Study on the Mechanical Characteristics and Degradation Response of Unloading Rocks Surrounding Tunnels in Cold Regions
Abstract
1. Introduction
2. Experimental Scheme
3. Analysis of Experimental Results
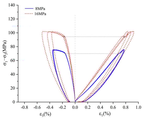
3.1. Stress–Strain Analysis
3.2. Deterioration of Strength and Deformation Characteristics
3.3. Examination of Macroscopic Deterioration and Fracture Characteristics
4. Response Mechanisms of Load Damage During Freeze–Thaw Cycles
5. Discussion
- In the field of geological studies, it is imperative to underscore a crucial observation concerning the durability of rocks subjected to repeated freeze–thaw cycles. As the cumulative count of these cycles nears the threshold of rock failure, a significant deterioration is noted within the rock’s internal structure, accompanied by a marked decline in the degree of particle cohesion. This degradation reaches a critical juncture, where the rock’s integrity is severely compromised. Furthermore, under uniaxial loading conditions without lateral confinement, this deterioration results in a rate of axial strain in the rock that diverges from the loading rate of the testing apparatus, leading to test outcomes that significantly deviate from anticipated results. For instance, the parameters associated with the group subjected to nine freeze–thaw cycles, as presented in Table 4 and Table 5, exemplify this phenomenon, particularly during the compaction phase. Consequently, it is posited that the significance of this experimental dataset merits further examination and discussion.
- The findings regarding the degradation of the physical and mechanical properties of rock, as determined through freeze–thaw cycle tests in this study, align closely with the results reported in references [21,22]. It is important to highlight that the correlation among uniaxial peak intensity, elastic modulus, cohesion, and internal friction angle in relation to the number of freeze–thaw cycles can be effectively modeled by a decreasing exponential function, characterized by a progressively diminishing rate of decay.It is also important to note that the unloading rock samples utilized in this research differ from those employed by other scholars. Through comparative analysis, it has been determined that the unloading damage facilitates the expansion and penetration of cracks within the rock, thereby creating a pathway for frost heave forces and exacerbating the detrimental effects of freeze–thaw erosion on the rock’s physical and mechanical properties. This conclusion corroborates the perspective presented in reference [26].
- Utilizing a maximum of nine freeze–thaw cycles, the relationships governing peak strength, deformation, and shear resistance parameters were established and subsequently fitted to the data. However, should the number of freeze–thaw cycles exceed this limit, the established patterns may become skewed or cease to be relevant, necessitating further experimental validation.
- The focus of this study is the surrounding rock at tunnel faces. The uniaxial damage model serves as an effective tool for analyzing the deformation and mechanical properties of rock materials. Future research may expand upon this framework by incorporating the efficiency of thermal propagation within the rock and the spatial relationship between the surrounding rock and the tunnel face into the damage model. This enhancement will facilitate a more accurate investigation of the deformation and mechanical behavior of rocks subjected to unloading damage and freeze–thaw cycles.
6. Conclusions
- Unloading damage significantly disrupts the sandstone’s structure, resulting in the progressive formation of internal fractures and defects. The interaction between unloading damage and freeze–thaw erosion is not merely additive; rather, it is characterized by a complex interplay. Unloading disturbances facilitate the development of an internal fracture network within the rock mass, thereby creating pathways for moisture migration during freeze–thaw cycles. Concurrently, the expansion forces generated by freeze–thaw cycles further compromise the internal structure of the rock mass, culminating in a cyclical process that contributes to the degradation of the rock’s strength.
- The analysis of sandstone samples indicates that under varying confining pressure conditions, the peak strength diminishes as the number of freeze–thaw cycles increases, with the rate of decrease gradually tapering off. Moreover, polynomial function fitting can effectively characterize the degradation pattern of peak strength in sandstone.
- The findings from the reloading tests conducted on unloaded sandstone following freeze–thaw cycles demonstrate that a varying degree of deterioration occurred in both strength and deformation characteristics. Notably, the peak strength and elastic modulus are significantly influenced by the confining pressure, whereas the reduction in cohesion resulting from freeze–thaw erosion is particularly pronounced. In contrast, the decline in the internal friction angle is relatively minor.
