Formulation of Stable, Free-Flowing, Fast-Disintegrating Granules of Volatile Essential Oils for Olfactory Rehabilitation
Abstract
1. Introduction
2. Materials and Methods
2.1. Materials
2.2. Adsorption of Volatile Essential Oils into Silicon Dioxide with Volatile Restrainers
2.3. Preparation of FDGs of Volatile Essential Oils
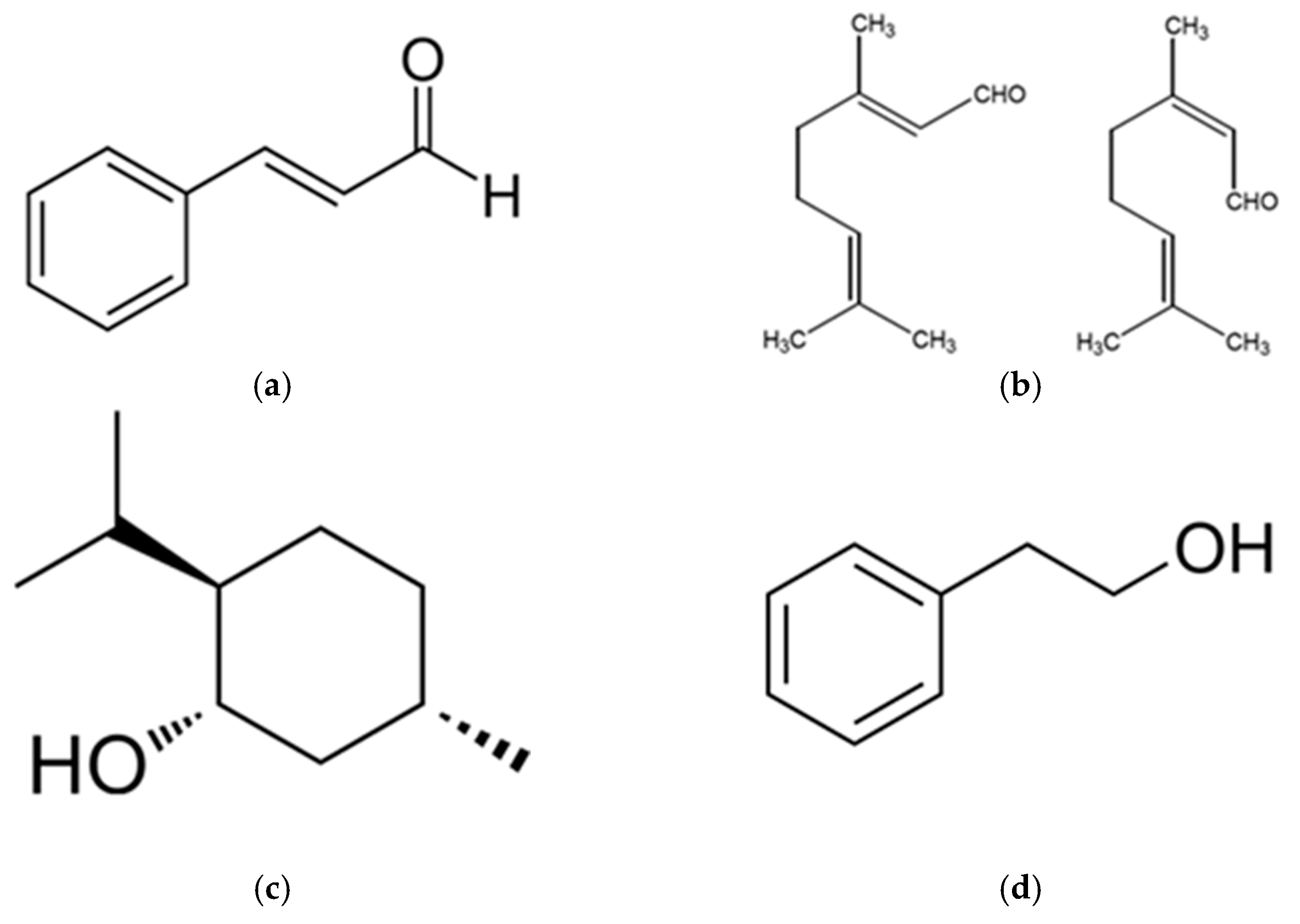
2.4. Determination of Major Constituents of Essential Oils
2.5. Particle Size Measurement
2.6. Determination of Flowing Property
2.7. Morphological Observation
2.8. Volatility Assessment of Essential Oils from the Adsorbents
2.9. Disintegration Behavior of FDGs
2.10. Moisture Uptake of FDGs
2.11. Long-Term Stability Test
2.12. In Vitro Volatile Release Test of FDGs
2.13. Statistical Analysis
3. Results and Discussion
3.1. Establishment of HPLC or UV Spectrometric Analytical Methods
3.2. Effect of the Amount of Adsorbent on Remaining Volatile Ingredient
3.3. Effect of Non-Volatile Vegetable Oils on Volatilization of Essential Oils
3.4. Effect of the Amount of Adsorbent on Remaining Volatile Ingredients
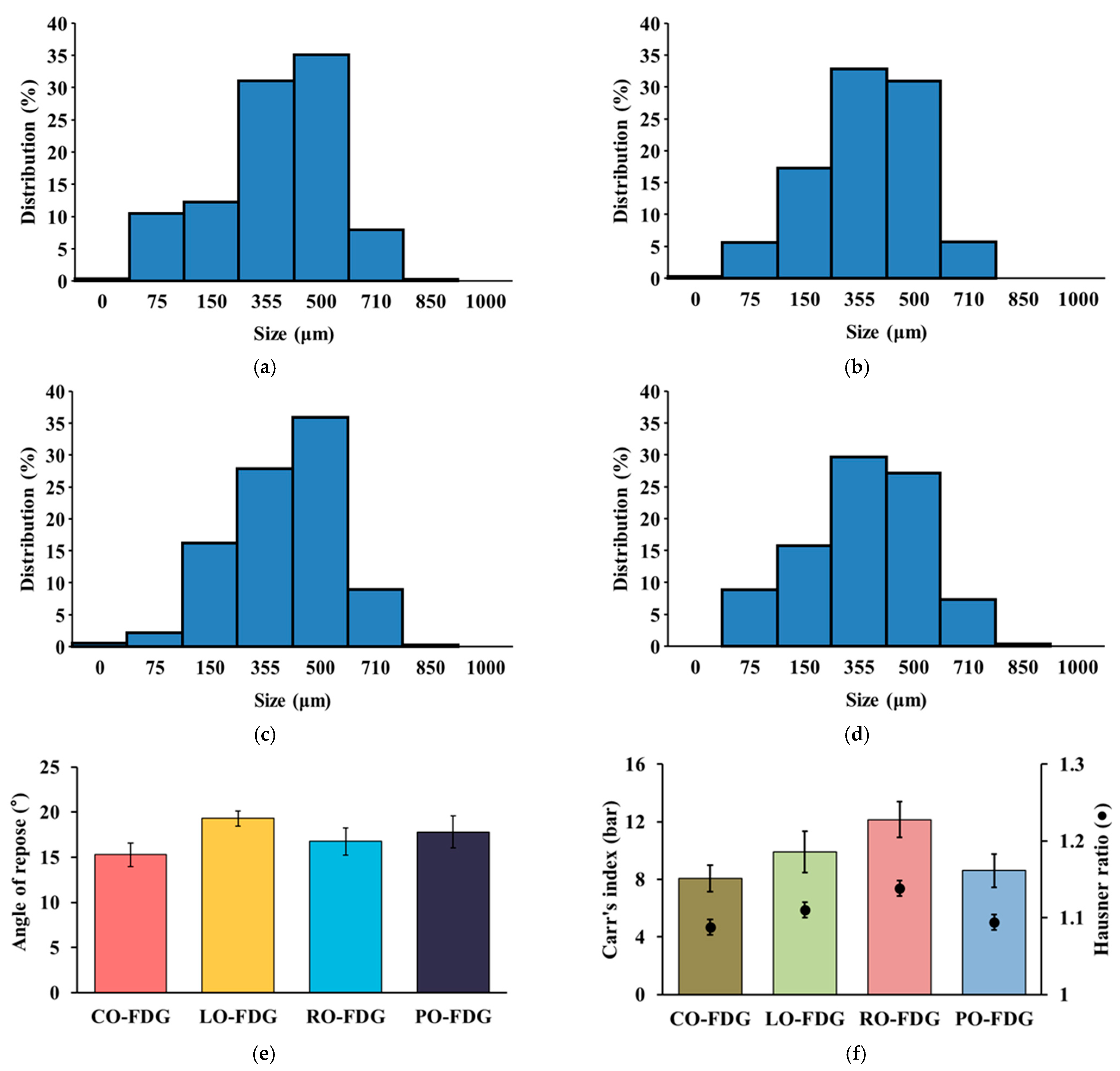
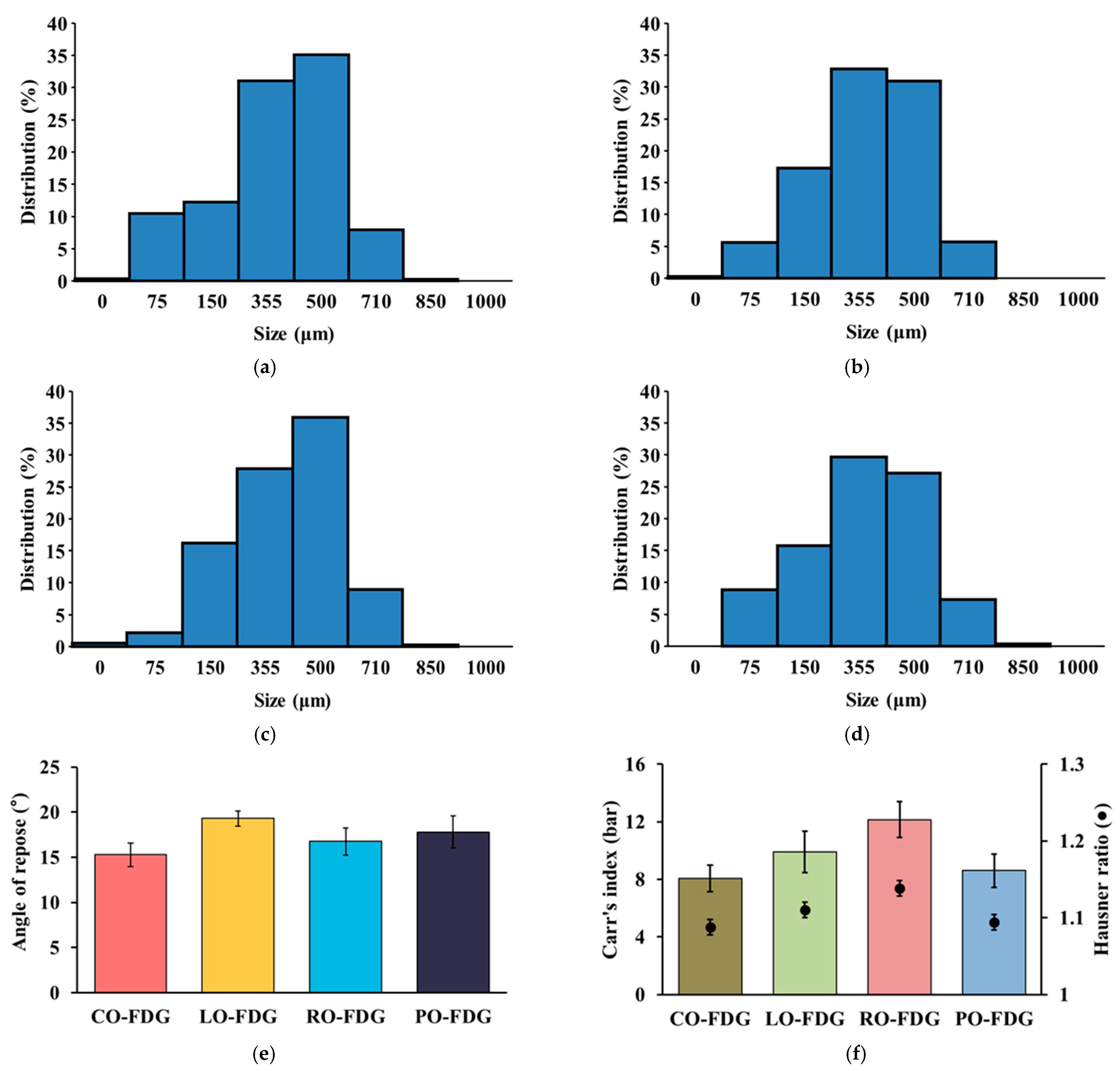
3.5. Preparation and Physiochemical Characteristics of FDGs
3.6. Long-Term Stability of FDG Formulations
3.7. In Vitro Volatile Release Profile of FDGs
4. Conclusions
Author Contributions
Funding
Data Availability Statement
Conflicts of Interest
References
