Studies on the Electrochemical Behavior of Sulfite on Incoloy 800 in a Neutral Environment
Abstract
1. Introduction
2. Materials and Methods
3. Results
3.1. Cyclic Voltammetry
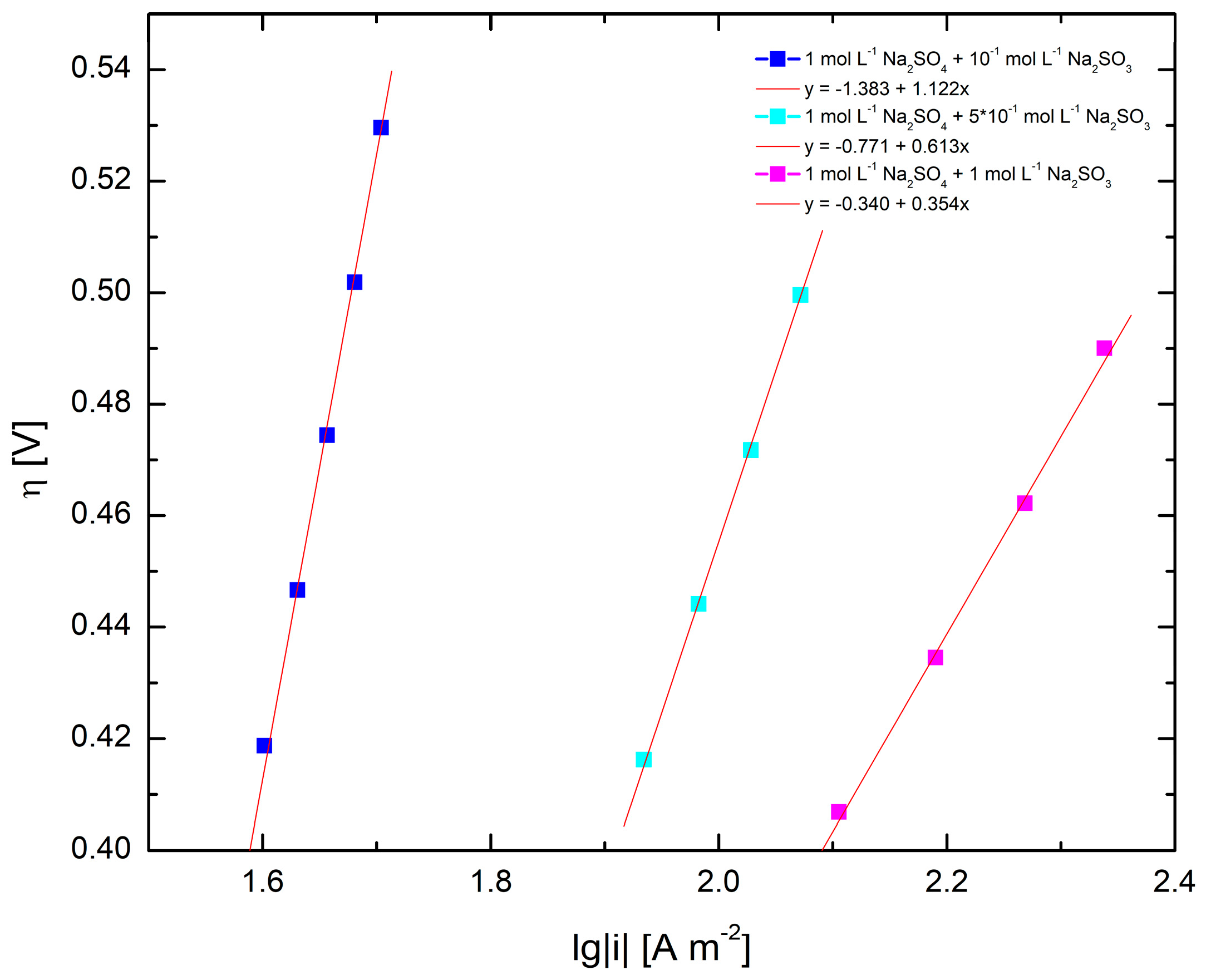
3.2. Linear Voltammetry
3.3. Chronamperometric Studies
- (i)
- characteristic potential range for SO32− oxidation in neutral solution is between +0.40 and +1.50 V
- (ii)
- at more positive potential values, SO32− oxidation and oxygen evolution reactions occur simultaneously and chronoamperometric curves have a typical shape;
- (iii)
- current densities increase with the increasing sulfite concentration added in neutral electrolyte (1 M Na2SO4).
