Next Article in Journal
The Effects of Cross-Legged Sitting on the Lower Limb Muscles and Body Balance and the Implications in Rehabilitation
Next Article in Special Issue
Real-Time Detection of At-Risk Movements Using Smartwatch IMU Sensors
Previous Article in Journal
Context Is King: Large Language Models’ Interpretability in Divergent Knowledge Scenarios
Previous Article in Special Issue
HyFusER: Hybrid Multimodal Transformer for Emotion Recognition Using Dual Cross Modal Attention
 
 
Font Type:
Arial Georgia Verdana
Font Size:
Aa Aa Aa
Line Spacing:
Column Width:
Background:
Article

Self-Training Can Reduce Detection False Alarm Rate of High-Resolution Imaging Sonar †

1
College of Meteorology and Oceanography, National University of Defense Technology, Changsha 410073, China
2
College of Electronic Engineering, Naval University of Engineering, Wuhan 430033, China
3
School of Physics Science and Technology, Central China Normal University, Wuhan 430079, China
*
Author to whom correspondence should be addressed.
This paper is an extended version of our paper published in Han, J.; Liu, C.; You, Z.; Zhang, Z.; Hu, Z.; Zhang, P. Reducing False alarm rate of Sonar image Detection via Self-training. In Proceedings of the 2024 6th International Conference on Robotics, Intelligent Control and Artificial Intelligence (RICAI 2024), Nanjing, China, 4–6 December 2024.
These authors contributed equally to this work.
Appl. Sci. 2025, 15(3), 1189; https://doi.org/10.3390/app15031189
Submission received: 31 December 2024 / Revised: 20 January 2025 / Accepted: 22 January 2025 / Published: 24 January 2025

Abstract

Imaging sonar is a primary means of underwater detection, but it faces challenges of high false alarm rates in sonar image target detection due to factors such as reverberation, noise, and resolution. This paper proposes a method to improve the false alarm rate by self-training a deep learning detector on sonar images. Self-training automatically generates proxy classification tasks based on the sonar image target detection dataset, and pre-trains the deep learning detector through these proxy classification tasks to enhance its learning effectiveness of target and background features. This, in turn, improves the detector’s ability to distinguish between targets and backgrounds, thereby reducing the false alarm rate. For the first time, this paper conducts target detection experiments based on deep learning using high-resolution synthetic aperture sonar images at two frequencies. The results show that, under the conditions of equal or higher recall rates, this method can reduce the false alarm rate by 3.91% and 18.50% on 240 kHz and 450 kHz sonar images, respectively, compared to traditional transfer learning methods.

1. Introduction

Imaging sonar is an effective detection payload for underwater unmanned systems, and sonar image object detection can provide critical attributes such as target location, category, and size for these systems, making it a key technology in the technical framework of underwater unmanned systems. In recent years, deep learning has made significant progress in the field of image object detection, prompting deep learning-based sonar image object detection technology to quickly become a prominent research hotspot in the field of underwater perception both domestically and internationally [1,2,3,4,5,6].
In practical sonar image detection tasks, deep learning detectors commonly face the challenge of high false alarm rates due to issues such as the scarcity of target image samples in sonar images and the difficulty in constructing high-performance deep convolutional neural networks [7]. Compared to optical cameras, sonar is affected by various factors such as clutter, reverberation, ship speed, and beam tilt during the imaging process, resulting in low signal-to-noise ratio, signal-to-interference ratio, and signal-to-clutter ratio in sonar images [8,9,10]. Therefore, deep learning object detection methods that perform well on optical images do not yield high output classification confidence when directly applied to sonar images. To improve recall rates, the detection threshold of deep learning detectors is often lowered, but this also leads to higher false alarm rates. High false alarm rates severely constrain the effectiveness of underwater unmanned systems in executing critical tasks such as navigation, target seeking, and detection.
There are mainly two ways to reduce the false alarm rate of deep learning detectors: post-processing suppression [11,12] and improving the detector’s generalization and adaptability [5,13,14]. Post-processing suppression refers to filtering detection results by introducing expert knowledge. David Williams et al. proposed a false alarm reduction method based on probability maps, but this method is specific to certain scenarios and introduces additional information [12]. Although it improves the issue of high false alarm rates, it has high requirements for hardware and professional knowledge and is not universally applicable.
Improving the adaptability of deep learning detectors refers to enhancing the detector’s adaptability to sonar images by optimizing detector design and training, thereby achieving low false alarm rates. There are usually two solutions to improve detector adaptability.
One is to use a larger dataset, but publicly available sonar image datasets are scarce in the field of underwater detection, so data augmentation methods are commonly used to expand the dataset [14,15]. However, sonar image datasets are often small-scale, and overlearning of samples through data augmentation can easily lead to overfitting.
The other is to optimize the detector’s model. Zhang et al. adaptively designed a sonar image detector structure using a neural network architecture search for sonar image datasets [5], while Huang et al. modified the loss function in their research [13]. Although these methods can reduce false alarm rates even with low-quality datasets, they rely on the professional experience of researchers and have low compatibility with different scenarios.
False alarms occur when the background is mistakenly identified as the target, which is caused by incomplete learning of the target features. In self-supervised learning, researchers design an indirect task for learning the semantic information or other features of images. The setup of proxy tasks is usually related to downstream tasks, but in a simpler form, or it is easier to obtain supervisory information from unlabeled data. By solving proxy tasks, the model can learn the intrinsic structure and features of the data, thereby improving its performance on downstream tasks [16,17,18,19]. Larsson G et al. used automatic colorization as a proxy task to improve classification and segmentation tasks [17]. Cheke R et al. utilized a patch localization proxy task and subsequently applied it to a segmentation task. The segmentation accuracy was superior to training from scratch or using other pretext tasks [19]. Similarly, in target detection tasks based on sonar images, we can also design a proxy task to help the detection model learn more useful feature representations for downstream tasks, and by improving the network’s ability to distinguish between target and background features, we can reduce false alarms [20].
In summary, the field of underwater detection currently lacks a universal deep learning detection method with a low false alarm rate. Therefore, this paper addresses this research gap by proposing a self-training low false alarm rate training strategy based on sonar images, starting from the actual data and training methods. This training strategy does not require the introduction of external datasets or modifications to the deep learning model but achieves a reduction in false alarm rates during detection by setting up proxy tasks to more deeply learn target and background features.

