Influence of Relative Density of Sands on Their Oedometric Moduli
Featured Application
Abstract
1. Introduction
2. Materials and Methods
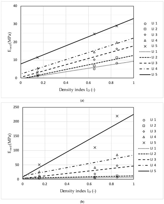
3. Results
4. Discussion
5. Conclusions
Author Contributions
Funding
Institutional Review Board Statement
Informed Consent Statement
Data Availability Statement
Conflicts of Interest
Abbreviations
| Eoed | Oedometric modulus |
| SM | Silty sand |
| S-F | Sand with fine-grained admixture |
| ID | Density index |
| STN | Slovak Technical Standard |
| ISO | ISO Standard |
| PN | Polish Standard |
| CC | Compression coefficient |
| SD | Standard deviation |
| CV | Coefficient of variation |
| Q1 | First quartile |
| Q3 | Third quartile |
| IRQ | Interquartile range |
| LF | Lower fence |
| UF | Upper fence |
| MAD | Median Absolute Deviation |
| MiA | Individual Modified Z-score for Eoed from oedometer A |
| MiB | Individual Modified Z-score for Eoed from oedometer B |
| MiC | Individual Modified Z-score for Eoed from oedometer C |
| MiD | Individual Modified Z-scores for Eoed from oedometer D |
| CI | Clay of intermediate plasticity |
Appendix A. Data and Methods
Appendix A.1. Supplementary Data
| Oedometers | Danube Sand | Polanka Sand | ||||||
|---|---|---|---|---|---|---|---|---|
| A | B | C | D | A | B | C | D | |
| Height (mm) | 30.328 | 30.188 | 30.388 | 30.563 | 30.328 | 30.188 | 30.388 | 30.563 |
| Diameter (mm) | 119.824 | 120.125 | 120.150 | 119.599 | 119.824 | 120.125 | 120.150 | 119.599 |
| Plunger mass (kPa) | 5115 | 5090 | 5209 | 5136 | 5115 | 5090 | 5209 | 5136 |
| Pressure from plunger (kPa) | 4.450 | 4.406 | 4.507 | 4.485 | 4.450 | 4.406 | 4.507 | 4.485 |
| Apparatus def. at plunger (mm) | 0.000 | 0.000 | 0.000 | 0.000 | 0.000 | 0.000 | 0.000 | 0.000 |
| Apparatus def. at 25 kPa (mm) | 0.001 | 0.008 | 0.009 | 0.041 | 0.001 | 0.008 | 0.009 | 0.041 |
| Apparatus def. at 50 kPa (mm) | 0.012 | 0.032 | 0.038 | 0.076 | 0.012 | 0.032 | 0.038 | 0.076 |
| Apparatus def. at 100 kPa (mm) | 0.051 | 0.064 | 0.108 | 0.123 | 0.051 | 0.064 | 0.108 | 0.123 |
| Apparatus def. at 200 kPa (mm) | 0.111 | 0.107 | 0.199 | 0.164 | 0.111 | 0.107 | 0.199 | 0.164 |
| Apparatus def. at 400 kPa (mm) | 0.261 | 0.179 | 0.277 | 0.207 | 0.261 | 0.179 | 0.277 | 0.207 |
| Minimum void ratio (-) | 1.25 | 1.25 | 1.25 | 1.25 | 0.74 | 0.74 | 0.74 | 0.74 |
| Void ratio for ID = 0.15 | 1.15 | 1.15 | 1.15 | 1.15 | 0.70 | 0.70 | 0.70 | 0.70 |
| Void ratio for ID = 0.65 | 0.80 | 0.80 | 0.80 | 0.80 | 0.54 | 0.54 | 0.54 | 0.54 |
| Void ratio for ID = 0.85 | 0.66 | 0.66 | 0.66 | 0.66 | 0.47 | 0.47 | 0.47 | 0.47 |
| Maximum void ratio (-) | 0.55 | 0.55 | 0.55 | 0.55 | 0.42 | 0.42 | 0.42 | 0.42 |
| Measured Deformations (mm) | Danube Sand | Polanka Sand | ||||||
|---|---|---|---|---|---|---|---|---|
| A | B | C | D | A | B | C | D | |
| Density index ID = 0.15 | ||||||||
| After plunger load | 0.089 | 0.143 | 0.163 | 0.054 | 0.001 | 0.001 | 0.001 | 0.001 |
| After load 25 kPa | 0.557 | 0.678 | 0.684 | 0.430 | 0.134 | 0.217 | 0.212 | 0.221 |
| After load 50 kPa | 0.891 | 1.146 | 1.118 | 0.902 | 0.285 | 0.343 | 0.372 | 0.368 |
| After load 100 kPa | 1.272 | 1.591 | 1.604 | 1.418 | 0.440 | 0.449 | 0.590 | 0.532 |
| After load 200 kPa | 1.684 | 2.182 | 2.198 | 2.012 | 0.600 | 0.562 | 0.802 | 0.713 |
| After load 400 kPa | 2.122 | 2.718 | 2.803 | 2.680 | 0.771 | 0.732 | 1.022 | 0.918 |
| Density index ID = 0.65 | ||||||||
| After plunger load | 0.003 | 0.001 | 0.021 | 0.015 | 0.001 | 0.001 | 0.000 | 0.000 |
| After load 25 kPa | 0.068 | 0.197 | 0.188 | 0.152 | 0.119 | 0.162 | 0.149 | 0.188 |
| After load 50 kPa | 0.190 | 0.349 | 0.324 | 0.292 | 0.221 | 0.278 | 0.272 | 0.302 |
| After load 100 kPa | 0.389 | 0.538 | 0.532 | 0.470 | 0.362 | 0.382 | 0.398 | 0.431 |
| After load 200 kPa | 0.639 | 0.722 | 0.850 | 0.748 | 0.517 | 0.490 | 0.518 | 0.553 |
| After load 400 kPa | 0.958 | 0.975 | 1.288 | 1.203 | 0.683 | 0.614 | 0.652 | 0.691 |
| Density index ID = 0.85 | ||||||||
| After plunger load | 0.001 | 0.002 | 0.001 | 0.001 | 0.001 | 0.001 | 0.001 | 0.001 |
| After load 25 kPa | 0.041 | 0.125 | 0.073 | 0.132 | 0.090 | 0.082 | 0.076 | 0.154 |
| After load 50 kPa | 0.109 | 0.229 | 0.158 | 0.263 | 0.166 | 0.163 | 0.141 | 0.266 |
| After load 100 kPa | 0.241 | 0.352 | 0.319 | 0.432 | 0.279 | 0.213 | 0.231 | 0.388 |
| After load 200 kPa | 0.421 | 0.535 | 0.576 | 0.694 | 0.399 | 0.281 | 0.325 | 0.509 |
| After load 400 kPa | 0.708 | 0.761 | 0.967 | 1.108 | 0.558 | 0.379 | 0.432 | 0.639 |
| Voi Ratio e (-) | Danube Sand | Polanka Sand | ||||||
|---|---|---|---|---|---|---|---|---|
| A | B | C | D | A | B | C | D | |
| Density index ID = 0.15 | ||||||||
| No load | 1.152 | 1.152 | 1.152 | 1.152 | 0.699 | 0.699 | 0.699 | 0.699 |
| After plunger load | 1.146 | 1.142 | 1.141 | 1.148 | 0.699 | 0.699 | 0.699 | 0.699 |
| After load 25 kPa | 1.113 | 1.104 | 1.104 | 1.125 | 0.691 | 0.687 | 0.687 | 0.689 |
| After load 50 kPa | 1.090 | 1.073 | 1.076 | 1.094 | 0.683 | 0.681 | 0.680 | 0.682 |
| After load 100 kPa | 1.066 | 1.043 | 1.046 | 1.061 | 0.677 | 0.677 | 0.672 | 0.676 |
| After load 200 kPa | 1.041 | 1.004 | 1.011 | 1.022 | 0.671 | 0.673 | 0.665 | 0.668 |
| After load 400 kPa | 1.020 | 0.971 | 0.973 | 0.978 | 0.670 | 0.667 | 0.657 | 0.659 |
| Density index ID = 0.65 | ||||||||
| No load | 0.798 | 0.798 | 0.798 | 0.798 | 0.536 | 0.536 | 0.536 | 0.536 |