- Moisture migration is a critical factor influencing freeze–thaw erosion. The impacts of frost heave are particularly pronounced in areas where pore water migrates and accumulates. As the intensity of freeze–thaw erosion increases, the brittleness of sandstone markedly diminishes, and the strain-softening effect becomes increasingly apparent. Consequently, the residual rock debris on the fracture surface transitions from a hard and sharp texture to a soft and sandy consistency.
- The elastic modulus serves as a critical parameter for characterizing the evolution of damage variables in sandstone subjected to uniaxial loading conditions. We developed a damage constitutive model that incorporates factors such as unloading damage, initial freeze–thaw erosion, and the effects of freeze–thaw loading. As the intensity of freeze–thaw erosion increases, both the strain at the densification point and the strain at the damage response point exhibit a gradual increase. Specifically, the damage-triggering strain after three, six, and nine freeze–thaw cycles increased by 0.0723%, 0.1156%, and 0.1370%, respectively, compared to those under unfrozen conditions, with the increments gradually stabilizing.
Author Contributions
Funding
Institutional Review Board Statement
Informed Consent Statement
Data Availability Statement
Conflicts of Interest
References
- Huang, R.Q.; Huang, D. Evolution of Rock Cracks Under Unloading Condition. Rock Mech. Rock Eng. 2014, 47, 453–466. [Google Scholar] [CrossRef]
- Han, T.L.; Shi, J.P.; Chen, Y.S. Mechanical Characteristics and Failure Characteristics of Jointed Rock under Axial Unloading and Radial Unloading. Adv. Civ. Eng. 2020, 2020, 8812621. [Google Scholar] [CrossRef]
- Liu, S.L.; Zhu, Q.Z.; Shao, J.F. Deformation and mechanical properties of rock: Effect of hydromechanical coupling under unloading conditions. Bull. Eng. Geol. Environ. 2020, 79, 5517–5534. [Google Scholar] [CrossRef]
- Zhang, F.D. Research on rock permeability and failure characteristics under different loading and unloading paths. Acta Geophys. 2022, 70, 1363–1371. [Google Scholar] [CrossRef]
- Wu, W.X.; Gong, F.Q.; Jiang, Q.; He, L. Strength Reduction of Initial High-Stress Rock Pillars Under Different Triaxial Unloading Paths. Rock Mech. Rock Eng. 2023, 56, 3519–3537. [Google Scholar] [CrossRef]
- Dai, B.; Zhao, G.Y.; Dong, L.J.; Yang, C. Mechanical Characteristics for Rocks under Different Paths and Unloading Rates under Confining Pressures. Shock Vib. 2015, 2015, 578748. [Google Scholar] [CrossRef]
- Zhao, H.G.; Liu, C.; Huang, G. Dilatancy behaviour and permeability evolution of sandstone subjected to initial confining pressures and unloading rates. R. Soc. Open Sci. 2021, 8, 201792. [Google Scholar] [CrossRef] [PubMed]
- Liu, X.R.; Zhang, J.L.; Zhou, X.H.; Liu, Y.Y.; Wang, Y.; Luo, X.Y. Damage-Seepage Evolution Mechanism of Fractured Rock Masses Considering the Influence of Lateral Stress on Fracture Deformation Under Loading and Unloading Process. Rock Mech. Rock Eng. 2024, 57, 10973–10999. [Google Scholar] [CrossRef]
