Sign in to use this feature.

Years

Between: -

Subjects

remove_circle_outline
remove_circle_outline
remove_circle_outline
remove_circle_outline
remove_circle_outline
remove_circle_outline
remove_circle_outline
remove_circle_outline

Journals

Article Types

Countries / Regions

Search Results (380)

Search Parameters:
Keywords = underwater target detection

Order results
Result details
Results per page
Select all
Export citation of selected articles as:
16 pages, 1736 KB  
Article
Legacy of Chemical Pollution from an Underwater Tire Dump in Alver Municipality, Norway: Implication for the Persistence of Tire-Derived Chemicals and Site Remediation
by Adrián Jaén-Gil, Amandine A. Tisserand, Lúcia H. M. L. M. Santos, Sara Rodríguez-Mozaz, Alessio Gomiero, Eirik Langeland and Farhan R. Khan
Environments 2025, 12(10), 356; https://doi.org/10.3390/environments12100356 (registering DOI) - 4 Oct 2025
Abstract
Increasing attention has been given to the environmental impact of tire-derived chemicals in aquatic systems, but submerged whole tires remain an overlooked source. This study investigates a previously unexplored underwater tire dump in Hjelmås Bay, Alver Municipality (Norway) where a blast mat manufacturer [...] Read more.
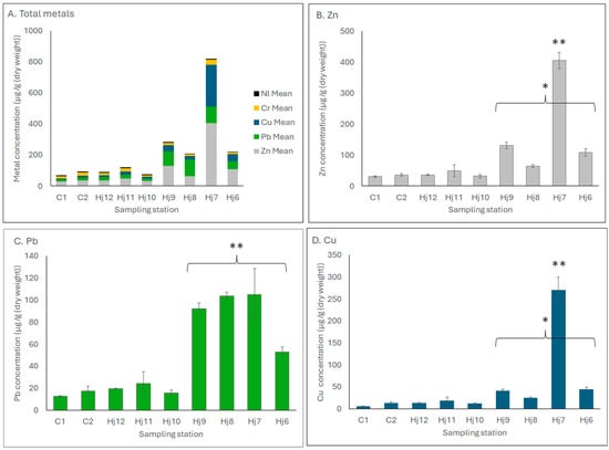
Increasing attention has been given to the environmental impact of tire-derived chemicals in aquatic systems, but submerged whole tires remain an overlooked source. This study investigates a previously unexplored underwater tire dump in Hjelmås Bay, Alver Municipality (Norway) where a blast mat manufacturer discarded large quantities of tires into the bay in the 1970s. These tires have remained submerged for over 50 years. We conducted an initial site mapping and collected sediment and water samples to assess tire-related pollutants in comparison with control sites. Sediment analysis revealed elevated levels of Zn, Pb, and Cu, particularly near the tire dump center, with Zn being the most abundant. Bis(2-ethylhexyl) phthalate (DEHP) was the dominant phthalate detected in the sediments, though no clear spatial pattern emerged for phthalates. Non-target chemical screening of water samples identified 20 features potentially linked to tire degradation, with N,N′-Diphenylguanidine (DPG) being the most notable. Our study highlights the long-term environmental persistence of several tire-derived chemicals, which has ramifications for both the regulation of tire-derived chemicals and plans for remediation at Hjelmås. Our initial findings warrant the implementation of a comprehensive chemical and ecological baseline monitoring assessment prior to discussions on remediation. Full article
Show Figures

Figure 1

31 pages, 15645 KB  
Article
RCF-YOLOv8: A Multi-Scale Attention and Adaptive Feature Fusion Method for Object Detection in Forward-Looking Sonar Images
by Xiaoxue Li, Yuhan Chen, Xueqin Liu, Zhiliang Qin, Jiaxin Wan and Qingyun Yan
Remote Sens. 2025, 17(19), 3288; https://doi.org/10.3390/rs17193288 - 25 Sep 2025
Abstract
Acoustic imaging systems are essential for underwater target recognition and localization, but forward-looking sonar (FLS) imagery faces challenges due to seabed variability, resulting in low resolution, blurred images, and sparse targets. To address these issues, we introduce RCF-YOLOv8, an enhanced detection framework based [...] Read more.
Acoustic imaging systems are essential for underwater target recognition and localization, but forward-looking sonar (FLS) imagery faces challenges due to seabed variability, resulting in low resolution, blurred images, and sparse targets. To address these issues, we introduce RCF-YOLOv8, an enhanced detection framework based on YOLOv8, designed to improve FLS image analysis. Key innovations include the use of CoordConv modules to better encode spatial information, improving feature extraction and reducing misdetection rates. Additionally, an efficient multi-scale attention (EMA) mechanism addresses sparse target distributions, optimizing feature fusion and improving the network’s ability to identify key areas. Lastly, the C2f module with high-quality feature fusion (C2f-Fusion) optimizes feature extraction from noisy backgrounds. RCF-YOLOv8 achieved a 98.8% mAP@50 and a 67.6% mAP@50-95 on the URPC2021 dataset, outperforming baseline models with a 2.4% increase in single-threshold accuracy and a 10.4% increase in multi-threshold precision, demonstrating its robustness for underwater detection. Full article
(This article belongs to the Special Issue Efficient Object Detection Based on Remote Sensing Images)
Show Figures