| After plunger load | 0.798 | 0.798 | 0.797 | 0.797 | 0.536 | 0.536 | 0.536 | 0.536 |
| After load 25 kPa | 0.794 | 0.787 | 0.787 | 0.791 | 0.530 | 0.528 | 0.529 | 0.529 |
| After load 50 kPa | 0.787 | 0.779 | 0.781 | 0.785 | 0.526 | 0.524 | 0.524 | 0.525 |
| After load 100 kPa | 0.778 | 0.770 | 0.773 | 0.777 | 0.520 | 0.520 | 0.522 | 0.521 |
| After load 200 kPa | 0.766 | 0.761 | 0.759 | 0.763 | 0.516 | 0.517 | 0.520 | 0.517 |
| After load 400 kPa | 0.756 | 0.750 | 0.738 | 0.739 | 0.515 | 0.514 | 0.517 | 0.512 |
| Density index ID = 0.85 | ||||||||
| No load | 0.656 | 0.656 | 0.656 | 0.656 | 0.471 | 0.471 | 0.471 | 0.471 |
| After plunger load | 0.656 | 0.656 | 0.656 | 0.656 | 0.471 | 0.471 | 0.471 | 0.471 |
| After load 25 kPa | 0.654 | 0.650 | 0.652 | 0.651 | 0.467 | 0.468 | 0.468 | 0.466 |
| After load 50 kPa | 0.651 | 0.645 | 0.649 | 0.646 | 0.464 | 0.465 | 0.466 | 0.462 |
| After load 100 kPa | 0.646 | 0.640 | 0.644 | 0.639 | 0.460 | 0.464 | 0.465 | 0.459 |
| After load 200 kPa | 0.639 | 0.633 | 0.635 | 0.627 | 0.457 | 0.463 | 0.465 | 0.455 |
| After load 400 kPa | 0.632 | 0.624 | 0.618 | 0.607 | 0.457 | 0.462 | 0.464 | 0.451 |
| Voi Ratio e (-) | Danube Sand | Polanka Sand | ||||||
|---|---|---|---|---|---|---|---|---|
| A | B | C | D | A | B | C | D | |
| Density index ID = 0.15 | ||||||||
| No load | 1.000 | 1.000 | 1.000 | 1.000 | 1.000 | 1.000 | 1.000 | 1.000 |
| After plunger load | 0.995 | 0.991 | 0.990 | 0.997 | 1.000 | 1.000 | 1.000 | 1.000 |
| After load 25 kPa | 0.966 | 0.959 | 0.959 | 0.976 | 0.989 | 0.983 | 0.984 | 0.986 |
| After load 50 kPa | 0.946 | 0.931 | 0.934 | 0.950 | 0.978 | 0.975 | 0.973 | 0.977 |
| After load 100 kPa | 0.925 | 0.906 | 0.908 | 0.921 | 0.969 | 0.969 | 0.961 | 0.967 |
| After load 200 kPa | 0.903 | 0.872 | 0.877 | 0.887 | 0.961 | 0.963 | 0.952 | 0.956 |
| After load 400 kPa | 0.885 | 0.843 | 0.845 | 0.849 | 0.959 | 0.955 | 0.940 | 0.943 |
| Density index ID = 0.65 | ||||||||
| No load | 1.000 | 1.000 | 1.000 | 1.000 | 1.000 | 1.000 | 1.000 | 1.000 |
| After plunger load | 1.000 | 1.000 | 0.998 | 0.999 | 1.000 | 1.000 | 1.000 | 1.000 |
| After load 25 kPa | 0.995 | 0.986 | 0.987 | 0.992 | 0.989 | 0.985 | 0.987 | 0.986 |
| After load 50 kPa | 0.987 | 0.976 | 0.979 | 0.984 | 0.980 | 0.977 | 0.978 | 0.979 |
| After load 100 kPa | 0.975 | 0.965 | 0.969 | 0.974 | 0.971 | 0.970 | 0.973 | 0.971 |
| After load 200 kPa | 0.961 | 0.954 | 0.952 | 0.957 | 0.962 | 0.964 | 0.970 | 0.964 |
| After load 400 kPa | 0.948 | 0.941 | 0.925 | 0.927 | 0.960 | 0.959 | 0.965 | 0.955 |
| Density index ID = 0.85 | ||||||||
| No load | 1.000 | 1.000 | 1.000 | 1.000 | 1.000 | 1.000 | 1.000 | 1.000 |
| After plunger load | 1.000 | 1.000 | 1.000 | 1.000 | 1.000 | 1.000 | 1.000 | 1.000 |
| After load 25 kPa | 0.997 | 0.990 | 0.995 | 0.992 | 0.991 | 0.992 | 0.993 | 0.988 |
| After load 50 kPa | 0.992 | 0.984 | 0.990 | 0.985 | 0.984 | 0.986 | 0.989 | 0.981 |
| After load 100 kPa | 0.984 | 0.976 | 0.982 | 0.974 | 0.977 | 0.985 | 0.987 | 0.973 |
| After load 200 kPa | 0.974 | 0.964 | 0.969 | 0.956 | 0.970 | 0.982 | 0.987 | 0.965 |
| After load 400 kPa | 0.963 | 0.951 | 0.943 | 0.926 | 0.969 | 0.979 | 0.984 | 0.956 |
| Oed. and Param. | Oedometric Moduli Eoed Obtained from Oedometers A, B, C, and D and Their Descriptive Statistics (Standard and Robust Measures) for 5 Intervals of Loading (No. 1 to 5), Danube Sand | ||||||||||||||
|---|---|---|---|---|---|---|---|---|---|---|---|---|---|---|---|
| Density Index ID = 0.15 | Density Index ID = 0.65 | Density Index ID = 0.85 | |||||||||||||
| 1 | 2 | 3 | 4 | 5 | 1 | 2 | 3 | 4 | 5 | 1 | 2 | 3 | 4 | 5 | |
| Oedometric moduli obtained from oedometers | |||||||||||||||
| A | 1.327 | 2.340 | 4.421 | 8.590 | 20.999 | 9.686 | 6.810 | 9.449 | 15.915 | 35.785 | 15.894 | 13.262 | 16.257 | 25.198 | 44.143 |
| B | 1.174 | 1.700 | 3.655 | 5.509 | 13.012 | 3.292 | 5.896 | 9.614 | 21.410 | 33.357 | 5.381 | 9.434 | 16.587 | 21.563 | 39.205 |
| C | 1.127 | 1.876 | 3.652 | 6.041 | 11.532 | 3.943 | 7.100 | 11.010 | 13.387 | 16.882 | 9.888 | 13.566 | 16.696 | 18.306 | 19.417 |
| D | 1.870 | 1.748 | 3.258 | 5.527 | 9.780 | 6.526 | 7.277 | 11.665 | 12.896 | 14.836 | 6.962 | 7.959 | 12.526 | 13.829 | 16.476 |
| Standard descriptive statistics | |||||||||||||||
(MPa) | 1.397 | 1.916 | 3.747 | 6.417 | 13.831 | 5.862 | 6.771 | 10.435 | 15.902 | 25.215 | 9.531 | 11.055 | 15.517 | 19.724 | 29.810 |
| Range | 0.696 | 0.641 | 1.162 | 3.082 | 11.218 | 6.394 | 1.381 | 2.216 | 8.514 | 20.948 | 10.513 | 5.607 | 4.171 | 11.369 | 27.667 |
| SD | 0.322 | 0.292 | 0.487 | 1.470 | 4.958 | 2.907 | 0.614 | 1.079 | 3.903 | 10.881 | 4.635 | 2.792 | 2.003 | 4.834 | 13.899 |
| CV (%) | 23.04 | 15.26 | 12.99 | 22.91 | 35.85 | 49.59 | 9.07 | 10.34 | 24.54 | 43.15 | 48.63 | 25.26 | 12.91 | 24.51 | 46.62 |
| Robust descriptive statistics | |||||||||||||||
| Mdn | 1.272 | 1.812 | 3.654 | 5.784 | 12.272 | 5.235 | 6.955 | 10.312 | 14.651 | 25.119 | 8.425 | 11.348 | 16.422 | 19.934 | 29.311 |
| Q1 | 1.195 | 1.724 | 3.455 | 5.518 | 10.656 | 3.617 | 6.353 | 9.532 | 13.141 | 15.859 | 6.171 | 8.696 | 14.391 | 16.068 | 17.946 |
| Q3 | 1.599 | 2.108 | 4.038 | 7.316 | 17.005 | 8.106 | 7.188 | 11.388 | 18.662 | 34.571 | 12.891 | 13.414 | 16.642 | 23.381 | 41.674 |