2. Related Work

Deep neural network models are highly complex and prone to overfitting on training data, especially on small sample datasets like sonar data. To address this, inductive transfer learning (often referred to simply as transfer learning) is commonly used to transfer generalizable knowledge to the target task to improve the generalization capability of deep neural network models [21,22,23].
In this research context, most current deep learning-based sonar image object detectors also adopt a transfer learning approach, utilizing the feature extraction portion of convolutional neural networks (CNNs) pre-trained on large optical image datasets such as ImageNet [24] as the backbone network for the detector. These transferred features are then used to localize and classify objects in sonar images, as illustrated in Figure 1.
However, compared to above-water scenarios where deep learning recognition algorithms are widely applied, underwater object detection typically relies on sonar for image acquisition. Sonar images have lower resolution and do not provide color information compared to optical cameras [25]. Furthermore, highlights and associated shadows on objects are often among the features that algorithms pay special attention to in recognition tasks [26]. However, during sonar image acquisition, acoustic shadows can vary significantly depending on the sonar’s perspective, and multipath reflections can produce artifacts, which is markedly different from optical images. This means that the features learned by the feature extraction portion of pre-trained models based on optical RGB images are not well suited for sonar images.
Nevertheless, due to the complexity of underwater object types, numerous factors affecting sonar imaging and issues such as small sample sizes, imbalanced class distributions, and insufficient quality of target sonar images in sonar image datasets, even pre-trained models trained on sonar images exhibit poor generalization performance and high false alarm rates on actual sonar test data. False alarm rate, a commonly used metric in object detection tasks, reflects the detector’s tendency to misclassify backgrounds as targets. Consequently, the high false alarm rate of current deep learning detection models on actual sonar test data is fundamentally attributed to the inadequate ability of deep learning networks to distinguish between backgrounds and targets. Therefore, this paper considers constructing a proxy task to learn target features in sonar images, thereby simplifying the learning of target and background features by deep learning networks in detection tasks.

3. Materials and Methods

3.1. Overall Idea

Currently, popular detectors such as Faster R-CNN [27], YOLOs, SSD, and RetinaNet [28] follow the “pre-trained–fine-tune” paradigm of transfer learning to achieve high generalization on general detection tasks and accelerate the training process, thereby achieving good performances on test datasets. However, compared to optical images, sonar images suffer from lower image quality on one hand, due to various unavoidable factors such as clutter, reverberation, and ship speed affecting the sonar during the imaging process. On the other hand, because the scattering characteristics of sound differ from those of light, the features of objects presented in sonar images and optical images are visually distinct. Therefore, researchers have not achieved the expected ideal localization and recognition results when they reuse the feature extraction parts of models pre-trained on large optical image datasets such as COCO and ImageNet for detection tasks based on sonar images. For this reason, some researchers need to carefully select hyper-parameters based on experience when training deep learning models using the transfer learning paradigm, to avoid overfitting during fine-tuning, which places high demands on the researchers’ familiarity with acoustic theory.
In the field of underwater target detection, it is difficult to pre-train the feature extraction part of models on large scale sonar image datasets, which is due to the challenging acquisition of sonar images and the scarcity of existing open-source sonar datasets. Some researchers have attempted to use data augmentation methods to expand datasets for training, but some generated sonar images often have issues where the shadow relationships of targets do not conform to the characteristics of acoustic scattering. In addition to the lack of public datasets, another problem is the variation in target samples among sonar images acquired from different water bodies. These issues prevent the automatic achievement of better regularization results when using external datasets for pre-training in underwater target detection tasks based on sonar images.
The simplest solution to this problem is to directly train the detection model on the collected sonar image dataset through self-training. However, due to the lack of initial weights provided by a pre-trained model and the excessive number of parameters that the detector needs to learn during training, this training method often results in weak feedback to the backbone network during training, leading to a dispersion of the model’s attention.
To enable the backbone network to learn feature representations suitable for the task dataset, this paper proposes a new training framework, as illustrated in Figure 2 in comparison to traditional frameworks. This paper suggests setting up a proxy task to provide an appropriate supervisory signal for the backbone network to learn feature representations from the task data. The resulting backbone network will exhibit higher generalization performance in downstream tasks, thereby reducing the false alarm rate in target detection tasks. The choice of proxy task can be diverse. This paper proposes setting the proxy task as a classification task, where the classification dataset is derived from the detection dataset. In addition, the proxy task can also be set as other tasks, which is work that we will undertake in the future. The specific details of the training strategy based on the classification proxy task will be elaborated in subsequent Sections.

3.2. Training Strategy for Detector Based on Divided Classification Datasets

In the field of image recognition, detection tasks are often considered more complex than classification tasks, which not only require discriminating the target but also localizing it. To enable the detection model to learn the features of various targets and backgrounds better, thereby reducing the false alarm rate of the detector on real-world data, this paper sets the proxy task as a classification task. This is because classification tasks are relatively simpler compared to detection tasks, and in classification tasks, the background can be separately categorized as a class, allowing the deep learning network to better learn the feature differences between the background and different targets. To avoid introducing new external datasets and ensure that the training of the classification task is a self-training process, datasets used to train the classification task will be derived from the detection datasets. The training strategy for such a sonar image target detector based on classification proxy tasks is shown in Figure 3.
The training strategy for a deep learning object detector based on proxy classification tasks mainly consists of the following three steps:
  • Create Derived Classification Datasets (DCD) from the sonar image detection dataset. The method for creating the proxy classification task dataset is shown in Figure 4.
To ensure the validity of the detector’s testing, the sonar images in the training and validation sets of the derived dataset both come from the training set portion of the detection dataset. There is no fixed standard ratio for splitting the training set and validation set. However, in deep learning, the training set typically accounts for 60% to 80% of the dataset. A larger training set can help the model better learn the features and patterns of the data. Considering that the proxy task is set up to better learn the target features, when dividing the derived dataset for proxy task training, we set the proportion of the training set to 80%.The training and validation sets of the derived dataset are used for the training and validation of the backbone network, which ensures that when using the derived classification dataset for self-training of the backbone network, the weights of the backbone network are learned directly from the samples in the detection dataset. In addition, if testing of the proxy task is needed, the validation set of the detection dataset can be used as the test set for the classification task.
2.
Pre-train the backbone network of the deep learning detector using the proxy classification task. A deep learning model typically consists of many layers, each with its own function and task. In deep learning, models are usually divided into three parts: the backbone, the neck, and the head. The backbone is the main component of the model, responsible for extracting features from the input image for subsequent processing and analysis. The neck is the intermediate layer connecting the backbone and the head. The main role of the neck is to reduce the dimensionality or adjust the features coming from the backbone to better suit the task requirements. The head is the final layer of the model, which takes as input the features processed by the neck. The structure of the head varies depending on the task; for object detection tasks, it is typically a bounding box regressor and a classifier. Therefore, the backbone network parameters obtained from the proxy task can be used to train the detector, allowing it to inherit the object features learned during the proxy task. Load the pre-trained model of the detector, replace the parameters of the backbone network with those from the backbone network of the classification network trained in the proxy task, and freeze the parameters of a certain number of layers in the backbone network.
3.
Fine-tune the detector. Fine-tune the weights of the detector on the detection dataset to ultimately train a detector with a lower false alarm rate.
Compared to models pre-trained using transfer learning, the features extracted by the self-trained backbone network are more aligned with the detection task. When training the detector subsequently, one can directly inherit the backbone network weights obtained from the proxy task when loading popular pre-trained models. During the training phase of the detection model, only the remaining parameters outside the frozen backbone network need to be fine-tuned. This means that there is no longer a need for meticulous selection of hyper-parameters based on experience, making the training process simpler.