- Kollndorfer, K.; Kowalczyk, K.; Hoche, E.; Mueller, C.A.; Pollak, M.; Trattnig, S.; Schöpf, V. Recovery of Olfactory Function Induces Neuroplasticity effects in Patients with Smell Loss. Neural Plast. 2014, 2014, 140419. [Google Scholar] [CrossRef]
- Pieniak, M.; Oleszkiewicz, A.; Avaro, V.; Calegari, F.; Hummel, T. Olfactory Training—Thirteen Years of Research Reviewed. Neurosci. Biobehav. Rev. 2022, 141, 104853. [Google Scholar] [CrossRef] [PubMed]
- Sanganahalli, B.G.; Baker, K.L.; Thompson, G.J.; Herman, P.; Shepherd, G.M.; Verhagen, J.V.; Hyder, F. Orthonasal versus retronasal glomerular activity in rat olfactory bulb by fMRI. NeuroImage 2020, 212, 116664. [Google Scholar] [CrossRef]
- Small, D.M.; Gerber, J.C.; Mak, Y.E.; Hummel, T. Differential Neural Responses Evoked by Orthonasal versus Retronasal Odorant Perception in Humans. Neuron 2005, 47, 593–605. [Google Scholar] [CrossRef]
- Blankenship, M.L.; Grigorova, M.; Katz, D.B.; Maier, J.X. Retronasal Odor Perception Requires Taste Cortex, but Orthonasal Does Not. Curr. Biol. 2019, 29, 62–69.e3. [Google Scholar] [CrossRef]
- Kattar, N.; Do, T.M.; Unis, G.D.; Migneron, M.R.; Thomas, A.J.; McCoul, E.D. Olfactory Training for Postviral Olfactory Dysfunction: Systematic Review and Meta-analysis. Otolaryngol. Head Neck Surg. 2021, 164, 244–254. [Google Scholar] [CrossRef]
- Huang, T.; Wei, Y.; Wu, D. Effects of olfactory training on posttraumatic olfactory dysfunction: A Systematic Review and Meta-analysis. Int. Forum Allergy Rhinol. 2021, 11, 1102–1112. [Google Scholar] [CrossRef] [PubMed]