| IQR | 0.403 | 0.384 | 0.582 | 1.798 | 6.349 | 4.489 | 0.835 | 1.806 | 5.521 | 18.712 | 6.720 | 4.718 | 2.250 | 7.313 | 23.728 |
| LF | 0.591 | 1.148 | 2.582 | 2.821 | 1.133 | −3.116 | 5.100 | 6.823 | 4.859 | −12.208 | −3.908 | 1.620 | 11.016 | 5.098 | −17.645 |
| UF | 2.204 | 2.684 | 4.911 | 10.013 | 26.529 | 14.839 | 8.441 | 14.046 | 26.944 | 62.638 | 22.971 | 20.049 | 20.017 | 34.350 | 77.266 |
| MAD | 0.077 | 0.088 | 0.198 | 0.266 | 1.616 | 1.617 | 0.233 | 0.780 | 1.509 | 9.260 | 2.253 | 2.066 | 0.220 | 3.446 | 11.365 |
| MiA | 0.488 | 4.049 | 2.611 | 7.109 | 3.642 | 1.856 | −0.419 | −0.746 | 0.565 | 0.777 | 2.236 | 0.625 | −0.506 | 1.030 | 0.880 |
| MiB | −0.861 | −0.861 | 0.004 | −0.697 | 0.309 | −0.810 | −3.062 | −0.603 | 3.020 | 0.600 | −0.911 | −0.625 | 0.506 | 0.319 | 0.587 |
| MiC | −0.488 | 0.488 | −0.004 | 0.652 | −0.309 | −0.539 | 0.419 | 0.603 | −0.565 | −0.600 | 0.438 | 0.724 | 0.843 | −0.319 | −0.587 |
| MiD | 5.272 | −0.488 | −1.345 | −0.652 | −1.040 | 0.539 | 0.930 | 1.170 | −0.784 | −0.749 | −0.438 | −1.106 | −11.960 | −1.195 | −0.762 |
| Eoed | 1.272 | 1.812 | 3.654 | 5.784 | 12.272 | 5.235 | 6.955 | 10.312 | 14.651 | 25.119 | 8.425 | 11.348 | 16.422 | 19.934 | 29.311 |
| Oed. and Param. | Oedometric Moduli Eoed Obtained from Oedometers A, B, C, and D and Their Descriptive Statistics (Standard and Robust Measures) for 5 Intervals of Loading (No. 1 to 5), Danube Sand | ||||||||||||||
|---|---|---|---|---|---|---|---|---|---|---|---|---|---|---|---|
| Density Index ID = 0.15 | Density Index ID = 0.65 | Density Index ID = 0.85 | |||||||||||||
| 1 | 2 | 3 | 4 | 5 | 1 | 2 | 3 | 4 | 5 | 1 | 2 | 3 | 4 | 5 | |
| Oedometric moduli obtained from oedometers | |||||||||||||||
| A | 1.323 | 2.297 | 4.292 | 8.243 | 19.906 | 9.685 | 6.795 | 9.394 | 15.737 | 35.160 | 15.894 | 13.245 | 16.205 | 25.040 | 43.691 |
| B | 1.169 | 1.662 | 3.520 | 5.230 | 12.118 | 3.292 | 5.859 | 9.513 | 21.074 | 32.677 | 5.381 | 9.397 | 16.479 | 21.357 | 38.649 |
| C | 1.210 | 1.834 | 3.523 | 5.744 | 10.774 | 3.940 | 7.058 | 10.906 | 13.200 | 16.520 | 9.888 | 13.537 | 16.630 | 18.179 | 19.176 |
| D | 1.867 | 1.726 | 3.170 | 5.293 | 9.189 | 6.523 | 7.250 | 11.583 | 12.749 | 14.553 | 6.961 | 7.935 | 12.449 | 13.690 | 16.190 |
| Standard descriptive statistics | |||||||||||||||
(MPa) | 1.392 | 1.880 | 3.626 | 6.127 | 12.997 | 5.860 | 6.741 | 10.349 | 15.690 | 24.728 | 9.531 | 11.029 | 15.441 | 19.566 | 29.427 |
| Range | 0.698 | 0.635 | 1.122 | 3.013 | 10.717 | 6.393 | 1.391 | 2.189 | 8.324 | 20.607 | 10.513 | 5.602 | 4.181 | 11.350 | 27.500 |
| SD | 0.323 | 0.287 | 0.474 | 1.429 | 4.759 | 2.907 | 0.617 | 1.071 | 3.823 | 10.691 | 4.635 | 2.795 | 2.002 | 4.818 | 13.769 |
| CV (%) | 23.21 | 15.28 | 13.07 | 23.32 | 36.62 | 49.61 | 9.15 | 10.35 | 24.36 | 43.24 | 48.63 | 25.34 | 12.97 | 24.62 | 46.79 |
| Robust descriptive statistics | |||||||||||||||
| Mdn | 1.267 | 1.780 | 3.521 | 5.518 | 11.446 | 5.232 | 6.927 | 10.210 | 14.468 | 24.599 | 8.425 | 11.321 | 16.342 | 19.768 | 28.913 |
| Q1 | 1.189 | 1.694 | 3.345 | 5.261 | 9.981 | 3.616 | 6.327 | 9.453 | 12.975 | 15.537 | 6.171 | 8.666 | 14.327 | 15.934 | 17.683 |
| Q3 | 1.595 | 2.066 | 3.907 | 6.994 | 16.012 | 8.104 | 7.154 | 11.245 | 18.405 | 33.919 | 12.891 | 13.391 | 16.555 | 23.199 | 41.170 |
| IQR | 0.406 | 0.372 | 0.562 | 1.732 | 6.031 | 4.488 | 0.827 | 1.791 | 5.431 | 18.382 | 6.720 | 4.725 | 2.228 | 7.264 | 23.487 |
| LF | 0.581 | 1.137 | 2.502 | 2.663 | 0.935 | −3.116 | 5.087 | 6.767 | 4.828 | −12.036 | −3.908 | 1.579 | 10.986 | 5.037 | −17.547 |
| UF | 2.204 | 2.623 | 4.751 | 9.592 | 25.058 | 14.836 | 8.395 | 13.931 | 26.551 | 61.491 | 22.970 | 20.478 | 19.896 | 34.095 | 76.400 |
| MAD | 0.077 | 0.086 | 0.176 | 0.257 | 1.464 | 1.616 | 0.228 | 0.756 | 1.494 | 9.062 | 2.253 | 2.070 | 0.213 | 3.431 | 11.230 |
| MiA | 0.494 | 4.055 | 2.953 | 7.156 | 3.897 | 1.859 | −0.389 | −0.728 | 0.573 | 0.786 | 2.236 | 0.627 | −0.434 | 1.037 | 0.888 |
| MiB | −0.855 | −0.926 | −0.005 | −0.757 | 0.310 | −0.810 | −3.163 | −0.621 | 2.983 | 0.601 | −0.911 | −0.627 | 0.434 | 0.312 | 0.585 |
| MiC | −0.494 | 0.423 | 0.005 | 0.592 | −0.310 | −0.539 | 0.389 | 0.621 | −0.573 | −0.601 | 0.438 | 0.722 | 0.915 | −0.312 | −0.585 |
| MiD | 5.233 | −0.423 | −1.344 | −0.592 | −1.039 | 0.539 | 0.960 | 1.225 | −0.776 | −0.748 | −0.438 | −1.103 | −12.336 | −1.195 | −0.764 |
| Eoed | 1.267 | 1.780 | 3.521 | 5.518 | 11.446 | 5.232 | 6.927 | 10.210 | 14.468 | 24.599 | 8.425 | 11.321 | 16.342 | 19.768 | 28.913 |
| Oed. and Param. | Oedometric Moduli Eoed Obtained from Oedometers A, B, C, and D and Their Descriptive Statistics (Standard and Robust Measures) for 5 Intervals of Loading (No. 1 to 5), Polanka Sand | ||||||||||||||
|---|---|---|---|---|---|---|---|---|---|---|---|---|---|---|---|
| Density Index ID = 0.15 | Density Index ID = 0.65 | Density Index ID = 0.85 | |||||||||||||
| 1 | 2 | 3 | 4 | 5 | 1 | 2 | 3 | 4 | 5 | 1 | 2 | 3 | 4 | 5 | |
| Oedometric moduli obtained from oedometers | |||||||||||||||
| A | 4.696 | 5.400 | 13.034 | 30.238 | 287.981 | 5.298 | 8.307 | 14.823 | 31.829 | 377.975 | 7.044 | 11.630 | 20.431 | 50.397 | 671.956 |
| B | 2.975 | 7.399 | 20.397 | 43.126 | 61.608 | 4.045 | 8.203 | 20.964 | 46.586 | 115.663 | 8.477 | 13.240 | 83.856 | 120.752 | 232.215 |
| C | 3.084 | 5.799 | 10.266 | 25.114 | 42.799 | 4.450 | 8.082 | 27.132 | 104.784 | 108.527 | 9.439 | 21.102 | 75.969 | 1012.917 | 209.569 |