Figure 1

23 pages, 17670 KB  
Article
UWS-YOLO: Advancing Underwater Sonar Object Detection via Transfer Learning and Orthogonal-Snake Convolution Mechanisms
by Liang Zhao, Xu Ren, Lulu Fu, Qing Yun and Jiarun Yang
J. Mar. Sci. Eng. 2025, 13(10), 1847; https://doi.org/10.3390/jmse13101847 - 24 Sep 2025
Viewed by 119
Abstract
Accurate and efficient detection of underwater targets in sonar imagery is critical for applications such as marine exploration, infrastructure inspection, and autonomous navigation. However, sonar-based object detection remains challenging due to low resolution, high noise, cluttered backgrounds, and the scarcity of annotated data. [...] Read more.
Accurate and efficient detection of underwater targets in sonar imagery is critical for applications such as marine exploration, infrastructure inspection, and autonomous navigation. However, sonar-based object detection remains challenging due to low resolution, high noise, cluttered backgrounds, and the scarcity of annotated data. To address these issues, we propose UWS-YOLO, a novel detection framework specifically designed for underwater sonar images. The model integrates three key innovations: (1) a C2F-Ortho module that enhances multi-scale feature representation through orthogonal channel attention, improving sensitivity to small and low-contrast targets; (2) a DySnConv module that employs Dynamic Snake Convolution to adaptively capture elongated and irregular structures such as pipelines and cables; and (3) a cross-modal transfer learning strategy that pre-trains on large-scale optical underwater imagery before fine-tuning on sonar data, effectively mitigating overfitting and bridging the modality gap. Extensive evaluations on real-world sonar datasets demonstrate that UWS-YOLO achieves a mAP@0.5 of 87.1%, outperforming the YOLOv8n baseline by 3.5% and seven state-of-the-art detectors in accuracy while maintaining real-time performance at 158 FPS with only 8.8 GFLOPs. The framework exhibits strong generalization across datasets, robustness to noise, and computational efficiency on embedded devices, confirming its suitability for deployment in resource-constrained underwater environments. Full article
(This article belongs to the Section Ocean Engineering)
Show Figures

Figure 1

24 pages, 6747 KB  
Article
YOLOv11-MSE: A Multi-Scale Dilated Attention-Enhanced Lightweight Network for Efficient Real-Time Underwater Target Detection
by Zhenfeng Ye, Xing Peng, Dingkang Li and Feng Shi
J. Mar. Sci. Eng. 2025, 13(10), 1843; https://doi.org/10.3390/jmse13101843 - 23 Sep 2025
Viewed by 198
Abstract
Underwater target detection is a critical technology for marine resource management and ecological protection, but its performance is often limited by complex underwater environments, including optical attenuation, scattering, and dense distributions of small targets. Existing methods have significant limitations in feature extraction efficiency, [...] Read more.
Underwater target detection is a critical technology for marine resource management and ecological protection, but its performance is often limited by complex underwater environments, including optical attenuation, scattering, and dense distributions of small targets. Existing methods have significant limitations in feature extraction efficiency, robustness in class-imbalanced scenarios, and computational complexity. To address these challenges, this study proposes a lightweight adaptive detection model, YOLOv11-MSE, which optimizes underwater detection performance through three core innovations. First, a multi-scale dilated attention (MSDA) mechanism is embedded into the backbone network to dynamically capture multi-scale contextual features while suppressing background noise. Second, a Slim-Neck architecture based on GSConv and VoV-GSCSPC modules is designed to achieve efficient feature fusion via hybrid convolution strategies, significantly reducing model complexity. Finally, an efficient multi-scale attention (EMA) module is introduced in the detection head to reinforce key feature representations and suppress environmental noise through cross-dimensional interactions. Experiments on the underwater detection dataset (UDD) demonstrate that YOLOv11-MSE outperforms the baseline model YOLOv11, achieving a 9.67% improvement in detection precision and a 3.45% increase in mean average precision (mAP50) while reducing computational complexity by 6.57%. Ablation studies further validate the synergistic optimization effects of each module, particularly in class-imbalanced scenarios where detection precision for rare categories (e.g., scallops) is significantly enhanced, with precision and mAP50 improving by 60.62% and 10.16%, respectively. This model provides an efficient solution for edge computing scenarios, such as underwater robots and ecological monitoring, through its lightweight design and high underwater target detection capability. Full article
(This article belongs to the Section Ocean Engineering)
Show Figures