- Alarfaj, A.A.; Aldrweesh, A.K.; Aldoughan, A.F.; Alarfaj, S.M.; Alabdulqader, F.K.; Alyahya, K.A. Olfactory Dysfunction following COVID-19 and the Potential Benefits of Olfactory Training. Clin. Med. 2023, 12, 4761. [Google Scholar] [CrossRef] [PubMed]
- Treder-Rochna, N.; Mańkowska, A.; Kujawa, W.; Harciarek, M. The effectiveness of olfactory training for chronic olfactory disorder following COVID-19: A systematic review. Front. Hum. Neurosci. 2024, 18, 1457527. [Google Scholar] [CrossRef]
- Mahmut, M.K.; Musch, M.; Han, P.; Abolmaali, N.; Hummel, T. The Effect of Olfactory Training on Olfactory Bulb Volumes in Patients with Idiopathic Olfactory Loss. Rhinology 2020, 58, 413–415. [Google Scholar] [CrossRef]
- Haas, M.; Raninger, J.; Kaiser, J.; Mueller, C.A.; Liu, D.T. Treatment Adherence to Olfactory Training: A Real-World Observational Study. Rhinology 2024, 62, 35–45. [Google Scholar]
- Cirri, M.; Mura, P.A.; Maestrelli, F.; Benedetti, S.; Buratti, S. Pediatric Orally Disintegrating Tablets (ODTs) with Enhanced Palatability Based on Propranolol HCl Coground with Hydroxypropyl-β-Cyclodextrin. Pharmaceutics 2024, 16, 1351. [Google Scholar] [CrossRef]
- Okuda, Y.; Irisawa, Y.; Okimoto, K.; Osawa, T.; Yamashita, S. A new formulation for orally disintegrating tablets using a suspension spray-coating method. Int. J. Pharm. 2009, 382, 80–87. [Google Scholar] [CrossRef] [PubMed]
- Swamivelmanickam, M.; Palanivel, V.; Govindarajan, S. Preparation and Evaluation of Mouth Dissolving Tablets of Loratadine by Direct Compression Method. Res. J. Pharm. Technol. 2020, 13, 2629–2633. [Google Scholar] [CrossRef]