3.3. Evaluation Metrics

In object detection tasks, regarding the problem of how to determine whether the detected bounding box effectively encloses the target (i.e., whether the bounding box has detected the target), researchers have proposed the concept of Intersection over Union (IoU). It calculates the overlap rate between the “predicted box” B p r e d and the “ground truth box” B r e a l , with the expression as follows:
I O U = B p r e d B r e a l B p r e d B r e a l ,
When performing detection tasks on the test set in this paper, the IoU threshold is generally set to 0.5. Detection results with an IoU of less than 0.5 are considered false, while those with an IoU of 0.5 or above are considered true. Additionally, objects are typically regarded as positive samples, or P (Positive), while backgrounds are considered as negative samples, or N (Negative). Therefore, when a detection result is negative, if it is correct, it is referred to as TN (True Negative); otherwise, it is referred to as FN (False Negative), which represents a missed detection. When a detection result is positive, if it is correct, it is referred to as TP (True Positive); otherwise, it is referred to as FP (False Positive), which represents a false alarm. The false alarm rate, which is of interest in this paper, is calculated as follows:
P f a = F P T P + F P ,
For the training of detectors, AP (Average Precision) is commonly used to compare training results. When there are multiple classes of objects in the dataset, mAP (the mean of Average Precision) across all classes is used for evaluation. Typically, mAP@0.5 and mAP@0.5:0.95 are calculated based on different IoU values. Specifically, mAP@0.5 refers to the mAP when the IoU is 0.5, and mAP@0.5:0.95 refers to the average of various mAPs calculated using IoU thresholds that increment from 0.5 to 0.95 in steps of 0.05.
In addition, F1-Score is another metric that researchers pay attention to. It comprehensively considers the detector’s ability to detect all objects and its ability to correctly detect objects, providing a more comprehensive evaluation of the detector. The calculation method is as follows:
F 1 = 2 T P 2 T P + F P + F N .

4. Results

4.1. Experimental Settings

4.1.1. Data Preparation

Using deep learning methods for automatic target recognition based on sonar images is a popular research direction in the field of underwater recognition. However, due to the difficulties in collecting sonar images of underwater targets and the scarcity of public datasets, many deep learning models that perform well on optical images do not yield satisfactory results when transferred to process sonar images, mainly manifested by high false alarm rates and low accuracy. On the one hand, mainstream deep learning detection methods today rely on large-scale datasets, which are precisely what is lacking in the field of sonar image detection. On the other hand, there is a domain gap between optical images and sonar images, leading to poor performance.
This paper collects and produces two datasets: SAS240 and SAS450. The SAS240 dataset contains 91 side-scan synthetic aperture sonar (SAS) images, which were collected in a lake using SAS from Mybro at a frequency of 240 kHz. These sonar images will be sliced into sizes suitable for training during the dataset creation process, which are shown in Figure 5. The SAS240 dataset includes six types of targets: cylinder, rectangle, cone, globe, tyre, and mine.
The SAS450 dataset contains 60 side-scan synthetic aperture sonar images, which were collected in the sea area using SAS from Mybro at a frequency of 450 kHz. These sonar images are sliced into sizes suitable for training during the dataset creation process, as shown in Figure 6. The SAS450 dataset includes three types of targets: cylinder, cone, and tyre.
It should be noted that the “cylinder” and “cone” targets in SAS240 and SAS450 are not entirely consistent. Although they belong to the same type of target in terms of shape, they are made of different materials. The “cylinder” and “cone” in SAS240 are made of metal, while those in the SAS450 are made of glass fiber reinforced plastic, which results in different acoustic scattering characteristics. This means that their feature representations in sonar images are different. In addition to the targets, the data collection scenarios also include shallow water reverberation, reefs, and some man-made objects. The appearance of these objects in sonar images can easily cause false alarms in target detection algorithms, making them suitable for evaluating the false alarm rate of deep learning algorithms.
The datasets SAS240 and SAS450 are divided into training, validation, and test sets in ratios of 2:1:1 and 7:2:1, respectively. The sonar images in both datasets are cropped with a step size of 0.5, resulting in a commonly used image size of 640 × 640 pixels for detection tasks. The image files are in the standard JPG format. All images in the datasets have been manually annotated, with annotation files in the YOLO format, which are text files that include the image coordinates of the bounding boxes and the object categories. This allows for rapid deployment for object detection tasks. Finally, the distribution of object categories and sizes in the training and validation sets of both datasets are shown in Figure 7.
Although the sonar dataset covers multiple types of underwater targets, there is an imbalance in the distribution among different target classes. In SAS240, there are too many globes and too few mines, while in SAS450, there are an excessive number of cylinders.
This situation arises mainly due to two reasons. Firstly, the difference in production costs among targets results in a higher number of easily obtainable targets being deployed during the process, leading to an excessive collection of such targets. Secondly, during the data acquisition process, some targets are located near the blind spots of the side-scan synthetic aperture sonar due to track planning issues, causing these targets to be missing in the imaging results from certain angles, which results in a scarcity of samples for such targets.
In terms of dataset size, the two datasets used in this paper comprise a total of x sonar images. In terms of data authenticity, all of the images used in this paper are real sonar images, and all of the targets contained in the images exhibit acoustic scattering characteristics. In terms of data completeness, the two datasets proposed in this paper are collected at frequencies of 240 kHz and 450 kHz, respectively, and include a total of six types of targets, among which cylinders and cones are available in two different materials with distinct acoustic scattering properties. Although the distribution of dataset sample sizes is uneven, it provides data on different materials for similar targets, which can be used to test the robustness of the model to acquisition frequencies and target materials.

4.1.2. Model Preparation

In the field of object detection, the existing mainstream algorithms are mainly divided into two-stage detection networks represented by R-CNN and Faster R-CNN, and one-stage detection networks represented by SSD and the YOLO series. Two-stage detection networks primarily generate corresponding regions of interest through a region proposal strategy, then locate and classify the bounding boxes, and finally obtain the results. On the other hand, one-stage detection networks treat the detection task as a regression problem, using deep convolutional networks to achieve the function of mapping from raw image input to object localization and classification output. Therefore, in terms of real-time performance, one-stage detection networks outperform two-stage detection networks.
Considering the high requirements for model real-time performance when unmanned platforms perform underwater detection tasks, this paper selects the one-stage YOLO series model to conduct experiments based on the proposed low false alarm detection strategy. Drawing on the work of other researchers, this paper chooses the YOLOv8 model, which has been widely used in object detection research in recent years, and trains it using three strategies: training from scratch, “pre-trained–fine-tune”, and the strategy proposed in this paper (SSL is also mentioned but not explicitly categorized as a separate strategy here for brevity). The detection performance of the model is then evaluated on the test set.