Figure 1

16 pages, 9898 KB  
Article
Applicability of Traditional Acoustic Technology for Underwater Archeology: A Case Study of Model Detection in Xiamen Bay
by Xudong Fang, Jianglong Zheng, Shengtao Zhou, Zepeng Huang, Boran Liu, Ping Chen and Jiang Xu
Acoustics 2025, 7(3), 59; https://doi.org/10.3390/acoustics7030059 - 22 Sep 2025
Viewed by 162
Abstract
This study addresses the applicability of conventional marine acoustic technologies for detecting non-metal artifacts. Based on the typical environment in Xiamen Bay, we evaluated the detection efficacy of common multibeam sonar, side-scan sonar, and sub-bottom profiling sonar through a controlled model experiment system. [...] Read more.
This study addresses the applicability of conventional marine acoustic technologies for detecting non-metal artifacts. Based on the typical environment in Xiamen Bay, we evaluated the detection efficacy of common multibeam sonar, side-scan sonar, and sub-bottom profiling sonar through a controlled model experiment system. We employed ceramic artifact replicas (ranging in size from 10 to 70 cm) and incorporated acoustic parameter optimization to elucidate the applicability boundaries of different technologies. The results indicate that multibeam sonar can identify clustered targets larger than 0.5 m, but is limited in resolving small individual targets (less than 30 cm) due to terrain detail constraints. Side-scan sonar, under low-speed (less than 4 knots) and near-bottom operating conditions, effectively captures the high-intensity echo characteristics of ceramic targets, achieving a maximum effective detection range of more than 40 m. High-frequency sub-bottom profiler (94–110 kHz) offers resolution advantages for exposed artifacts, while low-frequency signals (5–15 kHz) provide theoretical support for detecting subsequently buried targets. Furthermore, the study quantifies the coupling effects of substrate type, target size, and surface roughness on acoustic responses. We propose a synergistic detection workflow comprising “multibeam initial screening—side-scan fine mapping—sub-bottom profiling validation,” which provides empirical support for the optimization and standardization of underwater archeological technologies in complex marine environments. Full article
Show Figures

Figure 1

18 pages, 2150 KB  
Article
Balancing Feature Symmetry: IFEM-YOLOv13 for Robust Underwater Object Detection Under Degradation
by Zhen Feng and Fanghua Liu
Symmetry 2025, 17(9), 1531; https://doi.org/10.3390/sym17091531 - 13 Sep 2025
Viewed by 395
Abstract
This paper proposes IFEM-YOLOv13, a high-precision underwater target detection method designed to address challenges such as image degradation, low contrast, and small target obscurity caused by light attenuation, scattering, and biofouling. Its core innovation is an end-to-end degradation-aware system featuring: (1) an Intelligent [...] Read more.
This paper proposes IFEM-YOLOv13, a high-precision underwater target detection method designed to address challenges such as image degradation, low contrast, and small target obscurity caused by light attenuation, scattering, and biofouling. Its core innovation is an end-to-end degradation-aware system featuring: (1) an Intelligent Feature Enhancement Module (IFEM) that employs learnable sharpening and pixel-level filtering for adaptive optical compensation, incorporating principles of symmetry in its multi-branch enhancement to balance color and structural recovery; (2) a degradation-aware Focal Loss incorporating dynamic gradient remapping and class balancing to mitigate sample imbalance through symmetry-preserving optimization; and (3) a cross-layer feature association mechanism for multi-scale contextual modeling that respects the inherent scale symmetry of natural objects. Evaluated on the J-EDI dataset, IFEM-YOLOv13 achieves 98.6% mAP@0.5 and 82.1% mAP@0.5:0.95, outperforming the baseline YOLOv13 by 0.7% and 3.0%, respectively. With only 2.5 M parameters and operating at 217 FPS, it surpasses methods including Faster R-CNN, YOLO variants, and RE-DETR. These results demonstrate its robust real-time detection capability for diverse underwater targets such as plastic debris, biofouled objects, and artificial structures, while effectively handling the symmetry-breaking distortions introduced by the underwater environment. Full article
(This article belongs to the Section Engineering and Materials)
Show Figures

