Traffic Impact Analysis of Acceleration Lane Length Considering Dedicated Lane Location for Connected and Autonomous Vehicles: A Virtual Segment Study of Chinese Expressways
Abstract
1. Introduction
2. Methodology: Design of Research Schemes Considering the Position of Dedicated CAV Lanes
- Human-driven Vehicles (HVs) are not allowed to enter the dedicated CAV lane;
- All CAVs in this study switch to manual driving mode before executing lane changes.
3. Simulation Experiment Design
4. Microscopic Traffic Simulation Model Parameter Settings
4.1. Car-Following Model Parameter Settings
4.1.1. Human-Driven Vehicles
4.1.2. Connected and Autonomous Vehicles
4.2. Lane-Changing Model Parameter Settings
5. Analysis and Discussion of Simulation Results
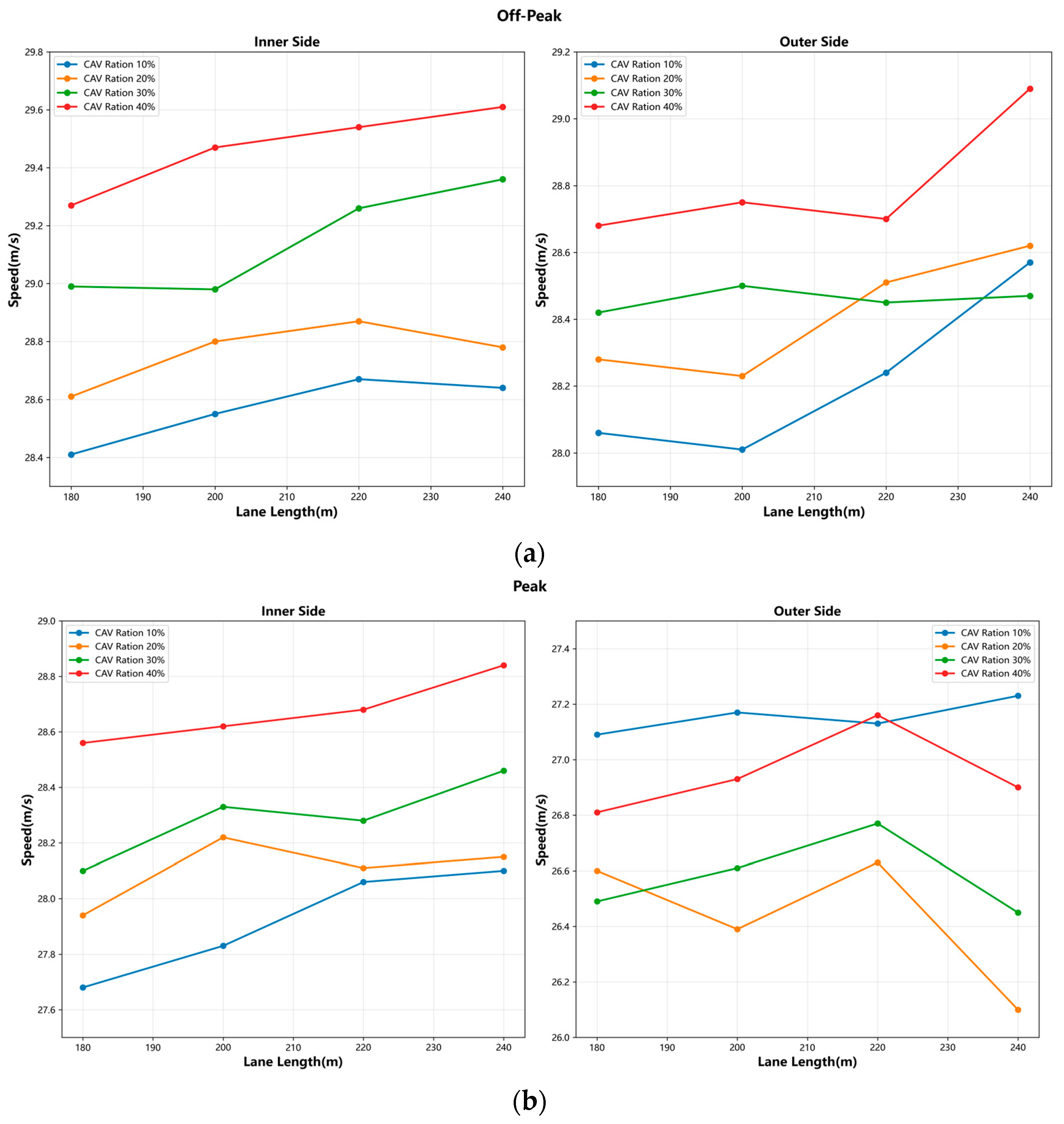
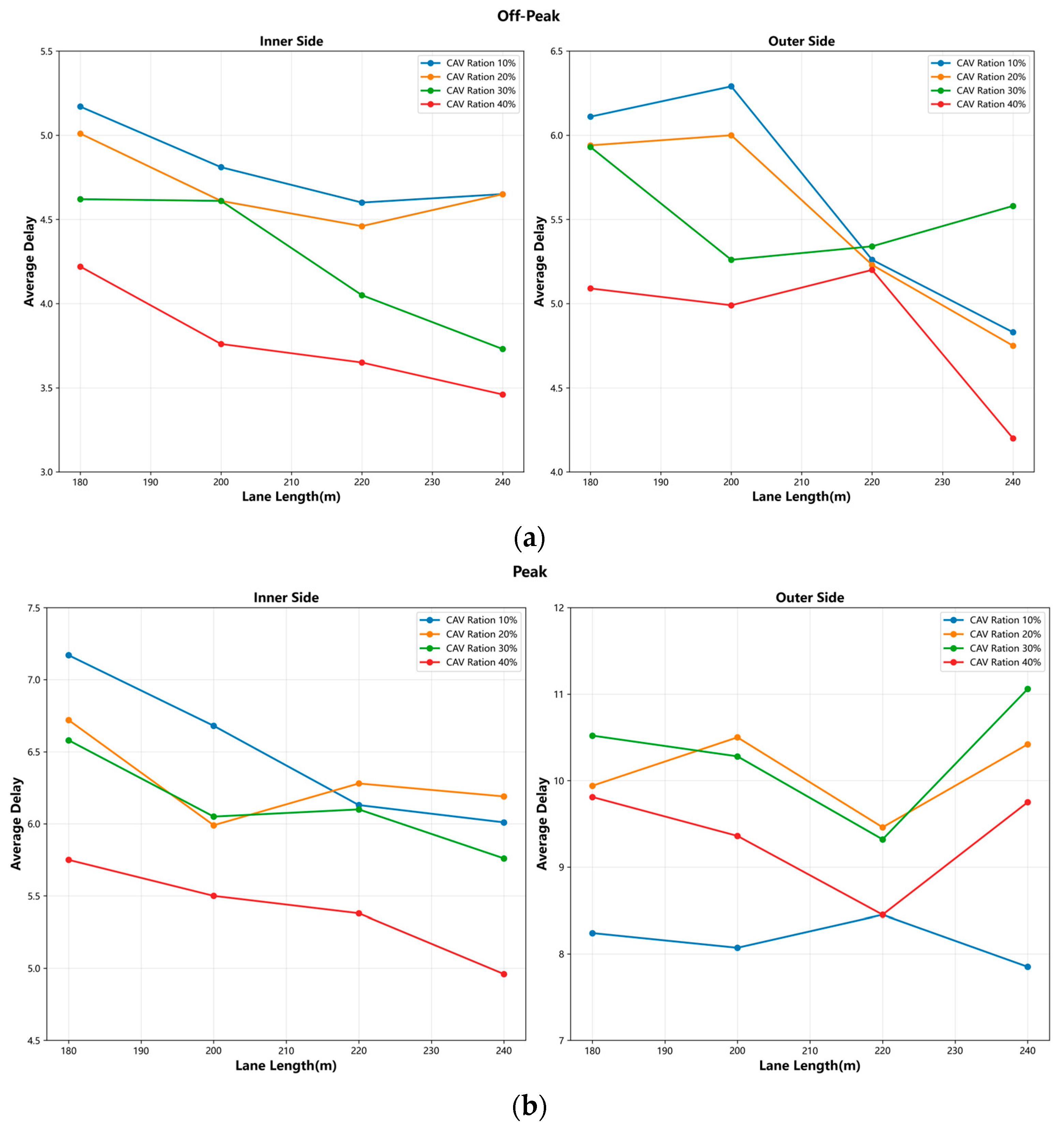
5.1. Impact of Acceleration Lane Length on Highway Efficiency Uner Different Merging Area Configurations
5.2. Impact of Acceleration Lane Length on the Safety of Dedicated Lane Highways Under Different Merging Area Configurations
6. Conclusions
- (1)
- Limited Impact on Traffic Efficiency: Increasing the length of the acceleration lane in highway merging areas has a limited effect on improving overall traffic efficiency. While a general trend of increasing average speed and decreasing average delay was observed with longer acceleration lanes, the magnitude of these improvements was marginal. The maximum increase in average speed ranged from only 0.28% to 2% during off-peak periods and 0.52% to 1.52% during peak periods. Similarly, the reduction in average delay was confined to a range of 0.39 s to 1.74 s.
