activities in courses.
SAS14Limited time to complete individual assignments and activities.
SAS15Limited time to complete group assignments and activities.
SAS17Use of software and simulators in course topics.
SAS18Effectiveness of digital tools (Kahoot, Prezi, Dropbox, etc.) for completing and presenting assignments.
SAS19Performance and reliability of my technological devices.
SAS20Stability and speed of my internet connection.
SAS21Deadlines for assignments and activities in courses.
Disclaimer/Publisher’s Note: The statements, opinions and data contained in all publications are solely those of the individual author(s) and contributor(s) and not of MDPI and/or the editor(s). MDPI and/or the editor(s) disclaim responsibility for any injury to people or property resulting from any ideas, methods, instructions or products referred to in the content.

Share and Cite

MDPI and ACS Style

Norabuena-Figueroa, R.P.; Deroncele-Acosta, A.; Rodríguez-Orellana, H.M.; Norabuena-Figueroa, E.D.; Flores-Chinte, M.C.; Huamán-Romero, L.L.; Tarazona-Miranda, V.H.; Mollo-Flores, M.E. Digital Teaching Practices and Student Academic Stress in the Era of Digitalization in Higher Education. Appl. Sci. 2025, 15, 1487. https://doi.org/10.3390/app15031487

AMA Style

Norabuena-Figueroa RP, Deroncele-Acosta A, Rodríguez-Orellana HM, Norabuena-Figueroa ED, Flores-Chinte MC, Huamán-Romero LL, Tarazona-Miranda VH, Mollo-Flores ME. Digital Teaching Practices and Student Academic Stress in the Era of Digitalization in Higher Education. Applied Sciences. 2025; 15(3):1487. https://doi.org/10.3390/app15031487

Chicago/Turabian Style

Norabuena-Figueroa, Roger Pedro, Angel Deroncele-Acosta, Hugo Marino Rodríguez-Orellana, Emerson Damián Norabuena-Figueroa, Milagros Catalina Flores-Chinte, Lourdes Liz Huamán-Romero, Víctor Hilario Tarazona-Miranda, and Marybel Esther Mollo-Flores. 2025. "Digital Teaching Practices and Student Academic Stress in the Era of Digitalization in Higher Education" Applied Sciences 15, no. 3: 1487. https://doi.org/10.3390/app15031487

APA Style

Norabuena-Figueroa, R. P., Deroncele-Acosta, A., Rodríguez-Orellana, H. M., Norabuena-Figueroa, E. D., Flores-Chinte, M. C., Huamán-Romero, L. L., Tarazona-Miranda, V. H., & Mollo-Flores, M. E. (2025). Digital Teaching Practices and Student Academic Stress in the Era of Digitalization in Higher Education. Applied Sciences, 15(3), 1487. https://doi.org/10.3390/app15031487

Note that from the first issue of 2016, this journal uses article numbers instead of page numbers. See further details here.

Article Metrics

Back to TopTop