- Ohrem, H.L.; Schornick, E.; Kalivoda, A.; Ognibene, R. Why Is Mannitol Becoming More and More Popular as a Pharmaceutical Excipient in Solid Dosage Forms? Pharm. Dev. Technol. 2014, 19, 257–262. [Google Scholar] [CrossRef] [PubMed]
- Ali, J.; Zgair, A.; Hameed, G.S.; Garnett, M.C.; Roberts, C.J.; Burley, J.C.; Gershkovich, P. Application of biorelevant saliva-based dissolution for optimisation of orally disintegrating formulations of felodipine. Int. J. Pharm. 2019, 555, 228–236. [Google Scholar] [CrossRef]
- Douroumis, D. Orally Disintegrating Dosage Forms and Taste-Masking Technologies. Expert Opin. Drug Deliv. 2011, 8, 665–675. [Google Scholar] [CrossRef]
- Szakonyi, G.; Zelkó, R. Prediction of Oral Disintegration Time of Fast Disintegrating Tablets by Computational Methods. Int. J. Pharm. 2013, 448, 346–353. [Google Scholar] [CrossRef]
- Ni, R.; Michalski, M.H.; Brown, E.; Doan, N.; Zinter, J.; Ouellette, N.T.; Shepherd, G.M. Optimal directional volatile transport in retronasal olfaction. Proc. Natl. Acad. Sci. USA 2015, 112, 14700–14704. [Google Scholar] [CrossRef]
- Lledo, P.M.; Gheusi, G.; Vincent, J.D. Information Processing in the Mammalian Olfactory System. Physiol. Rev. 2005, 85, 281–317. [Google Scholar] [CrossRef]
- Pharma Excipients. Dry Granulation in Solid Oral Formulation: Advantages of Spray-Dried Mannitol in Roll Compaction. Available online: https://www.pharmaexcipients.com/news/spray-dried-mannitol/ (accessed on 21 October 2025).
