Earthquake Ground Motion Characteristics as a Function of a Preprocessing Procedure
Featured Application
Abstract
1. Introduction
| Study | Processing Step | Contents | |
|---|---|---|---|
| NGA East [6] | Filtering | Filter pole (n) selection | High-pass: 5 poles Low-pass: 4 poles |
| Corner frequency selection | Based on f2 acceleration decay model and SNR | ||
| Baseline correction |
| ||
| USGS [7] | Filtering | Filter pole (n) selection | High-pass: 5 poles Low-pass: 5 poles |
| Corner frequency selection | Wider bandwidth than fmin to fmax SNR > SNRmin | ||
| Baseline correction |
| ||
| KIGAM [8] | Filtering | Filter pole (n) selection | High-pass: 2 poles Low-pass: 2 poles |
| Corner frequency selection | High-pass: fc = 0.1 Hz Low-pass: fc = 25 Hz | ||
| Baseline correction |
| ||
2. Seismic Networks
3. Ground Motion Preprocessing Procedure
3.1. Instrument Response Correction
3.2. Signal Window Selection
- Start time: Identify the first time point where the slope of the smoothed NAI exceeds ten times the average slope observed from the record’s beginning up to that point. Smoothing is performed using a moving average over a ±2.5 s window, and slope inspection begins 10 s after the initial time.