- (2)
- Superiority of Innermost Lane Placement: The positioning of the dedicated CAV lane has a more pronounced effect on traffic performance than the acceleration lane length. Setting the dedicated lane on the innermost side of the mainline consistently resulted in better traffic efficiency (higher average speeds and lower delays) and significantly enhanced safety (fewer vehicle conflicts) compared to the outermost placement. The outermost lane configuration induced more mandatory lane-changing maneuvers for human-driven vehicles, leading to increased traffic turbulence and conflict points, especially during peak periods.
- (3)
- Distinct Safety Outcomes: From a safety perspective, the innermost dedicated lane configuration demonstrated a clear advantage, maintaining a low number of vehicle conflicts (0–7 during peak hours) that decreased with longer acceleration lanes at higher CAV penetration rates. In contrast, the outermost lane configuration led to a substantially higher number of conflicts (43–287 during peak hours), as it placed merging and lane-changing activities in a more complex and high-interaction zone.
Author Contributions
Funding
Institutional Review Board Statement
Informed Consent Statement
Data Availability Statement
Conflicts of Interest
References
- Ma, S.-H.; Wang, Y.-Q.; Yue, M.; Yang, L.; Yang, T. Theoretical Study and Practical Exploration of Modernization of Expressway Construction Management. J. Highw. Transp. Res. Dev. 2022, 39, 239–246. [Google Scholar]
- Li, W.-Q.; Wang, L.; Wang, W. Empirical Highway Capacity Model of On-Ramp Junction. Traffic Transp. Eng. 2004, 4, 5–12. [Google Scholar]
- Jiang, Y.-S.; Hao, H.-J.; Yao, Z. Stability Analysis and Fundamental Diagram Analysis of Road Sections of Heterogeneous Traffic Flow Mixed with Connected Automated Vehicles. Ind. Eng. 2022, 25, 92–100. [Google Scholar]
- Qian, Z.; Tian, C.; Guo, Y.; Wang, X. The Key Technology and Development of Intelligent and Connected Transportation System. Electron. Inf. Technol. 2020, 42, 2–19. [Google Scholar]
- Zhang, X.; Wang, R.; Fan, H.; Zhao, X.; Yuan, S. Research and Simulation of Vehicle Cooperative Guidance Strategy on Connected and Signalized Intersections under Mixed Traffic Environment. Automob. Technol. 2021, 553, 1–6. [Google Scholar]
- Rad, S.R.; Farah, H.; Taale, H.; van Arem, B.; Hoogendoorn, S.P. Design and Operation of Dedicated Lanes for Connected and Automated Vehicles on Motorways: A Conceptual Framework and Research Agenda. Transp. Res. Part C Emerg. Technol. 2020, 117, 102664. [Google Scholar] [CrossRef]
- Abdel-Aty, M.; Wu, Y.; Saad, M.; Rahman, S. Safety and Operational Impact of Connected Vehicles’ Lane Configuration on Freeway Facilities with Managed Lanes. Accid. Anal. Prev. 2020, 144, 105616. [Google Scholar] [CrossRef]
- Talebpour, A.; Mahmassani, H.S.; Elfar, A. Investigating the Effects of Reserved Lanes for Autonomous Vehicles on Congestion and Travel Time Reliability. Transp. Res. Rec. 2017, 2622, 1–12. [Google Scholar] [CrossRef]
- Li, R. Study on Traffic Management of Autonomous Vehicles. Ph.D. Thesis, People’s Public Security University of China, Beijing, China, 2019. [Google Scholar]