4.1.3. Settings

In Section 4.1.1, we introduced two sonar image datasets that we created. To discuss the impact of data with different correlations on our proposed method, we set up three groups of experiments, as shown in Figure 8. In each group, different training strategies were employed to obtain different detectors, and the implementation of our proposed method in these three groups of experiments is as follows:
In the first group of experiments, we used the SAS240 dataset for self-training and performed learning and inference tasks on the SAS240 dataset. In this experiment, the dataset consisted of images of the same targets captured by the same sonar at the same time period and location. The training and test samples were randomly divided. Self-training and detector model training were only conducted using the training set, and the test set consisted of sonar images captured from viewpoints that the model had not learned during training. The purpose of this experiment was to verify the effectiveness of our proposed method.
In the second group of experiments, we used the SAS450 dataset for self-training and performed learning and inference tasks on the SAS450 dataset. The setup of this experiment was the same as the first group, but images were collected using a higher frequency sonar. In this experiment, the dataset consisted of images of the same targets captured by the same sonar at the same time period and location. The training and test samples were randomly divided. Self-training and detector model training were only conducted using the training set, and the test set consisted of sonar images captured from viewpoints that the model had not learned during training. This experiment aimed to verify the robustness of our proposed method to sonar frequency.
In the third group of experiments, we used the SAS240 dataset for self-training and performed learning and inference tasks on the SAS450 dataset. In this experiment, self-training weight transfer was conducted on sonar images collected at different frequencies, times, locations, and with different targets. The purpose was to verify the adaptability of self-training to frequency.

4.2. Experimental Results

4.2.1. Performance on the Test Set

The experiments were conducted on an RTX3090 platform. When using DCD (Domain-Specific Data Curation, or any specific training method denoted by DCD in this context) training, the YOLOv8 classification model was first trained on DCD to obtain pre-trained weights. Afterwards, the detector was trained by first loading the pre-trained detection model provided by YOLOv8, then loading the backbone weights obtained from the classification task, and subsequently freezing some of the backbone network parameters before training. When training the detector on the SAS240 dataset, the number of epochs was set to 300, the batch size was 8 or 16, and the number of frozen layers in the backbone network was from layer 0 to 8. When training on the (it appears there is a repetition here, assuming it is meant to be SAS450 or another dataset for clarity) SAS (let us assume SAS450 for differentiation) dataset, the number of epochs was set to 100, the batch size was 8 or 16, and the number of frozen layers was from layer 0 to 6. For ease of discussion, the detectors trained using different training strategies on different experiments were assigned numbers, as shown in Table 1.
These detectors were tested on their respective test sets, with the results on dataset SAS240 and dataset SAS450 shown in Figure 9 and Figure 10, respectively. When the IoU (Intersection over Union) between the detection result and the ground truth is greater than or equal to 0.5, it is considered that the bounding box has detected the target and is colored red; otherwise, it is regarded as a false alarm and is colored yellow. It is worth noting that when multiple bounding boxes detect the same target repeatedly, only the one with the highest confidence among the multiple bounding boxes is selected as the detection result and is colored red, while the remaining bounding boxes are considered as false alarms and are marked in yellow.
It can be seen that Detector A, B, and C can produce detection results on the SAS240 test set even at high confidence levels, whereas Detector D, E, and F can only produce detection results on the SAS450 test set at low confidence levels. Among them, Detector E did not detect any targets and completely failed. Therefore, Detector E will not be analyzed in subsequent discussions. The comparison results of the false alarm rate performance of different detectors are shown in Figure 11a, which depict the variation of false alarm rate with confidence level for Detectors A, B, and C within the confidence interval [0.1, 0.8]. Considering that Detector D and F can only detect targets at low confidence levels on the test set and that Detector E is not compared due to its failure, the false alarm rate performances of both are presented in table form, as shown in Table 2.
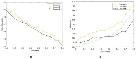
In Experiment 1, as the confidence level increases, the false alarm rates of Detectors A, B, and C on the SAS240 test set gradually decrease. Among them, the false alarm rate of Detector A is lower than that of Detector B only at low confidence levels. Among them, Detector A has a lower false alarm rate than Detector B only at low confidence levels. This implies that when a pre-trained model trained on a large-scale optical dataset is directly applied to perform target detection tasks on sonar images in the SAS240 dataset, it does not achieve the same good performance as in optical images and may even fail under high confidence conditions, exhibiting a higher false alarm rate than training from scratch.
Detector C performs well in terms of false alarm rate, consistently showing a lower false alarm rate than Detector A within the experimental confidence interval and maintaining a lower false alarm rate than Detector B throughout most of the confidence interval. Although Detector B sometimes exhibits a lower false alarm rate in the high confidence interval, it is not significantly lower than that of Detector C, while Detector C’s false alarm rate in the low confidence interval is significantly lower than that of Detector B. Therefore, we can consider Detector C’s false alarm rate performance to be the best in Experiment 1. Meanwhile, in Experiment 2, Detector F also exhibits a lower false alarm rate than Detector D. This indicates that, compared to the currently popular paradigm of transfer learning, the training strategy proposed in this paper can train detectors that exhibit lower false alarm rates in sonar target detection tasks, and this method is effective on datasets with different sampling frequencies and sizes.
In addition to the false alarm rate, which is the focus of this paper, researchers also pay attention to the missed detections of targets by detectors in practical detection tasks. This paper also provides a simple comparison of the miss rates of each detector at different confidence levels. The results for Detectors A, B, and C are shown in Figure 11b, while the results for Detectors D and F can be found in Table 2.
It can be observed that the miss rates of detectors C and F are consistently lower than those of detectors A and D, respectively, throughout the entire confidence interval. Detectors A and D represent the results of the pre-trained–fine-tune paradigm in Experiment 1 and Experiment 2, respectively. This further illustrates the inadequacy of the pre-trained–fine-tune training strategy, commonly used in the field of optical image target detection, when applied to sonar images. Although detector B exhibits a lower miss rate than detector C in the low confidence interval, this is achieved at the expense of a higher false alarm rate, generating a large number of detection boxes. To more intuitively demonstrate this issue, this paper plots the false alarm rate–miss rate curves for detectors A, B, and C within the confidence interval, as shown in Figure 12.
Although Detector B has a lower miss rate under certain confidence conditions, this comes at the cost of a much higher false alarm rate compared to the other two detectors. Researchers always aim to minimize the miss rate while achieving a low false alarm rate. In Figure 11, the smaller the area enclosed by the curve, the closer it is to this expectation. When one curve is completely below another, it indicates that the detector corresponding to the lower curve has better detection performance. Although the curve of Detector C is not completely below that of Detector B, it can be seen that the area under the curve of Detector C is smaller than that of Detector B. Therefore, it can still be concluded that Detector C has better detection performance than Detector B. This once again proves that the training strategy proposed in this paper can yield detectors with better detection performance, especially in terms of improving the false alarm rate.