| D | 3.500 | 6.822 | 13.061 | 21.831 | 37.732 | 4.262 | 9.672 | 18.636 | 37.732 | 64.343 | 5.594 | 9.923 | 20.375 | 38.204 | 70.260 |
| Standard descriptive statistics | |||||||||||||||
(MPa) | 3.564 | 6.355 | 14.190 | 30.077 | 107.530 | 4.514 | 8.566 | 20.389 | 55.233 | 166.627 | 7.639 | 13.974 | 50.158 | 305.567 | 296.000 |
| Range | 1.721 | 1.999 | 10.131 | 21.295 | 250.249 | 1.253 | 1.590 | 12.309 | 72.955 | 313.632 | 3.844 | 11.179 | 63.480 | 974.713 | 601.696 |
| SD | 0.788 | 0.918 | 4.341 | 9.362 | 120.738 | 0.548 | 0.743 | 5.159 | 33.586 | 142.715 | 1.681 | 4.942 | 34.508 | 472.968 | 260.892 |
| CV (%) | 22.11 | 14.45 | 30.59 | 31.13 | 112.28 | 12.15 | 8.67 | 25.30 | 60.81 | 85.65 | 22.01 | 35.36 | 68.80 | 154.78 | 88.06 |
| Robust descriptive statistics | |||||||||||||||
| Mdn | 3.292 | 6.311 | 13.047 | 27.676 | 52.204 | 4.356 | 8.255 | 19.800 | 42.159 | 112.095 | 7.761 | 12.435 | 48.200 | 85.574 | 220.892 |
| Q1 | 3.030 | 5.599 | 11.650 | 23.472 | 40.266 | 4.153 | 8.143 | 16.729 | 34.781 | 86.435 | 6.319 | 10.777 | 20.403 | 44.300 | 139.914 |
| Q3 | 4.098 | 7.111 | 16.729 | 36.682 | 174.795 | 4.874 | 8.989 | 24.048 | 75.685 | 246.819 | 8.958 | 17.171 | 79.912 | 566.834 | 452.085 |
| IQR | 1.069 | 1.511 | 5.079 | 13.210 | 134.529 | 0.720 | 0.847 | 7.319 | 40.905 | 160.384 | 2.639 | 6.395 | 59.509 | 522.534 | 312.171 |
| LF | 1.427 | 3.333 | 4.031 | 3.658 | −161.528 | 3.073 | 6.872 | 5.751 | −26.576 | −154.141 | 2.631 | 1.184 | −68.860 | −739.501 | −328.342 |
| UF | 5.701 | 9.377 | 24.438 | 56.496 | 376.588 | 5.954 | 10.260 | 35.026 | 137.042 | 487.395 | 12.916 | 26.764 | 169.176 | 1350.636 | 920.342 |
| MAD | 0.262 | 0.711 | 1.398 | 4.204 | 11.938 | 0.202 | 0.113 | 3.071 | 7.378 | 25.660 | 1.197 | 1.659 | 27.797 | 41.274 | 80.978 |
| MiA | 3.608 | −0.864 | −0.007 | 0.411 | 13.321 | 3.140 | 0.311 | −1.093 | −0.944 | 6.989 | −0.404 | −0.327 | −0.674 | −0.575 | 3.757 |
| MiB | −0.814 | 1.032 | 3.547 | 2.479 | 0.531 | −1.037 | −0.311 | 0.256 | 0.405 | 0.094 | 0.404 | 0.327 | 0.865 | 0.575 | 0.094 |
| MiC | −0.535 | −0.485 | −1.342 | −0.411 | −0.531 | 0.312 | −1.038 | 1.610 | 5.725 | −0.094 | 0.945 | 3.525 | 0.674 | 15.155 | −0.094 |
| MiD | 0.535 | 0.485 | 0.007 | −0.938 | −0.818 | −0.312 | 8.480 | −0.256 | −0.405 | −1.255 | −1.221 | −1.022 | −0.675 | −0.774 | −1.255 |
| Eoed | 3.292 | 6.311 | 13.047 | 27.676 | 52.204 | 4.356 | 8.255 | 19.800 | 42.159 | 112.095 | 7.761 | 12.435 | 48.200 | 85.574 | 220.892 |
| Oed. and Param. | Oedometric Moduli Eoed Obtained from Oedometers A, B, C, and D and Their Descriptive Statistics (Standard and Robust Measures) for 5 Intervals of Loading (No. 1 to 5), Polanka Sand | ||||||||||||||
|---|---|---|---|---|---|---|---|---|---|---|---|---|---|---|---|
| Density Index ID = 0.15 | Density Index ID = 0.65 | Density Index ID = 0.85 | |||||||||||||
| 1 | 2 | 3 | 4 | 5 | 1 | 2 | 3 | 4 | 5 | 1 | 2 | 3 | 4 | 5 | |
| Oedometric moduli obtained from oedometers | |||||||||||||||
| A | 4.696 | 5.376 | 12.916 | 29.849 | 283.324 | 5.298 | 8.275 | 14.720 | 31.502 | 372.900 | 7.044 | 11.596 | 20.327 | 50.017 | 665.556 |
| B | 2.975 | 7.348 | 20.187 | 42.576 | 60.680 | 4.045 | 8.161 | 20.793 | 46.096 | 114.196 | 8.477 | 13.208 | 83.492 | 120.156 | 230.877 |
| C | 3.084 | 5.760 | 10.153 | 24.715 | 41.950 | 4.450 | 8.045 | 26.923 | 103.784 | 107.387 | 9.438 | 21.056 | 75.711 | 1008.817 | 208.700 |
| D | 3.500 | 6.782 | 12.936 | 21.539 | 37.054 | 4.262 | 9.625 | 18.498 | 37.352 | 63.524 | 5.594 | 9.886 | 20.249 | 37.873 | 69.467 |
| Standard descriptive statistics | |||||||||||||||
(MPa) | 3.564 | 6.317 | 14.048 | 29.670 | 105.752 | 4.514 | 8.527 | 20.234 | 54.684 | 164.502 | 7.638 | 13.936 | 49.945 | 304.215 | 293.650 |
| Range | 1.721 | 1.972 | 10.034 | 21.037 | 246.269 | 1.253 | 1.581 | 12.203 | 72.282 | 309.376 | 3.844 | 11.170 | 63.243 | 970.944 | 596.089 |
| SD | 0.788 | 0.908 | 4.296 | 9.260 | 118.818 | 0.548 | 0.739 | 5.114 | 33.279 | 140.735 | 1.681 | 4.936 | 34.392 | 471.132 | 258.024 |
| CV (%) | 22.11 | 14.38 | 30.58 | 31.21 | 112.36 | 12.15 | 8.66 | 25.28 | 60.86 | 85.55 | 22.01 | 35.42 | 68.86 | 154.87 | 87.87 |
| Robust descriptive statistics | |||||||||||||||
| Mdn | 3.292 | 6.271 | 12.926 | 27.282 | 51.315 | 4.356 | 8.218 | 19.646 | 41.724 | 110.792 | 7.761 | 12.402 | 48.019 | 85.086 | 219.788 |
| Q1 | 3.029 | 5.568 | 11.535 | 23.127 | 39.502 | 4.153 | 8.103 | 16.609 | 34.427 | 85.456 | 6.319 | 10.741 | 20.288 | 43.945 | 139.083 |
| Q3 | 4.098 | 7.065 | 16.562 | 36.212 | 172.002 | 4.874 | 8.950 | 23.858 | 74.940 | 243.548 | 8.958 | 17.132 | 79.601 | 594.486 | 448.216 |
| IQR | 1.069 | 1.497 | 5.027 | 13.085 | 132.500 | 0.720 | 0.847 | 7.249 | 40.513 | 158.092 | 2.639 | 6.391 | 59.314 | 520.542 | 309.133 |
| LF | 1.427 | 3.323 | 3.994 | 3.499 | −159.247 | 3.073 | 6.832 | 5.736 | −26.343 | −151.682 | 2.361 | 1.155 | −68.683 | −736.868 | −324.616 |
| UF | 5.701 | 9.310 | 24.102 | 55.840 | 370.751 | 5.954 | 10.221 | 34.731 | 135.710 | 480.686 | 12.916 | 26.718 | 168.572 | 1345.299 | 911.916 |
| MAD | 0.262 | 0.703 | 1.392 | 4.155 | 11.813 | 0.202 | 0.115 | 3.036 | 7.297 | 25.336 | 1.197 | 1.661 | 27.731 | 41.142 | 80.705 |
| MiA | 3.608 | −0.859 | −0.005 | 0.417 | 13.248 | 3.138 | 0.332 | −1.094 | −0.945 | 6.978 | −0.404 | −0.327 | −0.674 | −0.575 | 3.726 |