- Wang, L. Research on System Control Strategy of CAV in Mixed Traffic Flow under Network Connected Environment. Ph.D. Thesis, Jilin University, Changchun, China, 2021. [Google Scholar]
- Zhang, W.; Zhang, H.; Ding, H.; Ding, H.; Di, Y.; Liu, J. CAV-dedicated lane sharing strategy of expressway in mixed traffic environment: A novel dynamic lane-level tolling method. Transp. Res. Part A Policy Pract. 2025, 199, 104567. [Google Scholar] [CrossRef]
- Qin, Y.; Luo, Q.; He, Z. Management and Control Method of Dedicated Lanes for Mixed Traffic Flows with Connected and Automated Vehicles. J. Traffic Transp. Eng. 2023, 23, 221–231. [Google Scholar]
- Han, L.; Zhang, X.; Shi, H. The Connected Autonomous Vehicle Dedicated Lane Network Design. J. Chongqing Norm. Univ. Nat. Sci. 2023, 40, 44–52. [Google Scholar]
- Long, W.; Wang, W.; Jin, K. System-Level Evaluation of Autonomous Vehicle Lane Deployment Strategies Under Mixed Traffic Flow. Systems 2025, 13, 958. [Google Scholar] [CrossRef]
- Wu, R.; Li, L.; Shi, H.; Rui, Y.; Ngoduy, D.; Ran, B. Integrated driving risk surrogate model and car-following behavior for freeway risk assessment. Accid. Anal. Prev. 2024, 201, 107571. [Google Scholar] [CrossRef]
- Wang, Y.; Zhou, C.; Zeng, Y.; Gao, Y.; Rong, J.; Xiao, Y. Modeling of car-following behavior at signalized intersection considering vehicle-vehicle and vehicle-road interactions. Phys. A Stat. Mech. Its Appl. 2025, 678, 130970. [Google Scholar] [CrossRef]
- Li, S.; Zhou, B.; Xu, M. Analysis and improvement of car-following stability for connected automated vehicles with multiple information uncertainties. Appl. Math. Modell. 2023, 123, 790–809. [Google Scholar] [CrossRef]
- Liu, G.; Zheng, N.; Wang, H. Cooperative control method for connected and automated vehicle platoon based on arbitrary time headway switched system. Transp. Res. Part C Emerg. Technol. 2025, 180, 105353. [Google Scholar] [CrossRef]
- Qin, Y.; Liu, M.; Hao, W. Energy-optimal car-following model for connected automated vehicles considering traffic flow stability. Energy 2024, 298, 131333. [Google Scholar] [CrossRef]
- Yang, M.; Yang, X.; Mu, C.; Zhu, S. Influence Factors and Model Selection for Conflict Risk in Different Car-Following Behaviors: Insights from Automated and Human-Driven Vehicles. Accid. Anal. Prev. 2026, 224, 108286. [Google Scholar] [CrossRef]
- Wang, Y.; Qin, Y.; Luo, Z.; Wang, H. Capacity improvement for mixed traffic flow by installing vehicle-to-vehicle devices on partial human-driven vehicles to serve connected automated vehicles. Phys. A Stat. Mech. Its Appl. 2025, 2025, 130763. [Google Scholar] [CrossRef]
- Wenju, D.; Zhekai, H.; Shukai, L.; Jiangang, Z. Fundamental diagram and stability analysis of mixed traffic flow considering platoon intensity and multiclass time delay. Phys. A Stat. Mech. Its Appl. 2025, 2025, 130847. [Google Scholar] [CrossRef]
- Sun, L.; Song, X.; Yang, F.; Li, Y. Setting Position of Automatic Driving Lane on Six-Lane Expressway. Highway 2022, 67, 261–267. [Google Scholar]