- Rojas, J.; Kumar, V. Coprocessing of cellulose II with amorphous silicon dioxide: Effect of silicification on the powder and tableting properties. Drug Dev. Ind. Pharm. 2012, 38, 209–226. [Google Scholar] [CrossRef]
- Evonik Operations GmbH. SIPERNAT® 22 (Food & Feed): Product Information; Evonik Operations GmbH: Hanau-Wolfgang, Germany, 2022. [Google Scholar]
- Ibrahim, M.A.; Jaafar, M.Z.; Yusof, M.A.; Shye, C.A.; Idris, A.K. Influence of Size and Surface Charge on the Adsorption Behaviour of Silicon Dioxide Nanoparticles on Sand Particles. Colloids Surf. A 2023, 674, 131943. [Google Scholar] [CrossRef]
- Zengin, H.; Erkan, B. Adsorption of Acids and Bases from Aqueous Solutions onto Silicon Dioxide Particles. J. Hazard. Mater. 2009, 172, 978–985. [Google Scholar] [CrossRef] [PubMed]
- Badawy, S.I.F.; Shah, K.R.; Surapaneni, M.S.; Szemraj, M.; Hussain, M. Use of Mannitol as a Filler in Wet Granulation. In Handbook of Pharmaceutical Wet Granulation: Theory and Practice in a Quality by Design Paradigm; Academic Press: Cambridge, MA, USA, 2019; pp. 455–467. [Google Scholar] [CrossRef]
- Kushwah, H.; Hans, T.; Chauhan, M.; Mittal, G.; Sandal, N. Development and Validation of the Spectrophotometric Method for the Determination of Menthol. J. Appl. Spectrosc. 2020, 87, 563–567. [Google Scholar] [CrossRef]
- Anastasia-Sandu, A.; Bîrzu, S.; Dițu, I.; Bulgariu, L. Direct Determination of Menthol Using a Simple Spectrophotometric Method. Bul. Institutului Politeh. Din Iași Chem. Chem. Eng. 2013, LIX, 71–80. [Google Scholar]
- International Conference on Harmonisation (ICH). ICH Harmonised Tripartite Guideline: Validation of Analytical Procedures: Text and Methodology Q2(R1); ICH: Geneva, Switzerland, 2005; Available online: https://database.ich.org/sites/default/files/Q2%28R1%29%20Guideline.pdf (accessed on 21 October 2025).
- Uhrovič, J. Strategy for Determination of LOD and LOQ Values—Some Basic Aspects. Talanta 2014, 119, 178–180. [Google Scholar] [CrossRef]
- Al-Hashemi, H.M.B.; Al-Amoudi, O.S.B. A Review on the Angle of Repose of Granular Materials. Powder Technol. 2018, 330, 397–417. [Google Scholar] [CrossRef]
- De Caro, V.; Giandalia, G.; Siragusa, M.G.; Campisi, G.; Giannola, L.I. Galantamine Delivery on Buccal Mucosa: Permeation Enhancement and Design of Matrix Tablets. J. Bioequiv. Availab. 2009, 1, 127–134. [Google Scholar] [CrossRef]
- United States Pharmacopeial Convention. United States Pharmacopeia and National Formulary (USP 43–NF 38); General Chapter <701> Disintegration; United States Pharmacopeial Convention: Rockville, MD, USA, 2020. [Google Scholar]
- International Council for Harmonisation (ICH). Q4B Annex 5(R1): Disintegration Test General Chapter; ICH: Geneva, Switzerland, 2010. [Google Scholar]
- Zeng, F.; Chen, J.; Yang, F.; Kang, J.; Cao, Y.; Xiang, M. Effect of Surface Treatment on the Dispersion of Silica Nanoparticles in Polymer Matrix. Materials 2018, 11, 144. [Google Scholar] [CrossRef]
- Rabe, S.; Krings, U.; Berger, R.G. In Vitro Study of the Influence of Physiological Parameters on Dynamic In-Mouth Flavour Release from Liquids. Chem. Senses 2004, 29, 153–162. [Google Scholar] [CrossRef]
- Yu, Y.; Ma, Y.; Ouyang, Z.; Huang, L. Mentha Essential Oils: Unraveling Chemotype-Dependent Biosynthesis and Assessing Evidence for Health-Promoting Activities. Nutrients 2025, 17, 3258. [Google Scholar] [CrossRef]
- Wilson, N.D.; Ivanova, M.S.; Watt, R.A.; Moffat, A.C. The quantification of citral in lemongrass and lemon oils by near-infrared spectroscopy. J. Pharm. Pharmacol. 2002, 54, 1257–1263. [Google Scholar] [CrossRef]
