Exploring User Intentions for Virtual Memorialization: An Integration of TAM and Social Identity in Immersive Environments
Abstract
1. Introduction
2. Literature and Hypothesis
2.1. Theoretical Foundation
2.1.1. Technology Acceptance Model (TAM)
2.1.2. Social Identity Theory (SIT)
2.1.3. Avatar Attachment (AA)
2.1.4. Integrating TAM, SIT, and AA
2.2. Research Hypothesis Development
2.2.1. PU, PEOU, and PRI Positively Influence BI
2.2.2. AA Positively Influences PU and PRI
2.2.3. SI Positively Influences PU and PRI
2.2.4. PU, PRI, and PEOU Serve as Mediators
2.2.5. PHL Moderates Relationships Between AA and PU/PRI
2.2.6. Proposed Research Model
2.3. Technology Framework
3. Methodology
3.1. Participants and Procedure
3.2. Measures
3.3. Data Analysis
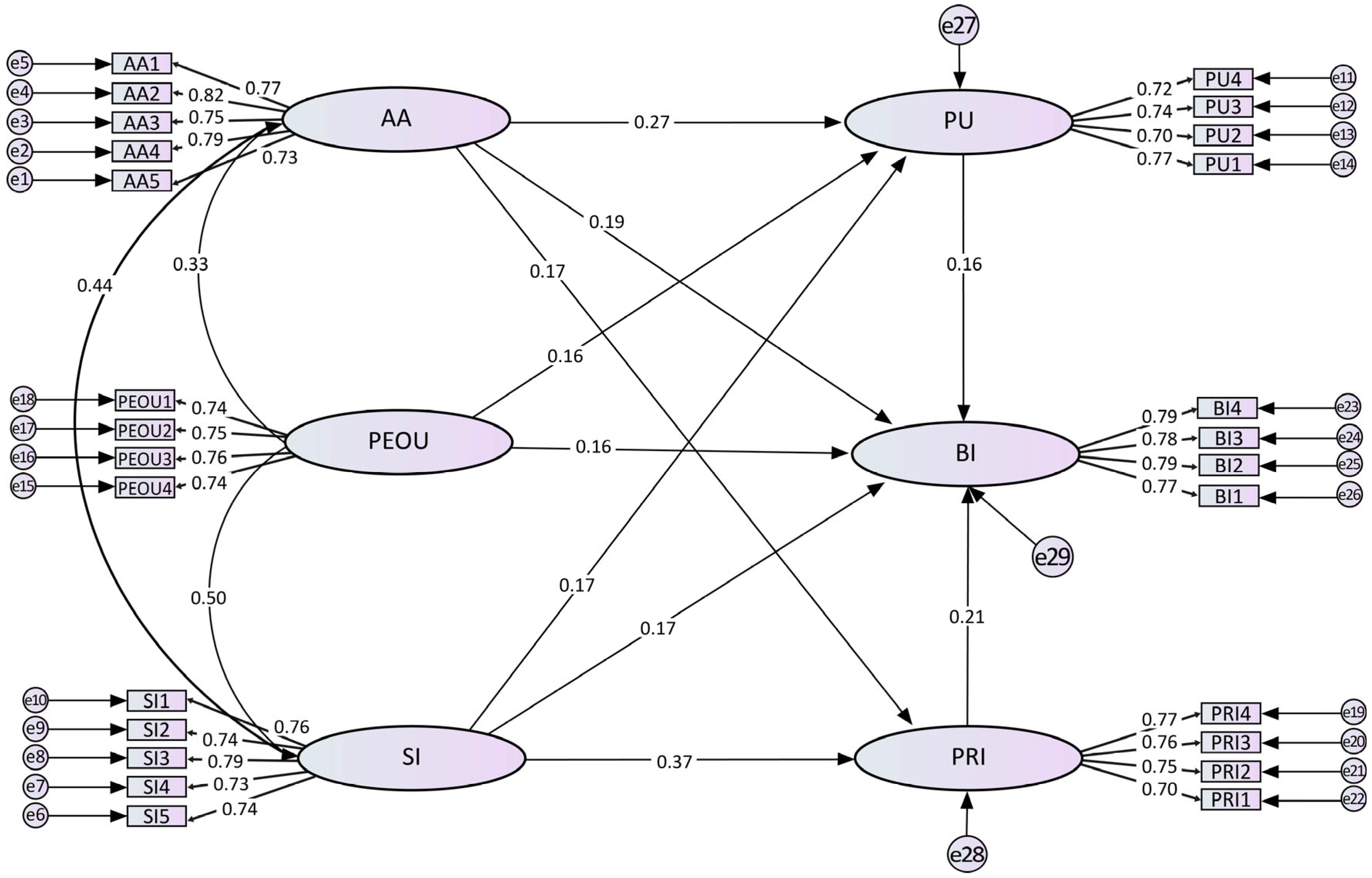
4. Results
4.1. Descriptive Statistics and Reliability
4.2. Validity Analysis
4.3. Structural Model
4.4. Mediation Tests
4.5. Moderation Analysis
4.5.1. Moderations on PU
4.5.2. Moderations on PRI
5. Discussion
5.1. Key Findings and Interpretations
5.2. Theorical Contributions
5.3. Practical Implications
5.4. Limitations and Future Research
6. Conclusions
Author Contributions
Funding
Institutional Review Board Statement
Informed Consent Statement
Data Availability Statement
Conflicts of Interest
Abbreviations
| AA | Avatar Attachment |
| SI | Social Identity |
| BI | Behavior Intention |
| PHL | Perceived Human-Likeness |
| PU | Perceived Usefulness |
| PEOU | Perceived Ease of Use |
| PRI | Perceived Role Importance |
Appendix A
| Level | Variable | VIF | Tolerance |
|---|---|---|---|
| Construct | AA | 1.319 | 0.758 |
| Construct | SI | 1.461 | 0.685 |
| Construct | PU | 1.310 | 0.764 |
| Construct | PEOU | 1.337 | 0.748 |
| Construct | PRI | 1.370 | 0.730 |
| Construct | BI | 1.478 | 0.677 |
| Construct | PHL | 1.177 | 0.850 |
| Item | AA1 | 2.181 | 0.459 |
| Item | AA2 | 2.414 | 0.414 |
| Item | AA3 | 2.052 | 0.487 |
| Item | AA4 | 2.278 | 0.439 |
| Item | AA5 | 2.044 | 0.489 |
| Item | SI1 | 2.142 | 0.467 |
| Item | SI2 | 2.006 | 0.498 |
| Item | SI3 | 2.274 | 0.440 |
| Item | SI4 | 1.959 | 0.511 |
| Item | SI5 | 1.988 | 0.503 |
| Item | PU1 | 2.011 | 0.497 |
| Item | PU2 | 1.757 | 0.569 |
| Item | PU3 | 1.878 | 0.533 |
| Item | PU4 | 1.799 | 0.556 |
| Item | PEOU1 | 1.861 | 0.537 |