- Liu, H.; Song, X.; Liu, B.; Liu, J.; Gao, H.; Liang, Y. A dynamic lane-changing driving strategy for CAV in diverging areas based on MPC system. Sensor 2023, 23, 559. [Google Scholar] [CrossRef]
- Hu, X.; Li, M.; Jiang, X. Dynamic Control Method for CAV-Shared Lanes at Intersections in Mixed Traffic Flow. Sustainability 2024, 16, 9706. [Google Scholar] [CrossRef]
- Gao, J.; Yu, B.; Chen, Y.; Wang, J.; Dai, Z.; Gao, K. Meta-MSCC: A foundation model for adaptive CAV control in highway weaving segments. Transp. Res. Part C Emerg. Technol. 2025, 181, 105397. [Google Scholar] [CrossRef]
- Liu, X.; Hang, P.; Wang, Y.; Sun, J. A cooperative decision-making method for CAVs from the perspective of opinion dynamics. Transp. Res. Part C Emerg. Technol. 2026, 182, 105412. [Google Scholar] [CrossRef]
- Peng, J.; Shangguan, W.; Chen, J.; Peng, C.; Arman, M.A.; Cai, B.; Tampére, C.M. Two-stage adaptive CAV control for mitigating congestion in mixed traffic environments using front-tracking method. Expert Syst. Appl. 2026, 296, 129013. [Google Scholar] [CrossRef]
- Xu, Z.; Zheng, Z.; Xiao, D.; Tu, R.; Ma, W.; Zheng, N. Assessing the impact of passenger compliance behavior in CAVs on environmental benefits. Transp. Res. Part D Transp. Environ. 2024, 133, 104278. [Google Scholar] [CrossRef]
- Ye, L.; Yamamoto, T. Impact of Dedicated Lanes for Connected and Autonomous Vehicles on Traffic Flow Throughput. Physica A 2018, 512, 588–597. [Google Scholar] [CrossRef]
- Ministry of Transport of the People’s Republic of China. Design Specification for Highway Alignment: JTG D20-2017; China Communications Press: Beijing, China, 2017. [Google Scholar]
- Wang, D.; Jin, S. Review and Outlook of Modeling of Car Following Behavior. China J. Highw. Transp. 2012, 25, 115–127. [Google Scholar]
- Gazis, D.C.; Herman, R.; Rothery, R.W. Nonlinear Follow-the-Leader Models of Traffic Flow. Oper. Res. 1961, 9, 545–567. [Google Scholar] [CrossRef]
- Kometa, N.; Sasaki, T. Dynamic Behavior of Traffic with a Nonlinear Spacing-Speed Relationship. In Dynamic Behavior of Traffic; Elsevier: New York, NY, USA, 1959; pp. 105–119. [Google Scholar]
- Treiber, M.; Hennecke, A.; Helbing, D. Congested Traffic States in Empirical Observations and Microscopic Simulations. Phys. Rev. E 2000, 62, 1805–1824. [Google Scholar] [CrossRef] [PubMed]
- Wolfram, S. A New Kind of Science; Wolfram Media: Champaign, IL, USA, 2002. [Google Scholar]
- Qin, Y.; Wang, H.; Ran, B. Car-Following Modeling for CACC Vehicles and Mixed Traffic Flow Analysis. J. Transp. Syst. Eng. Inf. Technol. 2018, 18, 6–14. [Google Scholar]
- Milanés, V.; Shladover, S.E. Modeling Cooperative and Autonomous Adaptive Cruise Control Dynamic Responses Using Experimental Data. Transp. Res. Part C Emerg. Technol. 2014, 48, 285–300. [Google Scholar] [CrossRef]
- Sun, L.; Zhang, J.; Zhou, Y.; Xu, A. Design of Entrance Area of Automatic Driving Special Lane in Vehicle-Infrastructure Collaborative Environment. J. Highw. Transp. Res. Dev. 2020, 37, 122–129. [Google Scholar]




| No. | Period | L (m) | Dedicated Lane Position |
|---|---|---|---|
| 1 | Off-Peak | 180 | Innermost Lane |
| 2 | Peak | 180 | Innermost Lane |
| 3 | Off-Peak | 200 | Innermost Lane |
| 4 | Peak | 200 | Innermost Lane |