Figure 1

17 pages, 3660 KB  
Article
Research on Underwater Acoustic Source Localization Based on Typical Machine Learning Algorithms
by Peilong Yuan, Xiaochuan Wang, Zhiqiang Zhang, Jiawei Zhang and Honggang Zhang
Appl. Sci. 2025, 15(17), 9617; https://doi.org/10.3390/app15179617 - 1 Sep 2025
Viewed by 514
Abstract
Underwater acoustic source localization is formulated as a feature learning problem within a machine learning framework, where a data-driven approach directly extracts source distance features from hydroacoustic signals. This study systematically compares the localization performance of four machine learning models—decision tree (DT), random [...] Read more.
Underwater acoustic source localization is formulated as a feature learning problem within a machine learning framework, where a data-driven approach directly extracts source distance features from hydroacoustic signals. This study systematically compares the localization performance of four machine learning models—decision tree (DT), random forest (RF), support vector machine (SVM), and feedforward neural network (FNN) models—in both classification and regression tasks. Experimental results demonstrate that, in classification tasks, all algorithms achieve effective localization under high signal-to-noise ratio (SNR) conditions, while the DT model exhibits significant noise sensitivity in low-SNR scenarios; regression tasks show reduced model convergence overall, with only the SVM and RF models maintaining basic localization capabilities at a high SNR. For two-dimensional localization, machine learning classification algorithms are employed, revealing systematic accuracy degradation compared to one-dimensional scenarios, where only the RF and SVM models demonstrate practical value under high-SNR conditions. Validation using measured data from the SWellEx-96 experiment’s S5 event confirms that when constructing datasets with frequency-domain acoustic pressure features from the final 35 min segment, the classification task-driven DT, RF, and SVM models all demonstrate reliable localization performance, benefiting from the inherent high-SNR characteristics of the data. Full article
Show Figures

Figure 1

26 pages, 19263 KB  
Article
An Adaptive Dual-Channel Underwater Target Detection Method Based on a Vector Cross-Trispectrum Diagonal Slice
by Weixuan Zhang, Yu Chen, Qiang Bian, Yuyao Liu, Yan Liang and Zhou Meng
J. Mar. Sci. Eng. 2025, 13(9), 1628; https://doi.org/10.3390/jmse13091628 - 26 Aug 2025
Viewed by 407
Abstract
This paper introduces a method for detecting weak line spectrum signals in dynamic, non-Gaussian marine noise using a single vector hydrophone. The trispectrum diagonal slice is employed to extract coupled line spectrum features, enabling the detection of line spectra with independent frequencies and [...] Read more.
This paper introduces a method for detecting weak line spectrum signals in dynamic, non-Gaussian marine noise using a single vector hydrophone. The trispectrum diagonal slice is employed to extract coupled line spectrum features, enabling the detection of line spectra with independent frequencies and phases while effectively suppressing Gaussian noise. By constructing a cross-trispectrum diagonal slice spectrum from the hydrophone’s sound pressure and composite particle velocity, the method leverages coherence gain to enhance the signal-to-noise ratio (SNR). Furthermore, a discriminator based on the cross-coherence function of pressure and velocity is proposed, which utilizes a dynamic threshold to adaptively and in real-time select either the vector cross-trispectrum diagonal slice (V-TriD) or the conventional energy detection (ED) as the optimal detection channel for incoming signal. The feasibility and effectiveness of this method were validated through simulations and sea trial data from the South China Sea. Experimental results demonstrate that the proposed algorithm can effectively detect the target signal, achieving an SNR improvement of 3 dB at the target frequency and an average reduction in broadband noise energy of 1–2 dB compared to traditional energy spectrum detection. The proposed algorithm exhibits computational efficiency, adaptability, and robustness, making it well suited for real-time underwater target detection in critical applications, including harbor security, waterway monitoring, and marine bioacoustic studies. Full article
(This article belongs to the Section Ocean Engineering)
Show Figures