3.4. Chronocoulometric Studies
3.5. Electrochemical Impedance Spectroscopy
4. Conclusions
Author Contributions
Funding
Institutional Review Board Statement
Informed Consent Statement
Data Availability Statement
Conflicts of Interest
References
- Flagiello, D.; Erto, A.; Lancia, A.; Di Natale, F. Experimental and modelling analysis of seawater scrubbers for sulphur dioxide removal from flue-gas. Fuel 2018, 214, 254–263. [Google Scholar] [CrossRef]
- Han, J.; Cheng, H.; Zhang, L.; Fu, H.; Chen, J. Trash to treasure: Use flue gas SO2 to produce H2 via a photoelectrochemical process. J. Chem. Eng. 2018, 335, 231–235. [Google Scholar] [CrossRef]
- Bouroushian, M. Electrochemistry of Metal Chalcogenides; Springer: Berlin/Heidelberg, Germany, 2010. [Google Scholar]
- Skavas, E.; Hemmingsen, T. Kinetics and mechanism of sulphite oxidation on a rotating platinum disc electrode in an alkaline solution. Electrochim. Acta 2007, 52, 3510–3517. [Google Scholar] [CrossRef]
- Zelinsky, A.G. Features of Sulfite Oxidation on Gold Anode. Electrochim. Acta 2016, 188, 727–733. [Google Scholar] [CrossRef]
- Diaz-Abad, S.; Millan, M.; Rodrigo, M.A.; Lobato, J. Review of Anodic Catalysts for SO2 Depolarized Electrolysis for “Green Hydrogen” Production. Catalysts 2019, 9, 63. [Google Scholar] [CrossRef]
- Lăboșel, M.A.; Dima, G.D.; Duca, D.A.; Vaszilcsin, N.; Dan, M.L. Anodic sulphite oxidation on lead electrode in a neutral environment. Mater. Today Proc. 2023, 78, 302–307. [Google Scholar] [CrossRef]
- Cui, L.; Liu, M.; Yuan, X.; Wang, Q.; Ma, Q.; Wang, P.; Hong, J.; Liu, H. Environmental and economic impact assessment of three sintering flue gas treatment technologies in the iron and steel industry. J. Clean. Prod. 2021, 311, 127703. [Google Scholar] [CrossRef]
- De Angelis Leonardo, D.; Córdoba de Torresi, S.I.; Dourado, A.H. Mass Transport Influence in the SO2 Oxidation Reaction on Au Electrodes. ChemElectroChem 2023, 10, e202201032. [Google Scholar] [CrossRef]
- Climate Change: Atmospheric Carbon Dioxide. Available online: https://www.climate.gov/news-features/understanding-climate/climate-change-atmospheric-carbon-dioxide (accessed on 17 November 2024).
- Dai, H.; Ma, D.; Zhu, R.; Sun, B.; He, J. Impact of Control Measures on Nitrogen Oxides, Sulfur Dioxide and Particulate Matter Emissions from Coal-Fired Power Plants in Anhui Province, China. Atmosphere 2019, 10, 35. [Google Scholar] [CrossRef]
- Hua, M. Deep desulfurization of sintering flue gas in iron and steel works based on low-temperature oxidation. Open Chem. 2020, 18, 1370–1380. [Google Scholar]
- Uzun, D.R.; Razkazova-Velkova, E.; Beschkov, V.; Petrov, K. A Method for the Simultaneous Cleansing of H2S and SO2. Int. J. Electrochem. Sci. 2016, 1–5, 7628761. [Google Scholar] [CrossRef]
- Cong, M.; Ming, H.; Yu, X.; Hongjie, Z.; Shaojing, H.; Zhigang, S. Electrochemical Oxidation of Sulfur Dioxide on Nitrogen-Doped Graphite in Acidic Media. Electrochim. Acta 2015, 171, 29–34. [Google Scholar]
- Cauzele Schimbărilor Climatice. Available online: https://climate.ec.europa.eu/climate-change/causes-climate-change_ro (accessed on 17 November 2024).