- End time: Define the end of the SW as the point where the NAI slope first falls below twice the average slope before the start time.
- Buffer Padding: Add 5 s before the start time and 10 s after the end time to define the final SW.
3.3. Filtering
3.3.1. Determination of Corner Frequencies
3.3.2. Tapering
3.3.3. Zero Padding
3.3.4. Acausal Butterworth Filter
3.3.5. Zero Pad Removal
3.4. Baseline Correction
- 1.
- Double integration of the filtered acceleration time history to obtain the displacement time history;
- 2.
- Application of a 6th-order polynomial regression to the displacement time history, with the 0th and 1st order coefficients constrained to zero;
- 3.
- Differentiation of the fitted 6th-order polynomial twice to convert it into acceleration form, followed by subtraction of this trend from the original acceleration time history;
- 4.
- Re-integration of the corrected acceleration time history to verify convergence in the displacement record.
- Single integration of the acceleration time history to obtain the velocity time history;
- Application of a 4th-order polynomial regression to the velocity time history;
- Subtraction of the fitted trend from the velocity record;
- Differentiation of the corrected velocity time history to reconstruct the acceleration record.
4. Ground Motion Characteristics Depending on Preprocessing Methods
- Instrument response correction to convert the raw count-based record into a physical quantity (acceleration or velocity);
- Definition of the SW using the Arias Intensity-based method;
- Examination of waveform characteristics with varying n and corner frequencies in the ABF;
- Evaluation of the effects of varying ZP length and regression polynomial degree during baseline correction.
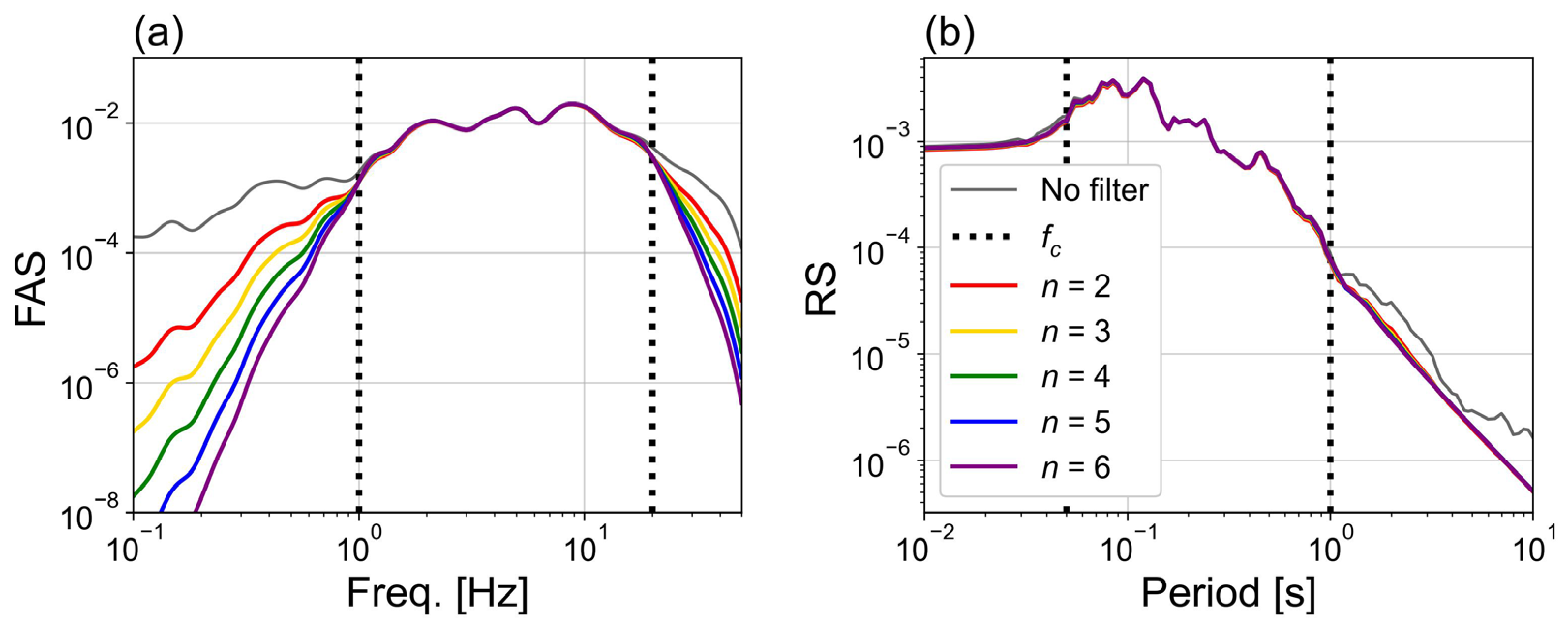
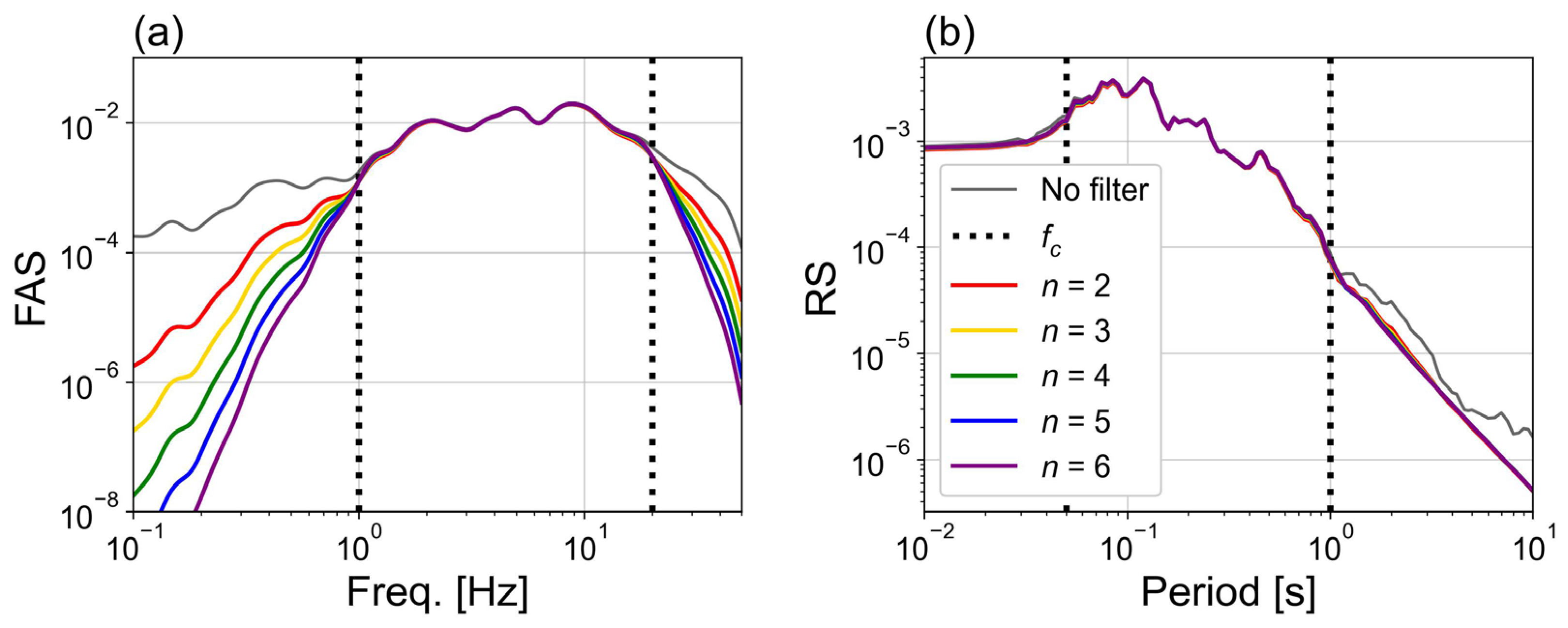
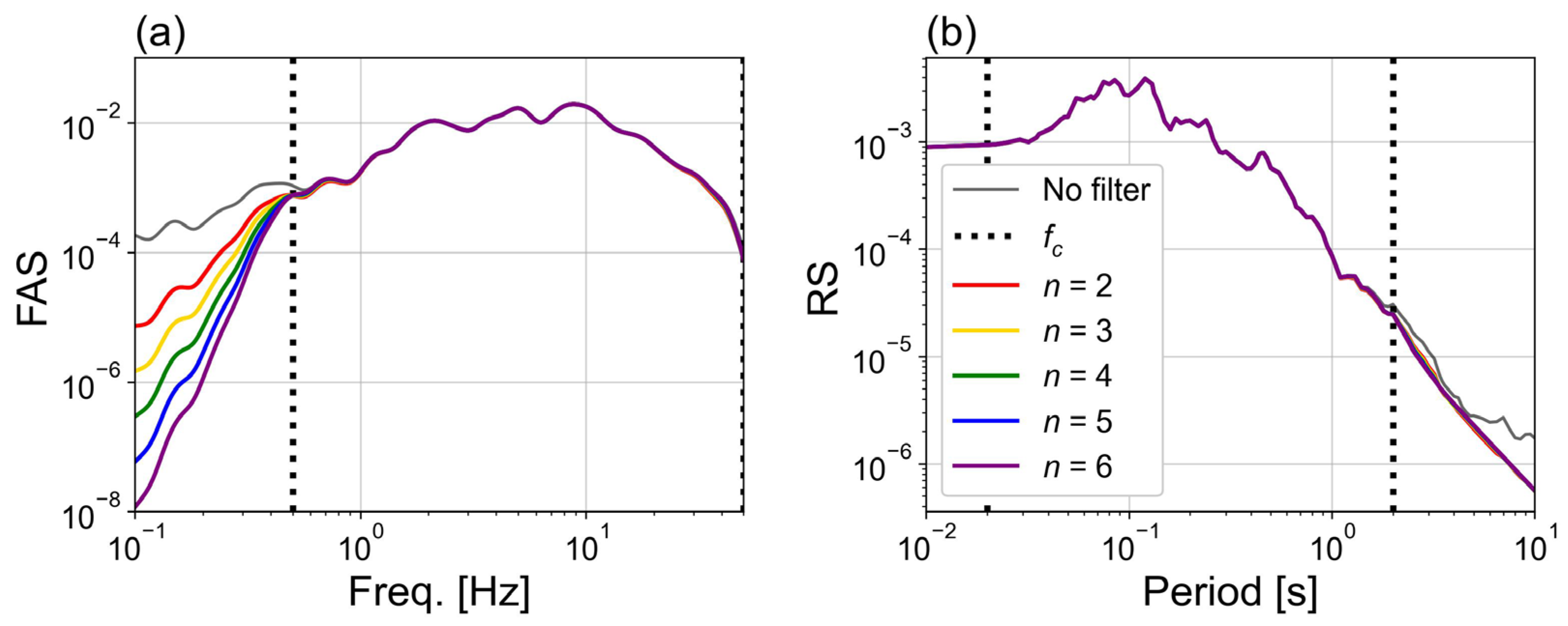
4.1. Butterworth Filter
4.2. Baseline Correction
4.2.1. Zero Padding Length
4.2.2. Polynomial Regression Order
4.3. Recommendation of Preprocessing Procedure
- Instrument Response Correction: For KMA records, the instrument response correction is performed by first retrieving the station-specific response file (RESP) from the NECIS. If the RESP file is unavailable, alternative response files provided by previous studies [11,12] are used to convert raw counts into physical quantities (i.e., acceleration or velocity time histories).