| Item | PEOU2 | 1.944 | 0.514 |
| Item | PEOU3 | 1.991 | 0.502 |
| Item | PEOU4 | 1.903 | 0.525 |
| Item | PRI1 | 1.791 | 0.558 |
| Item | PRI2 | 1.996 | 0.501 |
| Item | PRI3 | 1.954 | 0.512 |
| Item | PRI4 | 2.021 | 0.495 |
| Item | BI1 | 2.119 | 0.472 |
| Item | BI2 | 2.385 | 0.419 |
| Item | BI3 | 2.229 | 0.449 |
| Item | BI4 | 2.296 | 0.436 |
| Item | PHL1 | 1.775 | 0.563 |
| Item | PHL2 | 1.816 | 0.551 |
| Item | PHL3 | 1.811 | 0.552 |
| Model Fit | CMIN | DF | CMIN/DF | NFI | RFI | IFI | TLI | CFI | GFI | RMSEA |
|---|---|---|---|---|---|---|---|---|---|---|
| Fit Results | 3157.195 | 377 | 8.375 | 0.474 | 0.434 | 0.506 | 0.465 | 0.503 | 0.587 | 0.130 |
| Suggestion | <3 | >0.9 | >0.9 | >0.9 | >0.9 | >0.9 | >0.9 | <0.08 |
Appendix B

References
- Walter, T.; Hourizi, R.; Moncur, W.; Pitsillides, S. Does the internet change how we die and mourn? Overview and analysis. Omega-J. Death Dying 2012, 64, 275–302. [Google Scholar] [CrossRef]
- Kalyvaki, M.; McIntosh, H.; Nash, K. Virtual selfhood and consumer behavior: Exploring avatar attachment and consumption patterns in Second Life’s metaverse. Comput. Hum. Behav. Artif. Humans 2023, 1, 100016. [Google Scholar] [CrossRef]
- Szolin, K.; Kuss, D.J.; Nuyens, F.M.; Griffiths, M.D. “I am the character, the character is me”: A thematic analysis of the user-avatar relationship in videogames. Comput. Hum. Behav. 2023, 143, 107694. [Google Scholar] [CrossRef]
- Beaunoyer, E.; Guitton, M.J. Cyberthanathology: Death and beyond in the digital age. Comput. Hum. Behav. 2021, 122, 106849. [Google Scholar] [CrossRef]
- Moncur, W.; Kirk, D. An emergent framework for digital memorials. In Proceedings of the 2014 Conference on Designing Interactive Systems, Vancouver, BC, Canada, 21–25 June 2014; pp. 965–974. [Google Scholar]
- Asgari, Z.; Naghavi, A.; Abedi, M.R. Death and dying in a digitalized world. Omega-J. Death Dying 2025, 90, 1951–1962. [Google Scholar] [CrossRef]
- Wolf, M.J.; Perron, B. The Routledge Companion to Video Game Studies; Taylor & Francis: Abingdon, UK, 2023. [Google Scholar]
- Lagerkvist, A. Existential media: Toward a theorization of digital thrownness. New Media Soc. 2017, 19, 96–110. [Google Scholar] [CrossRef]
- Brubaker, J.R.; Hayes, G.R.; Dourish, P. Beyond the grave: Facebook as a site for the expansion of death and mourning. Inf. Soc. 2013, 29, 152–163. [Google Scholar] [CrossRef]
