Validity, Reliability, and Sensitivity of the Brazilian Jiu-Jitsu Cardiorespiratory Fitness Test: A Methodological Approach Based on Combat Specificity
Abstract
Featured Application
Abstract
1. Introduction
2. Materials and Methods
2.1. Participants
2.2. Procedures
2.2.1. Anthropometric Measurements
2.2.2. Cardiopulmonary Exercise Test
2.2.3. BJJ-Cardiorespiratory Fitness Test
2.3. Experimental Design
2.4. Statistical Analysis
3. Results
3.1. Sample Characteristics, Performance, and Internal Load: BJJ-CRFT vs. CPET
3.2. Construct Validity (ROC Analysis)
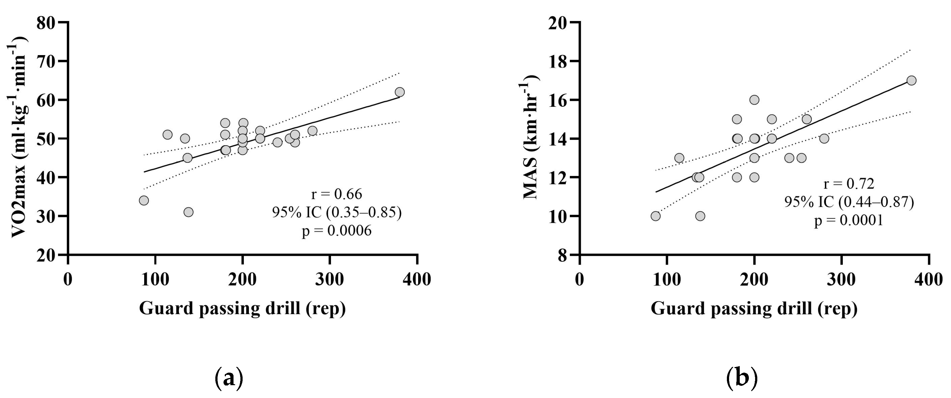
3.3. Concurrent Validity
3.4. Reliability and Sensitivity
4. Discussion
5. Conclusions
Author Contributions
Funding
Institutional Review Board Statement
Informed Consent Statement
Data Availability Statement
Acknowledgments
Conflicts of Interest
Appendix A
| Stage | Cadence (rep/min) | Guard Passes (n) | Duration (s) |
|---|---|---|---|
| 1 | 25 | 40 | 106 |
| 2 | 30 | 60 | 135 |
| 3 | 35 | 80 | 156 |
| 4 | 40 | 160 | 280 |
| 5 | 46 | 180 | 279 |
Appendix B
| Variable | Recreational (n = 12) | Competitive (n = 11) | Test t/U | p-Value | ES (95% CI) |
|---|---|---|---|---|---|
| CPET variables | |||||
| VO2max (ml·kg−1·min−1) | 50.0 (46.5–51.3) | 50.0 (49.0–51.5) | 78.5 | 0.46 | rSb = 0.19 (−0.28 to 0.59) |
| MAS (km·h−1) | 12.7 ± 1.6 | 14.5 ± 1.4 | 2.91 | 0.008 * | g = 1.17 (0.27–2.05) |
| Test duration (s) | 484.2 ± 78.9 | 574.6 ± 83.0 | 2.68 | 0.014 * | g = 1.08 (0.19–1.95) |
| HRmax (bpm) | 184.5 ± 12.0 | 183.6 ± 11.9 | −0.17 | 0.864 | g = −0.07 (−0.89–0.75) |
| [Lac]peak (mmol·L−1) | 10.7 ± 2.9 | 9.6 ± 2.1 | −1.07 | 0.297 | g = −0.43 (−1.25–0.40) |
| BJJ-CRFT variables | |||||
| Guard passing drill (reps) | 180 (136.3–200.0) | 220 (200.5–250.0) | 108.0 | 0.010 * | rSb = 0.64 (0.26 to 0.84) |
| Test duration (s) | 378.4 ± 104.8 | 489.0 ± 93.1 | 2.67 | 0.014 * | g = 1.07 (0.18–1.94) |
| HRmax (bpm) | 183 ± 11.2 | 181.7 ± 9.7 | −0.29 | 0.774 | g = −0.12 (−0.93–0.70) |
| [Lac]peak (mmol·L−1) | 8.8 ± 2.2 | 8.5 ± 1.4 | −0.37 | 0.718 | g = −0.15 (−0.97–0.67) |
References
- Rufino, H.V.O.; Franchini, E.; Forte, L.D.M.; da Silva, T.B.O.; Meireles, C.L.S.; Soares, Y.M. Physiological and perceptual responses of a guard passing test and a simulated brazilian jiu-jitsu combat: A pilot study. J. Strength. Cond. Res. 2024, 38, e574–e578. [Google Scholar] [CrossRef]
- Williams, J.; Andrew, C.; Mike, G.; Tattersall, P. Technique utilisation and efficiency in competitive brazilian jiu-jitsu matches at white and blue belts. Int. J. Perform. Anal. Sport 2019, 19, 353–369. [Google Scholar] [CrossRef]
- Andreato, L.V.; Follmer, B.; Celidonio, C.L.; Honorato, A.d.S. Brazilian jiu-jitsu combat among different categories: Time-motion and physiology. A systematic review. Strength. Cond. J. 2016, 38, 44–54. [Google Scholar] [CrossRef]