| MiB | −0.814 | 1.033 | 3.519 | 2.483 | 0.535 | −1.037 | −0.332 | 0.255 | 0.404 | 0.091 | 0.404 | 0.327 | 0.863 | 0.575 | 0.093 |
| MiC | −0.535 | −0.490 | −1.344 | −0.417 | −0.535 | 0.312 | −1.017 | 1.616 | 5.737 | −0.091 | 0.945 | 3.515 | 0.674 | 15.144 | −0.093 |
| MiD | 0.535 | 0.490 | 0.005 | −0.932 | −0.814 | −0.312 | 8.247 | −0.255 | −0.404 | −1.258 | −1.221 | −1.022 | −0.675 | −0.774 | −1.256 |
| Eoed | 3.292 | 6.271 | 12.926 | 27.282 | 51.315 | 4.356 | 8.218 | 19.646 | 41.724 | 110.792 | 7.761 | 12.402 | 48.019 | 85.086 | 219.788 |
Appendix A.2. Sample Preparation Procedure
References
- Głuchowski, A.; Šadzevičius, R.; Skominas, R.; Sas, W. Compacted Anthropogenic Materials as Backfill for Buried Pipes. Materials 2021, 14, 717. [Google Scholar] [CrossRef] [PubMed]
- Shi, X.; Sun, J.; Qi, Y.; Zhu, X.; Zhang, X.; Liang, R.; Chen, H. Study on Stiffness Parameters of the Hardening Soil Model in Sandy Gravel Stratum. Appl. Sci. 2023, 13, 2710. [Google Scholar] [CrossRef]
- Samui, P.; Hoang, N.-D.; Nhu, V.-H.; Nguyen, M.-L.; Ngo, P.T.T.; Bui, D.T. A New Approach of Hybrid Bee Colony Optimized Neural Computing to Estimate the Soil Compression Coefficient for a Housing Construction Project. Appl. Sci. 2019, 9, 4912. [Google Scholar] [CrossRef]
- EN 1997-2:2010; Eurocode 7—Geotechnical design—Part 2: Ground investigation and testing. European Committee for Standardization: Brussels, Belgium, 2010.
- STN 73 1001: 2000; Geotechnické konštrukcie. Zakladanie stavieb [Geotechnical structures. Foundation]. Slovak Institute of Technical Standardization: Bratislava, Slovakia, 2000.
- PN-81/B-03020; Grunty Budowlane. Posadowienie Bezpośrednie Budowli. Obliczenia Statyczne i Projektowanie [Building Soils. Foundation Bases. Static Calculation and Design]. Polish Committee for Standardization, Measures and Quality: Warsaw, Poland, 1981.
- Werner, D.; Burnier, C.; Yu, Y.; Marolf, A.R.; Wang, Y.; Massonnet, G. Identification of some factors influencing soil transfer on shoes. Sci. Justice 2019, 59, 643–653. [Google Scholar] [CrossRef] [PubMed]
- Bull, P.A.; Parker, A.; Morgan, R.M. The forensic analysis of soils and sediment taken from the cast of a footprint. Forensic Sci. Int. 2006, 162, 6–12. [Google Scholar] [CrossRef] [PubMed]
- Larsen, H.J.; Bennett, M.R. Recovery of 3D footwear impressions using a range of different techniques. J. Forensic Sci. 2021, 66, 1056–1064. [Google Scholar] [CrossRef] [PubMed]
- Spencer, A.J.; Jasra, S. Effect of soil moisture on shoe impression detail and longevity. J. Emerg. Forensic Sci. Res. 2021, 6, 117–134. [Google Scholar]
- Charron, J.; Currier, C.; Hess, P.; Jacobs, P.; Zerbe, J. Interpol Review Paper of Marks and Impression Evidence 2019–2022. Forensic Sci. Int. Synerg. 2023, 6, 100308. [Google Scholar] [CrossRef] [PubMed]
- ISO 17892-5:2017 (confirmed 2022); Geotechnical investigation and testing—Laboratory testing of soil—Part 5: Incremental loading oedometer test. International Organization for Standardization: Geneva, Switzerland, 2017.
- PN-88/B-04481; Building Soils—Laboratory Tests. Alfa Publishing House: Warsaw, Poland, 1988.
- STN 72 1027: 1983; Laboratórne stanovenie stlačiteľnosti zemín v edometri [Laboratory Determination of Soil Compressibility in the Oedometer Apparatus]. ÚNM Publishing House: Prague, Czech Republic, 1983.
- ASTM D2435/D2435M-11; Standard Test Methods for One-Dimensional Consolidation Properties of Soils Using Incremental Loading. ASTM International: West Conshohocken, PA, USA, 2011.
- STN EN ISO 17892-1: 2023; Geotechnical investigation and testing—Laboratory testing of soil—Part 1: Determination of water content. Slovak Office of Standards, Metrology and Testing: Bratislava, Slovakia, 2023.
- STN EN ISO 17892-4: 2023; Geotechnical investigation and testing—Laboratory testing of soil—Part 4: Determination of particle size distribution. Slovak Office of Standards, Metrology and Testing: Bratislava, Slovakia, 2023.
- STN EN ISO 17892-12: 2019; Geotechnical investigation and testing—Laboratory testing of soil—Part 12: Determination of liquid and plastic limits. Slovak Office of Standards, Metrology and Testing: Bratislava, Slovakia, 2019.
- Iglewicz, B.; Hoaglin, D.C. How to Detect and Handle Outliers. In The ASQC Basic References in Quality Control: Statistical Techniques, 1st ed.; Mykytka, E.F., Ed.; ASQC Quality Press: Milwaukee, WI, USA, 1993; Volume 16, pp. 1–85. [Google Scholar]
- Hinkle, D.E.; Wiersma, W.; Jurs, S.G. Applied Statistics for the Behavioral Sciences, 5th ed.; Houghton Mifflin: Boston, MA, USA, 2003; 746p. [Google Scholar]
- STN 72 1030: 1988; Laboratory Direct Shear Box Drained Test of Soils. ÚNM Publishing House: Prague, Czech Republic, 1988.
- Greco, V.R. Variability and correlation of strength parameters inferred from direct shear tests. Geotech. Geol. Eng. 2016, 34, 585–603. [Google Scholar] [CrossRef]
- Consoli, N.C.; Fonini, A.; Maghous, S.; Schnaid, F. Experimental Analysis of the Mechanical Properties of Artificially Cemented Soils and Their Evolution in Time. In Proceedings of the 18th International Conference on Soil Mechanics and Geotechnical Engineering, Paris, France, 2–6 September 2013. [Google Scholar]
- Stones, Sandpits and Limestone Quarries in the Czech Republic. Available online: http://kamenolomy.fzp.ujep.cz/index.php?page=record&id=328&tab=chem (accessed on 18 October 2025).
