Research on the Dynamic Response Patterns of Layered Slopes Considering Non-Homogeneity Under Blast-Induced Vibration Effects
Abstract
1. Introduction
2. Engineering Overview
2.1. Engineering Background
2.2. Bursting Vibration Data
3. Basic Theory of Slope Characterization Models
3.1. Basic Guidelines for Ubiquitous-Joint Model of Layered Slopes
3.1.1. Elasticity Criterion
3.1.2. Yield Criterion
3.2. Basic Theory of Micrometric Weibull Distribution Modeling of Nonhomogeneous Slopes
3.2.1. Petrographic Relationships of Rocks
3.2.2. Parametric Randomized Distribution Methods
4. Analysis of the Dynamic Response Law of Layered Slopes
4.1. Numerical Modeling and Parameter Selection
4.2. Dynamic Response Analysis of Slopes Characterized by Laminated Joints
4.2.1. Characterization of Blast Wave Propagation on Different Joint Dip Slopes
4.2.2. Influence of Rock Hardness and Rock Structure on the Amplification Effect of Jointed Slopes
4.2.3. Comparison of Maximum Values of Slope Magnification Factor for Jointing Dip
4.2.4. Dynamic Stability Analysis of Different Joint Dip Slopes Under Blasting Loads
5. Analysis of the Dynamic Response Law of Non-Homogeneous Slopes
5.1. Weibull Distribution Model
5.2. Dynamic Response Analysis of Non-Homogeneous Slopes
5.2.1. Variable Sensitivity Analysis
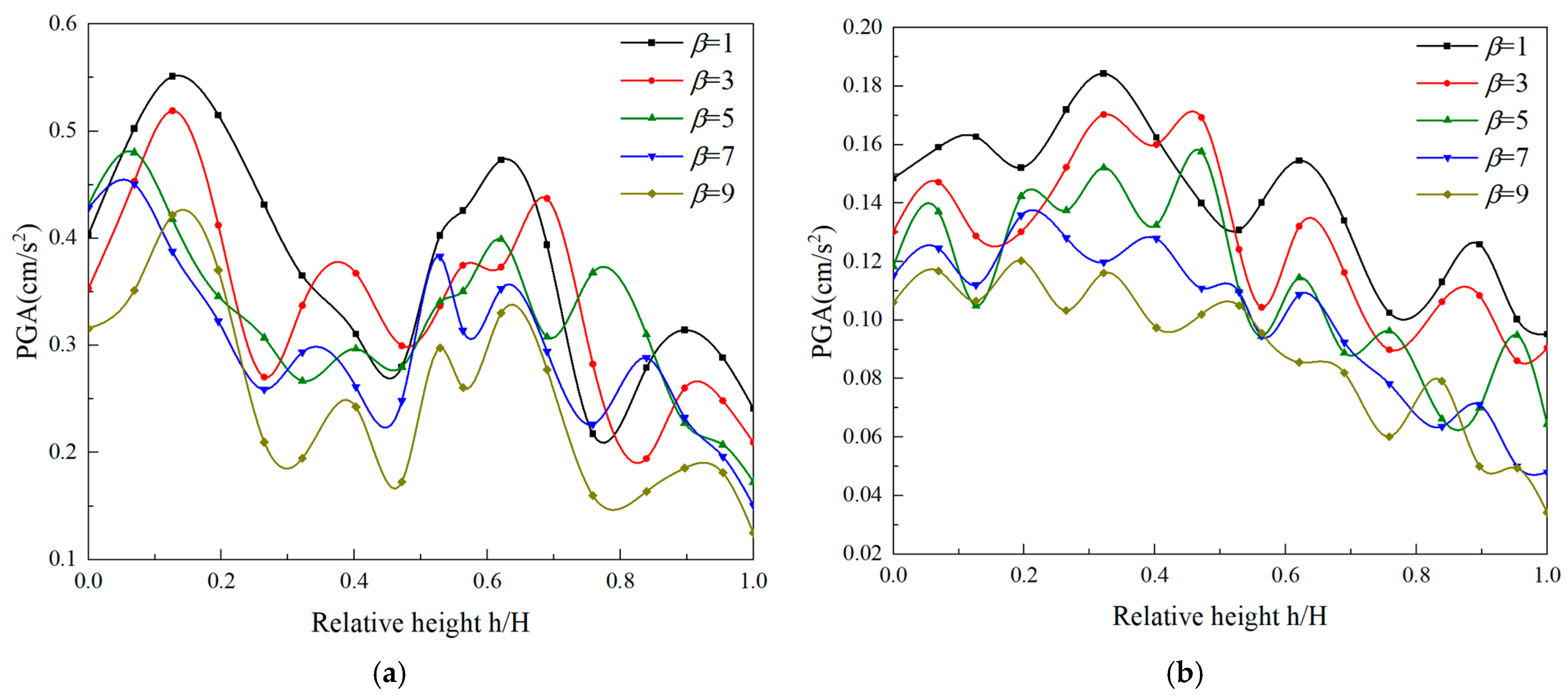
5.2.2. Characterization of Vibration Wave Propagation in Blasting with Different Shape Parameters
5.2.3. Comparison of the Amplification Effect of Non-Homogeneous Slopes and Nodal Inclined Slopes
5.2.4. Dynamic Stability Analysis of Non-Homogeneous Slopes Under Blasting Loads
6. Conclusions
Author Contributions
Funding
Institutional Review Board Statement
Informed Consent Statement
Data Availability Statement
Conflicts of Interest
References
- Matidza, M.I.; Jianhua, Z.; Gang, H.; Mwangi, A.D. Assessment of Blast-Induced Ground Vibration at Jinduicheng Molybdenum Open Pit Mine. Nat. Resour. Res. 2020, 29, 831–841. [Google Scholar] [CrossRef]
- Liu, H.; He, C.; Wang, B.; Xu, G.; Lin, Y.; Ma, G.; Chen, X. A Study on the Failure Mechanisms of Layered Soft Rock Tunnels Considering the Random Distribution of Rock Mass Mechanical Parameters and the Characteristics of Anchor Bolt Failure. Eng. Fail. Anal. 2025, 169, 109189. [Google Scholar] [CrossRef]
- He, L.; Zhong, D.; Liu, Y.; Song, K. Prediction of Bench Blasting Vibration on Slope and Safety Threshold of Blasting Vibration Velocity to Undercrossing Tunnel. Shock. Vib. 2021, 2021, 9939361. [Google Scholar] [CrossRef]
- Cruden, D.M. Bulletin of the International Association of Engineering Geology. Bull. Int. Assoc. Eng. Geol. 1990, 41, 13–16. [Google Scholar]
- Singh, V.K.; Singh, D.P. Controlled Blasting in an Open-Pit Mine for Improved Slope Stability. Geotech. Geol. Eng. 1995, 13, 51–57. [Google Scholar] [CrossRef]