Figure 1

30 pages, 3528 KB  
Article
Multi-Task Mixture-of-Experts Model for Underwater Target Localization and Recognition
by Peng Qian, Jingyi Wang, Yining Liu, Yingxuan Chen, Pengjiu Wang, Yanfa Deng, Peng Xiao and Zhenglin Li
Remote Sens. 2025, 17(17), 2961; https://doi.org/10.3390/rs17172961 - 26 Aug 2025
Viewed by 620
Abstract
The scarcity of underwater acoustic data in deep and remote sea environments poses a significant challenge to data-driven target recognition models, severely restricting their performance. To address this challenge, this study presents a ray-theory-based data augmentation method for generating synthetic ship-radiated noise datasets [...] Read more.
The scarcity of underwater acoustic data in deep and remote sea environments poses a significant challenge to data-driven target recognition models, severely restricting their performance. To address this challenge, this study presents a ray-theory-based data augmentation method for generating synthetic ship-radiated noise datasets in oceanic environments at a depth of 3500 m—DS3500, encompassing both direct and shadow zones. Additionally, a novel MEG (multi-task, multi-expert, multi-gate) framework is developed to achieve simultaneous target localization and recognition by integrating relative positional information between the target and sonar, which dynamically partitions parameter spaces through multi-expert mechanisms and adaptively combines task-specific representations using multi-gate attention to simultaneously predict target localization and recognition. Experimental results on the DS3500 dataset demonstrate that the MEG framework achieves 95.93% recognition accuracy, a range localization error of 0.2011 km and a depth localization error of 20.61 m with a maximum detection range of 11 km and depth of 1100 m. This study provides a new technical solution for underwater acoustic target recognition in deep and remote seas, offering innovative approaches for practical applications in marine monitoring and defense. Full article
Show Figures

Figure 1

17 pages, 2498 KB  
Article
FPH-DEIM: A Lightweight Underwater Biological Object Detection Algorithm Based on Improved DEIM
by Qiang Li and Wenguang Song
Appl. Syst. Innov. 2025, 8(5), 123; https://doi.org/10.3390/asi8050123 - 26 Aug 2025
Viewed by 1043
Abstract
Underwater biological object detection plays a critical role in intelligent ocean monitoring and underwater robotic perception systems. However, challenges such as image blurring, complex lighting conditions, and significant variations in object scale severely limit the performance of mainstream detection algorithms like the YOLO [...] Read more.
Underwater biological object detection plays a critical role in intelligent ocean monitoring and underwater robotic perception systems. However, challenges such as image blurring, complex lighting conditions, and significant variations in object scale severely limit the performance of mainstream detection algorithms like the YOLO series and Transformer-based models. Although these methods offer real-time inference, they often suffer from unstable accuracy, slow convergence, and insufficient small object detection in underwater environments. To address these challenges, we propose FPH-DEIM, a lightweight underwater object detection algorithm based on an improved DEIM framework. It integrates three tailored modules for perception enhancement and efficiency optimization: a Fine-grained Channel Attention (FCA) mechanism that dynamically balances global and local channel responses to suppress background noise and enhance target features; a Partial Convolution (PConv) operator that reduces redundant computation while maintaining semantic fidelity; and a Haar Wavelet Downsampling (HWDown) module that preserves high-frequency spatial information critical for detecting small underwater organisms. Extensive experiments on the URPC 2021 dataset show that FPH-DEIM achieves a mAP@0.5 of 89.4%, outperforming DEIM (86.2%), YOLOv5-n (86.1%), YOLOv8-n (86.2%), and YOLOv10-n (84.6%) by 3.2–4.8 percentage points. Furthermore, FPH-DEIM significantly reduces the number of model parameters to 7.2 M and the computational complexity to 7.1 GFLOPs, offering reductions of over 13% in parameters and 5% in FLOPs compared to DEIM, and outperforming YOLO models by margins exceeding 2 M parameters and 14.5 GFLOPs in some cases. These results demonstrate that FPH-DEIM achieves an excellent balance between detection accuracy and lightweight deployment, making it well-suited for practical use in real-world underwater environments. Full article
Show Figures