- Bzowka, J.; Nguyen, G. The differences in determination of soil deformation characteristics between European Document, Polish and Slovak Standards. Zesz. Nauk. Politech. Białost. Bud. 2006, 28, 45–57. [Google Scholar]










| Soil Parameters | Danube Sand | Polanka Sand |
|---|---|---|
| Soil classification [12] | SM | S-F |
| Water content (%) | 2.20 | 0.38 |
| Plastic limit (%) | 20.94 | - |
| Liquid limit (%) | 21.99 | - |
| Plasticity index (%) | 1.05 | - |
| Mean grain size D50 (mm) Coefficient of Uniformity Cc (-) | 0.11 | 0.36 |
| Coefficient of Uniformity Cu (-) | 8.28 | 3.11 |
| Coefficient of Curvature Cc (-) | 2.57 | 1.23 |
| Specific gravity of the solids (-) | 2.73 | 2.64 |
| Minimum void ratio (-) | 1.25 | 0.74 |
| Maximum void ratio (-) | 0.55 | 0.42 |
| Oed. and Param. | Oedometric Moduli Eoed Obtained from Oedometers A, B, C and D and Their Descriptive Statistics (Standard and Robust Measures) for 5 Intervals of Loading (No. 1 to 5), Danube Sand | ||||||||||||||
|---|---|---|---|---|---|---|---|---|---|---|---|---|---|---|---|
| Density Index ID = 0.15 | Density Index ID = 0.65 | Density Index ID = 0.85 | |||||||||||||
| 1 | 2 | 3 | 4 | 5 | 1 | 2 | 3 | 4 | 5 | 1 | 2 | 3 | 4 | 5 | |
| Oedometric moduli obtained from oedometers | |||||||||||||||
| A | 1.327 | 2.340 | 4.421 | 8.590 | 20.999 | 9.686 | 6.810 | 9.449 | 15.915 | 35.785 | 15.894 | 13.262 | 16.257 | 25.198 | 44.143 |
| B | 1.174 | 1.700 | 3.655 | 5.509 | 13.012 | 3.292 | 5.896 | 9.614 | 21.410 | 33.357 | 5.381 | 9.434 | 16.587 | 21.563 | 39.205 |
| C | 1.127 | 1.876 | 3.652 | 6.041 | 11.532 | 3.943 | 7.100 | 11.010 | 13.387 | 16.882 | 9.888 | 13.566 | 16.696 | 18.306 | 19.417 |
| D | 1.870 | 1.748 | 3.258 | 5.527 | 9.780 | 6.526 | 7.277 | 11.665 | 12.896 | 14.836 | 6.962 | 7.959 | 12.526 (*) | 13.829 | 16.476 |
| Standard descriptive statistics | |||||||||||||||
(MPa) | 1.397 | 1.916 | 3.747 | 6.417 | 13.831 | 5.862 | 6.771 | 10.435 | 15.902 | 25.215 | 9.531 | 11.055 | 15.517 | 19.724 | 29.810 |
| Range | 0.696 | 0.641 | 1.162 | 3.082 | 11.218 | 6.394 | 1.381 | 2.216 | 8.514 | 20.948 | 10.513 | 5.607 | 4.171 | 11.369 | 27.667 |
| SD | 0.322 | 0.292 | 0.487 | 1.470 | 4.958 | 2.907 | 0.614 | 1.079 | 3.903 | 10.881 | 4.635 | 2.792 | 2.003 | 4.834 | 13.899 |
| CV (%) | 23.04 | 15.26 | 12.99 | 22.91 | 35.85 | 49.59 | 9.07 | 10.34 | 24.54 | 43.15 | 48.63 | 25.26 | 12.91 | 24.51 | 46.62 |
| Robust descriptive statistics | |||||||||||||||
| MiA | 0.488 | 4.049 (*) | 2.611 | 7.109 (*) | 3.642 (*) | 1.856 | −0.419 | −0.746 | 0.565 | 0.777 | 2.236 | 0.625 | −0.506 | 1.030 | 0.880 |
| MiB | −0.861 | −0.861 | 0.004 | −0.697 | 0.309 | −0.810 | −3.062 | −0.603 | 3.020 | 0.600 | −0.911 | −0.625 | 0.506 | 0.319 | 0.587 |
| MiC | −0.488 | 0.488 | −0.004 | 0.652 | −0.309 | −0.539 | 0.419 | 0.603 | −0.565 | −0.600 | 0.438 | 0.724 | 0.843 | −0.319 | −0.587 |
| MiD | 5.272 (*) | −0.488 | −1.345 | −0.652 | −1.040 | 0.539 | 0.930 | 1.170 | −0.784 | −0.749 | −0.438 | −1.106 | −11.960 (*) | −1.195 | −0.762 |
| Eoed | 1.272 | 1.812 | 3.654 | 5.784 | 12.272 | 5.235 | 6.955 | 10.312 | 14.651 | 25.119 | 8.425 | 11.348 | 16.422 | 19.934 | 29.311 |
| Oed. and Param. | Oedometric Moduli Eoed Obtained from Oedometers A, B, C, and D and Their Descriptive Statistics (Standard and Robust Measures) for 5 Intervals of Loading (No. 1 to 5), Danube Sand | ||||||||||||||
|---|---|---|---|---|---|---|---|---|---|---|---|---|---|---|---|
| Density Index ID = 0.15 | Density Index ID = 0.65 | Density Index ID = 0.85 | |||||||||||||
| 1 | 2 | 3 | 4 | 5 | 1 | 2 | 3 | 4 | 5 | 1 | 2 | 3 | 4 | 5 | |
| Oedometric moduli obtained from oedometers | |||||||||||||||
| A | 1.323 | 2.297 | 4.292 | 8.243 | 19.906 | 9.685 | 6.795 | 9.394 | 15.737 | 35.160 | 15.894 | 13.245 | 16.205 | 25.040 | 43.691 |
| B | 1.169 | 1.662 | 3.520 | 5.230 | 12.118 | 3.292 | 5.859 | 9.513 | 21.074 | 32.677 | 5.381 | 9.397 | 16.479 | 21.357 | 38.649 |
| C | 1.210 | 1.834 | 3.523 | 5.744 | 10.774 | 3.940 | 7.058 | 10.906 | 13.200 | 16.520 | 9.888 | 13.537 | 16.630 | 18.179 | 19.176 |
| D | 1.867 | 1.726 | 3.170 | 5.293 | 9.189 | 6.523 | 7.250 | 11.583 | 12.749 | 14.553 | 6.961 | 7.935 | 12.449 (*) | 13.690 | 16.190 |
| Standard descriptive statistics | |||||||||||||||
(MPa) | 1.392 | 1.880 | 3.626 | 6.127 | 12.997 | 5.860 | 6.741 | 10.349 | 15.690 | 24.728 | 9.531 | 11.029 | 15.441 | 19.566 | 29.427 |
| Range | 0.698 | 0.635 | 1.122 | 3.013 | 10.717 | 6.393 | 1.391 | 2.189 | 8.324 | 20.607 | 10.513 | 5.602 | 4.181 | 11.350 | 27.500 |
| SD | 0.323 | 0.287 | 0.474 | 1.429 | 4.759 | 2.907 | 0.617 | 1.071 | 3.823 | 10.691 | 4.635 | 2.795 | 2.002 | 4.818 | 13.769 |
| CV (%) | 23.21 | 15.28 | 13.07 | 23.32 | 36.62 | 49.61 | 9.15 | 10.35 | 24.36 | 43.24 | 48.63 | 25.34 | 12.97 | 24.62 | 46.79 |
| Robust descriptive statistics | |||||||||||||||
| MiA | 0.494 | 4.055 (*) | 2.953 | 7.156 (*) | 3.897 (*) | 1.859 | −0.389 | −0.728 | 0.573 | 0.786 | 2.236 | 0.627 | −0.434 | 1.037 | 0.888 |
| MiB | −0.855 | −0.926 | −0.005 | −0.757 | 0.310 | −0.810 | −3.163 | −0.621 | 2.983 | 0.601 | −0.911 | −0.627 | 0.434 | 0.312 | 0.585 |
| MiC | −0.494 | 0.423 | 0.005 | 0.592 | −0.310 | −0.539 | 0.389 | 0.621 | −0.573 | −0.601 | 0.438 | 0.722 | 0.915 | −0.312 | −0.585 |
