Abstract
The dual-cylinder parallel balance oil circuit is an important heavy-duty support mechanism. Driven by the automation and unmanned trend of equipment in various industries, the internal leakage analysis and corresponding fault diagnosis for this mechanism are increasingly being valued. To solve this problem, verified by numerous simulation analyses and theoretical deduction, the pressure signal in the rodless chamber during the pressure maintenance stage was used innovatively to construct the fault features of the internal leakage, which is common and low-cost to be obtained. Then, the wavelet packet decomposition was used to extract three energy features and two time-domain features. Finally, an internal leakage diagnosis was performed based on the five features extracted from the experimental data, and the accuracy and robustness of the proposed five features were verified, which indicated that the proposed fault features and diagnosis method are practical in engineering.
1. Introduction
Multi-cylinder parallel balance oil circuit, as a heavy-duty support mechanism, has been widely used in heavy equipment in fields such as construction, port, and marine engineering [,,,]. Its notable feature is to use multi-hydraulic cylinders in parallel to realize the synchronous support between multiple points, and thus significantly improve the stability and reliability of the equipment. Without loss of generality, an illustration of the dual-cylinder parallel balanced oil circuit is shown in Figure 1, where this mechanism consists of power supply unit, control valve group (Relief valve, Directional valve and Balance valves) and two parallel hydraulic cylinders. However, the severe working environment (water, particle and air contamination, etc.) and long-term continuous load-bearing work cause the failure of this mechanism [,,], and the hydraulic cylinder leakage accounts for the main part of the failure [,]. Therefore, driven by the trend of automation and unmanned development of equipment in various industries, the leakage mechanism of the hydraulic cylinder and corresponding fault diagnosis are increasingly being valued [,].

Figure 1.
An illustration of the dual-cylinder parallel balanced oil circuit.
According to the leakage source, the hydraulic cylinder leakage can be generally divided into external leakage and internal leakage []. The external leakage is the leakage from the high-pressure chamber to the outside environment or components, such as the leakage at the inlet pipeline and the leakage when the piston rod extending. There are currently some methods that rely on machine vision to monitor this problem []. Correspondingly, the internal leakage is the leakage from the high-pressure side to the low-pressure side at the seal of the piston rod, which is inside the hydraulic cylinder and difficult to be detect. The concealment of internal leakage poses a challenge for effective detection in engineering []. Especially, there are multiple sources of internal leakage faults in the multi-cylinder parallel balancing oil circuit.
Basically, the efforts for the diagnosis of hydraulic cylinder leakage can be divided into two categories: mathematical-model-based methods [,,,,] and data-driven based methods [,,]. The mathematical-model-based methods tend to build accurate fault models of internal leakage. Specifically, the extended Kalman filter and the spatial recognition theories have been verified [,,], and also some adaptive modification methods for model error are adopted []. However, considering that the occurrence and evolution of the internal leakage mechanism are nonlinear, the model-based fault diagnosis method suffers degradation in the robustness and generalizability.
The data-driven based methods diagnose the internal leakage by extracting the fault features of historical data, and they have better detection accuracy and generalization performance. Specifically, the data analysis and feature extraction methods of fast fourier transform (FFT), wavelet transform, wavelet packet decomposition and Hilbert Huang transform have been involved [,]. Firstly, the pressure signal features related to the internal leakage were revealed by using the discrete wavelet transform, FFT and Hilbert Huang transform in []. Then, this work has been extended to a diagnostic model of internal and external leakage [,]. Moreover, a time-frequency image method has been proposed based on the continuous wavelet transform of the pressure signal []. In [], the pressure signal and displacement signal of the hydraulic cylinder were collected, and five fault features were extracted using wavelet packet analysis. Furthermore, the wavelet packet decomposition was involved to extract the energy features of the pressure, and then the principal component analysis (PCA) was used for dimensionality reduction and extraction of the internal leakage fault features [].
These works indicate that the time-domain and frequency-domain characteristics of pressure signals are effective tools for constructing internal leakage detection models. However, these models cannot be used to detect the internal leakage in dual-cylinder parallel balanced oil circuit for two aspects:
- As a heavy-duty support mechanism, the work speed of dual-cylinder parallel balanced oil circuit is normally slow, which is different from extracting fault features from pressure signals at high-speed working mode in existing work. Specifically, some fault features have changed, which are presented in the analysis of Section 2.
- The existing fault diagnosis methods for the internal leakage are prone to confuse with those for external leakage.
In this paper, we studied the fault diagnosis of the internal leakage in dual-cylinder parallel balance oil circuit for the first time. The working stages include lifting, pressure maintenance, and retraction. During the pressure maintenance stage, the pressure signal’s main frequency fluctuation was consistent with the mechanism’s natural frequency, which is low due to the large mass and load. With low difficulty and cost in sampling and analyzing, the proposed method is easily applicable in engineering. Since the pressure maintenance stage is common, it facilitates the collection and analysis of pressure signals, which are abundant in leakage features. In summary, the contributions of this paper are as follows:
- The internal leakage diagnosis in dual-cylinder parallel balance oil circuit was studied for the first time, and hydraulic simulation and theoretical analysis were innovatively adopted to study the fault features of the internal leakage in the pressure maintenance stage.
- The internal leakage diagnosis based on the extracted time-frequency domain leakage features from the experimental data was presented, and the accuracy and robustness of the proposed features were verified, which indicated that the proposed fault features and diagnosis method are practical in engineering.
The rest of this paper is organized as follows. Section 2 carries out the hydraulic simulation and theoretical analysis on the leakage fault in the hydraulic cylinder of the dual-cylinder parallel balance oil circuit. Section 3 gives the extracted fault features. Section 4 introduces the hydraulic experimental bench. Section 5 proves the accuracy and robustness of the proposed fault features based on the experimental data. The conclusion is given in Section 6.
2. Hydraulic Simulation and Theoretical Analysis
The hydraulic simulation of the dual-cylinder parallel balance oil circuit was presented when existing internal leakage and the pressure signal in the pressure maintenance stage were analyzed. Then, to verify the simulation results, the theoretical analysis was further proposed, which laid the theoretical foundation for extracting the internal leakage features.
2.1. Simulation Analysis
The simulation analysis was implemented in the Simcenter Amesim 2021.1 environment, and the batch processing function in it was used to improve simulation efficiency.
Specifically, to meet the structural characteristics and load conditions of the dual-cylinder parallel balance oil circuit, the hydraulic simulation model mainly refers to the relevant manuals of the container front crane []. The hydraulic simulation model consists of hydraulic structure and mechanical structure. In the hydraulic structure, the HJ020 model and the HL012 model is used for the hydraulic cylinder and the pipeline. In the HL012 model, the compressibility of the fluid and the expansion of the pipe or hose wall under pressure are considered by using the effective bulk modulus. The friction factor based on Reynolds number and relative roughness is considered for pipeline friction. The pipeline material is galvanized iron. The hydraulic structure is consistent with that in Figure 1, and the corresponding parameters are shown in Table 1. The mechanical structure simulates the cantilever beam support structure as shown in Figure 2, which is common in mechanical equipment [,,,]. All simulations start when the lifting displacement of the hydraulic cylinder is zero. The lifting stage lasts for 5 s, consisting of the acceleration phase (Phase 1) and the stable phase (Phase 2). In Phase 1, high-pressure oil enters the rodless chambers A and B, forcing the piston rod to accelerate and rise. In Phase 2, the acceleration of the piston rod has ended, and the lifting speed has stabilized. The pressure maintenance stage lasts for 10 s, consisting of the pressure fluctuation phase (Phase 3) and the pressure maintenance phase (Phase 4). In Phase 3, the balance valves enter the closing process, which cause the sharp drop in pressure in the rod chamber of the hydraulic cylinder A and B []. In Phase 4, the balance valves are completely closed, and the pressure in the rod chamber of the hydraulic cylinder A and B is only related to the leak. Moreover, the simulation process from retraction stage to the pressure maintenance stage is also verified, and the results are similar. To simulate internal leakage, one orifice is connected between the rod chamber and the rodless chamber of hydraulic cylinder B, and four orifices with different hole diameters (0 mm, 0.4 mm, 0.6 mm, 1 mm) are used to separately simulate healthy (no internal leakage), minor leakage, medium leakage and serious leakage.