- Elsharif, S.A.; Buettner, A. Structure–odor relationship study on geraniol, nerol, and their synthesized oxygenated derivatives. J. Agric. Food Chem. 2018, 66, 2324–2333. [Google Scholar] [CrossRef]
- Loolaie, M.; Moasefi, N.; Rasouli, H.; Adibi, H. Peppermint and Its Functionality: A Review. Arch. Clin. Microbiol. 2017, 8, 54. [Google Scholar] [CrossRef]
- Han, X.; Huang, X.; Zhang, B. Morphological studies of menthol as a temporary consolidant for urgent conservation in archaeological field. J. Cult. Herit. 2016, 18, 271–278. [Google Scholar] [CrossRef]
- Dobreva, A.; Nedeva, D.; Mileva, M. Comparative Study of the Yield and Chemical Profile of Rose Oils and Hydrosols Obtained by Industrial Plantations of Oil-Bearing Roses in Bulgaria. Resources 2023, 12, 83. [Google Scholar] [CrossRef]
- Erbas, S.; Baydar, H. Variation in Scent Compounds of Oil-Bearing Rose (Rosa damascena Mill.) Produced by Headspace Solid Phase Microextraction, Hydrodistillation and Solvent Extraction. Rec. Nat. Prod. 2016, 10, 555–565. [Google Scholar]
- Wolken, W.A.M.; ten Have, R.; van der Werf, M.J. Amino Acid-Catalyzed Conversion of Citral: Cis–trans Isomerization and Its Conversion into 6-Methyl-5-hepten-2-one and Acetaldehyde. J. Agric. Food Chem. 2000, 48, 5401–5405. [Google Scholar] [CrossRef]
- Gaonkar, R.; Yallappa, S.; Dhananjaya, B.L.; Hegde, G. Development and validation of reverse phase high performance liquid chromatography for citral analysis from essential oils. J. Chromatogr. B Anal. Technol. Biomed. Life Sci. 2016, 1036–1037, 50–56. [Google Scholar] [CrossRef]
- Lu, C.H.; Fang, M.C.; Chen, Y.Z.; Huang, S.C.; Wang, D.Y. Quantitative analysis of fragrance allergens in various matrixes of cosmetics by liquid-liquid extraction and GC-MS. J. Food Drug. Anal. 2021, 29, 700–708. [Google Scholar] [CrossRef]
- Pinilla, C.M.B.; Lopes, N.A.; Brandelli, A. Lipid-Based Nanostructures for the Delivery of Natural Antimicrobials. Molecules 2021, 26, 3587. [Google Scholar] [CrossRef] [PubMed]
- Mehta, N.; Kumar, P.; Verma, A.K.; Umaraw, P.; Kumar, Y.; Malav, O.P.; Sazili, A.Q.; Domínguez, R.; Lorenzo, J.M. Micro-encapsulation as a Noble Technique for the Application of Bioactive Compounds in the Food Industry: A Comprehensive Review. Appl. Sci. 2022, 12, 1424. [Google Scholar] [CrossRef]
- Tian, B.; Liu, Y. Cyclodextrin-Active Natural Compounds in Food Applications: A Review of Antibacterial Activity. Turk. J. Chem. 2021, 45, 1707–1724. [Google Scholar] [CrossRef]
- Sheikh, A.R.; Wu-Chen, R.A.; Matloob, A.; Mahmood, M.H.; Javed, M. Nanoencapsulation of Volatile Plant Essential Oils: A Paradigm Shift in Food Industry Practices. Food Innov. Adv. 2024, 3, 305–319. [Google Scholar] [CrossRef]
- Yammine, J.; Chihib, N.-E.; Gharsallaoui, A.; Ismail, A.; Karam, L. Advances in essential oils encapsulation: Development, characterization and release mechanisms. Polym. Bull. 2024, 81, 3837–3882. [Google Scholar] [CrossRef]
- Yang, J.; Kok, C.R.; Ciftci, D.; Hutkins, R.; Ciftci, O.N. Hollow Solid Lipid Particles Loaded with Essential Oils via Supercritical CO2 to Develop Novel Antimicrobial Lipids with Controlled Release for Food Applications. Innov. Food Sci. Emerg. Technol. 2025, 102, 103980. [Google Scholar] [CrossRef]
- Shah, S.; Dhawan, V.; Holm, R.; Nagarsenker, M.S.; Perrie, Y. Liposomes: Advancements and Innovation in the Manufacturing Process. Adv. Drug Deliv. Rev. 2020, 154–155, 102–122. [Google Scholar] [CrossRef]