| MiD | 5.233 (*) | −0.423 | −1.344 | −0.592 | −1.039 | 0.539 | 0.960 | 1.225 | −0.776 | −0.748 | −0.438 | −1.103 | −12.336 (*) | −1.195 | −0.764 |
| Eoed | 1.267 | 1.780 | 3.521 | 5.518 | 11.446 | 5.232 | 6.927 | 10.210 | 14.468 | 24.599 | 8.425 | 11.321 | 16.342 | 19.768 | 28.913 |
| Oed. and Param. | Oedometric Moduli Eoed Obtained from Oedometers A, B, C and D and Their Descriptive Statistics (Standard and Robust Measures) for 5 Intervals of Loading (No. 1 to 5), Polanka Sand | ||||||||||||||
|---|---|---|---|---|---|---|---|---|---|---|---|---|---|---|---|
| Density Index ID = 0.15 | Density Index ID = 0.65 | Density Index ID = 0.85 | |||||||||||||
| 1 | 2 | 3 | 4 | 5 | 1 | 2 | 3 | 4 | 5 | 1 | 2 | 3 | 4 | 5 | |
| Oedometric moduli obtained from oedometers | |||||||||||||||
| A | 4.696 | 5.400 | 13.034 | 30.238 | 287.981 | 5.298 | 8.307 | 14.823 | 31.829 | 377.975 | 7.044 | 11.630 | 20.431 | 50.397 | 671.956 |
| B | 2.975 | 7.399 | 20.397 | 43.126 | 61.608 | 4.045 | 8.203 | 20.964 | 46.586 | 115.663 | 8.477 | 13.240 | 83.856 | 120.752 | 232.215 |
| C | 3.084 | 5.799 | 10.266 | 25.114 | 42.799 | 4.450 | 8.082 (*) | 27.132 | 104.784 | 108.527 | 9.439 | 21.102 | 75.969 | 1012.917 | 209.569 |
| D | 3.500 | 6.822 | 13.061 | 21.831 | 37.732 | 4.262 | 9.672 | 18.636 | 37.732 | 64.343 | 5.594 | 9.923 | 20.375 | 38.204 | 70.260 |
| Standard descriptive statistics | |||||||||||||||
(MPa) | 3.564 | 6.355 | 14.190 | 30.077 | 107.530 | 4.514 | 8.566 | 20.389 | 55.233 | 166.627 | 7.639 | 13.974 | 50.158 | 305.567 | 296.000 |
| Range | 1.721 | 1.999 | 10.131 | 21.295 | 250.249 | 1.253 | 1.590 | 12.309 | 72.955 | 313.632 | 3.844 | 11.179 | 63.480 | 974.713 | 601.696 |
| SD | 0.788 | 0.918 | 4.341 | 9.362 | 120.738 | 0.548 | 0.743 | 5.159 | 33.586 | 142.715 | 1.681 | 4.942 | 34.508 | 472.968 | 260.892 |
| CV (%) | 22.11 | 14.45 | 30.59 | 31.13 | 112.28 | 12.15 | 8.67 | 25.30 | 60.81 | 85.65 | 22.01 | 35.36 | 68.80 | 154.78 | 88.06 |
| Robust descriptive statistics | |||||||||||||||
| MiA | 3.608 (*) | −0.864 | −0.007 | 0.411 | 13.321 (*) | 3.140 | 0.311 | −1.093 | −0.944 | 6.989 (*) | −0.404 | −0.327 | −0.674 | −0.575 | 3.757 (*) |
| MiB | −0.814 | 1.032 | 3.547 (*) | 2.479 | 0.531 | −1.037 | −0.311 | 0.256 | 0.405 | 0.094 | 0.404 | 0.327 | 0.865 | 0.575 | 0.094 |
| MiC | −0.535 | −0.485 | −1.342 | −0.411 | −0.531 | 0.312 | −1.038 | 1.610 | 5.725 (*) | −0.094 | 0.945 | 3.525 (*) | 0.674 | 15.155 (*) | −0.094 |
| MiD | 0.535 | 0.485 | 0.007 | −0.938 | −0.818 | −0.312 | 8.480 (*) | −0.256 | −0.405 | −1.255 | −1.221 | −1.022 | −0.675 | −0.774 | −1.255 |
| Eoed | 3.292 | 6.311 | 13.047 | 27.676 | 52.204 | 4.356 | 8.255 | 19.800 | 42.159 | 112.095 | 7.761 | 12.435 | 48.200 | 85.574 | 220.892 |
| Oed. and Param. | Oedometric Moduli Eoed Obtained from Oedometers A, B, C and D and Their Descriptive Statistics (Standard and Robust Measures) for 5 Intervals of Loading (No. 1 to 5), Polanka Sand | ||||||||||||||
|---|---|---|---|---|---|---|---|---|---|---|---|---|---|---|---|
| Density Index ID = 0.15 | Density Index ID = 0.65 | Density Index ID = 0.85 | |||||||||||||
| 1 | 2 | 3 | 4 | 5 | 1 | 2 | 3 | 4 | 5 | 1 | 2 | 3 | 4 | 5 | |
| Oedometric moduli obtained from oedometers | |||||||||||||||
| A | 4.696 | 5.376 | 12.916 | 29.849 | 283.324 | 5.298 | 8.275 | 14.720 | 31.502 | 372.900 | 7.044 | 11.596 | 20.327 | 50.017 | 665.556 |
| B | 2.975 | 7.348 | 20.187 | 42.576 | 60.680 | 4.045 | 8.161 | 20.793 | 46.096 | 114.196 | 8.477 | 13.208 | 83.492 | 120.156 | 230.877 |
| C | 3.084 | 5.760 | 10.153 | 24.715 | 41.950 | 4.450 | 8.045 (*) | 26.923 | 103.784 | 107.387 | 9.438 | 21.056 | 75.711 | 1008.817 | 208.700 |
| D | 3.500 | 6.782 | 12.936 | 21.539 | 37.054 | 4.262 | 9.625 | 18.498 | 37.352 | 63.524 | 5.594 | 9.886 | 20.249 | 37.873 | 69.467 |
| Standard descriptive statistics | |||||||||||||||
(MPa) | 3.564 | 6.317 | 14.048 | 29.670 | 105.752 | 4.514 | 8.527 | 20.234 | 54.684 | 164.502 | 7.638 | 13.936 | 49.945 | 304.215 | 293.650 |
| Range | 1.721 | 1.972 | 10.034 | 21.037 | 246.269 | 1.253 | 1.581 | 12.203 | 72.282 | 309.376 | 3.844 | 11.170 | 63.243 | 970.944 | 596.089 |
| SD | 0.788 | 0.908 | 4.296 | 9.260 | 118.818 | 0.548 | 0.739 | 5.114 | 33.279 | 140.735 | 1.681 | 4.936 | 34.392 | 471.132 | 258.024 |
| CV (%) | 22.11 | 14.38 | 30.58 | 31.21 | 112.36 | 12.15 | 8.66 | 25.28 | 60.86 | 85.55 | 22.01 | 35.42 | 68.86 | 154.87 | 87.87 |
| Robust descriptive statistics | |||||||||||||||
| MiA | 3.608 (*) | −0.859 | −0.005 | 0.417 | 13.248 (*) | 3.138 | 0.332 | −1.094 | −0.945 | 6.978 (*) | −0.404 | −0.327 | −0.674 | −0.575 | 3.726 (*) |
| MiB | −0.814 | 1.033 | 3.519 (*) | 2.483 | 0.535 | −1.037 | −0.332 | 0.255 | 0.404 | 0.091 | 0.404 | 0.327 | 0.863 | 0.575 | 0.093 |
| MiC | −0.535 | −0.490 | −1.344 | −0.417 | −0.535 | 0.312 | −1.017 | 1.616 | 5.737 (*) | −0.091 | 0.945 | 3.515 (*) | 0.674 | 15.144 (*) | −0.093 |
| MiD | 0.535 | 0.490 | 0.005 | −0.932 | −0.814 | −0.312 | 8.247 (*) | −0.255 | −0.404 | −1.258 | −1.221 | −1.022 | −0.675 | −0.774 | −1.256 |
| Eoed | 3.292 | 6.271 | 12.926 | 27.282 | 51.315 | 4.356 | 8.218 | 19.646 | 41.724 | 110.792 | 7.761 | 12.402 | 48.019 | 85.086 | 219.788 |
| Differences in Oedometric Moduli Eoed Between Various ID (STN, ISO, Danube Sand) | ||||||||||||
|---|---|---|---|---|---|---|---|---|---|---|---|---|
| Standard | STN | ISO | ||||||||||