Table 1.
Simulation parameters.

Figure 2.
The cantilever beam support structure.
Figure 3 shows the rodless chamber pressure of hydraulic cylinder A and B with different internal leakage. In Phase 1, the directional valve opened quickly, and the pressure increased sharply from 0 s. The pressure gradually stabilized at 1 s, and the simulation entered Phase 2. In Phase 2, the pressure remained stable, and the directional valve and the balance valves began to close at 5 s, and the simulation entered Phase 3. After the sharp drop of pressure, the balance valves were completely closed, and then the simulation entered Phase 4, In Phase 4, when no leakage occurs, the pressure fluctuation was the most obvious and persistent. Then, the pressure fluctuation declineed with the increase in the internal leakage, which is consistent with the analysis in existing work, that is, the internal leakage can damp the fluctuations of hydraulic energy [,]. This high-frequency characteristic inspired the construction of the internal leakage fault features in the frequency domain. Significantly, the main frequency of pressure signal fluctuation in pressure maintenance stage was consistent with the natural frequency of the mechanism (mechanical inertia), which can be estimated by the structural quality and stiffness. Moreover, when no leakage occurs, the pressure can reach a steady state. However, the pressure gradually increased when internal leakage exists, and the growth trend increased with the increase in the internal leakage. This is contrary to the existing work that suggests a low correlation between the internal leakage and low-frequency time-domain signals. The low-frequency characteristic inspired the construction of the internal leakage fault features in the time domain, which is further proven in Section 2.2.

Figure 3.
The rodless chamber pressure of hydraulic cylinder A and B with different internal leakage conditions.
In Figure 4, the main frequency of the pressure signal fluctuation in Phase 4 was further analyzed. Around the main frequency (28 Hz), the pressure signal fluctuation decreases with the increase in the internal leakage, which clearly indicate the damping effect of the internal leakage on high-frequency signals.