- Srivastava, R.; Jozewicz, W. Flue Gas Desulfurization: The State of the Art. J. Air Waste Manag. Assoc. 2002, 51, 1676–1688. [Google Scholar] [CrossRef]
- Lisnic, R.; Jinga, S. Study on current state and future trends of flue gas desulphurization tehnologies: A review. Rom. J. Mater. 2018, 48, 83–90. [Google Scholar]
- Deng, H.; Tu, Y.; Wang, H.; Wang, Z.; Li, Y.; Chai, L.; Zhang, W.; Lin, Z. Environmental behavior, human health effect, and pollution control of heavy metal(loid)s toward full life cycle processes. Eco-Environ. Health 2022, 1, 229–243. [Google Scholar] [CrossRef]
- Latimer Diagram Sulphur. Available online: https://www.google.com/search?client=firefox-b-e&q=Latimer+diagram+sulphur#vhid=vOg-UG4BojRPjM&vssid=l (accessed on 19 November 2024).
- Frost Diagram Sulphur. Available online: https://www.google.com/search?client=firefox-b-e&sca_esv=72ad2c95dfb5ea62&q=Frost+diagram+suphur&sa=X&ved=2ahUKEwitwPnk_eeJAxWuhv0HHarCPNIQ7xYoAHoECAsQAQ&biw=1023&bih=746&dpr=2 (accessed on 19 November 2024).
- Xia, X.; Zhu, F.; Li, J.; Yang, H.; Wei, L.; Li, Q.; Jiang, J.; Zhang, G.; Zhao, Q. A Review Study on Sulfate Radical-Based Advanced Oxidation Processes for Domestic/Industrial Wastewater Treatment: Degradation, Efficiency, and Mechanism. Front. Chem. 2020, 8, 592056. [Google Scholar] [CrossRef]
- El-Shafie, M. Hydrogen production by water electrolysis technologies: A review. Results Eng. 2023, 20, 101426. [Google Scholar] [CrossRef]
- Rashidi, S.; Karimi, N.; Sunden, B.; Kim, K.; Olabi, A.G.; Mahian, O. Progress and challenges on the thermal management of electrochemical energy conversion and storage technologies: Fuel cells, electrolysers, and supercapacitors. Prog. Energy Combust. Sci. 2022, 88, 100966. [Google Scholar] [CrossRef]
- Fan, L.; Tu, Z.; Chan, S.H. Recent development of hydrogen and fuel cell technologies: A review. Energy Rep. 2021, 7, 8421–8446. [Google Scholar] [CrossRef]
- T-Raissi, A. Technoeconomic Analysis of Area II Hydrogen Production—Part 1. In Proceedings of the 2001 DOE Hydrogen Program Review NREL/CP-570-30535, Baltimore, MD, USA, 18 April 2001; Florida Solar Energy Center, University of Central Florida: Orlando, FL, USA, 2005. [Google Scholar]
- Nickchi, T.; Alfantazi, A. Electrochemical corrosion behaviour of Incoloy 800 in sulphate solutions containing hydrogen peroxide. Corr. Sci. 2010, 52, 4035–4045. [Google Scholar] [CrossRef]
- Bard, A.J.; Faulkner, L.R. Electrochemical Methods: Fundamentals and Applications, 2nd ed.; Wiley: Hoboken, NJ, USA, 2000. [Google Scholar]