- Jiang, J. Linking Life and Death: A study on the spatial design of online memorials in the context of a mediatized society. Design 2024, 9, 311–317. [Google Scholar] [CrossRef]
- Walter, T. New mourners, old mourners: Online memorial culture as a chapter in the history of mourning. New Rev. Hypermedia Multimed. 2015, 21, 10–24. [Google Scholar] [CrossRef]
- Ahn, C.; Noh, G.Y. Eliciting guilt in virtual reality games: Interplay of self-attribution, presence, and morality. Front. Psychol. 2024, 15, 1416258. [Google Scholar] [CrossRef]
- Doyle, D.T.; Brubaker, J.R. Digital legacy: A systematic literature review. Proc. ACM Hum.-Comput. Interact. 2023, 7, 1–26. [Google Scholar] [CrossRef]
- Lee, C. Memorialization through metaverse: New technologies for heritage education. Int. Arch. Photogramm. Remote Sens. Spat. Inf. Sci. 2023, 48, 919–926. [Google Scholar] [CrossRef]
- Pataranutaporn, P.; Danry, V.; Blanchard, L.; Thakral, L.; Ohsugi, N.; Maes, P.; Sra, M. Living memories: AI-generated characters as digital mementos. In Proceedings of the 28th International Conference on Intelligent User Interfaces, Sydney, Australia, 27–31 March 2023; pp. 889–901. [Google Scholar]
- Kim, H.; Kim, Y.; Lee, J.; Kim, J. Stereoscopic objects affect reaching performance in virtual reality environments: Influence of age on motor control. Front. Virtual Real. 2024, 5, 1475482. [Google Scholar] [CrossRef]
- Şengün, S.; Santos, J.M.; Salminen, J.; Milenkovic, M.; Jansen, B.J. Is death only the beginning? How people mourn artificial characters in social media. Games Cult. 2025, 20, 77–124. [Google Scholar] [CrossRef]
- Kim, D.Y.; Jang, J.Y. Me, my avatar, and my sneakers: The effect of avatar customization on the psychological ownership of virtual fashion items. Comput. Hum. Behav. 2025, 168, 108653. [Google Scholar] [CrossRef]
- Pitsillides, S. Digital Death: The materiality of co-crafted legacies. Ph.D. Thesis, University of London, London, UK, 2017. [Google Scholar]
- Banks, J.; Bowman, N.D. Avatars are (sometimes) people too: Linguistic indicators of parasocial and social ties in player–avatar relationships. New Media Soc. 2016, 18, 1257–1276. [Google Scholar] [CrossRef]
- Zucker, E. Digital Memorialization for a Global Age. YaleGlobal Online, 25 June 2020.
