Next Article in Journal
Sediment-Based Unfired Bricks Reinforced with Waste Flax Fibers: Implementation, Physical Aspects and Kinetics of Air Drying—Part I
Next Article in Special Issue
Information Propagation and Bionic Evolution Control of the SEBAR Model in a Swarm System
Previous Article in Journal
Comparison of Real-Time Methods Demonstrating the Effects of Reduced Glutathione on Olfactory Neuroblasts
Previous Article in Special Issue
Comparison of Emission Properties of Sustainable Aviation Fuels and Conventional Aviation Fuels: A Review
 
 
Font Type:
Arial Georgia Verdana
Font Size:
Aa Aa Aa
Line Spacing:
Column Width:
Background:
Article

A Bionic Social Learning Strategy Pigeon-Inspired Optimization for Multi-Unmanned Aerial Vehicle Cooperative Path Planning

1
China North Vehicle Research Institute, Beijing 100072, China
2
Beijing Institute of Astronautical Systems Engineering, Beijing 100076, China
*
Author to whom correspondence should be addressed.
Appl. Sci. 2025, 15(2), 910; https://doi.org/10.3390/app15020910
Submission received: 4 November 2024 / Revised: 6 January 2025 / Accepted: 9 January 2025 / Published: 17 January 2025
(This article belongs to the Special Issue Design and Application of Bionic Aircraft and Biofuels)

Abstract

This paper proposes a bionic social learning strategy pigeon-inspired optimization (BSLSPIO) algorithm to tackle cooperative path planning for multiple unmanned aerial vehicles (UAVs) with cooperative detection. Firstly, a modified pigeon-inspired optimization (PIO) is proposed, which incorporates a bionic social learning strategy. In this modification, the global best is replaced by the average of the top-ranked solutions in the map and compass operator, while the global center is replaced by the local center in the landmark operator. The paper also proves the algorithm’s convergence and provides complexity analysis. Comparison experiments demonstrate that the proposed method searches for the optimal solution while guaranteeing fast convergence. Subsequently, a path-planning model, detection units’ network model, and cost estimation are constructed. The developed BSLSPIO is utilized to generate feasible paths for UAVs, adhering to time consistency constraints. The simulation results show that the BSLSPIO generates feasible paths at minimum cost and effectively solves the UAVs’ cooperative path-planning problem.