- Bedoya-Agudelo, J.P.; López-Carvajal, J.E.; Quiguanás-Guarín, E.S.; Cardona, N.; Padilla-Sanabria, L.; Castaño-Osorio, J.C. Assessment of Antimicrobial and Cytotoxic Activities of Liposomes Loaded with Curcumin and Lippia origanoides Essential Oil. Biomolecules 2024, 14, 851. [Google Scholar] [CrossRef]
- Saporito, F.; Sandri, G.; Bonferoni, M.C.; Rossi, S.; Boselli, C.; Cornaglia, A.I.; Mannucci, B.; Grisoli, P.; Vigani, B.; Ferrari, F. Essential Oil-Loaded Lipid Nanoparticles for Wound Healing. Int. J. Nanomed. 2018, 13, 175–186. [Google Scholar] [CrossRef]
- Baek, K.; Jin, S.G. Solidification Materials and Technology for Solid Self-Emulsifying Drug Delivery Systems. Pharmaceuticals 2025, 18, 1550. [Google Scholar] [CrossRef]
- Mușuc, A.M. Cyclodextrins: Advances in Chemistry, Toxicology, and Multifaceted Applications. Molecules 2024, 29, 5319. [Google Scholar] [CrossRef] [PubMed]
- Tucker, I.; Ward, J.; Davidson, G.W. Vapor Pressure Studies of Benzene–Cyclodextrin Inclusion Complexes. J. Am. Chem. Soc. 1984, 106, 1945–1951. [Google Scholar] [CrossRef]
- Kurek, M.; Debeaufort, F.; Karbowiak, T.; Voilley, A. How Composition and Process Parameters Affect Volatile Retention During Film Formation. Carbohydr. Polym. 2012, 88, 646–656. [Google Scholar] [CrossRef]
- Gilpin, S.J.; Hui, X.; Maibach, H.I. Volatility of Fragrance Chemicals: Patch Testing Implications. Dermatitis 2009, 20, 200–207. [Google Scholar] [CrossRef]
- Bridges, B. Fragrance: Emerging Health and Environmental Concerns. Flavour. Fragr. J. 2002, 17, 361–371. [Google Scholar] [CrossRef]
- Yildiz, Z.I.; Kilic, M.E.; Durgun, E.; Uyar, T. Molecular Encapsulation of Cinnamaldehyde within Cyclodextrin Inclusion Complex Electrospun Nanofibers: Fast-Dissolution, Enhanced Water Solubility, High-Temperature Stability, and Antibacterial Activity of Cinnamaldehyde. J. Agric. Food Chem. 2019, 67, 11066–11076. [Google Scholar] [CrossRef] [PubMed]
- Gulin-Sarfraz, T.; Kalantzopoulos, G.N.; Haugen, J.-E.; Axelsson, L.; Kolstad, H.R.; Sarfraz, J. Controlled Release of Volatile Antimicrobial Compounds from Mesoporous Silica Nanocarriers for Active Food Packaging Applications. Int. J. Mol. Sci. 2022, 23, 7032. [Google Scholar] [CrossRef]
- Yalcin, H.; Toker, O.S.; Dogan, M. Effect of Oil Type and Fatty Acid Composition on Dynamic and Steady Shear Rheology of Vegetable Oils. J. Oleo Sci. 2012, 61, 181–187. [Google Scholar] [CrossRef]
- Nakashima, H.; Shioji, Y.; Kobayashi, T.; Aoki, S.; Shimizu, H.; Miyasaka, J.; Ohdoi, K. Determining the Angle of Repose of Sand under Low-Gravity Conditions Using Discrete Element Method. J. Terramech. 2011, 48, 17–26. [Google Scholar] [CrossRef]
- Shah, R.B.; Tawakkul, M.A.; Khan, M.A. Comparative Evaluation of Flow for Pharmaceutical Powders and Granules. AAPS PharmSciTech 2008, 9, 250–258. [Google Scholar] [CrossRef]
- Mishra, S.M.; Sauer, A. Effect of physical properties and chemical substitution of excipient on compaction and disintegration behavior of tablet: A case study of low-substituted hydroxypropyl cellulose (L-HPC). Macromol 2022, 2, 113–130. [Google Scholar] [CrossRef]
- Rubino, M.; Tung, M.A.; Yada, S.; Britt, I.J. Permeation of oxygen, water vapor, and limonene through printed and unprinted biaxially oriented polypropylene films. J. Agric. Food Chem. 2001, 49, 3041–3045. [Google Scholar] [CrossRef] [PubMed]
- Weerawatanakorn, M.; Wu, J.C.; Pan, M.H.; Ho, C.T. Reactive and Stability-Related Changes of Selected Flavor Compounds: A Review. J. Food Drug Anal. 2015, 23, 176–190. [Google Scholar] [CrossRef] [PubMed]