4.2.2. The Setup of Proxy Classification Tasks

In the previous Section, by comparing the false alarm rate performance of detectors trained using three different strategies in their respective experiments, we concluded that the DCD training strategy can yield detectors with better detection performance, especially in terms of improving the false alarm rate. This optimization is attributed to setting the proxy task as a classification task, which enhances the backbone network’s ability to distinguish between targets and backgrounds. Detector C and Detector F are the detectors obtained from Experiment 1 and Experiment 2 using the DCD training strategy, respectively. The training results of the classification tasks corresponding to these two detectors are shown in Figure 13. In Figure 13b, the “accuracy_top5” is consistently 1 because the SAS450 dataset contains only three target classes, and with the background included, its derived classification dataset has a total of four categories. Therefore, the top five predictions in the proxy task during the training process of Experiment 2 will always include the correct label, hence the “accuracy_top5” in Figure 13b is consistently 1.
Detectors C and F are the detectors with the best false alarm rate performance in their respective experiments, which also suggests that the DCD training strategy adopted in this paper is robust when applied to sonar images collected at different frequencies. Influenced by external factors and considering the dataset size, image quality, and target categories, the quality of the SAS450 dataset is lower than that of the SAS240 dataset. This results in the classification dataset derived from SAS450 being of inferior quality compared to the one derived from SAS240. Therefore, we designed Experiment 3 to attempt using the backbone network trained on the higher-quality derived dataset, SAS240, for learning and inference based on the SAS450 dataset. The detector obtained through this process is denoted as Detector G. The results of Detectors F and G on the test set are shown in Figure 14.
Comparing the false alarm rate performance of Detectors D, F, and G on the SAS450 test set, we recorded the detectors’ false alarm rates and miss rates when the IoU between the detection results and the annotations is greater than or equal to 0.5, and the confidence levels are taken at intervals of 0.05 within the range [0.05, 0.4]. The results are shown in Figure 15.
It can be seen that both Detector F and Detector G exhibit lower false alarm rates than Detector D across the entire confidence interval. At low confidence levels, Detector F outperforms Detector G in terms of both false alarm rate and miss rate. However, as the confidence level increases, the false alarm rate and miss rate of Detector F gradually converge towards those of Detector G. The false alarm rate–miss rate curves for Detectors D, F, and G within the confidence interval are shown in Figure 16. It can be observed that the curves for Detector F and Detector G are very close. Although the curve for Detector G is closer to the origin of the coordinate axis, its false alarm rate performance is relatively unstable. While the curve for Detector F is farther from the origin than that of Detector G, it is concentrated within a certain range and is more stable. This indicates that training detectors using higher-quality sonar datasets can achieve a reduction in false alarm rates, even when the targets in these sonar images are different and were collected at different locations and times.

4.2.3. Transfer Performance on the Sonar Dataset

In the previous Section, we found that introducing higher-quality sonar datasets, even when the sonar images have low temporal and spatial correlation with the training and test sets, can help reduce the false alarm rate. This indicates that the backbone networks trained on sonar datasets are transferable, but whether this benefit is attributed to the DCD training strategy requires further verification. Therefore, in Experiment 3, we trained Detector H using the “pre-trained–fine-tune” strategy; it utilized the best-performing Detector C from Experiment 1 as the pre-trained model and then completed learning and inference on the SAS450 dataset. The performance of Detectors G and H on the test set is shown in Figure 17.
Comparing the false alarm rate performance of Detectors F, G, and H on the SAS450 test set, the detection results are recorded in Table 2 with confidence levels taken at intervals of 0.1 within the range [0.1, 0.4]. Detector G exhibits better performance in terms of false alarm rate, showing lower false alarm and miss rates than Detector H across the experimental confidence interval. Therefore, we can conclude that the performance of Detector G is superior to that of Detector H. This implies that when training using different sonar datasets, the method proposed in this paper can effectively utilize other sonar datasets to train a detector with a lower false alarm rate. Furthermore, we also found that Detector F in Experiment 2 outperforms Detector H. This indicates that the DCD strategy proposed in this paper can utilize higher-quality sonar image datasets collected under different times, spaces, and target samples to train a detector with a lower false alarm rate. This is a capability that the “pre-trained–fine-tune” approach does not possess, implying that the DCD strategy has better transferability.

4.2.4. Analysis of Evaluation Metrics

In addition to analyzing the performance of the three types of detectors on the test set, this paper also compares commonly used evaluation metrics in object detection algorithms, with the mAP results shown in Table 3. On the SAS240 dataset, whether it is mAP@0.5 or mAP@0.5–0.95, the results obtained using the DCD strategy for training are superior to the other two methods, with improvements of 1.46% and 6.09% compared to the pre-trained–fine-tune strategy, and improvements of 0.78% and 3.83% compared to training from scratch, respectively. However, on the SAS450 dataset, whether it is mAP@0.5 or mAP@0.5–0.95, Detector F trained using the DCD strategy performs worse than Detector D, with decreases of 9.11% and 19.94% compared to Detector D, respectively. Furthermore, both mAP@0.5 and mAP@0.5–0.95 of Detector G are significantly lower than those of Detector H, with decreases of 47.66% and 53.32%, respectively. This result is completely inconsistent with their performance on the test set, leading us to believe that mAP should not be used as the primary metric for evaluating algorithm performance in the field of sonar-based object detection.
To comprehensively consider both the detector’s ability to detect all targets and its ability to correctly detect targets, this paper compares the F1-Score. In practical detection tasks, the detection threshold is often selected by referring to the F1-Score at different confidence levels. Once the threshold is determined, the F1-Score becomes a fixed constant. Therefore, this paper only compares the maximum F1-Score. Assuming that there is a maximum F1-Score, where the confidence level is T, this paper also compares the false alarm rate performance of different detectors on the test set at this confidence level and contrasts it with the average false alarm rate of the detector. The results are shown in Table 4.
The F1-Score ranges between [0,1], with values closer to 1 indicating a more perfect balance between precision and recall for the model, and values closer to 0 indicating that at least one of the precision or recall metrics is very poor. Generally, when the confidence T corresponding to the maximum F1-Score is selected for each of the three detectors, they can exhibit their best detection performance while balancing false alarms and missed detections. Therefore, it is meaningful to compare the false alarm rates P f a T of each detector at this point.
As shown in Table 4, Detector C and Detector F have the lowest false alarm rates among their respective groups of detectors. Detector C has a lower false alarm rate by 5.61% and 26.74% compared to Detector A and Detector B, respectively. Detector E is not discussed due to its failure on the test set. Detector F has a lower false alarm rate by 19.22% and 6.19% compared to Detector D and Detector H, respectively. When comparing the false alarm rates of detectors tested on the SAS450 dataset, it is found that the detector trained using our strategy exhibits a significant reduction in false alarm rate. This phenomenon can be attributed to two factors. On one hand, the smaller scale of the SAS450 dataset makes the reduction in false alarms more pronounced in percentage terms. On the other hand, both the training and test sets in the dataset contain far more background than targets, making it more difficult for the detector to detect targets and more prone to generating false alarms, thus allowing more false alarms to be suppressed. The acquisition of real sonar data is often challenging, and in most cases, the sonar datasets that researchers can collect are almost exclusively similar to datasets like SAS450; they are small in scale, and the background in the sonar images occupies significantly more space than the targets. This is a common issue in the field of underwater target detection. Therefore, the improvement of detection performance using this method on such small-scale datasets holds great reference significance for many researchers who do not have the capability to obtain higher-quality datasets.
Moreover, if we simply compare the average false alarm rates P f a ¯ of the three detectors over the confidence interval [0.1,0.8], Detector C only reduces the false alarm rate by 3.91% and 6.73% compared to Detector A and Detector B, respectively, and Detector F only reduces the false alarm rate by 18.50% and 3.07% compared to Detector D and Detector H, respectively. This indicates that the training strategy proposed in this paper not only achieves a reduction in false alarm rate, but also improves it while considering the target recall rate.
It is worth noting that Detectors G and H, which were developed by transferring features from another set of sonar data, showed a 2.27% reduction in P f a T for Detector G compared to Detector H, but a 19.61% reduction in P f a ¯ . Moreover, when comparing Detector G to Detector F, although there was a 14.31% reduction in P f a ¯ , the P f a T rate increased by 0.825%. This suggests that although training with higher-quality sonar datasets using the DCD method can achieve a reduction in false alarm rate, it is not achieved while balancing the target recall rate.