Figure 4.
The pressure fluctuation amplitude at the main frequency with different internal leakage levels.
2.2. Theoretical Analysis of the Low-Frequency Characteristic
The dynamic balance equation of the hydraulic cylinder is as follows:
In Phase 2, the rising speed of the piston rod is constant, and its acceleration , the following formula holds:
where is the total mass of piston rod and load, is the piston rod acceleration, is the external load force, is the pressure of rodless chamber, is the pressure of rod chamber, is the effective area of piston in rodless chamber, is the effective area of piston in rod chamber, is the cross-sectional area of the piston rod.
Then, two working conditions can be obtained from Equation (4):
The condition (a) occurs when the structure is light or the oil source pressure is high, which is contrary to the common heavy weight of construction machinery and design specifications in reality. Therefore, our work focuses on the condition (b).
2.2.1. Analysis of Pressure in Different Stages Without Internal Leakage
In the rodless chamber, when no internal leakage exists, the effective volume and the net flow are as follows:
where is the displacement of piston rod, is the initial volume of the rodless chamber, is the initial volume of the rod chamber, is the movement speed of the piston rod, is the oil inflow into the rodless chamber, is the oil inflow into the rod chamber.
The effective bulk modulus within the volume can be calculated as:
where is the fluid bulk modulus, is the wall compliance, is the fluid bulk modulus.
The time derivative of pressure is:
From the above equation, the state equation of the pressure of a single hydraulic cylinder is described as follows []:
where is the effective elastic modulus of oil.
When the Phase 1 starts, . Driven by , , and gradually increase. Then, in the Phase 2, = , and gradually increase to and (, , ), and the following formula holds:
In Phase 3, the rapidly decreases to 0. Correspondingly, according to the Equations (1), (11) and (12), the reduction of can forces the decrease of , and then decreases, which force the decrease of . As a result, and gradually decrease to and , and holds, which can be proved as follows:
Firstly, and holds. In Phase 4, and holds. Then, according to the Equation (1), the following formula holds:
There are two cases: or . If , and hold in Phase 2. To satisfy Equations (4) and (15), conflicts with . Therefore, holds, and the proof is over.
In Phase 4, the net inflow and hold. According to Equations (11) and (12), and remain unchanged, and the hydraulic cylinder is in a stable pressure maintenance state.
2.2.2. Analysis of Pressure in Different Stages with Internal Leakage
Considering the conditions of dual-cylinder parallel and large stiffness of the mechanism, the speed and displacement of the dual-cylinder parallel system are still the same in the case of the internal leakage. Therefore, for intuitive analysis, the cylinder with the internal leakage is used to analyze the fault feature. The leakage rate equation is as follows:
where is the leakage coefficient, is the leakage pressure difference.
In Phase 1, and gradually increase to and , and . Then, in Phase 2, The leakage pressure difference is , which can cause a leakage . According to the Equation (11), can lead to a leakage speed in the retraction direction of the piston rod to maintain the stable pressure in both rod chamber and rodless chamber. Then, we have:
where is the leakage, is the lifting speed of piston rod.
In Phase 3, the rapid closure of the valves can lead to a sudden drop in pressure. At the end of Phase 3, and gradually decrease to and , and holds. Meanwhile, according to Equations (17) and (18), the net flow into the rodless chamber and rod chamber of the internal leakage cylinder are, respectively, as follows:
The velocity of the piston rod is in the direction of retraction. Then, in Phase 4, the initial pressure difference causes the internal leakage, and the pressure difference between the two chambers gradually decreases []. As a result, according to the Equations (16) and (19), continues to decrease, which can lead to the increase in the net inflow into the rodless chamber and the rise of . A similar situation also occurs in the rod chamber of the internal leakage cylinder, which can lead to the rise of . This process continues until , and , that is, the internal leakage disappears, and the piston rod of the cylinder is stable.
In addition, according to Equations (19) and (20), the increase in the internal leakage can intensify the growth trend of the pressure in Phase 4. Therefore, the severity of the internal leakage can be evaluated by the pressure growth trend of the two chambers in Phase 4. Moreover, according to simulation verification, the pressure growth trend in the rodless chamber is more significant than that in the rod chamber. Therefore, the pressure signal of the rodless chamber was used in the subsequent analysis. Furthermore, the slope and pressure increase rate of the pressure signal were selected as the features of the internal leakage.
3. Feature Extraction of Internal Leakage Fault
This section analyzes the internal leakage feature extraction based on the pressure signal in the pressure maintenance phase (Phase 4). Firstly, from the analysis of the frequency domain, the influence of the internal leakage on energy attenuation and energy distribution of signal sub-band was revealed, and three frequency-domain features were extracted. Then, in time domain, the influence of the internal leakage on the steady-state response of the pressure maintaining signal was revealed, and two time-domain features were extracted.
3.1. Wavelet Packet Analysis
The wavelet packet decomposition was used to decompose the original pressure signal into multi-layer signals, that is, the original signal S is decomposed into frequency subbands. At the ith decomposition level, the original signal S can be expressed as []:
Specifically, Daubechies 8 (db8) was selected as the wavelet basis function, which has been widely verified in fault feature extraction [,,].
3.2. Frequency Domain Fault Features
The three frequency-domain features were proposed and verified in [,]. Firstly, the energy value of the subband signal is as follows:
where is the amplitude of the th discrete point of the detail signal .
The energy values are normalized as follows:
Then, the wavelet packet energy entropy is calculated to evaluate the uniformity of energy distribution in high-frequency signals, and it is calculated as follows.
Finally, the wavelet packet energy variance is used to express the probability distribution of wavelet packet energy, and it can be calculated as follows:
where is the average wavelet packet energy of all .
3.3. Time Domain Fault Features
The above analysis shows that the slope and increase rate of the pressure signal in Phase 4 can characterize the influence of the internal leakage. The calculation of pressure slope and pressure increase rate is as follows:
where is the pressure difference in , and are the pressure at time and . The is the starting moment of Phase 4, and the is the lagging moment of 10–20 main frequency oscillation periods after . The length of the intercepted pressure signal should clearly cover the oscillation attenuation information of the signal, and 20 main frequency oscillation periods were adopted in our simulations.
3.4. Fault Features Analysis
To clearly cover the main frequency of pressure signal fluctuation in Phase 4 by the subbands of wavelet packet decomposition, the signal is decomposed by five layers of wavelet transform when the sampling frequency of simulated signal is 1000 Hz, and 32 subbands can be obtained. The high-frequency subbands are affected by the internal leakage damping. Therefore, the subband is not considered when calculating the three energy features; the subbands and corresponding to the main frequency of pressure signal fluctuation are highly valued. The energy distribution of the wavelet packet decomposition of the rodless chamber pressure is shown in Figure 5. The energy value of the high-frequency subbands is small compared with that of the subbands and , and then only the energy value of the subbands and is displayed for contrast. It is clear that the energy values of and gradually decrease with the increase in the internal leakage. As a result, the wavelet packet energy corresponding to the main frequency of pressure signal decreases with the increase in the internal leakage.