- Davis, F.D. Perceived usefulness, perceived ease of use, and user acceptance of information technology. MIS Q. 1989, 13, 319–340. [Google Scholar] [CrossRef]
- Loumos, G.; Kargas, A.; Varoutas, D.J. Augmented and virtual reality technologies in cultural sector: Exploring their usefulness and the perceived ease of use. JMC 2018, 4, 307–322. [Google Scholar]
- Sah, Y.J.; Rheu, M.; Ratan, R. Avatar-user bond as meta-cognitive experience: Explicating identification and embodiment as cognitive fluency. Front. Psychol. 2021, 12, 695358. [Google Scholar] [CrossRef]
- Tajfel, H.; Turner, J.C. The social identity theory of intergroup behavior. In Political Psychology; Psychology Press: East Sussex, UK, 2004; pp. 276–293. [Google Scholar]
- Webb, S. Avatarculture: Narrative, power and identity in virtual world environments. Inf. Commun. Soc. 2001, 4, 560–594. [Google Scholar] [CrossRef]
- Ratan, R. Self-presence, explicated: Body, emotion, and identity extension into the virtual self. In Handbook of Research on Technoself: Identity in a Technological Society; IGI Global Scientific Publishing: Hershey, PA, USA, 2013; pp. 322–336. [Google Scholar]
- Szita, K. A virtual safe space? An approach of intersectionality and social identity to behavior in virtual environments. J. Digit. Soc. Res. 2022, 4, 34–55. [Google Scholar] [CrossRef]
- Arvanitidou, Z. Creation of the social identity through the dressing and the representation of the virtual body in virtual internet communities. Acad. J. Interdiscip. Stud. 2016, 5, 233–238. [Google Scholar] [CrossRef]
- Yang, S.; Kim, H.; Song, M.; Lee, S.; Jang, J.-W. The double-edged influence of self-expansion in the metaverse: A two-wave panel assessment of identity perception, self-esteem, and life satisfaction. Cyberpsychol. Behav. Soc. Netw. 2024, 27, 37–46. [Google Scholar] [CrossRef]
- Wolfendale, J. My avatar, my self: Virtual harm and attachment. Ethics Inf. Technol. 2007, 9, 111–119. [Google Scholar] [CrossRef]
- Nagy, P.; Koles, B. “My avatar and her beloved possession”: Characteristics of attachment to virtual objects. Psychol. Mark. 2014, 31, 1122–1135. [Google Scholar] [CrossRef]
- Turkay, S.; Kinzer, C.K. The relationship between avatar-based customization, player identification, and motivation. In Transforming Gaming and Computer Simulation Technologies Across Industries; IGI Global Scientific Publishing: Hershey, PA, USA, 2017; pp. 48–79. [Google Scholar]
- Gabbiadini, A.; Mari, S.; Volpato, C.; Monaci, M.G. Identification processes in online groups. J. Media Psychol. 2014, 26, 141–152. [Google Scholar] [CrossRef]
- Chen, V.H.H.; Ibasco, G.C.; Leow, V.J.X.; Lew, J.Y.Y. The effect of VR avatar embodiment on improving attitudes and closeness toward immigrants. Front. Psychol. 2021, 12, 705574. [Google Scholar] [CrossRef]
- Lee, H.-W.; Chang, K.; Uhm, J.-P.; Owiro, E. How avatar identification affects enjoyment in the metaverse: The roles of avatar customization and social engagement. Cyberpsychol Behav. Soc. Netw. 2023, 26, 255–262. [Google Scholar] [CrossRef]
- Lee, Y.-H.; Hsieh, Y.-C.; Hsu, C.-N. Adding innovation diffusion theory to the technology acceptance model: Supporting employees’ intentions to use e-learning systems. J. Educ. Technol. Soc. 2011, 14, 124–137. [Google Scholar]
- Wu, R.; Yu, Z. Investigating users’ acceptance of the metaverse with an extended technology acceptance model. Int. J. Hum. Comput. Interact. 2024, 40, 5810–5826. [Google Scholar] [CrossRef]