- SW Selection: To capture the primary energy content of the ground motion while minimizing background noise, the time gradient of the NAI is utilized to define the SW. Start time is the first time point where the NAI gradient exceeds 10 times the mean gradient of the preceding segment. End time is the first time point where the gradient falls below 2 times the average of the initial period. Additional 5 s before and 10 s after are appended to the window to form the final SW.
- Filtering: An ABF is employed, with a filter order of n = 4. The corner frequencies (fc-hp and fc-lp) are determined based on the following criteria; (1) the frequency range where the SNR exceeds 3 is used to define fc-hp and fc-lp; (2) if SNR increases again in the low-frequency range (<1 Hz), the corresponding frequency is assigned as fc-hp. Prior to filtering, a zero-padding length of 1.5 n/fc-hp is added to both ends of the SW. After filtering, ZP is trimmed remaining 0.5 n/fc-hp such that any artificially generated waveform is sufficiently attenuated.
- Baseline Correction: The filtered acceleration time history is twice integrated to compute the displacement time history. A 6th-order polynomial regression, with the 0th and 1st orders constrained to zero, is then fitted to the displacement. The fitted curve is then twice differentiated and subtracted from the original acceleration time history. Finally, the corrected acceleration is again twice integrated to verify that the displacement time history converges toward zero, confirming the adequacy of the baseline correction.
4.4. Application to Strong Ground Motion
5. Conclusions
- Signal Window Selection: A method based on the time gradient of NAI was proposed to define the SW. Adding a padding of 5 s before the signal onset and 10 s after the end was found to be appropriate to compensate the starting and ending times of the event.
- Filtering: The application of the ABF showed that increasing the filter order not only enhances noise suppression outside the corner frequency range but also increases waveform distortion near the filter boundaries. A higher high-pass corner frequency leads to a greater reduction in the long-period range of the RS. However, varying the filter order from 2 to 6 had negligible effects on the RS.
- Baseline Correction: To minimize ABF-induced distortion and suppress displacement drift, it was effective to retain the ZP segment of length 0.5 n/fc before the start of the SW. For baseline correction, the displacement-based 6th-order polynomial fitting method provided sufficient stability and convergence. Nonetheless, overfitting with higher-order polynomials introduced low- and high-frequency attenuations, highlighting the need for careful selection of the regression order.
Author Contributions
Funding
Data Availability Statement
Acknowledgments
Conflicts of Interest
Abbreviations
| ABF | Acausal Butterworth filter |
| FAS | Fourier amplitude spectrum |
| NAI | Normalized Arias intensity |
| PGA | Peak Ground Acceleration |
| RS | Response spectrum |
| SNR | Signal-to-noise ratio |
| SW | Signal window |
| ZP | Zero padding |
References
- Bozorgnia, Y.; Abrahamson, N.A.; Atik, L.A.; Ancheta, T.D.; Atkinson, G.M.; Baker, J.W.; Baltay, A.; Boore, D.M.; Campbell, K.W.; Chiou, B.S.J.; et al. NGA-West2 research project. Earthq. Spectra 2014, 30, 973–987. [Google Scholar] [CrossRef]
- Dawood, H.M.; Rodriguez-Marek, A.; Bayless, J.; Goulet, C.; Thompson, E. A Flatfile for the KiK-net Database Processed Using an Automated Protocol. Earthq. Spectra 2016, 32, 1281–1302. [Google Scholar] [CrossRef]
- Jones, J.; Kalkan, E.; Stephens, C.; Ng, P. PRISM Software: Processing and Review Interface for Strong-Motion Data. Seismol. Res. Lett. 2017, 88, 851–866. [Google Scholar] [CrossRef]
- Puglia, R.; Russo, E.; Luzi, L. Strong-motion processing service: A tool to access and analyse earthquakes strong-motion waveforms. Bull. Earthq. Eng. 2018, 16, 2641–2651. [Google Scholar] [CrossRef]
- Ancheta, T.D.; Darragh, R.B.; Stewart, J.P.; Seyhan, E.; Silva, W.J.; Chiou, B.S.J.; Wooddell, K.E.; Graves, R.W.; Kottke, A.R.; Boore, D.M.; et al. NGA-West2 database. Earthq. Spectra 2014, 30, 989–1005. [Google Scholar] [CrossRef]
- Goulet, C.A.; Kishida, T.; Ancheta, T.D.; Cramer, C.H.; Darragh, R.B.; Silva, W.J.; Hashash, Y.M.; Harmon, J.; Parker, G.A.; Stewart, J.P.; et al. PEER NGA-east database. Earthq. Spectra 2021, 37, 1331–1353. [Google Scholar] [CrossRef]
- Thompson, E.M.; Hearne, M.; Aagaard, B.T.; Rekoske, J.M.; Worden, C.B.; Moschetti, M.P.; Hunsinger, H.E.; Ferragut, G.C.; Parker, G.A.; Smith, J.A.; et al. Automated, near real time ground motion processing at the US Geological Survey. Seism. Res. Lett. 2025, 96, 538–553. [Google Scholar] [CrossRef]
- Lee, M.G.; Kim, Y.; Cho, H.I.; Kim, H.S.; Sun, C.G.; Seong, Y.J.; Che, I.Y. KIGAM Quake: An open platform for seismological data and earthquake research information. Geomech. Eng. 2024, 37, 279–291. [Google Scholar]
- National Earthquake Comprehensive Information System (NECIS). Available online: https://necis.kma.go.kr/ (accessed on 15 October 2025).