Figure 5.
The energy distribution of the wavelet packet decomposition of the rodless chamber pressure.
Both the wavelet packet energy entropy and the wavelet packet energy variance can reflect the energy distribution of pressure signal. With the energy reduction in the main frequency subband when the internal leakage is increasing, the energy distribution in all subbands tend to be evenly distributed. As a result, and the wavelet packet energy entropy trends increase, while the wavelet packet energy variance trends decrease. As shown in Figure 6, the change trend of these two parameters is verified with the increase in the internal leakage, which is consistent with the description in [,].

Figure 6.
Variation curves of wavelet packet energy entropy and energy variance of the rodless chamber pressure.
The pressure slope and pressure increase rate are calculated based on low-frequency subband . Specifically, the wavelet packet coefficients of is used to reconstruct the low-frequency pressure signal, and then the two time-domain features are calculated. As shown in Figure 7, when the internal leakage increases, both the pressure slope and the pressure increase rate gradually increase, which is consistent with the analysis in Section 2.

Figure 7.
Slope and increase rate of pressure under pressure maintaining state.
To sum up, these five fault parameters (three energy features and two time-domain features) are indicated the internal leakage in the dual-cylinder parallel balanced oil circuit.
4. Experimental System
4.1. Construction of Test Bench
The schematic diagram of the hydraulic system test bench (Shanghai, China) is shown in Figure 8, which implements the hydraulic and mechanical structures shown in Figure 1 and Figure 2.

Figure 8.
Schematic diagram of hydraulic system.
The mechanical structure is connected with a triangular base, and the rear of the triangular base is a safety counterweight, and the load (300 kg) is fixed at the end of the cantilever beam. The two parallel cylinders jointly support the up and down movement of the cantilever beam. The cantilever beam is 3 m long, and its initial angle is 30 degrees with the horizontal position.
The hydraulic system is driven by the oil pump. The relief valve can ensure a constant output pressure at 14 MPa. The action of two hydraulic cylinders is controlled by the directional valve. When the directional valve is in the left position (right position), the high-power oil is into the rodless chamber (rod chamber), and the piston rod is pushed out (back). When the directional valve is in the middle position, the hydraulic cylinder is in the pressure maintaining state.
Moreover, to realize the internal leakage, one orifice is connected between the rod chamber and the rodless chamber of hydraulic cylinder B, and four orifices (as shown in Figure 9) with different hole diameters (0 mm, 0.4 mm, 0.6 mm, 1 mm) were used to separately realize healthy (no internal leakage), minor leakage, medium leakage and serious leakage.