- Bazzi, H.; Noferesti, H.; Farhadian, H. Modelling the Effect of Blast-Induced Vibrations on the Stability of a Faulted Mine Slope. J. S. Afr. Inst. Min. Metall. 2020, 120, 591–597. [Google Scholar] [CrossRef]
- Rajmeny, P.; Shrimali, R.K. Use of Radar Technology to Establish Threshold Values of Blast Vibrations Triggering Sliding of Geological Faults at a Lead-Zinc Open Pit Mine. Int. J. Rock. Mech. Min. Sci. 2019, 113, 142–149. [Google Scholar] [CrossRef]
- Li, L.; Ju, N.; Zhang, S.; Deng, X.; Sheng, D. Seismic Wave Propagation Characteristic and Its Effects on the Failure of Steep Jointed Anti-Dip Rock Slope. Landslides 2018, 16, 105–123. [Google Scholar] [CrossRef]
- Fan, C.; Ge, J. Dynamic Calculation Method of Vibration Response of Building Blasting Based on Differential Equation. Environ. Technol. Innov. 2020, 20, 101178. [Google Scholar] [CrossRef]
- Lu, S.; Zhou, C.; Zhang, Z.; Ji, L.; Jiang, N. PPV Criterion of a Rock Slope Imbedded with a Fault Subjected to Blasting P-Waves. Shock. Vib. 2020, 2020, 8865981. [Google Scholar] [CrossRef]
- Song, D.; Chen, Z.; Ke, Y.; Nie, W. Seismic Response Analysis of a Bedding Rock Slope Based on the Time-Frequency Joint Analysis Method: A Case Study from the Middle Reach of the Jinsha River, China. Eng. Geol. 2020, 274, 105731. [Google Scholar] [CrossRef]
- Deb, D.; Kaushik, K.N.R.; Choi, B.H.; Ryu, C.H.; Jung, Y.B.; Sunwoo, C. Stability Assessment of a Pit Slope Under Blast Loading: A Case Study of Pasir Coal Mine. Geotech. Geol. Eng. 2011, 29, 419–429. [Google Scholar] [CrossRef]
- Yin, C.; Li, W.-H.; Wang, W. Evaluation of Ground Motion Amplification Effects in Slope Topography Induced by the Arbitrary Directions of Seismic Waves. Energies. 2021, 14, 6744. [Google Scholar] [CrossRef]
- Tai, D.; Qi, S.; Zheng, B.; Luo, G.; He, J.; Guo, S.; Zou, Y.; Wang, Z. Effect of Excitation Frequency and Joint Density on the Dynamic Amplification Effect of Slope Surface on Jointed Rock Slopes. Eng. Geol. 2024, 330, 107385. [Google Scholar] [CrossRef]
- Song, D.; Zhang, S.; Liu, C.; Nie, W. Cumulative Damage Evolution of Jointed Slopes Subject to Continuous Earthquakes: Influence of Joint Type on Dynamic Amplification Effect and Failure Mode of Slopes. Comput. Geotech. 2024, 166, 106016. [Google Scholar] [CrossRef]
- Zhao, M.; Liu, M.; Wang, P.; Su, C.; Zhang, G.; Du, X. A Substructure Model for Water-Solid Interaction under Obliquely Incident Earthquake in Canyon Site. Soil. Dyn. Earthq. Eng. 2022, 161, 107429. [Google Scholar] [CrossRef]
- Mohamad, E.T.; Yi, C.S.; Murlidhar, B.R.; Saad, R. Effect of Geological Structure on Flyrock Prediction in Construction Blasting. Geotech. Geol. Eng. 2018, 36, 2217–2235. [Google Scholar] [CrossRef]