- Beyreuther, M.; Barsch, R.; Krischer, L.; Megies, T.; Behr, Y.; Wassermann, J. ObsPy: A Python Toolbox for Seismology. Seismol. Res. Lett. 2010, 81, 530–533. [Google Scholar] [CrossRef]
- Lim, H.; Kim, Y.H. A dataset of seismic sensor responses of South Korea seismic stations. J. Geol. Soc. Korea 2020, 56, 515–524. [Google Scholar] [CrossRef]
- Ahn, B.S.; Kang, T.; Jung, J.O. Station metadata integration of regional seismic networks in the southern Korean Peninsula. J. Geol. Soc. Korea 2024, 60, 111–119. [Google Scholar] [CrossRef]
- Butterworth, S. On the theory of filter amplifiers. Wirel. Eng. 1930, 7, 536–541. [Google Scholar]
- Konno, K.; Ohmachi, T. Ground-motion characteristics estimated from spectral ratio between horizontal and vertical components of microtremor. Bull. Seism. Soc. Am. 1998, 88, 228–241. [Google Scholar] [CrossRef]
- Converse, A.; Brady, A.G. BAP: Basic Strong-Motion Accelerogram Processing Software, Version 1.0; US Department of the Interior, US Geological Survey: Reston, VA, USA, 1992.
- Boore, D.M. On pads and filters: Processing strong-motion data. Bull. Seism. Soc. Am. 2005, 95, 745–750. [Google Scholar] [CrossRef]
- Boore, D.M.; Bommer, J.J. Processing of strong-motion accelerograms: Needs, options and consequences. Soil Dynam. Earthq. Eng. 2005, 25, 93–115. [Google Scholar] [CrossRef]





















Disclaimer/Publisher’s Note: The statements, opinions and data contained in all publications are solely those of the individual author(s) and contributor(s) and not of MDPI and/or the editor(s). MDPI and/or the editor(s) disclaim responsibility for any injury to people or property resulting from any ideas, methods, instructions or products referred to in the content. |
© 2025 by the authors. Licensee MDPI, Basel, Switzerland. This article is an open access article distributed under the terms and conditions of the Creative Commons Attribution (CC BY) license (https://creativecommons.org/licenses/by/4.0/).
Share and Cite
Ryu, B.; Bang, S.; Kwak, D. Earthquake Ground Motion Characteristics as a Function of a Preprocessing Procedure. Appl. Sci. 2025, 15, 12453. https://doi.org/10.3390/app152312453
Ryu B, Bang S, Kwak D. Earthquake Ground Motion Characteristics as a Function of a Preprocessing Procedure. Applied Sciences. 2025; 15(23):12453. https://doi.org/10.3390/app152312453
Chicago/Turabian StyleRyu, Bongseok, Soyoung Bang, and Dongyoup Kwak. 2025. "Earthquake Ground Motion Characteristics as a Function of a Preprocessing Procedure" Applied Sciences 15, no. 23: 12453. https://doi.org/10.3390/app152312453
APA StyleRyu, B., Bang, S., & Kwak, D. (2025). Earthquake Ground Motion Characteristics as a Function of a Preprocessing Procedure. Applied Sciences, 15(23), 12453. https://doi.org/10.3390/app152312453