| ID | ID = 0.15 and ID = 0.65 | ID = 0.15 and ID = 0.85 | ID = 0.65 and ID = 0.85 | ID = 0.15 and ID = 0.65 | ID = 0.15 and ID = 0.85 | ID = 0.65 and ID = 0.85 | ||||||
| No. of Load interval | Diff. (MPa) | Diff. (%) | Diff. (MPa) | Diff. (%) | Diff. (MPa) | Diff. (%) | Diff. (MPa) | Diff. (%) | Diff. (MPa) | Diff. (%) | Diff. (MPa) | Diff. (%) |
| 1 | 3.963 | 311.51 | 7.153 | 562.31 | 3.190 | 60.94 | 3.965 | 312.98 | 7.158 | 565.02 | 3.193 | 61.03 |
| 2 | 5.143 | 283.81 | 9.536 | 526.23 | 4.393 | 63.16 | 5.147 | 289.11 | 9.541 | 535.95 | 4.394 | 63.44 |
| 3 | 6.658 | 182.24 | 12.768 | 349.48 | 6.110 | 59.25 | 6.689 | 189.95 | 12.821 | 364.10 | 6.132 | 60.06 |
| 4 | 8.867 | 153.29 | 14.150 | 244.64 | 5.284 | 36.06 | 8.950 | 162.19 | 14.250 | 258.23 | 5.300 | 36.63 |
| 5 | 12.847 | 104.68 | 17.039 | 138.84 | 4.192 | 16.68 | 13.153 | 114.92 | 17.467 | 152.61 | 4.314 | 17.54 |
| Differences in Oedometric Moduli Eoed Between Various ID (STN, ISO, Polanka Sand) | ||||||||||||
|---|---|---|---|---|---|---|---|---|---|---|---|---|
| Standard | STN | ISO | ||||||||||
| ID | ID = 0.15 and ID = 0.65 | ID = 0.15 and ID = 0.85 | ID = 0.65 and ID = 0.85 | ID = 0.15 and ID = 0.65 | ID = 0.15 and ID = 0.85 | ID = 0.65 and ID = 0.85 | ||||||
| No. of Load Interval | Diff. (MPa) | Diff. (%) | Diff. (MPa) | Diff. (%) | Diff. (MPa) | Diff. (%) | Diff. (MPa) | Diff. (%) | Diff. (MPa) | Diff. (%) | Diff. (MPa) | Diff. (%) |
| 1 | 1.064 | 32.32 | 4.469 | 135.74 | 3.405 | 78.17 | 1.064 | 32.32 | 4.469 | 135.74 | 3.405 | 78.16 |
| 2 | 1.945 | 30.81 | 6.125 | 97.05 | 4.180 | 50.63 | 1.947 | 31.05 | 6.131 | 97.76 | 4.184 | 50.91 |
| 3 | 6.753 | 51.75 | 35.153 | 269.42 | 28.400 | 143.43 | 6.719 | 51.98 | 35.093 | 271.49 | 28.374 | 144.43 |
| 4 | 14.483 | 52.33 | 57.899 | 209.20 | 43.415 | 102.98 | 14.442 | 52.93 | 57.804 | 211.88 | 43.363 | 103.93 |
| 5 | 59.891 | 114.73 | 168.688 | 323.13 | 108.797 | 97.06 | 59.477 | 115.91 | 168.474 | 328.31 | 108.997 | 98.38 |
| Differences in Oedometric Moduli Eoed Between Various STN and ISO (STN-ISO) | ||||||||||||
|---|---|---|---|---|---|---|---|---|---|---|---|---|
| Sand | Danube Sand | Polanka Sand | ||||||||||
| ID | ID = 0.15 | ID = 0.65 | ID = 0.85 | ID = 0.15 | ID = 0.65 | ID = 0.85 | ||||||
| No. of Load Interval | Diff. (MPa) | Diff. (%) | Diff. (MPa) | Diff. (%) | Diff. (MPa) | Diff. (%) | Diff. (MPa) | Diff. (%) | Diff. (MPa) | Diff. (%) | Diff. (MPa) | Diff. (%) |
| 1 | 0.005 | 0.41 | 0.003 | 0.06 | 0.0003 | 0.003 | 0.0002 | 0.003 | 0.0000 | 0.000 | 0.0003 | 0.003 |
| 2 | 0.032 | 1.76 | 0.028 | 0.41 | 0.027 | 0.24 | 0.039 | 0.63 | 0.037 | 0.45 | 0.033 | 0.27 |
| 3 | 0.132 | 3.62 | 0.102 | 0.99 | 0.080 | 0.49 | 0.121 | 0.93 | 0.154 | 0.78 | 0.181 | 0.38 |
| 4 | 0.266 | 4.60 | 0.182 | 1.24 | 0.166 | 0.83 | 0.394 | 1.42 | 0.435 | 1.03 | 0.488 | 0.57 |
| 5 | 0.827 | 6.73 | 0.521 | 2.07 | 0.398 | 1.36 | 0.889 | 1.70 | 1.303 | 1.16 | 1.104 | 0.50 |
| Loading Interval | Danube Sand | Polanka Sand | ||||||
|---|---|---|---|---|---|---|---|---|
| a | b | R | R2 | a | b | R | R2 | |
| 1 | 9.784 (9.209) | −0.406 (0) | 0.984 (0.995) | 0.968 (0.991) | 5.565 | 2.075 | 0.860 | 0.739 |
| 2 | 12.988 (12.328) | −0.467 (0) | 0.981 (0.995) | 0.962 (0.989) | 7.823 | 4.661 | 0.900 | 0.811 |
| 3 | 17.366 | 0.472 | 0.976 | 0.953 | 43.077 | 3.171 | 0.834 | 0.695 |
| 4 | 19.885 | 2.314 | 0.995 | 0.991 | 72.252 | 11.626 | 0.866 | 0.750 |
| 5 | 25.213 | 7.785 | 0.999 | 0.998 | 217.267 | 7.801 | 0.917 | 0.840 |
| Danube Sand | Polanka Sand | |||||
|---|---|---|---|---|---|---|
| ID = 0.15 | ID = 0.65 | ID = 0.85 | ID = 0.15 | ID = 0.65 | ID = 0.85 | |
| C0 | 113.9 | 12.074 | 4.8135 | 78.469 | 108.11 | 79.036 |
| n | −0.798 | −0.553 | −0.436 | −1.005 | −11.168 | −1.243 |
| R | 0.994 | 0.994 | 0.996 | 1.000 | 0.998 | 0.991 |
| R2 | 0.988 | 0.988 | 0.993 | 0.999 | 0.996 | 0.981 |
Disclaimer/Publisher’s Note: The statements, opinions and data contained in all publications are solely those of the individual author(s) and contributor(s) and not of MDPI and/or the editor(s). MDPI and/or the editor(s) disclaim responsibility for any injury to people or property resulting from any ideas, methods, instructions or products referred to in the content. |
© 2025 by the authors. Licensee MDPI, Basel, Switzerland. This article is an open access article distributed under the terms and conditions of the Creative Commons Attribution (CC BY) license (https://creativecommons.org/licenses/by/4.0/).
Share and Cite
Nguyen, G.; Bulko, R.; Adamová, V.; Mihalík, J. Influence of Relative Density of Sands on Their Oedometric Moduli. Appl. Sci. 2025, 15, 12895. https://doi.org/10.3390/app152412895
Nguyen G, Bulko R, Adamová V, Mihalík J. Influence of Relative Density of Sands on Their Oedometric Moduli. Applied Sciences. 2025; 15(24):12895. https://doi.org/10.3390/app152412895
Chicago/Turabian StyleNguyen, Giang, Roman Bulko, Veronika Adamová, and Ján Mihalík. 2025. "Influence of Relative Density of Sands on Their Oedometric Moduli" Applied Sciences 15, no. 24: 12895. https://doi.org/10.3390/app152412895
APA StyleNguyen, G., Bulko, R., Adamová, V., & Mihalík, J. (2025). Influence of Relative Density of Sands on Their Oedometric Moduli. Applied Sciences, 15(24), 12895. https://doi.org/10.3390/app152412895