- Li, J.; Yang, T.; Liu, F.; Zhao, Y.; Liu, H.; Deng, W.; Gao, Y.; Li, H. Modeling Spatial Variability of Mechanical Parameters of Layered Rock Masses and Its Application in Slope Optimization at the Open-Pit Mine. Int. J. Rock. Mech. Min. Sci. 2024, 181, 105859. [Google Scholar] [CrossRef]
- Chen, W.; Snitbhan, N.; Fang, H. Stability of Slopes in Anisotropic, Nonhomogeneous Soils. Can. Geotech. J. 2011, 12, 146–152. [Google Scholar] [CrossRef]
- An, P.; Yong, R.; Song, J.; Du, S.; Wang, C.; Xu, H.; Fang, K.; Tong, S. Exploring the Potential of Smartphone Photogrammetry for Field Measurement of Joint Roughness. Measurement 2024, 225, 114055. [Google Scholar] [CrossRef]
- Wang, C.; Yong, R.; Luo, Z.; Du, S.; Karakus, M.; Huang, C. A Novel Method for Determining the Three-Dimensional Roughness of Rock Joints Based on Profile Slices. Rock. Mech. Rock. Eng. 2023, 56, 4303–4327. [Google Scholar] [CrossRef]
- Fan, G.; Zhang, J.; Wu, J.; Yan, K. Dynamic Response and Dynamic Failure Mode of a Weak Intercalated Rock Slope Using a Shaking Table. Rock. Mech. Rock. Eng. 2016, 49, 3243–3256. [Google Scholar] [CrossRef]
- Wang, W.; Yuan, Q.; Jiang, H.; Chen, P.S. Influence and Safety Control of Blasting Vibration on Existing Lining for Closely Tunnel Expansion. IOP Conf. Ser. Earth Environ. Sci. 2019, 351, 012043. [Google Scholar] [CrossRef]
- Wu, Y.K.; Hao, H.; Zhou, Y.X.; Chong, K. Propagation Characteristics of Blast-Induced Shock Waves in a Jointed Rock Mass. Soil. Dyn. Earthq. Eng. 1998, 17, 407–412. [Google Scholar] [CrossRef]
- Li, J.; Gao, Y.; Yang, T.; Zhang, P.; Zhao, Y.; Deng, W.; Liu, H.; Liu, F. Integrated Simulation and Monitoring to Analyze Failure Mechanism of the Anti-Dip Layered Slope with Soft and Hard Rock Interbedding. Int. J. Min. Sci. Technol. 2023, 33, 1147–1164. [Google Scholar] [CrossRef]
- Bahrani, N.; Kaiser, P.K. Strength Degradation of Non-Persistently Jointed Rockmass. Int. J. Rock. Mech. Min. Sci. 2013, 62, 28–33. [Google Scholar] [CrossRef]
- Zhang, S.; Gao, W.; Yan, L.; Liu, J.; Liu, L. The Characteristics of Blasting Vibration Frequency Bands in Jointed Rock Mass Slope. Environ. Earth Sci. 2020, 79, 519. [Google Scholar] [CrossRef]
- Dai, J.; Yang, J.; Yao, C.; Hu, Y.; Zhang, X.; Jiang, Q.; Zhou, C. Study on the Mechanism of Displacement Mutation for Jointed Rock Slopes during Blasting Excavation. Int. J. Rock. Mech. Min. Sci. 2022, 150, 105032. [Google Scholar] [CrossRef]
- Song, D.; Du, H. Numerical Investigation of the Evolution Process of an Open-Pit Mine Landslide Using Discrete-Element Method. Int. J. Geomech. 2023, 23, 04023054. [Google Scholar] [CrossRef]
- Xu, C.; Liu, Q.; Tang, X.; Sun, L.; Deng, P.; Liu, H. Dynamic Stability Analysis of Jointed Rock Slopes Using the Combined Finite-Discrete Element Method (FDEM). Comput. Geotech. 2023, 160, 105556. [Google Scholar] [CrossRef]