| 5 | Off-Peak | 220 | Innermost Lane |
| 6 | Peak | 220 | Innermost Lane |
| 7 | Off-Peak | 240 | Innermost Lane |
| 8 | Peak | 240 | Innermost Lane |
| 9 | Off-Peak | 180 | Outermost Lane |
| 10 | Peak | 180 | Outermost Lane |
| 11 | Off-Peak | 200 | Outermost Lane |
| 12 | Peak | 200 | Outermost Lane |
| 13 | Off-Peak | 220 | Outermost Lane |
| 14 | Peak | 220 | Outermost Lane |
| 15 | Off-Peak | 240 | Outermost Lane |
| 16 | Peak | 240 | Outermost Lane |
| Parameter | am (m·s−2) | v0 (m·s−1) | s0 (m) | T (s) | b (m·s−2) |
|---|---|---|---|---|---|
| Value | 1 | 33.3 | 2 | 1.5 | 2 |
| Parameter Name | Description | Default Value/Range |
|---|---|---|
| lcStrategic | Willingness to perform strategic lane changes. Higher values lead to earlier lane change initiation. | Default: 1.0 Range: [0, +∞) |
| lcCooperative | Willingness to perform cooperative lane changes. Lower values indicate reduced cooperative behavior. | Default: 1.0 Range: [0, 1] |
| lcSpeedGain | Desire to change lanes for higher driving speeds. Higher values result in more frequent speed-oriented lane changes. | Default: 1.0 Range: [0, +∞) |
| Vehicle Type | lcStrategic | lcCooperative | lcSpeedGain |
|---|---|---|---|
| Human-driven Vehicles | 2 | 1 | 1 |
| Intelligent and Connected Vehicles | 1 | 1 | 1.5 |
Disclaimer/Publisher’s Note: The statements, opinions and data contained in all publications are solely those of the individual author(s) and contributor(s) and not of MDPI and/or the editor(s). MDPI and/or the editor(s) disclaim responsibility for any injury to people or property resulting from any ideas, methods, instructions or products referred to in the content. |
© 2025 by the authors. Licensee MDPI, Basel, Switzerland. This article is an open access article distributed under the terms and conditions of the Creative Commons Attribution (CC BY) license (https://creativecommons.org/licenses/by/4.0/).
Share and Cite
Li, J.; Gong, Y.; Li, L.; Mao, P.; Wang, H.; Qu, X. Traffic Impact Analysis of Acceleration Lane Length Considering Dedicated Lane Location for Connected and Autonomous Vehicles: A Virtual Segment Study of Chinese Expressways. Appl. Sci. 2025, 15, 12854. https://doi.org/10.3390/app152412854
Li J, Gong Y, Li L, Mao P, Wang H, Qu X. Traffic Impact Analysis of Acceleration Lane Length Considering Dedicated Lane Location for Connected and Autonomous Vehicles: A Virtual Segment Study of Chinese Expressways. Applied Sciences. 2025; 15(24):12854. https://doi.org/10.3390/app152412854
Chicago/Turabian StyleLi, Jian, Yan Gong, Li Li, Peipei Mao, Hao Wang, and Xu Qu. 2025. "Traffic Impact Analysis of Acceleration Lane Length Considering Dedicated Lane Location for Connected and Autonomous Vehicles: A Virtual Segment Study of Chinese Expressways" Applied Sciences 15, no. 24: 12854. https://doi.org/10.3390/app152412854
APA StyleLi, J., Gong, Y., Li, L., Mao, P., Wang, H., & Qu, X. (2025). Traffic Impact Analysis of Acceleration Lane Length Considering Dedicated Lane Location for Connected and Autonomous Vehicles: A Virtual Segment Study of Chinese Expressways. Applied Sciences, 15(24), 12854. https://doi.org/10.3390/app152412854