- Linstrom, P.J.; Mallard, W.G. (Eds.) NIST Chemistry WebBook, NIST Standard Reference Database Number 69; National Institute of Standards and Technology: Gaithersburg, MD, USA, 2025. [Google Scholar] [CrossRef]










| Ingredients | Calibration Curve | R2 | LOD (μg/mL) | LOQ (μg/mL) |
|---|---|---|---|---|
| Cinnamic aldehyde | y = 53,741x − 4422 | 1.000 | 0.77 ± 0.03 | 2.54 ± 0.26 |
| Citral | y = 78,455x − 81,349 | 1.000 | 0.89 ± 0.06 | 2.94 ± 0.21 |
| Phenethyl alcohol | y = 17,971x − 12,297 | 0.9999 | 1.07 ± 0.08 | 3.24 ± 0.25 |
| Menthol | y = 0.0034x − 0.7387 | 0.9974 | 74.5 ± 2.91 | 223.5 ± 9.61 |
| Ingredients | CO-FDG | LO-FDG | RO-FDG | PO-FDG |
|---|---|---|---|---|
| CO (mg) | 20 | – a | - | - |
| LO (mg) | - | 20 | - | - |
| RO (mg) | - | - | 20 | - |
| PO (mg) | - | - | - | 20 |
| Silicon dioxide (mg) | 20 | 20 | 20 | 20 |
| Olive oil (mg) | 5 | 5 | 5 | 5 |
| Mannitol (mg) | 295 | 295 | 295 | 295 |
| Xylitol (mg) | 300 | 300 | 300 | 300 |
| Sorbitol (mg) | 300 | 300 | 300 | 300 |
| L-HPC (mg) | 40 | 40 | 40 | 40 |
| Magnesium stearate (mg) | 20 | 20 | 20 | 20 |
| Total weight (mg) | 1000 | 1000 | 1000 | 1000 |
| Storage Conditions | 25 °C/RH 60% | 25 °C/RH 75% | |||
|---|---|---|---|---|---|
| Open, 24 h | Closed, 24 h | Closed, 2 Months | Open, 24 h | Closed, 24 h | |
| CO-FDG | 1.28 ± 0.13 | 0.19 ± 0.04 | 0.12 ± 0.02 | 5.19 ± 1.07 | 0.25 ± 0.07 |
| LO-FDG | 0.74 ± 0.06 | 0.18 ± 0.03 | 0.13 ± 0.05 | 4.50 ± 1.26 | 0.23 ± 0.05 |
| RO-FDG | 2.01 ± 0.15 | 0.17 ± 0.11 | 0.08 ± 0.03 | 5.84 ± 0.42 | 0.29 ± 0.03 |
| PO-FDG | 0.55 ± 0.26 | 0.13 ± 0.05 | 0.09 ± 0.02 | 5.08 ± 1.68 | 0.19 ± 0.02 |
Disclaimer/Publisher’s Note: The statements, opinions and data contained in all publications are solely those of the individual author(s) and contributor(s) and not of MDPI and/or the editor(s). MDPI and/or the editor(s) disclaim responsibility for any injury to people or property resulting from any ideas, methods, instructions or products referred to in the content. |
© 2025 by the authors. Licensee MDPI, Basel, Switzerland. This article is an open access article distributed under the terms and conditions of the Creative Commons Attribution (CC BY) license (https://creativecommons.org/licenses/by/4.0/).
Share and Cite
Yang, I.G.; Lee, G.Y.; Yeo, J.W.; Park, C.W.; Jeong, M.Y.; Mo, J.-H.; Bae, J.-S.; Yoo, S.H.; Kang, M.J. Formulation of Stable, Free-Flowing, Fast-Disintegrating Granules of Volatile Essential Oils for Olfactory Rehabilitation. Appl. Sci. 2025, 15, 11550. https://doi.org/10.3390/app152111550
Yang IG, Lee GY, Yeo JW, Park CW, Jeong MY, Mo J-H, Bae J-S, Yoo SH, Kang MJ. Formulation of Stable, Free-Flowing, Fast-Disintegrating Granules of Volatile Essential Oils for Olfactory Rehabilitation. Applied Sciences. 2025; 15(21):11550. https://doi.org/10.3390/app152111550
Chicago/Turabian StyleYang, In Gyu, Gi Yeong Lee, Ji Won Yeo, Chae Won Park, Min Young Jeong, Ji-Hun Mo, Jun-Sang Bae, Shin Hyuk Yoo, and Myung Joo Kang. 2025. "Formulation of Stable, Free-Flowing, Fast-Disintegrating Granules of Volatile Essential Oils for Olfactory Rehabilitation" Applied Sciences 15, no. 21: 11550. https://doi.org/10.3390/app152111550
APA StyleYang, I. G., Lee, G. Y., Yeo, J. W., Park, C. W., Jeong, M. Y., Mo, J.-H., Bae, J.-S., Yoo, S. H., & Kang, M. J. (2025). Formulation of Stable, Free-Flowing, Fast-Disintegrating Granules of Volatile Essential Oils for Olfactory Rehabilitation. Applied Sciences, 15(21), 11550. https://doi.org/10.3390/app152111550