- Jia, P.; Yang, N.; Liu, D.Q. Effect of Unloading Direction on Rock Failure under True Triaxial Stress Conditions. J. Test. Eval. 2021, 49, 4058–4071. [Google Scholar] [CrossRef]
- Zhang, H.B.; Wang, L.H.; Li, J.L.; Deng, H.F.; Xu, X.L. Study on the mechanical properties of unloading damaged sandstone under cyclic loading and unloading. Sci. Rep. 2023, 13, 7370. [Google Scholar] [CrossRef]
- Liu, X.S.; Ma, Q.; Tan, Y.L.; Liu, X.L.; Shang, J.L.; Gu, Q.H. Experimental study on deformation and fracture evolution of sandstone under the different unloading paths. Geoenergy Sci. Eng. 2024, 242, 213283. [Google Scholar] [CrossRef]
- Peng, Y.; Dongdong, P.; Ju, L.; Zhiguo, H.; Wensong, X.; Zhongsi, D. Experiment on deformation and failure characteristics of sandstone at different unloading rates. Alex. Eng. J. 2023, 75, 209–219. [Google Scholar] [CrossRef]
- Fang, J.C.; Deng, H.F.; Wang, W.; Li, J.L.; Assefa, E. Experimental study on anisotropic unloading mechanical behavior of bedded sandstone. Sci. Rep. 2023, 13, 13988. [Google Scholar] [CrossRef] [PubMed]
- Li, Y.D.; Han, L.; Shang, T. Effects of Complex Triaxial Unloading Confining Stress Conditions on the Mechanical Behaviour and Fracture Mechanism of Sandstone. Rock Mech. Rock Eng. 2024, 57, 1033–1057. [Google Scholar] [CrossRef]
- Hou, Z.Y.; Xiao, F.K.; Liu, G.; Bashkov, O.V.; Lyu, L. Mechanical Properties and Acoustic Emission Characteristics of Unloading Instability of Sandstone under High Stress. Minerals 2022, 12, 722. [Google Scholar] [CrossRef]
- Manouchehrian, A.; Cai, M. Simulation of unstable rock failure under unloading conditions. Can. Geotech. J. 2016, 53, 22–34. [Google Scholar] [CrossRef]
- Feng, Q.; Jin, J.C.; Zhang, S.; Liu, W.W.; Yang, X.X.; Li, W.T. Study on a Damage Model and Uniaxial Compression Simulation Method of Frozen-Thawed Rock. Rock Mech. Rock Eng. 2022, 55, 187–211. [Google Scholar] [CrossRef]
- Huang, S.B.; Duan, L.Z.; Zhen, L.B.; Yu, S.L.; Zhang, C.Y. Study on the freeze-thaw damage degree and its influence on the shear strength parameters of sandstones. Cold Reg. Sci. Technol. 2024, 228, 104328. [Google Scholar] [CrossRef]
- Peng, N.B.; Hong, J.; Zhu, Y.; Dong, Y.; Sun, B.; Huang, J.Z. Experimental Investigation of the Influence of Freeze-Thaw Mode on Damage Characteristics of Sandstone. Appl. Sci. 2022, 12, 12395. [Google Scholar] [CrossRef]
- Lu, H.Q.; Bao, W.X.; Yin, Y.; Sun, X.; Li, H.Z.; Pan, Z.H.; Che, B.W. Experimental study on multi-scale damage and deterioration mechanism of carbonaceous slate under freeze-thaw cycles. Bull. Eng. Geol. Environ. 2023, 82, 458. [Google Scholar] [CrossRef]
- Yahaghi, J.; Liu, H.Y.; Chan, A.; Fukuda, D. Experimental and numerical studies on failure behaviours of sandstones subject to freeze-thaw cycles. Transp. Geotech. 2021, 31, 100655. [Google Scholar] [CrossRef]