1. Introduction

In recent years, global optimization problems have found extensive applications across various fields, including business, engineering, and science. These problems typically involve input variables that are nonconvex, discontinuous, or high-dimensional. Since the 1990s, bio-inspired computing algorithms (BCAs) [1], drawing on principles from bionics, mathematics, computer science, and other disciplines, have been extensively researched, particularly in addressing NP-hard problems [2].
The BCAs are generally categorized into three main types: evolutionary algorithms, physics-inspired algorithms, and swarm intelligence algorithms. The first category includes methods such as differential evolution [3] and genetic algorithms [4], with extensions such as the deep learning-enhanced differential evolution approach [5], triple competitive differential evolution [6], modified genetic algorithms [7], and the hybrid quantum genetic algorithm [8]. The second category encompasses algorithms that emulate physical and chemical laws observed in nature, including the car tracking optimization algorithm [9], earthworm optimization algorithm [10], lightning search algorithm [11], and atom search optimization [12]. In addition to classical swarm intelligence algorithms, such as particle swarm optimization [13], ant colony optimization [14], and artificial bee colony [15], some novel methods mimicking the social behaviors of animals have emerged, including pigeon-inspired optimization (PIO) [16], the gray wolf optimizer [17], and the whale optimization algorithm [18].
The pigeon-inspired optimization (PIO) algorithm, inspired by pigeons’ homing behaviors, demonstrates strong performance across various applications, including UAV formation [19], image processing [20], path planning [21], optimal control [22], and other problem domains [23]. Numerous PIO variants have been developed, which can be grouped into four main categories [24]. (1) Component replacement: These variants introduce parameter regulation mechanisms into the PIO through coefficient modifications, such as the Gaussian mutation PIO [25] and Cauchy mutation PIO [26]. (2) Operation addition: This category includes hybrids that incorporate heterogeneous learning mechanisms, such as quantum entanglement PIO within comprehensive learning PIO variants [27,28]. (3) Structure adjustment: The modifications address both the sequencing of operators and classified updating of individuals, such as the adjacent disturbances and integrated-dispatching PIO [29] and the social class PIO [30]. (4) Application expansion: For multi-objective PIO, pigeons are evaluated using non-dominated sorting and crowded comparison [31]. In discrete manufacturing, a discrete knowledge-based PIO has been applied to optimize energy efficiency [32].
In recent decades, UAVs have achieved remarkable advancements due to rapid technological progress, leading to successful deployment across various fields. Nevertheless, individual UAVs remain limited in adaptability and capability for executing complex tasks, making UAV cooperation a primary focus. As a significant and challenging research topic, cooperative path planning for UAVs and trajectory tracking control based on path planning results has garnered considerable attention from researchers [33]. Path-planning models and efficient algorithms are necessary, such as the A* algorithm [34], artificial potential field [35], Voronoi diagram [36], Dubins curve [37], and mesh grid models [38], are crucial to generate suitable paths. However, most of them are designed for single-UAV scenarios and may not be well suited for multi-UAV operations. Although the artificial potential field (APF) method is effective in achieving collision-free, cohesive UAV flights, its tendency toward local minima limits its application in complex environments [39]. Sequential convex programming (SCP) has been recognized as a primary solution, yet its high computational cost hinders practical application. To address time constraints, a straightforward approach is to require all UAV paths to have the same number of waypoints and synchronized arrival times [40]. Therefore, this paper assumes that the waypoint arrival time and timestamp increments are identical for each UAV.
The primary contributions of this paper are as follows: (1) A bionic social learning strategy PIO (BSLSPIO) is developed. Unlike other PIO variants, this improved method retains the core operations of the standard PIO while introducing only two additional parameters. Comparative experiments demonstrate its distinct and competitive advantages. (2) Multi-UAV path-planning models with various constraints to simulate real-world environments are proposed, and optimized executable paths are generated.
The remainder of this paper is organized as follows. Section 2 reviews the standard PIO and presents the principles of the BSLSPIO. Then, the stability and complexity are proved. Section 3 demonstrates the efficiency of the proposed methods through comparative experiments. The influence of additional parameters of the BSLSPIO is also discussed. Section 4 introduces the cooperative path planning scenario. Then, multi-UAV path-planning models and cost functions are designed. Finally, the path-planning simulations satisfying some constraints are conducted. Conclusions and future work are presented in Section 5.

2. Bionic Social Learning Strategy Pigeon-Inspired Optimization

2.1. Review of Standard Pigeon-Inspired Opimization

Research indicates that pigeons navigate their way home by utilizing the Earth’s magnetic field, the sun, and various landmarks [41,42]. As illustrated in Figure 1, when pigeons fly from a distant location, they use a compass-like tool for navigation [16]. During the journey, they gradually rely on landmarks to correct their routes. Pigeons that are unfamiliar with the landmarks will follow experienced ones to reach their destination.
  • Map and compass operator:
For pigeon i , the position and speed are denoted as X i ( t ) and V i ( t ) , respectively. The update equations are expressed as follows:
V i ( t + 1 ) = V i ( t ) e R t + r a n d X g b e s t X i ( t )
X i ( t + 1 ) = X i ( t ) + V i ( t + 1 )
where R is the map and compass factor and r a n d 0 , 1 , X g b e s t is the global best solution.
  • Landmark operator:
All pigeons are ranked based on fitness values, and some of the better-performing individuals are retained. The population N p ( t ) is halved after each iteration. For pigeon i , the position updating is described as follows:
N p ( t + 1 ) = N p ( t ) / 2
X i ( t + 1 ) = X i ( t ) + r a n d X c e n t e r ( t ) X i ( t )
X c e n t e r ( t ) = j S p ( t ) X j ( t ) f ( X j ( t ) ) N p ( t ) j S p ( t ) f ( X j ( t ) )
where X c e n t e r ( t ) is the center position of the left pigeons. S p t and f ( X j ( t ) ) are the set of superiors and the cost function, respectively.