5. Conclusions and Discussions

The false alarm rate is a crucial metric in unmanned underwater target detection tasks, yet few scholars have specifically discussed how to reduce it in existing research. Popular deep learning training methods in the field of underwater target recognition are limited by the quality of sonar images and the imaging differences between acoustic and optical images, making it difficult to achieve good results on real-world sonar image test data. We suggest setting the proxy task as a classification task and using this DCD training strategy to learn target and background features. Three experiments are designed in this paper to allow us to discuss our method.
Experiment 1 is conducted on the SAS240 dataset, using the same sonar, during the same time period, and at the same location, with imaging results of the same batch of targets. The training and test samples are randomly divided. By comparing the performance of detectors trained using three different strategies on the test set, the effectiveness of the DCD training strategy is verified. The detector trained with DCD achieves a 3.91% reduction in false alarm rate at the same or higher recall rates.
Experiment 2 is designed the same as Experiment 1, but uses the SAS450 dataset, which was collected with a different sonar frequency than the dataset in Experiment 1. In Experiment 2, the detector trained with the DCD strategy achieves an 18.50% reduction in false alarm rate at the same or higher recall rates. This once again verifies the effectiveness of the DCD strategy and demonstrates its robustness to sonar images collected at different frequencies.
Experiment 3 explores self-training with weight transfer on sonar images collected under varying conditions including different frequencies, collection times, locations, and targets. The self-training process is conducted on the SAS240 dataset, while the learning and inference tasks are performed on the SAS450 dataset. The result shows a 14.31% reduction in false alarm rate at the same recall rate, validating the adaptability of self-training to different frequencies. Furthermore, in Experiment 3, the best-performing detector from Experiment 1 is used as the pre-trained model, and a popular training strategy is adopted to obtain a new detector. When compared under the same or higher recall rates, the detector obtained through self-training with weight transfer under the DCD strategy achieves a 19.61% reduction in false alarm rate.
However, there are still some limitations in this study, mainly manifested in the following aspects. In terms of the dataset, some target samples in our sonar dataset are scarce, resulting in an uneven distribution of the dataset samples. To address this, we plan to conduct more experiments to collect additional sonar images and obtain a higher-quality dataset. Researchers can also consider improving this issue from the perspective of image preprocessing. In terms of models, we only trained the detector using the YOLOv8 model and did not experiment with more popular models. In our future work, we will consider using a wider range of more popular models for experimentation. Finally, in terms of algorithms, we only set the proxy task as a classification task in our current work. However, there are various choices for proxy tasks, such as segmentation tasks or noise reduction tasks. We will conduct relevant experiments in our future work to explore the effects of different proxy task settings on improving the false alarm rate.

Author Contributions

Conceptualization, P.Z. and Z.H. (Zhengliang Hu); methodology, Y.F.; software, Z.H. (Zheng He) and Z.Y.; validation, J.H., Z.H. (Zheng He) and P.Z.; formal analysis, J.H.; investigation, Y.F.; resources, Y.F.; data curation, Z.H. (Zheng He) and Z.Y.; writing—original draft preparation, J.H.; writing—review and editing, J.H. and P.Z.; visualization, J.H.; supervision, Z.H. (Zhengliang Hu); project administration, Z.H. (Zhengliang Hu); funding acquisition, P.Z. and Z.H. (Zhengliang Hu). All authors have read and agreed to the published version of the manuscript.

Funding

This research was funded by National Natural Science Foundation of China, grant number 62401601.

Institutional Review Board Statement

Not applicable.

Informed Consent Statement

Not applicable.

Data Availability Statement

The original contributions presented in this study are included in the article. Further inquiries can be directed to the author (pengzhang.ai@outlook.com).

Conflicts of Interest

The authors declare no conflicts of interest.