Figure 1

20 pages, 6887 KB  
Article
EMR-YOLO: A Multi-Scale Benthic Organism Detection Algorithm for Degraded Underwater Visual Features and Computationally Constrained Environments
by Dehua Zou, Songhao Zhao, Jingchun Zhou, Guangqiang Liu, Zhiying Jiang, Minyi Xu, Xianping Fu and Siyuan Liu
J. Mar. Sci. Eng. 2025, 13(9), 1617; https://doi.org/10.3390/jmse13091617 - 24 Aug 2025
Viewed by 430
Abstract
Marine benthic organism detection (BOD) is essential for underwater robotics and seabed resource management but suffers from motion blur, perspective distortion, and background clutter in dynamic underwater environments. To address visual feature degradation and computational constraints, we, in this paper, introduce EMR-YOLO, a [...] Read more.
Marine benthic organism detection (BOD) is essential for underwater robotics and seabed resource management but suffers from motion blur, perspective distortion, and background clutter in dynamic underwater environments. To address visual feature degradation and computational constraints, we, in this paper, introduce EMR-YOLO, a deep learning based multi-scale BOD method. To handle the diverse sizes and morphologies of benthic organisms, we propose an Efficient Detection Sparse Head (EDSHead), which combines a unified attention mechanism and dynamic sparse operators to enhance spatial modeling. For robust feature extraction under resource limitations, we design a lightweight Multi-Branch Fusion Downsampling (MBFDown) module that utilizes cross-stage feature fusion and multi-branch architecture to capture rich gradient information. Additionally, a Regional Two-Level Routing Attention (RTRA) mechanism is developed to mitigate background noise and sharpen focus on target regions. The experimental results demonstrate that EMR-YOLO achieves improvements of 2.33%, 1.50%, and 4.12% in AP, AP50, and AP75, respectively, outperforming state-of-the-art methods while maintaining efficiency. Full article
Show Figures

Figure 1

17 pages, 14155 KB  
Article
Modulation of Deep-Sea Acoustic Field Interference Patterns by Mesoscale Eddies
by Longquan Shang, Kaifeng Han, Yanqun Wu, Pingzheng Li and Wei Guo
J. Mar. Sci. Eng. 2025, 13(8), 1566; https://doi.org/10.3390/jmse13081566 - 15 Aug 2025
Viewed by 383
Abstract
The interference structure of the underwater acoustic field has significant theoretical and engineering application value in underwater target detection and marine environmental monitoring. The impact of mesoscale eddies on acoustic interference striations remains a significant research gap. Through simulation experiments, the influence of [...] Read more.
The interference structure of the underwater acoustic field has significant theoretical and engineering application value in underwater target detection and marine environmental monitoring. The impact of mesoscale eddies on acoustic interference striations remains a significant research gap. Through simulation experiments, the influence of the eddy propagation process on the interference striations of the sound field was studied and analyzed. The first few orders of the interference striations in the spatial domain are more susceptible to the influence of eddies. As a warm eddy gradually propagates away from the source, there is a shift of interference striations in the range–frequency domain toward lower frequencies, while the cold eddy does the opposite. Meanwhile, the arrival structure at a fixed point process undergoes regular changes. Full article
(This article belongs to the Section Ocean Engineering)
Show Figures

Figure 1

27 pages, 33921 KB  
Article
Seeing Through Turbid Waters: A Lightweight and Frequency-Sensitive Detector with an Attention Mechanism for Underwater Objects
by Shibo Song and Bing Sun
J. Mar. Sci. Eng. 2025, 13(8), 1528; https://doi.org/10.3390/jmse13081528 - 9 Aug 2025
Viewed by 382
Abstract
Precise underwater object detectors can provide Autonomous Underwater Vehicles (AUVs) with good situational awareness in underwater environments, supporting a wide range of unmanned exploration missions. However, the quality of optical imaging is often insufficient to support high detector accuracy due to poor lighting [...] Read more.
Precise underwater object detectors can provide Autonomous Underwater Vehicles (AUVs) with good situational awareness in underwater environments, supporting a wide range of unmanned exploration missions. However, the quality of optical imaging is often insufficient to support high detector accuracy due to poor lighting and the complexity of underwater environments. Therefore, this paper develops an efficient and precise object detector that maintains high recognition accuracy on degraded underwater images. We design a Cross Spatial Global Perceptual Attention (CSGPA) mechanism to achieve accurate recognition of target and background information. We then construct an Efficient Multi-Scale Weighting Feature Pyramid Network (EMWFPN) to eliminate computational redundancy and increase the model’s feature-representation ability. The proposed Occlusion-Robust Wavelet Network (ORWNet) enables the model to handle fine-grained frequency-domain information, enhancing robustness to occluded objects. Finally, EMASlideloss is introduced to alleviate sample-distribution imbalance in underwater datasets. Our architecture achieves 81.8% and 83.8% mAP on the DUO and UW6C datasets, respectively, with only 7.2 GFLOPs, outperforming baseline models and balancing detection precision with computational efficiency. Full article
(This article belongs to the Section Ocean Engineering)
Show Figures