- Gabarnet, A.; Feixas, G.; Montesano, A. What is the psychological role of the virtual self in online worlds? A scoping review. Multimodal Technol. Interact. 2023, 7, 109. [Google Scholar] [CrossRef]
- Cheng, X.; Zhang, S.; Mou, J. Are you caught in the dilemma of metaverse avatars? The impact of individuals’ congruity perceptions on paradoxical emotions and actual behaviors. Decis. Support Syst. 2025, 189, 114387. [Google Scholar] [CrossRef]
- Oh, S.; Kim, W.B.; Choo, H.J. The effect of avatar self-integration on consumers’ behavioral intention in the metaverse. Int. J. Hum.–Comput. Interact. 2024, 40, 7840–7853. [Google Scholar] [CrossRef]
- Reeves, B.; Nass, C. The Media Equation: How People Treat Computers, Television, and New Media Like Real People; Cambridge University Press: Cambridge, UK, 1996; Volume 10, pp. 19–36. [Google Scholar]
- Hogg, M.A. Social identity theory. In Understanding Peace and Conflict Through Social Identity Theory: Contemporary Global Perspectives; Springer: Berlin/Heidelberg, Germany, 2016; pp. 3–17. [Google Scholar]
- Mori, M.; MacDorman, K.F.; Kageki, N. The uncanny valley [from the field]. IEEE Robot. Autom. Mag. 2012, 19, 98–100. [Google Scholar] [CrossRef]
- Waytz, A.; Cacioppo, J.; Epley, N. Who sees human? The stability and importance of individual differences in anthropomorphism. Perspect. Psychol. Sci. 2010, 5, 219–232. [Google Scholar] [CrossRef]
- Burleigh, T.J.; Schoenherr, J.R.; Lacroix, G.L. Does the uncanny valley exist? An empirical test of the relationship between eeriness and the human likeness of digitally created faces. Comput. Hum. Behav. 2013, 29, 759–771. [Google Scholar] [CrossRef]
- Venkatesh, V.; Bala, H. Technology acceptance model 3 and a research agenda on interventions. Decis. Sci. 2008, 39, 273–315. [Google Scholar] [CrossRef]
- Teng, C.-I.; Dennis, A.R.; Dennis, A.S. Avatar-mediated communication and social identification. J. Manag. Inf. Syst. 2023, 40, 1171–1201. [Google Scholar] [CrossRef]
- Klimmt, C. JMP is moving forward: Salute to past and future editors, and cordial words of gratitude. J. Media Psychol. 2021, 33, 1–2. [Google Scholar] [CrossRef]
- Galvão, V.F.; Toledo, R.V.; dos Santos, D.B.; Maciel, C.; dos Santos Nunes, E.P. Game over: Death representations in virtual reality environments. In Proceedings of the 2020 22nd Symposium on Virtual and Augmented Reality (SVR), Porto de Galinhas, Brazil, 7–10 November 2020; pp. 296–305. [Google Scholar]







| Hypothesis | Path | Description |
|---|---|---|
| H1 | AA → PU | Avatar attachment positively influences perceived usefulness. |
| H2 | PU → BI | Perceived usefulness positively influences behavioral intention. |
| H3 | AA → PRI | Avatar attachment positively influences perceived role importance. |
| H4 | PRI → BI | Perceived role importance positively influences behavioral intention. |
| H5 | SI → PU | Social identity positively influences perceived usefulness. |
| H6 | SI → PRI | Social identity positively influences perceived role importance. |
| H7 | AA → PU → BI | Perceived usefulness mediates the relationship between avatar attachment and behavioral intention. |
| H8 | SI → PRI → BI | Perceived role importance mediates the relationship between social identity and behavioral intention. |
| H9 | PEOU → PU | Perceived ease of use positively influences perceived usefulness. |
| H10 | PEOU → BI | Perceived ease of use positively influences behavioral intention. |