- Detanico, D.; Dellagrana, R.A.; Athayde, M.S.; Kons, R.L.; Goes, A. Effect of a Brazilian Jiu-jitsu-simulated tournament on strength parameters and perceptual responses. Sports Biomech. 2017, 16, 115–126. [Google Scholar] [CrossRef]
- Rodrigues-Krause, J.; da, S.F.P.; Boufleur, F.J.; Vargas, J.J.; Camila, M.; Barata, F.E.; Reischak-Oliveira, A. Cardiorespiratory Responses and Energy Contribution in Brazilian Jiu-Jitsu Exercise Sets. Int. J. Perform. Anal. Sport 2020, 20, 1092–1106. [Google Scholar] [CrossRef]
- Andreato, L.V.; Julio, U.F.; Panissa, V.L.G.; Esteves, J.V.D.C.; Hardt, F.; de Moraes, S.M.F.; de Souza, C.O.; Franchini, E. Brazilian jiu-jitsu simulated competition part I: Metabolic, hormonal, cellular damage, and heart rate responses. J. Strength. Cond. Res. 2015, 29, 2538–2549. [Google Scholar] [CrossRef]
- Andreato, L.V.; Julio, U.F.; Gonçalves Panissa, V.L.; Del Conti Esteves, J.V.; Hardt, F.; Franzói de Moraes, S.M.; Oliveira de Souza, C.; Franchini, E. Brazilian jiu-jitsu simulated competition part II: Physical performance, time-motion, technical-tactical analyses, and perceptual responses. J. Strength. Cond. Res. 2015, 29, 2015–2025. [Google Scholar] [CrossRef]
- Villar, R.; Gillis, J.; Santana, G.; Pinheiro, D.S.; Almeida, A.L.R.A. Association between anaerobic metabolic demands during simulated brazilian jiu-jitsu combat and specific jiu-jitsu anaerobic performance test. J. Strength. Cond. Res. 2018, 32, 432–440. [Google Scholar] [CrossRef]
- da Silva Junior, J.N.; Kons, R.L.; de Lucas, R.D.; Detanico, D. Jiu-jitsu-specific performance test: Reliability analysis and construct validity in competitive athletes. J. Strength. Cond. Res. 2022, 36, 174–179. [Google Scholar] [CrossRef]
- de Maurício, C.; Pierantozzi, E.; Ferreira-Gonçalves, A.; Vieira, V.; Cunha de Mello, R.; Pereira-Azevedo, R.; Valenzuela-Pérez, D.; Aedo-Muñoz, E.; Miarka, B. Evaluation of the bjjfitness test: Differences between competitors and non-competitors in brazilian jiu-jitsu. Retos 2024, 60, 981–989. [Google Scholar] [CrossRef]
- Wąsacz, W.; Rydzik, Ł.; Šimenko, J.; Kędra, A.; Błach, W.; Ambroży, T. The development of the special brazilian jiu-jitsu fitness test: Takedown zone (SBJJFT-TZ), gi formula. Appl. Sci. 2024, 14, 4711. [Google Scholar] [CrossRef]
- Chaabene, H.; Negra, Y.; Bouguezzi, R.; Capranica, L.; Franchini, E.; Prieske, O.; Hbacha, H.; Granacher, U. Tests for the assessment of sport-specific performance in olympic combat sports: A systematic review with practical recommendations. Front. Physiol. 2018, 9, 386. [Google Scholar] [CrossRef]
- Wasserman, K.; Whipp, B.J.; Koyl, S.N.; Beaver, W.L. Anaerobic threshold and respiratory gas exchange during exercise. J. Appl. Physiol. 1973, 35, 236–243. [Google Scholar] [CrossRef]