Figure 9.
Three orifices for different internal leakages.
4.2. Signal Acquisition and Processing
The pressure signal of the rodless chamber of two hydraulic cylinders was collected separately by two high-precision sensors []. The sampling frequency is 40 Hz, and 30 groups of samples were collected individually under each of the four working conditions (healthy, minor leakage, medium leakage and serious leakage). In all tests, the directional valve was used to control the lifting and retraction of the hydraulic cylinders, and the pressure of rodless chambers was collected when the hydraulic cylinders enter the pressure maintenance phase from the lifting state.
The pressure in the pressure maintaining stage is the focus of this paper, and then one experimental process is as follows:
Step 1: At the beginning, the directional valve is in the middle position, the piston rod is stationary, and the cantilever beam is 30 degrees with the horizontal position. Then, the directional valve is switched to the left position, the piston rod is pushed out to lift the cantilever beam up.
Step 2: Then, when the cantilever beam is lifted to 60 degrees with the horizontal position, the directional valve is switched to the middle position, and the hydraulic cylinders are at the pressure maintaining state, which should last for more than 20 s to produce a sufficient number of oscillation cycles for the cantilever beam. Finally, the directional valve is switched to the right position and the cantilever beam is reset to 30 degrees with the horizontal position.
Figure 10 shows the collected rodless chamber pressure of the leakage hydraulic cylinder under four working conditions. It is clear that the pressure signal in the maintenance phase oscillates obviously, which is related to the mechanical inertia. When no internal leakage exists, the pressure signal has a strong transient response, which tends to be stable after a long time. When the internal leakage exists, the damping effect of the internal leakage on the pressure oscillation increases with the growth of the internal leakage, and the pressure oscillation declines quickly. In healthy state, the pressure signal tends to slightly decrease in the pressure maintenance phase, which is caused by a slight external leakage of the hydraulic cylinders. However, with the increase in leakage, the pressure in the pressure maintenance phase still rises, and the test results are consistent with the above analysis. The specific steps for processing the collected signals are as follows:

Figure 10.
The rodless chamber pressure of leakage cylinder with different working conditions.
Step 1: the pressure signal in the pressure maintenance phase is separated out for analysis, which starting from the moment when the pressure drops sharply; then, the data length is 20 vibration periods (2.4 Hz);
Step 2: Five fault features are extracted by wavelet packet transform.
5. Internal Leakage Fault Diagnosis
In this section, the internal leakage fault in the hydraulic cylinders of dual-cylinder parallel balanced oil circuit is diagnosed based on the proposed features, and the accuracy and robustness of the proposed fault features are verified.
5.1. Accuracy Verification of the Proposed Fault Features
In the existing work, the PCA-based fault diagnosis method transforms the three energy features into principal component and residual subspaces []. The T2 and SPE statistics were used to measure the deviation of test data from the internal leakage threshold, indicating the severity of leakage. As shown in Figure 11, the T2 statistics and SPE statistics based on the three energy features and the proposed five features are presented, respectively. The dashed line represents the control limit at a confidence level of 95%. The fault diagnosis based on five features exhibited a more significant difference in distribution between the internal leakage and healthy datasets in both subspaces.

Figure 11.
The T2 and SPE statistics of three features and five features: (a) T2 statistics of internal leakage in different severity; (b) SPE statistics of internal leakage in different severity.
PCA was used to reduce the dimension of health and minor leakage data to obtain its corresponding feature matrix (Figure 12). The deviation between minor leakage and healthy data for the five features is greater than for the three energy features. Furthermore, the Euclidean distance between data cluster centers was used to calculate the deviation between each internal leakage condition and the healthy condition, as shown in Figure 13. It is clear that the newly proposed features are more accurate in diagnosing the internal leakage by their deviation.

Figure 12.
The feature matrix obtained by PCA dimensionality reduction.

Figure 13.
The Euclidean distance between healthy data and internal leakage data.
In practical engineering, it is difficult to obtain sufficient historical data, and it is more common to use the initial data with certain leakage to train the fault diagnosis model, and new data are constantly added to dynamically update the fault diagnosis model. Therefore, in order to further verify the effectiveness of the proposed features, the data set was further divided, as shown in Table 2.

Table 2.
Partitioned dataset.
Figure 14 shows the detection accuracy of T2 statistics and SPE statistics based on three features and five features under different training sets. The newly proposed features method always maintains a high detection success rate as new internal leakage data is added to the training set. However, in T2 statistics, the existing three energy features method suffers a decline in detection success rate with the addition of new internal leakage data. As a result, the newly proposed five features has stronger generalization ability for the internal leakage diagnosis.

Figure 14.
The accuracy of T2 statistics and SPE statistics based on three features and five features under different training sets: (a) Accuracy of T2 statistics in different data sets; (b) Accuracy of SPE statistics in different data sets.
5.2. Robustness Verification of the Proposed Fault Features
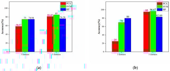
In order to further verify the robustness of the proposed features for the internal leakage diagnosis, more diagnostic methods and datasets were introduced. Firstly, the widely used SVM and BP neural network were introduced for comparison. Support vector machine (SVM) is a binary classification model, which maps the samples to a high-dimensional space by introducing a kernel function, so as to find a suitable hyperplane for classification []. Back Propagation (BP) neural network is a multi-layer feedforward neural network, which uses back-propagation algorithm to train the weights and biases in the network, so as to achieve accurate prediction or classification []. The SVM uses the Radial Basis Function (RBF) with penalty parameter c = 1.8 and kernel function parameter g = 16. BP algorithm has three layers of network structure, and seven neurons are used in the hidden layer. The final diagnosis result is shown in the Figure 15. Specifically, the diagnostic results based on the Data 2 and Data 3 are listed, and the results based on Data 1 are all accurate and are not listed. It is clear that the detection accuracy of the three internal leakage diagnosis methods based on the proposed five features exceeds that of methods based on the existing three energy features.