| H11 | AA × PHL → PU | Perceived human-likeness positively moderates the effect of avatar attachment on perceived usefulness. |
| H12 | AA × PHL → PRI | Perceived human-likeness positively moderates the effect of avatar attachment on perceived role importance. |
| Variable | Selection | Count | % |
|---|---|---|---|
| Gender | Male | 225 | 51.49 |
| Female | 212 | 48.51 | |
| Age | <18 | 38 | 8.70 |
| 18–25 | 77 | 17.62 | |
| 26–40 | 159 | 36.38 | |
| 41–60 | 109 | 24.94 | |
| >60 | 54 | 12.36 | |
| Education Level | High school/under | 157 | 35.93 |
| Undergraduate | 188 | 43.02 | |
| Master/above | 92 | 21.05 | |
| Experience with virtual worlds and virtual characters | Occasionally used | 246 | 56.29 |
| Frequently used | 117 | 26.77 | |
| Long-term use | 74 | 16.93 | |
| Experience with virtual memorial activities or services | Never participated | 1 | 0.23 |
| Participated 1–2 times | 331 | 75.74 | |
| Participated 3 or more times | 105 | 24.03 | |
| Total | 437 | 100.0 | |
| Variable | Item | Statement |
|---|---|---|
| Avatar Attachment (AA) [20] | AA1 | 6.1: I believe that the experiences of my virtual character are like my own. |
| AA2 | 6.2: I believe my virtual character reflects my real or ideal self. | |
| AA3 | 6.3: My virtual character is an extension of myself in the virtual world. | |
| AA4 | 6.4: My virtual character holds special emotional meaning to me. | |
| AA5 | 6.5: I feel a strong sense of loss when my virtual character disappears. | |
| Social Identity (SI) [25,43] | SI1 | 7.1: Using virtual characters (avatars) helps me integrate into specific communities. |
| SI2 | 7.2: I identify with my role in virtual communities/groups. | |
| SI3 | 7.3: I actively participate in the activities of virtual communities where my avatar belongs, and group recognition is important to me. | |
| SI4 | 7.4: I believe the virtual community activities that participated by my virtual character (avatar) could influence my real life. | |
| SI5 | 7.5: I feel a sense of belonging in my virtual communities. | |
| Perceived Usefulness (PU) [22,47] | PU1 | 8.1: I believe virtual memorial activities help me express emotions for my virtual character. |
| PU2 | 8.2: I feel that using virtual memorialization can ease the sense of loss caused by a character’s disappearance. | |
| PU3 | 8.3: I think virtual memorialization enhances my sense of belonging to a virtual community. | |
| PU4 | 8.4: I believe virtual memorialization helps me better understand my identity in the virtual world. | |
| Perceived Ease of Use (PEOU) [22] | PEOU1 | 9.1: I find the virtual memorial activities I’ve experienced easy to use. |
| PEOU2 | 9.2: I can use virtual memorial functions fluently without much effort. | |
| PEOU3 | 9.3: I believe anyone can easily learn to use virtual memorial features. | |
| PEOU4 | 9.4: I can quickly find the features I need when using or participating in virtual memorial services/activities. | |
| Perceived Role Importance (PRI) [20] | PRI1 | 10.1: I believe virtual characters play an important role in my digital life. |
| PRI2 | 10.2: My virtual character significantly affects my digital social relationships. | |
| PRI3 | 10.3: I believe my virtual character represents certain aspects of my identity or values. | |
| PRI4 | 10.4: The disappearance or death of a virtual character has a major impact on my virtual life. | |
| Behavioral Intention (BI) [48] | BI1 | 11.1: I am willing to use virtual memorial platforms to commemorate important virtual characters. |