- O’Brien, J.A.; Hinkley, J.T.; Donne, S.W.; Lindquist, S.-E. The electrochemical oxidation of aqueous sulfur dioxide: A critical review of work with respect to the hybrid sulfur cycle. Electrochim. Acta 2010, 55, 573–591. [Google Scholar] [CrossRef]
- Seo, E.T.; Sawyer, D.T. Electrochemical oxidation of dissolved sulphur dioxide at platinum and gold electrodes. Electrochim. Acta 1965, 10, 239–252. [Google Scholar] [CrossRef]
- Zelinskiia, A.G.; Novgorodtseva, O.N. The Effect of Solution pH on the Oxidation of Sulfite Ions and the Formation of Oxides on the Gold Electrode. Russ. J. Electrochem. 2019, 55, 1171–1185. [Google Scholar] [CrossRef]
- Meekins, B.H.; Thompson, A.B.; Gopal, V.; Tavakoli Mehrabadi, B.A.; Elvington, M.C.; Ganesan, P.; Newhouse-Illige, T.A.; Shepard, A.W.; Scipioni, L.E.; Greer, J.A.; et al. In-situ and ex-situ comparison of the electrochemical oxidation of SO2 on carbon supported Pt and Au catalysts. Int. J. Hydrogen Energy 2020, 45, 1940–1947. [Google Scholar] [CrossRef]
- Enache, A.F.; Dan, M.L.; Vaszilcsin, N. Anodic Oxidation of Sulphite Ions on Smooth Nickel Based 1 Layer Platinum Nanoparticles in Alkaline Solution, 2016. In Proceedings of the 22nd International Symposium on Analytical and Environmental Problems, Szeged, Hungary, 10 October 2016. [Google Scholar]
- Enache, A.F.; Dan, M.L.; Vaszilcsin, N. Voltammetric Studies on Anodic Oxidation of Sulphite in Alkaline Solutions on Smooth Nickel Based 3 Layers Platinum Nanoparticles Electrode. Proc. Georgian Natl. Acad. Sci. Chem. Ser. 2016, 42, 345–349. [Google Scholar]
- Enache, A.F.; Dan, M.L.; Vaszilcsin, N. Sulphite Electrooxidation in Alkaline Media on Skeletal Nickel Based 6 Layers Platinum Nanoparticles Electrode. Adv. Eng. Forum 2018, 27, 176–187. [Google Scholar] [CrossRef]
- Kovaleva, S.V.; Aksinenko, O.S.; Korshunov, A.V. Electrooxidation of Sulfite Ions on a Composite Carbon-Containing Electrode Modified with Submicron Gold Particles. J. Anal. Chem. 2020, 75, 1348–1357. [Google Scholar] [CrossRef]
- Scott, K.; Cheng, H.; Taama, W. Zirconium and Ebonex as cathodes for sulphite ion oxidation in sulphuric acid. J. Appl. Electrochem. 1999, 29, 1329–1338. [Google Scholar] [CrossRef]
- Hunger, T.; Lapicque, F.; Storck, A. Electrochemical oxidation of sulphite ions at graphite electrodes. J. Appl. Electrochem. 1991, 21, 588. [Google Scholar] [CrossRef]
- Hunger, T.; Lapicque, F. Electrochemistry of the oxidation of sulfite and bisulfite ions at a graphite surface: An overall approach. Electrochim. Acta 1991, 36, 1073. [Google Scholar] [CrossRef]
- Labosel, M.A.; Duca, D.A.; Vaszilcsin, N.; Dan, M.L. Electrochemical oxidation of sulphite in neutral media on graphite. Mater. Today Proc. 2021, 45, 4233–4236. [Google Scholar] [CrossRef]