Figure 15.
The accuracy of three features and five features based on three diagnosis methods under different training sets: (a) Accuracy of different methods obtained with Data 2; (b) Accuracy of different methods obtained with Data 3.
Moreover, 30 samples, 60 samples, and 120 samples were randomly selected from the 120 sample sets, which consists of 30 healthy datasets, 30 minor leakage datasets, 30 medium leakage datasets and 30 serious leakage datasets. Then, the three data sets were divided into the training set and the test set with the proportion of 70% and 30%, respectively.
In addition to the above mentioned SVM and BP neural network, two machine learning algorithms, random forest and AdaBoost, were used. Random forest is an integrated learning method, which improves the accuracy and stability of the model by constructing multiple decision trees and synthesizing their prediction results []. AdaBoost algorithm is an iterative algorithm that trains a new weak classifier at each iteration step and updates sample weights based on its classification performance to obtain the final strong classifier []. These methods based on the proposed five features were used for the internal leakage diagnosis, and the average accuracy was calculated. The parameter settings of these methods are shown in Table 3. Figure 16 presents average accuracies for different methods under the three sample sets. The accuracy of all methods is more than 97% in different sample sets, except for AdaBoost, which achieved an accuracy of 75%. Therefore, the internal leakage fault diagnosis based on the proposed five features is robust.

Table 3.
The parameter settings of fault diagnosis methods.