| BI2 | 11.2: I am willing to pay for virtual character memorial features. | |
| BI3 | 11.3: I am willing to participate long-term in memorial activities for virtual characters. | |
| BI4 | 11.4: If my friends participate in virtual memorialization, I am more likely to join as well. | |
| Perceived Human-Likeness (PHL) [18,49] | PHL1 | 12.1: I feel that virtual characters resemble real human beings. |
| PHL2 | 12.2: When interacting with virtual characters, I experience a sense of real interpersonal interaction. | |
| PHL3 | 12.3: I am more likely to form emotional bonds with virtual characters that look and behave like humans. |
| Variable | Cronbach’s α | Min | Max | Mean | SD | Kurtosis | Skewness | AVE | CR |
|---|---|---|---|---|---|---|---|---|---|
| AA | 0.879 | 1.2 | 5 | 3.709 | 0.921 | −0.581 | −0.940 | 0.593 | 0.879 |
| SI | 0.867 | 1.2 | 5 | 3.769 | 0.992 | −0.178 | −1.125 | 0.567 | 0.867 |
| PU | 0.824 | 1 | 5 | 3.805 | 0.963 | 0.118 | −1.105 | 0.540 | 0.824 |
| PEOU | 0.834 | 1 | 5 | 3.797 | 0.978 | 0.073 | −1.127 | 0.558 | 0.835 |
| PRI | 0.833 | 1 | 5 | 3.810 | 0.948 | 0.237 | −1.184 | 0.556 | 0.834 |
| BI | 0.864 | 1 | 5 | 3.590 | 1.093 | −0.871 | −0.744 | 0.614 | 0.864 |
| PHL | 0.797 | 1 | 5 | 3.849 | 0.967 | 0.356 | −1.151 | 0.567 | 0.797 |
| Model Fit | CMIN | DF | CMIN/DF | NFI | RFI | IFI | TLI | CFI | GFI | RMSEA |
|---|---|---|---|---|---|---|---|---|---|---|
| Fit Results | 367.246 | 356 | 1.032 | 0.939 | 0.930 | 0.998 | 0.998 | 0.998 | 0.947 | 0.009 |
| Suggestion | <3 | >0.9 | >0.9 | >0.9 | >0.9 | >0.9 | >0.9 | <0.08 |
| Variable | AA | SI | PU | PEOU | PRI | BI | PHL |
|---|---|---|---|---|---|---|---|
| AA | 0.770 | ||||||
| SI | 0.379 | 0.753 | |||||
| PU | 0.329 | 0.295 | 0.735 | ||||
| PEOU | 0.279 | 0.421 | 0.274 | 0.747 | |||
| PRI | 0.273 | 0.360 | 0.365 | 0.292 | 0.746 | ||
| BI | 0.386 | 0.409 | 0.361 | 0.361 | 0.392 | 0.784 | |
| PHL | 0.208 | 0.176 | 0.252 | 0.259 | 0.299 | 0.272 | 0.753 |
| Model Fit | CMIN | DF | CMIN/DF | NFI | RFI | IFI | TLI | CFI | GFI | RMSEA |
|---|---|---|---|---|---|---|---|---|---|---|
| Fit Results | 336.619 | 286 | 1.177 | 0.939 | 0.930 | 0.990 | 0.989 | 0.990 | 0.946 | 0.020 |
| Suggestion | <3 | >0.9 | >0.9 | >0.9 | >0.9 | >0.9 | >0.9 | <0.08 |
| Path | Regression Weight | S.E. | C.R. | p | β | Conclusion | ||
|---|---|---|---|---|---|---|---|---|
| PU | ← | AA | 0.247 | 0.057 | 4.349 | *** | 0.269 | Supported |
| PU | ← | SI | 0.155 | 0.063 | 2.458 | 0.014 | 0.167 | Supported |
| PRI | ← | AA | 0.166 | 0.059 | 2.812 | 0.005 | 0.167 | Supported |
| PRI | ← | SI | 0.367 | 0.063 | 5.848 | *** | 0.367 | Supported |
| PU | ← | PEOU | 0.152 | 0.064 | 2.379 | 0.017 | 0.155 | Supported |
| BI | ← | PEOU | 0.188 | 0.068 | 2.739 | 0.006 | 0.161 | Supported |
| BI | ← | PU | 0.189 | 0.067 | 2.838 | 0.005 | 0.159 | Supported |
| BI | ← | PRI | 0.235 | 0.062 | 3.797 | *** | 0.213 | Supported |
| BI | ← | AA | 0.206 | 0.062 | 3.307 | *** | 0.189 | Supported |
| BI | ← | SI | 0.186 | 0.072 | 2.576 | 0.010 | 0.169 | Supported |
| Mediation Path | Effect Type | Effect Value | Lower | Upper | p |
|---|---|---|---|---|---|
| AA => PU => BI | Indirect Effect 1 | 0.043 | 0.010 | 0.095 | 0.008 |
| Direct Effect 1 | 0.189 | 0.049 | 0.324 | 0.008 | |
| Total Effect 1 | 0.231 | 0.101 | 0.356 | 0.001 | |
| PEOU => PU => BI | Indirect Effect 2 | 0.025 | 0.002 | 0.074 | 0.017 |
| Direct Effect 2 | 0.161 | 0.036 | 0.303 | 0.014 | |