- Zelinsky, A.G.; Pirogov, B.Y. Electrochemical oxidation of sulfite and sulfur dioxide at a renewable graphite electrode. Electrochim. Acta 2017, 231, 371–378. [Google Scholar] [CrossRef]
- Enache, A.F.; Dan, M.L.; Vaszilcsin, N. Electrochemical Oxidation of Sulphite in Neutral Media on Platinum Anode. Int. J. Electrochem. Sci. 2018, 13, 4466–4478. [Google Scholar] [CrossRef]
- Labosel, M.A.; Enache, A.F.; Dima, G.D.; Dan, M.L.; Vaszilcsin, N. Smooth nickel-a suitable anodic material in new alkaline fuel cells sulphite/oxygen. Glob. NEST J. 2024, 26, 05374. [Google Scholar]
- Gerischer, H. Principles of Electrochemistry. In The CRC Handbook of Solid State Electrochemistry; Gellings, P.J., Bouwmeester, H.J.M., Eds.; CRC Press: Boca Raton, NY, USA, 1997. [Google Scholar]
- Brug, G.J.; van den Eeden, A.L.G.; Sluyters-Rehabach, M.; Sluyters, J.H. The analysis of electrode impedances complicated by the presence of a constant phase element. J. Electroanal. Chem. 1984, 176, 275. [Google Scholar] [CrossRef]









| Element | Fe | Ni | Cr | Cu | C | Mn | S | Si | Ti | Mo |
|---|---|---|---|---|---|---|---|---|---|---|
| Weight% | 43.3 | 33.1 | 21.6 | 0.11 | 0.09 | 0.69 | 0.003 | 0.43 | 0.57 | 0.06 |
| Na2SO3 Conc. [mol L−1] | b | α | io |
|---|---|---|---|
| [mV dec−1] | [A m−2] | ||
| 0.1 | 1122 | 0.05 | 3.40 |
| 0.5 | 613 | 0.10 | 3.00 |
| 1 | 354 | 0.17 | 2.60 |
| E [V] | Rs [Ω cm2] | Rct [Ω cm2] | Cdl [µF cm−2] | RG [Ω cm2 s1/2] | Ka [s−1] | χ2 |
|---|---|---|---|---|---|---|
| c = 1 mol L−1 | ||||||
| 0.5 | 8.6 | 43.3 | 32.4 | 168.7 | 20.1 | 7.42 × 10−4 |
| 0.75 | 8.4 | 25.0 | 35.7 | 132.1 | 66.9 | 2.84 × 10−4 |
| 1.0 | 8.2 | 34.6 | 35.1 | 76.3 | 121.1 | 8.32 × 10−4 |
| 1.25 | 8.4 | 21.9 | 44.2 | 50.3 | 233.7 | 6.48 × 10−4 |
| 1.50 | 9.1 | 8.6 | 31.1 | 18.2 | 205.8 | 3.46 × 10−4 |
| c = 0.5 mol L−1 | ||||||
| 0.5 | 9.2 | 68.8 | 33.0 | 165.9 | 16.9 | 5.73 × 10−4 |
| 0.75 | 8.9 | 36.0 | 32.2 | 163.7 | 37.9 | 5.20 × 10−4 |
| 1.0 | 8.6 | 73.9 | 31.8 | 100.3 | 31.8 | 8.77 × 10−4 |
| 1.25 | 9.0 | 12.1 | 30.0 | 71.4 | 36.4 | 2.36 × 10−4 |
| 1.50 | 9.1 | 14.0 | 33.3 | 61.1 | 192.3 | 1.94 × 10−4 |
| E [V] | Rs [Ω cm2] | Rct [Ω cm2] | Cdl [µF cm−2] | Rd [Ω cm2] | τd [s] | RG [Ω cm2 s1/2] | Ka [s−1] | χ2 |
|---|---|---|---|---|---|---|---|---|
| c = 10−1 mol L−1 | ||||||||
| 0.5 | 11.5 | 176.3 | 26.9 | 338.6 | 6.4 | 303.5 | 1434 | 3.29 × 10−4 |
| 0.75 | 11.6 | 114.7 | 31.6 | 566.4 | 35.6 | 244.2 | 2820 | 5.20 × 10−4 |
| 1.0 | 11.7 | 93.3 | 34.1 | 122.7 | 42.7 | 223.2 | 1656 | 3.13 × 10−3 |