- Hou, C.; Jin, X.G.; He, J.; Li, H.L. Experimental studies on the pore structure and mechanical properties of anhydrite rock under freeze-thaw cycles. J. Rock Mech. Geotech. Eng. 2022, 14, 781–797. [Google Scholar] [CrossRef]
- Abdolghanizadeh, K.; Hosseini, M.; Saghafiyazdi, M. Effect of freezing temperature and number of freeze-thaw cycles on mode I and mode II fracture toughness of sandstone. Theor. Appl. Fract. Mech. 2020, 105, 102428. [Google Scholar] [CrossRef]
- Park, K.; Kim, K.; Lee, K.; Kim, D. Analysis of Effects of Rock Physical Properties Changes from Freeze-Thaw Weathering in Ny-Ålesund Region: Part 1-Experimental Study. Appl. Sci. 2020, 10, 1707. [Google Scholar] [CrossRef]
- Mala, M.; Greif, V.; Ondrásik, M. Deterioration of volcanic tuffs from rock dwellings in Brhlovce (Slovakia) induced by freeze-thaw cycling studied by non-destructive tests and μCT visualization. Bull. Eng. Geol. Environ. 2024, 83, 166. [Google Scholar] [CrossRef]
- Mala, M.; Greif, V.; Ondrásik, M. Pore structure evolution in andesite rocks induced by freeze-thaw cycles examined by non-destructive methods. Sci. Rep. 2022, 12, 8390. [Google Scholar] [CrossRef]
- Sardana, S.; Sinha, R.K.; Verma, A.K.; Singh, T.N. Investigations into the freeze-thaw-induced alteration in microstructure and deteriorative responses of physico-mechanical properties of Himalayan rock. Bull. Eng. Geol. Environ. 2022, 81, 269. [Google Scholar] [CrossRef]
- Chen, X.Z.; Du, W.; Chen, L.L.; Ma, B.; Gong, S.; Jiang, H.; Wang, W.R. Mechanical Strength Decay Evaluation of Excavation Unloaded Rock Mass under Freeze-Thaw Conditions. Appl. Sci. 2022, 12, 12205. [Google Scholar] [CrossRef]
- Lemaitre, J. A Continuous Damage Mechanics Model for Ductile Fracture. J. Eng. Mater. Technol. 1985, 107, 83–89. [Google Scholar] [CrossRef]





















| ID | Diameter (mm) | Altitude (mm) | Dry Condition | Saturated Condition | Saturated Moisture Content | Porosity | ||||
|---|---|---|---|---|---|---|---|---|---|---|
| Wave Velocity (km/s) | Weight (g) | Density (g/cm3) | Wave Velocity (km/s) | Weight (g) | Density (g/cm3) | |||||
| S1 | 49.72 | 99.97 | 1.558 | 423.86 | 2.185 | 1.414 | 453.98 | 2.340 | 7.106% | 15.526% |
| S2 | 50.43 | 100.09 | 1.525 | 424.25 | 2.123 | 1.478 | 454.76 | 2.276 | 7.192% | 15.269% |
| S3 | 49.71 | 100.09 | 1.619 | 426.86 | 2.199 | 1.464 | 455.48 | 2.346 | 6.705% | 14.741% |
| S4 | 49.64 | 100.05 | 1.484 | 423.94 | 2.191 | 1.413 | 453.63 | 2.344 | 7.003% | 15.341% |
| S5 | 50.20 | 100.07 | 1.522 | 423.11 | 2.137 | 1.395 | 454.60 | 2.296 | 7.443% | 15.907% |
| S6 | 50.00 | 99.82 | 1.486 | 421.34 | 2.151 | 1.441 | 452.12 | 2.308 | 7.305% | 15.712% |
| S7 | 49.57 | 99.86 | 1.542 | 421.69 | 2.189 | 1.419 | 451.08 | 2.342 | 6.970% | 15.258% |
| S8 | 49.57 | 99.82 | 1.486 | 420.78 | 2.185 | 1.387 | 451.73 | 2.346 | 7.355% | 16.074% |
| S9 | 49.58 | 99.84 | 1.541 | 420.68 | 2.184 | 1.416 | 451.73 | 2.345 | 7.381% | 16.117% |
| Mean value | 49.82 | 99.96 | 1.529 | 422.95 | 2.172 | 1.425 | 453.23 | 2.327 | 7.162% | 15.549% |