| Total Effect 2 | 0.186 | 0.057 | 0.330 | 0.007 | |
| SI => PU => BI | Indirect Effect 3 | 0.027 | 0.005 | 0.071 | 0.015 |
| Direct Effect 3 | 0.169 | 0.011 | 0.321 | 0.040 | |
| Total Effect 3 | 0.196 | 0.037 | 0.348 | 0.015 | |
| AA => PRI => BI | Indirect Effect 4 | 0.036 | 0.010 | 0.086 | 0.004 |
| Direct Effect 4 | 0.189 | 0.049 | 0.324 | 0.008 | |
| Total Effect 4 | 0.220 | 0.060 | 0.387 | 0.007 | |
| SI => PRI => BI | Indirect Effect 5 | 0.078 | 0.027 | 0.159 | 0.002 |
| Direct Effect 5 | 0.169 | 0.011 | 0.321 | 0.040 | |
| Total Effect 5 | 0.247 | 0.095 | 0.393 | 0.002 |
| Variable | Model 1 | Model 2 | Model 3 |
|---|---|---|---|
| Constant | 3.805 ** (87.388) | 3.805 ** (89.072) | 3.785 ** (86.743) |
| AA | 0.310 ** (7.271) | 0.273 ** (6.370) | 0.268 ** (6.262) |
| PHL | 0.191 * (4.234) | 0.186 ** (4.119) | |
| AA × PHL | 0.097 * (2.070) | ||
| Sample Size | 437 | 437 | 437 |
| R2 | 0.108 | 0.144 | 0.152 |
| Adjust R2 | 0.106 | 0.140 | 0.146 |
| F | F (1435) = 52.875, p = 0.000 | F (2434) = 36.431, p = 0.000 | F (3433) = 25.900, p = 0.000 |
| ΔR2 | 0.108 | 0.035 | 0.008 |
| ΔF | F (1435) = 52.875, p = 0.000 | F (1434) = 17.930, p = 0.000 | F (1433) = 4.286, p = 0.039 |
| Variable | Model 1 | Model 2 | Model 3 |
|---|---|---|---|
| Constant | 3.810 ** (87.219) | 3.810 ** (90.167) | 3.810 ** (87.833) |
| Avatar Attachment | 0.253 ** (5.908) | 0.204 ** (4.819) | 0.204 ** (4.804) |
| PHL | 0.249 ** (5.559) | 0.249 ** (5.541) | |
| AA × PHL | 0.001 (0.023) | ||
| Sample Size | 437 | 437 | 437 |
| R2 | 0.074 | 0.136 | 0.136 |
| Adjust R2 | 0.072 | 0.132 | 0.130 |
| F | F (1435) = 34.899, p = 0.000 | F (2434) = 34.100, p = 0.000 | F (3433) = 22.681, p = 0.000 |
| ΔR2 | 0.074 | 0.062 | 0.000 |
| ΔF | F (1435) = 34.899, p = 0.000 | F (1434) = 30.902, p = 0.000 | F (1433) = 0.001, p = 0.982 |
Disclaimer/Publisher’s Note: The statements, opinions and data contained in all publications are solely those of the individual author(s) and contributor(s) and not of MDPI and/or the editor(s). MDPI and/or the editor(s) disclaim responsibility for any injury to people or property resulting from any ideas, methods, instructions or products referred to in the content. |
© 2025 by the authors. Licensee MDPI, Basel, Switzerland. This article is an open access article distributed under the terms and conditions of the Creative Commons Attribution (CC BY) license (https://creativecommons.org/licenses/by/4.0/).
Share and Cite
Fu, M.; Han, Y.; Chen, Y.; Zhang, J. Exploring User Intentions for Virtual Memorialization: An Integration of TAM and Social Identity in Immersive Environments. Appl. Sci. 2025, 15, 11240. https://doi.org/10.3390/app152011240
Fu M, Han Y, Chen Y, Zhang J. Exploring User Intentions for Virtual Memorialization: An Integration of TAM and Social Identity in Immersive Environments. Applied Sciences. 2025; 15(20):11240. https://doi.org/10.3390/app152011240
Chicago/Turabian StyleFu, Mengxi, Yifan Han, Yizhi Chen, and Jiazhen Zhang. 2025. "Exploring User Intentions for Virtual Memorialization: An Integration of TAM and Social Identity in Immersive Environments" Applied Sciences 15, no. 20: 11240. https://doi.org/10.3390/app152011240
APA StyleFu, M., Han, Y., Chen, Y., & Zhang, J. (2025). Exploring User Intentions for Virtual Memorialization: An Integration of TAM and Social Identity in Immersive Environments. Applied Sciences, 15(20), 11240. https://doi.org/10.3390/app152011240