Figure 16.
The average accuracy of different methods with different sample sets.
6. Conclusions
The dual-cylinder parallel balance oil circuit is an important heavy-duty support mechanism in heavy equipment. In this paper, the internal leakage diagnosis in dual-cylinder parallel balance oil circuit was studied for the first time, which aimed to solve the challenge of detecting the internal leakage from an engineering practical perspective.
- The influence of the internal leakage on pressure characteristics in the pressure maintaining stage was studied by using the method of combining hydraulic simulation and theoretical analysis, which laid a theoretical foundation for the extraction of the internal leakage fault features.
- The pressure signal of the rodless chamber in the pressure maintaining stage of the hydraulic cylinder was innovatively used to construct the fault feature of the internal leakage, and the universal and low-cost fault features were extracted by wavelet packet decomposition.
- The internal leakage diagnosis based on the extracted time-frequency domain leakage features from the experimental data was presented, and the accuracy and robustness of the proposed five features were verified, which indicated that the proposed fault features and diagnosis method are practical in engineering.
In summary, this paper solves the problem of the internal leakage fault diagnosis of dual-cylinder parallel balance oil circuit. The effectiveness and robustness of the proposed diagnosis method were verified by simulation, theory, and experiment. In the future, the features and diagnosis methods of external leakage fault will be studied to realize the intelligent diagnosis of mixed leakage fault.
Author Contributions
Conceptualization, H.Y.; methodology, H.Y.; software, X.W.; data curation, X.W.; writing—original draft preparation, X.W.; writing—review and editing, H.Y. All authors have read and agreed to the published version of the manuscript.
Funding
This research received no external funding.
Institutional Review Board Statement
Not applicable.
Informed Consent Statement
Not applicable.
Data Availability Statement
The data presented in this study are available on request from the corresponding author. The data are not publicly available due to privacy and ethical restrictions.
Conflicts of Interest
The authors declare no conflicts of interest.
References
- Wang, D.Y.; Guan, C.; Pan, S.X.; Zhang, M.J.; Lin, X. Performance analysis of hydraulic excavator powertrain hybridization. Autom. Constr. 2009, 18, 249–257. [Google Scholar] [CrossRef]
- Sun, W.; Peng, X.; Wang, L.T.; Dou, J.; Geng, X.H. Reliability-based weight reduction optimization of forearm of bucket-wheel stacker reclaimer considering multiple uncertainties. Struct. Multidiscip. Optim. 2020, 62, 2765–2782. [Google Scholar] [CrossRef]
- Albar, A.; Randall, R.E.; Dwibarto, B.; Edge, B.L. A bucket wheel dredge system for offshore tin mining beyond the 50 m water depth. Ocean Eng. 2002, 29, 1751–1767. [Google Scholar] [CrossRef]
- Chen, L.R.; Cao, J.F.; Wu, K.; Zhang, Z.R. Application of Generalized Frequency Response Functions and Improved Convolutional Neural Network to Fault Diagnosis of Heavy-duty Industrial Robot. Robot. Comput.-Integr. Manuf. 2022, 73, 102228. [Google Scholar] [CrossRef]
- Lei, J.H.; Liu, C.; Jiang, D.X. Fault diagnosis of wind turbine based on Long Short-term memory networks. Renew. Energy 2019, 133, 422–432. [Google Scholar] [CrossRef]
- Guo, S.; Zhang, B.; Yang, T.; Lyu, D.Z.; Gao, W. Multitask Convolutional Neural Network With Information Fusion for Bearing Fault Diagnosis and Localization. IEEE Trans. Ind. Electron. 2020, 67, 8005–8015. [Google Scholar] [CrossRef]
- Kumar, A.; Vashishtha, G.; Gandhi, C.P.; Tang, H.S.; Xiang, J.W. Sparse transfer learning for identifying rotor and gear defects in the mechanical machinery. Measurement 2021, 179, 109494. [Google Scholar] [CrossRef]
- Shanbhag, V.V.; Meyer, T.J.; Caspers, L.W.; Schlanbusch, R. Failure monitoring and predictive maintenance of hydraulic cylinder—State-of-the-art review. IEEE/ASME Trans. Mechatron. 2021, 26, 3087–3103. [Google Scholar] [CrossRef]
- Zhang, J.L.; Shang, J.; Pramanik, N.; Rao, P.N.; Li, B. Development of low-cost air-based hydraulic leakage detection system through real-time pressure decay data acquisition technology. Int. J. Adv. Manuf. Technol. 2016, 87, 3473–3483. [Google Scholar] [CrossRef]
- Yang, Y.S.; Zhong, M.S.; Yao, H.Q.; Yu, F.; Fu, X.W.; Postolache, O. Internet of Things for Smart Ports: Technologies and Challenges. IEEE Instrum. Meas. Mag. 2018, 21, 34–43. [Google Scholar] [CrossRef]
- Li, K.X.; Li, M.C.; Zhu, Y.H.; Yuen, K.F.; Tong, H.; Zhou, H.Q. Smart port: A bibliometric review and future research directions. Transp. Res. Part E Logist. Transp. Rev. 2023, 174, 103098. [Google Scholar] [CrossRef]
- Goharrizi, A.Y.; Sepehri, N. A Wavelet-Based Approach for External Leakage Detection and Isolation from Internal Leakage in Valve-Controlled Hydraulic Actuators. IEEE Trans. Ind. Electron. 2011, 58, 4374–4384. [Google Scholar] [CrossRef]
- Lyu, C.; Lin, X.J.; Zhang, M.Q.; Ge, C.F.; Yang, J.C. Improved Leakage Detection Generalization Ability for Multiscenes Deployment in Industry. IEEE Sens. J. 2023, 23, 9480–9490. [Google Scholar] [CrossRef]
- Zhao, X.X.; Zhang, S.S.; Zhou, C.L.; Hu, Z.M.; Li, R.; Jiang, J.H. Experimental study of hydraulic cylinder leakage and fault feature extraction based on wavelet packet analysis. Comput. Fluids 2015, 106, 33–40. [Google Scholar] [CrossRef]
- Watton, J. Modelling, Monitoring, and Diagnostic Techniques for Fluid Power Systems; Springer: London, UK, 2007; pp. i–xiii. 360p. [Google Scholar]