- Edvardsen, E.; Hem, E.; Anderssen, S.A. End criteria for reaching maximal oxygen uptake must be strict and adjusted to sex and age: A cross-sectional study. PLoS ONE 2014, 9, e85276. [Google Scholar] [CrossRef]
- Taati, B.; Arazi, H.; Bridge, C.A.; Franchini, E. A new taekwondo-specific field test for estimating aerobic power, anaerobic fitness, and agility performance. PLoS ONE 2022, 17, e0264910. [Google Scholar] [CrossRef]
- Tabben, M.; Coquart, J.; Chaabène, H.; Franchini, E.; Chamari, K.; Tourny, C. Validity and reliability of a new karate-specific aerobic field test for karatekas. Int. J. Sports Physiol. Perform. 2014, 9, 953–958. [Google Scholar] [CrossRef] [PubMed]
- Lee, O.; Jung, J.-W. Validity of borg’s category ratio 10 scale during maximal-graded exercise testing. Exerc. Sci. 2016, 25, 92–99. [Google Scholar] [CrossRef]
- Billat, V.; Renoux, J.C.; Pinoteau, J.; Petit, B.; Koralsztein, J.P. Times to exhaustion at 90, 100 and 105% of velocity at vo2 max (maximal aerobic speed) and critical speed in elite long-distance runners. Arch. Physiol. Biochem. 1995, 103, 129–135. [Google Scholar] [CrossRef] [PubMed]
- Bangsbo, J.; Iaia, F.M.; Krustrup, P. The yo-yo intermittent recovery test. Sports Med. 2008, 38, 37–51. [Google Scholar] [CrossRef]
- Grgic, J.; Lazinica, B.; Pedisic, Z. Test–retest reliability of the 30–15 intermittent fitness test: A systematic review. J. Sport Health Sci. 2021, 10, 413–418. [Google Scholar] [CrossRef]
- Dominguez-Lara, S. Magnitud del efecto, una guía rápida. Educ. Med. Salud 2018, 19, 251–254. [Google Scholar] [CrossRef]
- Sahin-Uysal, H.; Ojeda Aravena, A.; Ulas, M.; Baez-San Martín, E.; Ramirez-Campillo, R. Validity, reliability, and sensitivity of mobile applications to assess change of direction speed. J. Hum. Kinet. 2023, 88, 217–228. [Google Scholar] [CrossRef]
- Faul, F.; Erdfelder, E.; Buchner, A.; Lang, A.-G. Statistical power analyses using G*Power 3.1: Tests for correlation and regression analyses. Behav. Res. Methods 2009, 41, 1149–1160. [Google Scholar] [CrossRef] [PubMed]
- Hopkins, W.G. Measures of reliability in sports medicine and science. Sports Med. 2000, 30, 1–15. [Google Scholar] [CrossRef] [PubMed]
- Swinton, P.A.; Hemingway, B.S.; Saunders, B.; Gualano, B.; Dolan, E. A Statistical Framework to Interpret Individual Response to Intervention: Paving the Way for Personalized Nutrition and Exercise Prescription. Front. Nutr. 2018, 5, 41. [Google Scholar] [CrossRef] [PubMed]
- Currell, K.; Jeukendrup, A.E. Validity, Reliability and Sensitivity of Measures of Sporting Performance. Sports Med. 2008, 38, 297–316. [Google Scholar] [CrossRef]
- Øvretveit, K. Acute physiological and perceptual responses to brazilian jiu-jitsu sparring: The role of maximal oxygen uptake. Int. J. Perform. Anal. Sport 2018, 18, 481–494. [Google Scholar] [CrossRef]