References

  1. Zhu, J.; Yin, T.; Guo, W.; Zhang, B.; Zhou, Z. An underwater target azimuth trajectory enhancement approach in BTR. Appl Acoust. 2025, 230, 110373. [Google Scholar] [CrossRef]
  2. Zheng, L.; Hu, T.; Zhu, J. Underwater Sonar Target Detection Based on Improved ScEMA-YOLOv8. IEEE Geosci. Remote Sens. Lett. 2024, 21, 1–5. [Google Scholar] [CrossRef]
  3. Wang, X.; Jiao, J.; Yin, J.; Zhao, W.; Han, X.; Sun, B. Underwater sonar image classification using adaptive weights convolutional neural network. Appl Acoust. 2019, 146, 145–154. [Google Scholar] [CrossRef]
  4. Williams, D.P. Underwater target classification in synthetic aperture sonar imagery using deep convolutional neural networks. In Proceedings of the 2016 23rd International Conference on Pattern Recognition (ICPR), Cancun, Mexico, 4–8 December 2016. [Google Scholar]
  5. Zhang, P.; Tang, J.; Zhong, H.; Ning, M.; Liu, D.; Wu, K. Self-Trained Target Detection of Radar and Sonar Images Using Automatic Deep Learning. IEEE Trans. Geosci. Remote Sens. 2022, 60, 1–14. [Google Scholar] [CrossRef]
  6. Huo, G.; Wu, Z.; Li, J. Underwater Object Classification in Sidescan Sonar Images Using Deep Transfer Learning and Semisynthetic Training Data. IEEE Access 2020, 8, 47407–47418. [Google Scholar] [CrossRef]
  7. Yang, Z.; Zhao, J.; Yu, Y.; Huang, C. A Sample Augmentation Method for Side-Scan Sonar Full-Class Images That Can Be Used for Detection and Segmentation. IEEE Trans. Geosci. Remote Sens. 2024, 62, 1–11. [Google Scholar] [CrossRef]
  8. Zhu, J.; Xie, Z.; Jiang, N.; Song, Y.; Han, S.; Liu, W.; Huang, X. Delay-Doppler Map Shaping through Oversampled Complementary Sets for High-Speed Target Detection. Remote Sens. 2024, 16, 2898. [Google Scholar] [CrossRef]
  9. Karimanzira, D.; Renkewitz, H.; Shea, D.; Albiez, J. Object Detection in Sonar Images. Electronics 2020, 9, 1180. [Google Scholar] [CrossRef]
  10. Hożyń, S. A Review of Underwater Mine Detection and Classification in Sonar Imagery. Electronics 2021, 10, 2943. [Google Scholar] [CrossRef]
  11. Song, Y.; He, B.; Liu, P. Real-Time Object Detection for AUVs Using Self-Cascaded Convolutional Neural Networks. IEEE J. Ocean. Eng. 2021, 46, 56–67. [Google Scholar] [CrossRef]
  12. Palomeras, N.; Furfaro, T.; Williams, D.P.; Carreras, M.; Dugelay, S. Automatic Target Recognition for Mine Countermeasure Missions Using Forward-Looking Sonar Data. IEEE J. Ocean. Eng. 2022, 47, 141–161. [Google Scholar] [CrossRef]
  13. Huang, C.; Zhao, J.; Zhang, H.; Yu, Y. Seg2Sonar: A Full-Class Sample Synthesis Method Applied to Underwater Sonar Image Target Detection, Recognition, and Segmentation Tasks. IEEE Trans. Geosci. Remote Sens. 2024, 62, 1–19. [Google Scholar] [CrossRef]
  14. Ma, Q.; Jiang, L.; Yu, W.; Jin, R.; Wu, Z.; Xu, F. Training with Noise Adversarial Network: A Generalization Method for Object Detection on Sonar Image. In Proceedings of the 2020 IEEE Winter Conference on Applications of Computer Vision (WACV), Snowmass Village, CO, USA, 1–5 March 2020. [Google Scholar]
  15. Yu, Y.; Zhao, J.; Gong, Q.; Huang, C.; Zheng, G.; Ma, J. Real-Time Underwater Maritime Object Detection in Side-Scan Sonar Images Based on Transformer-YOLOv5. Remote Sens. 2021, 13, 3555. [Google Scholar] [CrossRef]
  16. Chen, S.; Xue, J.H.; Chang, J.; Zhang, J.; Yang, J.; Tian, Q. SSL++: Improving Self-Supervised Learning by Mitigating the Proxy Task-Specificity Problem. IEEE Trans. Image Process. 2022, 31, 1134–1148. [Google Scholar] [CrossRef] [PubMed]
  17. Larsson, G.; Maire, M.; Shakhnarovich, G. Colorization as a Proxy Task for Visual Understanding. In Proceedings of the 2017 IEEE Conference on Computer Vision and Pattern Recognition (CVPR), Honolulu, HI, USA, 21–26 July 2017. [Google Scholar]
  18. Doersch, C.; Gupta, A.; Efros, A.A. Unsupervised Visual Representation Learning by Context Prediction. In Proceedings of the 2015 IEEE International Conference on Computer Vision (ICCV), Santiago, Chile, 7–13 December 2015. [Google Scholar]
  19. Cheke, R.; Eising, C.; Denny, P.; van de Ven, P. PatchLoc: Embedded Patch Localization Pretext Task for Tumor Segmentation in Medical Images. IEEE Access 2024, 12, 66845–66857. [Google Scholar] [CrossRef]
  20. Han, J.; Liu, C.; You, Z.; Zhang, Z.; Hu, Z.; Zhang, P. Reducing False alarm rate of Sonar image Detection via Self-training. In Proceedings of the 2024 6th International Conference on Robotics, Intelligent Control and Artificial Intelligence (RICAI 2024), Nanjing, China, 6–8 December 2024. [Google Scholar]
  21. Huang, C.; Zhao, J.; Yu, Y.; Zhang, H. Comprehensive Sample Augmentation by Fully Considering SSS Imaging Mechanism and Environment for Shipwreck Detection Under Zero Real Samples. IEEE Trans. Geosci. Remote Sens. 2022, 60, 1–14. [Google Scholar] [CrossRef]
  22. Li, C.; Ye, X.; Cao, D.; Hou, J.; Yang, H. Zero shot objects classification method of side scan sonar image based on synthesis of pseudo samples. Appl Acoust. 2021, 173, 107691. [Google Scholar] [CrossRef]
  23. Chandrashekar, G.; Raaza, A.; Rajendran, V.; Ravikumar, D. Side scan sonar image augmentation for sediment classification using deep learning based transfer learning approach. Mater. Today Proc. 2023, 80, 3263–3273. [Google Scholar] [CrossRef]
  24. Deng, J.; Dong, W.; Socher, R.; Li, L.J.; Kai, L.; Li, F.-F. ImageNet: A large-scale hierarchical image database. In Proceedings of the 2009 IEEE Conference on Computer Vision and Pattern Recognition, Miami, FL, USA, 20–25 June 2009. [Google Scholar]
  25. Ferreira, F.; Machado, D.; Ferri, G.; Dugelay, S.; Potter, J. Underwater optical and acoustic imaging: A time for fusion? a brief overview of the state-of-the-art. In Proceedings of the OCEANS 2016 MTS/IEEE Monterey, Monterey, CA, USA, 19–23 September 2016. [Google Scholar]
  26. Reed, S.; Petillot, Y.; Bell, J. Automated approach to classification of mine-like objects in sidescan sonar using highlight and shadow information. IEE Proc.-Radar Sonar Navig. 2004, 151, 48–56. [Google Scholar] [CrossRef]
  27. Ren, S.; He, K.; Girshick, R.; Sun, J. Faster R-CNN: Towards Real-Time Object Detection with Region Proposal Networks. IEEE Trans. Pattern Anal. Mach. Intell. 2017, 39, 1137–1149. [Google Scholar] [CrossRef]
  28. Lin, T.-Y.; Goyal, P.; Girshick, R.; He, K.; Dollar, P. Focal Loss for Dense Object Detection. IEEE Trans. Pattern Anal. Mach. Intell. 2020, 42, 318–327. [Google Scholar] [CrossRef] [PubMed]
Figure 1. Pre-trained detection paradigm for sonar image target detection based on large-scale optical image datasets.
Figure 1. Pre-trained detection paradigm for sonar image target detection based on large-scale optical image datasets.
Applsci 15 01189 g001
Figure 2. Comparison diagram of this paper’s training framework and traditional training frameworks.
Figure 2. Comparison diagram of this paper’s training framework and traditional training frameworks.
Applsci 15 01189 g002
Figure 3. The training strategy of Detectors based on proxy classification tasks.
Figure 3. The training strategy of Detectors based on proxy classification tasks.
Applsci 15 01189 g003
Figure 4. The creation of derived classification datasets.
Figure 4. The creation of derived classification datasets.
Applsci 15 01189 g004
Figure 5. Targets and background in datasets SAS240.
Figure 5. Targets and background in datasets SAS240.
Applsci 15 01189 g005
Figure 6. Targets and background in datasets SAS450.
Figure 6. Targets and background in datasets SAS450.
Applsci 15 01189 g006
Figure 7. Distribution of target category quantities in the dataset. (a) Result of the SAS240 training set; (b) Result of the SAS240 validation set; (c) Result of the SAS450 training set; (d) Result of the SAS450 validation set.
Figure 7. Distribution of target category quantities in the dataset. (a) Result of the SAS240 training set; (b) Result of the SAS240 validation set; (c) Result of the SAS450 training set; (d) Result of the SAS450 validation set.
Applsci 15 01189 g007
Figure 8. The relationship among different datasets used in the experiments.
Figure 8. The relationship among different datasets used in the experiments.
Applsci 15 01189 g008
Figure 9. The detection results of Detectors A, B, and C on the SAS240 test set. (The yellow bounding box indicates a false alarm, and the red bounding box indicates a correct detection).
Figure 9. The detection results of Detectors A, B, and C on the SAS240 test set. (The yellow bounding box indicates a false alarm, and the red bounding box indicates a correct detection).
Applsci 15 01189 g009
Figure 10. The detection results of Detectors D, E, and F on the SAS450 test set. (The yellow bounding box indicates a false alarm, and the red bounding box indicates a correct detection).
Figure 10. The detection results of Detectors D, E, and F on the SAS450 test set. (The yellow bounding box indicates a false alarm, and the red bounding box indicates a correct detection).
Applsci 15 01189 g010
Figure 11. The performance of Detector A, Detector B and Detector C on the SAS240 test set: (a) The comparison of false alarm rates; (b) The comparison of miss rates.
Figure 11. The performance of Detector A, Detector B and Detector C on the SAS240 test set: (a) The comparison of false alarm rates; (b) The comparison of miss rates.
Applsci 15 01189 g011
Figure 12. Missing alarm rate–false alarm rate curve among Detectors A, B and C.
Figure 12. Missing alarm rate–false alarm rate curve among Detectors A, B and C.
Applsci 15 01189 g012
Figure 13. The training results of the classification task: (a) results of SAS240; (b) results of SAS450.
Figure 13. The training results of the classification task: (a) results of SAS240; (b) results of SAS450.
Applsci 15 01189 g013
Figure 14. The detection results of Detectors F and G on the SAS450 test set. (The yellow bounding box indicates a false alarm, and the red bounding box indicates a correct detection).
Figure 14. The detection results of Detectors F and G on the SAS450 test set. (The yellow bounding box indicates a false alarm, and the red bounding box indicates a correct detection).
Applsci 15 01189 g014
Figure 15. The performance of Detector D, Detector F and Detector G on the SAS450 test set: (a) The comparison of false alarm rates; (b) The comparison of miss rates.
Figure 15. The performance of Detector D, Detector F and Detector G on the SAS450 test set: (a) The comparison of false alarm rates; (b) The comparison of miss rates.
Applsci 15 01189 g015
Figure 16. Missing alarm rate–false alarm rate curve among Detectors D, F and G.
Figure 16. Missing alarm rate–false alarm rate curve among Detectors D, F and G.
Applsci 15 01189 g016
Figure 17. The detection results of Detectors G and H on the SAS450 test set. (The yellow bounding box indicates a false alarm, and the red bounding box indicates a correct detection).
Figure 17. The detection results of Detectors G and H on the SAS450 test set. (The yellow bounding box indicates a false alarm, and the red bounding box indicates a correct detection).
Applsci 15 01189 g017
Table 1. The Detectors trained in Experiment 1 and Experiment 2.
Table 1. The Detectors trained in Experiment 1 and Experiment 2.
ExperimentDetectorTraining Set of
Pre-Trained Model
Training Set of
Proxy Task
Training SetTraining Strategy
Experiment 1Detector ACoco--SAS 240Pre-trained–fine-tune
Detector B----SAS 240Train from Scratch
Detector C --SAS 240SAS 240DCD
Experiment 2Detector DCoco--SAS 450Pre-trained–fine-tune
Detector E----SAS 450Train from Scratch
Detector F--SAS 450SAS 450DCD
Experiment 3Detector G--SAS 240SAS 450DCD
Detector HSAS 240--SAS 450Pre-trained–fine-tune
Table 2. The performance of Detectors on the SAS450 test set.
Table 2. The performance of Detectors on the SAS450 test set.
ExperimentDetectorConfidenceFalse Alarm RateMissing Rate
Experiment 2Detector D0.10.8460.667
0.20.8890.833
0.30.8330.833
0.411
Detector F0.10.6920.333
0.20.6670.333
0.30.8000.667
0.40.7500.667
Experiment 3Detector G0.10.7650.333
0.20.5560.333
0.30.5710.667
0.40.6000.667
Detector H0.10.8000.833
0.20.8000.833
0.30.7500.833
0.40.7500.833
Table 3. mAP comparison for Detectors.
Table 3. mAP comparison for Detectors.
DetectormAP50mAP50-95
Detector A0.8930.46
Detector B0.8990.47
Detector C0.9060.488
Detector D0.5160.326
Detector E0.3790.147
Detector F0.4690.261
Detector G0.4130.225
Detector H0.7890.482
Table 4. Evaluation metrics comparison for Detectors.
Table 4. Evaluation metrics comparison for Detectors.
DetectorF1 P f a T P f a ¯ T
Detector A0.800.5920.4580.489
Detector B0.830.4600.4710.278
Detector C0.860.4340.4400.473
Detector D0.440.9000.8920.149
Detector E0.37----0.032
Detector F0.520.7270.7270.248
Detector G0.340.7330.6230.124
Detector H0.710.7500.7750.529
Disclaimer/Publisher’s Note: The statements, opinions and data contained in all publications are solely those of the individual author(s) and contributor(s) and not of MDPI and/or the editor(s). MDPI and/or the editor(s) disclaim responsibility for any injury to people or property resulting from any ideas, methods, instructions or products referred to in the content.