| 1.25 | 10.9 | 75.1 | 35.0 | 307.7 | 17.1 | 252.1 | 14.24 | 3.10 × 10−4 |
| 1.50 | 11.4 | 40.8 | 31.9 | 108.4 | 15.2 | 146.4 | 22.54 | 4.67 × 10−4 |
| c = 10−2 mol L−1 | ||||||||
| 0.5 | 12.1 | 325.2 | 28.3 | 318.2 | 78.3 | 307.3 | 2334 | 9.07 × 10−4 |
| 0.75 | 12.2 | 207.1 | 20.7 | 300.3 | 56.5 | 407.8 | 2980 | 1.44 × 10−4 |
| 1.0 | 12.3 | 113.8 | 16.5 | 86.44 | 40.3 | 558.1 | 2448 | 1.91 × 10−3 |
| 1.25 | 12.4 | 109.5 | 78.1 | 123.6 | 13.5 | 141.2 | 761.9 | 2.60 × 10−4 |
| 1.50 | 12.9 | 69.6 | 91.4 | 31.48 | 54.5 | 128.1 | 1257 | 5.76 × 10−4 |
| c = 10−3 mol L−1 | ||||||||
| 0.5 | 15.4 | 635.9 | 24.1 | 60.4 | 6.2 | 430.3 | 2465 | 6.63 × 10−4 |
| 0.75 | 16.2 | 384.4 | 29.1 | 19.5 | 48.0 | 198.3 | 1657 | 1.24 × 10−3 |
| 1.0 | 16.0 | 275.4 | 27.0 | 7.8 | 50.9 | 388.3 | 1835 | 7.62 × 10−4 |
| 1.25 | 16.3 | 126.1 | 29.7 | 87.9 | 89.2 | 325.5 | 2120 | 1.11 × 10−3 |
| 1.50 | 17.1 | 94.1 | 21.3 | 16.3 | 6.4 | 218.8 | 3315 | 3.55 × 10−3 |
Disclaimer/Publisher’s Note: The statements, opinions and data contained in all publications are solely those of the individual author(s) and contributor(s) and not of MDPI and/or the editor(s). MDPI and/or the editor(s) disclaim responsibility for any injury to people or property resulting from any ideas, methods, instructions or products referred to in the content. |
© 2025 by the authors. Licensee MDPI, Basel, Switzerland. This article is an open access article distributed under the terms and conditions of the Creative Commons Attribution (CC BY) license (https://creativecommons.org/licenses/by/4.0/).
Share and Cite
Lăboșel, M.-A.; Kellenberger, A.; Dan, M.L.; Rudenko, N.; Dima, G.-D.; Vaszilcsin, N. Studies on the Electrochemical Behavior of Sulfite on Incoloy 800 in a Neutral Environment. Appl. Sci. 2025, 15, 1144. https://doi.org/10.3390/app15031144
Lăboșel M-A, Kellenberger A, Dan ML, Rudenko N, Dima G-D, Vaszilcsin N. Studies on the Electrochemical Behavior of Sulfite on Incoloy 800 in a Neutral Environment. Applied Sciences. 2025; 15(3):1144. https://doi.org/10.3390/app15031144
Chicago/Turabian StyleLăboșel, Mihaela-Alexandra, Andrea Kellenberger, Mircea Laurențiu Dan, Nataliia Rudenko, George-Daniel Dima, and Nicolae Vaszilcsin. 2025. "Studies on the Electrochemical Behavior of Sulfite on Incoloy 800 in a Neutral Environment" Applied Sciences 15, no. 3: 1144. https://doi.org/10.3390/app15031144
APA StyleLăboșel, M.-A., Kellenberger, A., Dan, M. L., Rudenko, N., Dima, G.-D., & Vaszilcsin, N. (2025). Studies on the Electrochemical Behavior of Sulfite on Incoloy 800 in a Neutral Environment. Applied Sciences, 15(3), 1144. https://doi.org/10.3390/app15031144