- Vasconcelos, B.B.; Protzen, G.V.; Galliano, L.M.; Kirk, C.; Del Vecchio, F.B. Effects of high-intensity interval training in combat sports: A systematic review with meta-analysis. J. Strength. Cond. Res. 2020, 34, 888–900. [Google Scholar] [CrossRef]
- Franchini, E.; Cormack, S.; Takito, M.Y. Effects of high-intensity interval training on olympic combat sports athletes’ performance and physiological adaptation: A systematic review. J. Strength. Cond. Res. 2019, 33, 242–252. [Google Scholar] [CrossRef]
- Francino, L.; Villarroel, B.; Valdés-Badilla, P.; Ramirez-Campillo, R.; Báez-San Martín, E.; Ojeda-Aravena, A.; Aedo-Muñoz, E.; Pardo-Tamayo, C.; Herrera-Valenzuela, T. Effect of a six week In-season training program on wrestling-specific competitive performance. Int. J. Environ. Res. Public Health 2022, 19, 9325. [Google Scholar] [CrossRef]



| Variable | CPET | BJJ-CRFT | Statistic (t/Z) | p-Value | ES (d/rSb) | ES Rating |
|---|---|---|---|---|---|---|
| HRrest (bpm) | 63.9 ± 8.6 (44.0–82.0) | 64.3 ± 9.2 (41.0–81.0) | −0.42 | 0.68 | −0.08 | trivial |
| HRmax (bpm) | 185 ± 11.4 (152–203) | 182 ± 10.3 (156–204) | 1.99 | 0.06 | 0.15 | trivial |
| HRmean (bpm) | 155 ± 12.2 (126–170) | 162 ± 9.9 (138–184) | −4.42 | 0.001 ** | −0.60 | small |
| ∆HRR60s (bpm) | 38.9 ± 8.6 (23–61) | 38.9 ± 11.3 (9.4–55.5) | −0.06 | 0.96 | −0.01 | trivial |
| [Lac]rest (mmol·L−1) | 1.3 [1.2–1.4] | 1.3 [1.3–1.7] | −1.16 | 0.26 | −0.35 | moderate |
| [Lac]peak (mmol·L−1) | 10.1 ± 2.5 (6.6–14.9) | 8.7 ± 1.8 (6.1–13.4) | 2.47 | 0.02 * | 0.67 | moderate |
| VO2max (L·min−1) | 3.6 ± 0.6 (2.29–4.39) | — | — | — | — | — |
| VO2max (ml·kg−1·min−1) | 49.2 ± 6.1 (31.0–62.0) | — | — | — | — | — |
| RER | 1.13 ± 0.1 (1.06–1.28) | — | — | — | — | — |
| Test duration (s) | 532.5 ± 92.9 (322–730) | 431.3 ± 112.4 (210–734) | 5.80 | 0.001 ** | 0.92 | moderate |
| RPE (au) | 9.5 ± 0.5 (9.0– 10.0) | 8.8 ± 1.0 (6.0–10.0) | 3.76 | 0.001 * | 0.91 | moderate |
| MAS (km·hr−1) | 13.6 ± 1.7 (10.0–17.0) | — | — | — | — | — |
| Peak velocity (km·h−1) | 14.2 ± 1.6 (11.0–17.0) | — | — | — | — | — |
| Guard passing drill (rep) | — | 202.8 ± 62.3 (87–380) | — | — | — | — |
| Variable | Test | Retest | ICC3,1 (95% CI) | CV% (95% CI) | TE | SWC0.2 | SWC0.6 | SWC1.2 | MDC95% |
|---|---|---|---|---|---|---|---|---|---|
| Guard passing drill (reps) | 202.9 ± 62.3 | 206.0 ± 65.7 | 0.99 (0.97 to 1.00) | 4.4 (3.0 to 5.6) | 6.3 | 12.3 | 36.6 | 73.1 | 17.4 |
| Test duration (s) | 431.3 ± 112.4 | 438.0 ± 117.5 | 0.99 (0.97 to 1.00) | 3.6 (2.5 to 4.7) | 11.0 | 22.0 | 65.9 | 131.9 | 30.4 |
| HRrest (bpm) | 64.3 ± 9.2 | 62.9 ± 7.8 | 0.80 (0.58 to 0.91) | 8.3 (5.7 to 10.9) | 3.8 | 1.8 | 5.4 | 10.8 | 10.4 |