Figure 1

22 pages, 3275 KB  
Article
Research on Q-Learning-Based Cooperative Optimization Methodology for Dynamic Task Scheduling and Energy Consumption in Underwater Pan-Tilt Systems
by Shan Tao, Lei Yang, Xiaobo Zhang, Shengya Zhao, Kun Liu, Xinran Tian and Hengxin Xu
Sensors 2025, 25(15), 4785; https://doi.org/10.3390/s25154785 - 3 Aug 2025
Viewed by 567
Abstract
Given the harsh working conditions of underwater pan-tilt systems, their energy consumption management is particularly crucial. This study proposes an underwater pan-tilt operation method with an automatic wake-up mechanism, which activates only upon target detection, replacing conventional timer-based triggering. Furthermore, departing from fixed-duration [...] Read more.
Given the harsh working conditions of underwater pan-tilt systems, their energy consumption management is particularly crucial. This study proposes an underwater pan-tilt operation method with an automatic wake-up mechanism, which activates only upon target detection, replacing conventional timer-based triggering. Furthermore, departing from fixed-duration observation strategies, we introduce a Q-learning algorithm to optimize operational modes. The algorithm dynamically adjusts working modes based on surrounding biological activity frequency: employing a low-power mode (reduced energy consumption with lower monitoring intensity) during periods of sparse biological presence and switching to a high-performance mode (extended observation duration, higher energy consumption, and enhanced monitoring intensity) during frequent biological activity. Simulation results demonstrate that compared to fixed-duration observation schemes, the proposed optimization strategy achieves a 11.11% improvement in monitoring effectiveness while achieving 16.21% energy savings. Full article
(This article belongs to the Section Intelligent Sensors)
Show Figures

Figure 1

21 pages, 16422 KB  
Article
DCE-Net: An Improved Method for Sonar Small-Target Detection Based on YOLOv8
by Lijun Cao, Zhiyuan Ma, Qiuyue Hu, Zhongya Xia and Meng Zhao
J. Mar. Sci. Eng. 2025, 13(8), 1478; https://doi.org/10.3390/jmse13081478 - 31 Jul 2025
Viewed by 354
Abstract
Sonar is the primary tool used for detecting small targets at long distances underwater. Due to the influence of the underwater environment and imaging mechanisms, sonar images face challenges such as a small number of target pixels, insufficient data samples, and uneven category [...] Read more.
Sonar is the primary tool used for detecting small targets at long distances underwater. Due to the influence of the underwater environment and imaging mechanisms, sonar images face challenges such as a small number of target pixels, insufficient data samples, and uneven category distribution. Existing target detection methods are unable to effectively extract features from sonar images, leading to high false positive rates and affecting the accuracy of target detection models. To counter these challenges, this paper presents a novel sonar small-target detection framework named DCE-Net that refines the YOLOv8 architecture. The Detail Enhancement Attention Block (DEAB) utilizes multi-scale residual structures and channel attention mechanism (AM) to achieve image defogging and small-target structure completion. The lightweight spatial variation convolution module (CoordGate) reduces false detections in complex backgrounds through dynamic position-aware convolution kernels. The improved efficient multi-scale AM (MH-EMA) performs scale-adaptive feature reweighting and combines cross-dimensional interaction strategies to enhance pixel-level feature representation. Experiments on a self-built sonar small-target detection dataset show that DCE-Net achieves an mAP@0.5 of 87.3% and an mAP@0.5:0.95 of 41.6%, representing improvements of 5.5% and 7.7%, respectively, over the baseline YOLOv8. This demonstrates that DCE-Net provides an efficient solution for underwater detection tasks. Full article
(This article belongs to the Special Issue Artificial Intelligence Applications in Underwater Sonar Images)
Show Figures

Graphical abstract

Back to TopTop