- Bai, G.; Hou, Y.; Wan, B.; An, N.; Yan, Y.; Tang, Z.; Yan, M.; Zhang, Y.; Sun, D. Performance Evaluation and Engineering Verification of Machine Learning Based Prediction Models for Slope Stability. Appl. Sci. 2022, 12, 7890. [Google Scholar] [CrossRef]
- Singh, S.; Chakravarty, D. Assessment of Slope Stability Using Classification and Regression Algorithms Subjected to Internal and External Factors. Arch. Min. Sci. 2023, 68, 87–102. [Google Scholar]
- Zhou, Z.; Zhang, J.; Cheng, R.; Rui, Y.; Cai, X.; Chen, L. Improving Purity of Blasting Vibration Signals Using Advanced Empirical Mode Decomposition and Wavelet Packet Technique. Appl. Acoust. 2022, 201, 109097. [Google Scholar] [CrossRef]
- Huo, X.; Shi, X.; Qiu, X.; Zhou, J.; Gou, Y.; Yu, Z.; Zhang, S. A Study on Raise Blasting and Blast-Induced Vibrations in Highly Stressed Rock Masses. Tunn. Undergr. Space Technol. 2022, 123, 104407. [Google Scholar] [CrossRef]
- Wu, T.; Zhou, C.; Jiang, N.; Xia, Y.; Zhang, Y. Stability Analysis for High-Steep Slope Subjected to Repeated Blasting Vibration. Arab. J. Geosci. 2020, 13, 828. [Google Scholar] [CrossRef]
- Yong, R.; Wang, C.; Barton, N.; Du, S. A Photogrammetric Approach for Quantifying the Evolution of Rock Joint Void Geometry under Varying Contact States. Int. J. Min. Sci. Technol. 2024, 34, 461–477. [Google Scholar] [CrossRef]
- Li, J.; Gao, Y.; Yang, T.; Zhang, P.; Deng, W.; Liu, F. Effect of Water on the Rock Strength and Creep Behavior of Green Mudstone. Geomech. Geophys. Geo-Energy Geo-Resour. 2023, 9, 101. [Google Scholar] [CrossRef]
- Ak, H.; Iphar, M.; Yavuz, M.; Konuk, A. Evaluation of Ground Vibration Effect of Blasting Operations in a Magnesite Mine. Soil Dyn. Earthq. Eng. 2009, 29, 669–676. [Google Scholar] [CrossRef]























| No. | Natural Unit Weight (kN/m3) | Elastic Modulus (GPa) | Poisson’s Ratio | Friction Angle (°) | Cohesion (MPa) | Tensile Strength (MPa) | Jointing Friction Angle (°) | Jointing Cohesion (MPa) | Jointing Tensile Strength (MPa) |
|---|---|---|---|---|---|---|---|---|---|
| 1 | 2200 | 6.0 | 0.37 | 39 | 1.5 | 1.4 | 35 | 0.015 | 0.014 |
| 2 | 2000 | 7.9 | 0.36 | 32 | 1.4 | 1.3 | 28 | 0.014 | 0.013 |
| 3 | 2250 | 8.2 | 0.32 | 38 | 1.3 | 1.3 | 34 | 0.013 | 0.013 |
| 4 | 2100 | 10.1 | 0.31 | 36 | 1.8 | 1.5 | 32 | 0.018 | 0.015 |
| 5 | 2300 | 12.0 | 0.30 | 36 | 2.1 | 1.8 | 32 | 0.021 | 0.018 |
| 6 | 2250 | 13.5 | 0.29 | 40 | 2.2 | 1.9 | 36 | 0.022 | 0.019 |
| 7 | 2400 | 15.0 | 0.28 | 44 | 2.3 | 2.1 | 40 | 0.023 | 0.021 |
| 8 | 2500 | 16.5 | 0.29 | 45 | 2.5 | 2.3 | 41 | 0.025 | 0.023 |
| 9 | 2520 | 18.0 | 0.25 | 48 | 2.8 | 2.7 | 44 | 0.028 | 0.027 |
| 10 | 2600 | 20.0 | 0.22 | 55 | 3.1 | 3.0 | 51 | 0.031 | 0.030 |
| 11 | 2580 | 21.0 | 0.21 | 57 | 3.3 | 3.1 | 53 | 0.033 | 0.031 |