- Lei, Y.G.; Lin, J.; Zuo, M.J.; He, Z.J. Condition monitoring and fault diagnosis of planetary gearboxes: A review. Measurement 2014, 48, 292–305. [Google Scholar] [CrossRef]
- Chen, P.; Li, X.; Tang, Z. Simulation analysis of steering gear hydraulic system fault mechanism based on AMESim. In Proceedings of the 2019 5th International Conference on Transportation Information and Safety (ICTIS), Liverpool, UK, 14–17 July 2019; pp. 1496–1499. [Google Scholar]
- Dai, J.Y.; Tang, J.; Huang, S.Z.; Wang, Y.Y. Signal-Based Intelligent Hydraulic Fault Diagnosis Methods: Review and Prospects. Chin. J. Mech. Eng. 2019, 32, 75. [Google Scholar] [CrossRef]
- Gao, Z.W.; Cecati, C.; Ding, S.X. A Survey of Fault Diagnosis and Fault-Tolerant Techniques-Part I: Fault Diagnosis With Model-Based and Signal-Based Approaches. IEEE Trans. Ind. Electron. 2015, 62, 3757–3767. [Google Scholar] [CrossRef]
- Taborri, J.; Palermo, E.; Rossi, S. Automatic Detection of Faults in Race Walking: A Comparative Analysis of Machine-Learning Algorithms Fed with Inertial Sensor Data. Sensors 2019, 19, 1461. [Google Scholar] [CrossRef]
- Warriach, E.U.; Tei, K. A comparative analysis of machine learning algorithms for faults detection in wireless sensor networks. Int. J. Sens. Netw. 2017, 24, 1–13. [Google Scholar] [CrossRef]
- Wang, J.Y.; Mo, Z.L.; Zhang, H.; Miao, Q. Ensemble diagnosis method based on transfer learning and incremental learning towards mechanical big data. Measurement 2020, 155, 107517. [Google Scholar] [CrossRef]
- An, L.; Sepehri, N. Hydraulic actuator leakage fault detection using extended Kalman filter. Int. J. Fluid Power 2005, 6, 41–51. [Google Scholar] [CrossRef]
- An, L.; Sepehri, N. Leakage fault detection in hydraulic actuators subject to unknown external loading. Int. J. Fluid Power 2008, 9, 15–25. [Google Scholar] [CrossRef]
- Huang, W.T.; Guo, J.X.; Liu, Y. Leakage diagnosis method of hydraulic cylinder considering friction and measurement noise. Lubr. Eng. 2020, 45, 91–96+101. [Google Scholar]
- Shi, Z.; Gu, F.; Lennox, B.; Ball, A.D. The development of an adaptive threshold for model-based fault detection of a nonlinear electro-hydraulic system. Control Eng. Pract. 2005, 13, 1357–1367. [Google Scholar] [CrossRef]
- Lei, Y.G.; Yang, B.; Jiang, X.W.; Jia, F.; Li, N.P.; Nandi, A.K. Applications of machine learning to machine fault diagnosis: A review and roadmap. Mech. Syst. Signal Process. 2020, 138, 106587. [Google Scholar] [CrossRef]
- Goharrizi, A.Y.; Sepehri, N. A Wavelet-Based Approach to Internal Seal Damage Diagnosis in Hydraulic Actuators. IEEE Trans. Ind. Electron. 2010, 57, 1755–1763. [Google Scholar] [CrossRef]
- Goharrizi, A.Y.; Sepehri, N. Application of fast Fourier and wavelet transforms towards actuator leakage diagnosis: A comparative study. Int. J. Fluid Power 2013, 14, 39–51. [Google Scholar] [CrossRef]
- Yao, Z.K.; Tang, J.; Rui, T.; Duan, J.H. A time-frequency analysis based internal leakage detection method for hydraulic actuators. Adv. Mech. Eng. 2017, 9, 8. [Google Scholar] [CrossRef]
- Qiu, Z.W.; Min, R.; Wang, D.Z.; Fan, S.W. Energy features fusion based hydraulic cylinder seal wear and internal leakage fault diagnosis method. Measurement 2022, 195, 111042. [Google Scholar] [CrossRef]
- SANY Group. Available online: https://sanyglobal-img.sany.com.cn/product/picture_album/20220428/SANY_RS_2022-120435.pdf (accessed on 13 November 2024).
- Merritt, H.E. Hydraulic Control Systems; Wiley: New York, NY, USA, 1967; pp. i–ix. 358p. [Google Scholar]
- Wang, L.; Wu, X.q.; Zhang, C.; Shi, H. Hydraulic system fault diagnosis method based on a multi-feature fusion support vector machine. J. Eng. 2019, 2019, 215–218. [Google Scholar] [CrossRef]
- Blackburn, J.F. Fluid Power Control; Technology Press of M.I.T.: Cambridge, MA, USA, 1960; 710p. [Google Scholar]
- Daubechies, I. Ten Lectures on Wavelets; Society for Industrial and Applied Mathematics: Philadelphia, PA, USA, 1992; pp. i–xix. 357p. [Google Scholar]
- Jin, Y.; Shan, C.Z.; Wu, Y.; Xia, Y.M.; Zhang, Y.T.; Zeng, L. Fault Diagnosis of Hydraulic Seal Wear and Internal Leakage Using Wavelets and Wavelet Neural Network. IEEE Trans. Instrum. Meas. 2019, 68, 1026–1034. [Google Scholar] [CrossRef]
- Huba Control Official Website. Available online: https://www.hubacontrol.com/en/products/pressure-transmitter/pressure-sensor-520 (accessed on 13 November 2024).
- Shao, K.; Fu, W.; Tan, J.; Wang, K. Coordinated approach fusing time-shift multiscale dispersion entropy and vibrational Harris hawks optimization-based SVM for fault diagnosis of rolling bearing. Measurement 2021, 173, 108580. [Google Scholar] [CrossRef]
- Li, L.; Tao, J.-F.; Huang, Y.-X.; Liu, C.-L. Internal Leakage Detection of Hydraulic Cylinder Based on BP Neural Network. Chin. Hydraul. Pneum. 2017, 7, 11–15. [Google Scholar] [CrossRef]
- Wei, Y.; Yang, Y.; Xu, M.; Huang, W. Intelligent fault diagnosis of planetary gearbox based on refined composite hierarchical fuzzy entropy and random forest. ISA Trans. 2021, 109, 340–351. [Google Scholar] [CrossRef] [PubMed]
- Cao, Y.; Miao, Q.-G.; Liu, J.-C.; Gao, L. Advance and prospects of AdaBoost algorithm. Acta Autom. Sin. 2013, 39, 745–758. [Google Scholar]
Disclaimer/Publisher’s Note: The statements, opinions and data contained in all publications are solely those of the individual author(s) and contributor(s) and not of MDPI and/or the editor(s). MDPI and/or the editor(s) disclaim responsibility for any injury to people or property resulting from any ideas, methods, instructions or products referred to in the content. |
© 2025 by the authors. Licensee MDPI, Basel, Switzerland. This article is an open access article distributed under the terms and conditions of the Creative Commons Attribution (CC BY) license (https://creativecommons.org/licenses/by/4.0/).