Share and Cite

MDPI and ACS Style

Han, J.; Fan, Y.; He, Z.; You, Z.; Zhang, P.; Hu, Z. Self-Training Can Reduce Detection False Alarm Rate of High-Resolution Imaging Sonar. Appl. Sci. 2025, 15, 1189. https://doi.org/10.3390/app15031189

AMA Style

Han J, Fan Y, He Z, You Z, Zhang P, Hu Z. Self-Training Can Reduce Detection False Alarm Rate of High-Resolution Imaging Sonar. Applied Sciences. 2025; 15(3):1189. https://doi.org/10.3390/app15031189

Chicago/Turabian Style

Han, Jingqi, Yue Fan, Zheng He, Zhenhang You, Peng Zhang, and Zhengliang Hu. 2025. "Self-Training Can Reduce Detection False Alarm Rate of High-Resolution Imaging Sonar" Applied Sciences 15, no. 3: 1189. https://doi.org/10.3390/app15031189

APA Style

Han, J., Fan, Y., He, Z., You, Z., Zhang, P., & Hu, Z. (2025). Self-Training Can Reduce Detection False Alarm Rate of High-Resolution Imaging Sonar. Applied Sciences, 15(3), 1189. https://doi.org/10.3390/app15031189

Note that from the first issue of 2016, this journal uses article numbers instead of page numbers. See further details here.

Article Metrics

Back to TopTop