| Sample Type | Diameter | Altitude | Dry Condition | Saturated Condition | Saturated Moisture Content | Porosity | ||||
|---|---|---|---|---|---|---|---|---|---|---|
| Wave Velocity | Weight | Density | Wave Velocity | Weight | Density | |||||
| Rock | 0.63 | 0.12 | 2.84 | 0.48 | 1.25 | 2.12 | 0.35 | 1.14 | 3.35 | 2.89 |
| Strength and Deformation Parameters | Number of Freeze–Thaw Cycles | Uniaxial Loading | 16 MPa Triaxial Loading |
|---|---|---|---|
| Elasticity modulus/GPa | 0 | 9.269 | 12.357 |
| 3 | 7.706 | 11.314 | |
| 6 | 6.817 | 10.567 | |
| 9 | 6.291 | 10.115 | |
| Peak strength/MPa | 0 | 56.865 | 124.935 |
| 3 | 46.183 | 113.401 | |
| 6 | 42.556 | 107.193 | |
| 9 | 40.470 | 104.589 | |
| Cohesion/MPa | 0 | 13.78 | |
| 3 | 11.27 | ||
| 6 | 9.91 | ||
| 9 | 9.35 | ||
| Internal friction angle/° | 0 | 38.30 | |
| 3 | 38.01 | ||
| 6 | 37.84 | ||
| 9 | 37.76 | ||
| Number of Freeze–Thaw Cycles | R2 | R2 | ||||
|---|---|---|---|---|---|---|
| 0 | 0.02 | 0.16 | 0.95 | 0.01 | 5.11 | 0.99 |
| 3 | 0.02 | 0.71 | 0.99 | 0.01 | 9.59 | 0.95 |
| 6 | 0.02 | 0.47 | 0.99 | 0.01 | 11.00 | 0.94 |
| 9 | 198.2 | 0.09 | 0.98 | 0.01 | 10.03 | 0.93 |
| Number of Freeze–Thaw Cycles | ||||
|---|---|---|---|---|
| 0 | 0.00368 | 18.966 | 0.00534 | 35.043 |
| 3 | 0.00551 | 16.583 | 0.00783 | 35.764 |
| 6 | 0.00567 | 16.573 | 0.00848 | 35.869 |
| 9 | 0.00729 | 17.077 | 0.01032 | 36.637 |
Disclaimer/Publisher’s Note: The statements, opinions and data contained in all publications are solely those of the individual author(s) and contributor(s) and not of MDPI and/or the editor(s). MDPI and/or the editor(s) disclaim responsibility for any injury to people or property resulting from any ideas, methods, instructions or products referred to in the content. |
© 2025 by the authors. Licensee MDPI, Basel, Switzerland. This article is an open access article distributed under the terms and conditions of the Creative Commons Attribution (CC BY) license (https://creativecommons.org/licenses/by/4.0/).
Share and Cite
Liu, X.; Chen, X.; Wei, Y.; Chen, L.; Gong, S. Study on the Mechanical Characteristics and Degradation Response of Unloading Rocks Surrounding Tunnels in Cold Regions. Appl. Sci. 2025, 15, 1269. https://doi.org/10.3390/app15031269
Liu X, Chen X, Wei Y, Chen L, Gong S. Study on the Mechanical Characteristics and Degradation Response of Unloading Rocks Surrounding Tunnels in Cold Regions. Applied Sciences. 2025; 15(3):1269. https://doi.org/10.3390/app15031269
Chicago/Turabian StyleLiu, Xinyu, Xingzhou Chen, Yimeng Wei, Lili Chen, and Sheng Gong. 2025. "Study on the Mechanical Characteristics and Degradation Response of Unloading Rocks Surrounding Tunnels in Cold Regions" Applied Sciences 15, no. 3: 1269. https://doi.org/10.3390/app15031269
APA StyleLiu, X., Chen, X., Wei, Y., Chen, L., & Gong, S. (2025). Study on the Mechanical Characteristics and Degradation Response of Unloading Rocks Surrounding Tunnels in Cold Regions. Applied Sciences, 15(3), 1269. https://doi.org/10.3390/app15031269