| HRmean (bpm) | 162.2 ± 9.9 | 163.9 ± 9.5 | 0.85 (0.68 to 0.93) | 3.1 (2.1 to 4.1) | 3.6 | 1.9 | 5.8 | 11.6 | 10.1 |
| HRmax (bpm) | 182.4 ± 10.3 | 182.8 ± 10.6 | 0.95 (0.88 to 0.98) | 1.8 (1.2 to 2.4) | 2.4 | 2.0 | 6.0 | 12.1 | 6.6 |
| ∆HRR60s (bpm) | 38.9 ± 11.4 | 41.2 ± 9.9 | 0.84 (0.65 to 0.93) | 13.9 (9.6 to 18.2) | 4.0 | 2.2 | 6.7 | 13.3 | 10.9 |
| [Lac]rest (mmol·L−1) | 1.4 ± 0.3 | 1.5 ± 0.4 | 0.76 (0.51 to 0.89) | 15 (10.3 to 19.7) | 0.2 | 0.1 | 0.2 | 0.4 | 0.4 |
| [Lac]peak (mmol·L−1) | 8.7 ± 1.8 | 8.9 ± 1.7 | 0.51 (0.13 to 0.75) | 19.5 (13.4 to 25.6) | 1.2 | 0.4 | 1.1 | 2.1 | 3.4 |
| RPE (au) | 8.8 ± 1.0 | 9.0 ± 1.0 | 0.62 (0.29 to 0.82) | 9.4 (6.5 to 12.3) | 0.6 | 0.2 | 0.6 | 1.2 | 1.6 |
Disclaimer/Publisher’s Note: The statements, opinions and data contained in all publications are solely those of the individual author(s) and contributor(s) and not of MDPI and/or the editor(s). MDPI and/or the editor(s) disclaim responsibility for any injury to people or property resulting from any ideas, methods, instructions or products referred to in the content. |
© 2025 by the authors. Licensee MDPI, Basel, Switzerland. This article is an open access article distributed under the terms and conditions of the Creative Commons Attribution (CC BY) license (https://creativecommons.org/licenses/by/4.0/).
Share and Cite
Báez-San Martín, E.; Tuesta, M.; Nieto-Jimenez, C.; Ojeda-Aravena, A.; Rojas-Valverde, D.; Yáñez-Sepúlveda, R.; Alvear-Ordenes, I. Validity, Reliability, and Sensitivity of the Brazilian Jiu-Jitsu Cardiorespiratory Fitness Test: A Methodological Approach Based on Combat Specificity. Appl. Sci. 2025, 15, 11124. https://doi.org/10.3390/app152011124
Báez-San Martín E, Tuesta M, Nieto-Jimenez C, Ojeda-Aravena A, Rojas-Valverde D, Yáñez-Sepúlveda R, Alvear-Ordenes I. Validity, Reliability, and Sensitivity of the Brazilian Jiu-Jitsu Cardiorespiratory Fitness Test: A Methodological Approach Based on Combat Specificity. Applied Sciences. 2025; 15(20):11124. https://doi.org/10.3390/app152011124
Chicago/Turabian StyleBáez-San Martín, Eduardo, Marcelo Tuesta, Claudio Nieto-Jimenez, Alex Ojeda-Aravena, Daniel Rojas-Valverde, Rodrigo Yáñez-Sepúlveda, and Ildefonso Alvear-Ordenes. 2025. "Validity, Reliability, and Sensitivity of the Brazilian Jiu-Jitsu Cardiorespiratory Fitness Test: A Methodological Approach Based on Combat Specificity" Applied Sciences 15, no. 20: 11124. https://doi.org/10.3390/app152011124
APA StyleBáez-San Martín, E., Tuesta, M., Nieto-Jimenez, C., Ojeda-Aravena, A., Rojas-Valverde, D., Yáñez-Sepúlveda, R., & Alvear-Ordenes, I. (2025). Validity, Reliability, and Sensitivity of the Brazilian Jiu-Jitsu Cardiorespiratory Fitness Test: A Methodological Approach Based on Combat Specificity. Applied Sciences, 15(20), 11124. https://doi.org/10.3390/app152011124