| 12 | 2850 | 23.0 | 0.19 | 58 | 3.7 | 3.3 | 54 | 0.037 | 0.033 |
| No. | Slope Surface (x, y) | No. | Slope Surface (x, y) | No. | Slope Interior (x, y) | No. | Slope Interior (x, y) |
|---|---|---|---|---|---|---|---|
| N1 | (710, 315) | N10 | (379, 565) | N18 | (30, 315) | N27 | (30, 565) |
| N2 | (650, 345) | N11 | (360, 585) | N19 | (30, 345) | N28 | (30, 585) |
| N3 | (610, 370) | N12 | (335, 615) | N20 | (30, 370) | N29 | (30, 615) |
| N4 | (570, 400) | N13 | (305, 645) | N21 | (30, 400) | N30 | (30, 645) |
| N5 | (530, 430) | N14 | (280, 680) | N22 | (30, 430) | N31 | (30, 680) |
| N6 | (490, 455) | N15 | (255, 705) | N23 | (30, 455) | N32 | (30, 705) |
| N7 | (450, 490) | N16 | (230, 730) | N24 | (30, 490) | N33 | (30, 730) |
| N8 | (415, 520) | N17 | (205, 750) | N25 | (30, 520) | N34 | (30, 750) |
| N9 | (390, 545) | N26 | (30, 545) |
| Natural Unit Weight (kN/m3) | Elastic Modulus (GPa) | Poisson’s Ratio | Friction Angle (°) | Cohesion (MPa) | Tensile Strength (MPa) |
|---|---|---|---|---|---|
| 2400 | 15.0 | 0.28 | 44 | 2.3 | 2.7 |
Disclaimer/Publisher’s Note: The statements, opinions and data contained in all publications are solely those of the individual author(s) and contributor(s) and not of MDPI and/or the editor(s). MDPI and/or the editor(s) disclaim responsibility for any injury to people or property resulting from any ideas, methods, instructions or products referred to in the content. |
© 2025 by the authors. Licensee MDPI, Basel, Switzerland. This article is an open access article distributed under the terms and conditions of the Creative Commons Attribution (CC BY) license (https://creativecommons.org/licenses/by/4.0/).
Share and Cite
Zhao, Y.; Liu, Y.; Jiao, S.; Yang, T.; Deng, W.; Wang, S. Research on the Dynamic Response Patterns of Layered Slopes Considering Non-Homogeneity Under Blast-Induced Vibration Effects. Appl. Sci. 2025, 15, 1162. https://doi.org/10.3390/app15031162
Zhao Y, Liu Y, Jiao S, Yang T, Deng W, Wang S. Research on the Dynamic Response Patterns of Layered Slopes Considering Non-Homogeneity Under Blast-Induced Vibration Effects. Applied Sciences. 2025; 15(3):1162. https://doi.org/10.3390/app15031162
Chicago/Turabian StyleZhao, Yong, Yanjie Liu, Shihui Jiao, Tianhong Yang, Wenxue Deng, and Shuhong Wang. 2025. "Research on the Dynamic Response Patterns of Layered Slopes Considering Non-Homogeneity Under Blast-Induced Vibration Effects" Applied Sciences 15, no. 3: 1162. https://doi.org/10.3390/app15031162
APA StyleZhao, Y., Liu, Y., Jiao, S., Yang, T., Deng, W., & Wang, S. (2025). Research on the Dynamic Response Patterns of Layered Slopes Considering Non-Homogeneity Under Blast-Induced Vibration Effects. Applied Sciences, 15(3), 1162. https://doi.org/10.3390/app15031162