2.2. A Bionic Social Learning Strategy Pigeon-Inspired Optimization

Various mechanisms have been investigated within social learning theory in recent years, including stimulus enhancement and local enhancement [43], contagion [44], and social facilitation [45]. Among them, imitation is considered the most powerful learning mechanism [46,47]. In the standard PIO, individuals progressively move closer to the global best position by imitating their neighbors. Unlike previous PIO variants, which often introduce additional parameters or increase complexity, the bionic social learning strategy PIO maintains the essential operations of the original PIO while incorporating only two additional parameters.
In the first stage, each pigeon learns from the average position of some superior individuals. This operation retains the benefits of the optimal individual while accounting for diverse advantages from others. The velocity update equations are expressed as follows:
V i ( t + 1 ) = V i ( t ) e R t + r a n d X m e a n t X i ( t )
X m e a n ( t ) = j S b t ω j X j
where S b t = X 1 , X 2 , , X N S b is a set. N S b is the element number. ω j is a weight coefficient, ω 1 + ω 2 + + ω N s b = 1 , ω 1 > ω 2 > > ω N s b . Figure 2a illustrates a special case N S b = 3 . The exploration ability primarily depends on X m e a n t . When N S b = 1 , Formula (6) is equal to Formula (1). When N S b = N p , an individual can learn from the average position of the entire population.
In the second stage, the operation for reducing the population is omitted. All individuals are connected end-to-end and randomly divided into N c parts. At the same time, the global center X c e n t e r ( t ) is replaced by the local center X c e n t e r i ( t ) . It not only reconstructs the topological space but also enriches individual diversity by learning from various neighbors. Then, the position is updated as follows:
X i ( t + 1 ) = X i ( t ) + r a n d X c e n t e r i ( t ) X i ( t )
X c e n t e r i ( t ) = j S d ( X i ) X j ( t ) f ( X j ( t ) ) N S d i j S d ( X i ) f ( X j ( t ) )
where S d ( X i ) and N S d i represent the neighbor set and neighbor number, respectively. Figure 2b presents the case of N c = 4 . The neighbor set of X 2 is S d X 2 = { X 1 , X 3 } , N S b 2 = 2 , and the neighbor set of X N p 2 is S b X N p 2 = { X N p 4 , X N p 3 , X N p 1 } , N S d N p 2 = 3 .

2.3. Convergence Proof of the Bionic Social Learning Strategy Pigeon-Inspired Optimization

In the BSLSPIO, R adjusts the inertia weight of velocity, while r a n d X m e a n t X i t and r a n d X c e n t e r i t X i t represent bionic social learning behaviors.
Exploration is essential in the initial stage to perform the global calculations and locate the optimum regions. To achieve a smooth transition between the two stages, the sigmoid functions 1 1 / 1 + e ( t T m a x 1 ) α and 1 / 1 + e ( t T m a x 1 ) α are designed with additional α , and thus, it is necessary to analyze its influence. Figure 3a,b present the cases of α = 0.1 , 0.4 , 0.7 , 1 with T m a x 1 = 100 , T m a x 1 + T m a x 2 = 200 . It can be seen that the function values 1 1 / 1 + e ( t T m a x 1 ) α decrease with t . The curves become steeper as α increases. When t T m a x 1 , the values are nearly equal to 1. When T m a x 1 < t T m a x 1 + T m a x 2 , the values are approximately equal to 0. As to the function 1 / 1 + e ( t T m a x 1 ) α , when α = 1 , it maintains the relative independence of the two stages while ensuring a smooth transition. Therefore, the speed and position updating can be rewritten as follows:
V i t + 1 = 1 1 / 1 + e ( t T m a x 1 ) V i t e R t + r a n d X m e a n t X i t + 1 / 1 + e ( t T m a x 1 ) r a n d X c e n t e r i t X i t
X i t + 1 = X i t + V i t + 1
Then, Formulas (10) and (11) can be rewritten into matrix form:
V i ( t + 1 ) X i ( t + 1 ) = A V i ( t ) X i ( t ) + B X m e a n X c e n t e r i
A = w 1 w 2 + w 3 w 1 1 w 2 + w 3 , B = w 2 w 3
where w 1 = 1 1 / 1 + e ( t T m a x 1 ) e R t , w 2 = 1 1 / 1 + e ( t T m a x 1 ) r a n d , w 3 = 1 / 1 + e ( t T m a x 2 ) r a n d .
The characteristic polynomial of the matrix A is as follows:
λ I A = λ 2 w 2 + w 3 1 w 1 λ + w 1
where λ 1 and λ 2 are the roots.
The spectral radius of the matrix A is as follows:
ρ ( A ) = max 1 i 2 λ i = λ 1 , λ 2
When 1 < w 1 0 , ρ ( A ) is expressed as follows:
ρ ( A ) = γ 1 + γ 2 2 , 0 < w 2 + w 3 < 1 + w 1 γ 1 + γ 2 2 , 1 + w 1 < w 2 + w 3 < 2 + 2 w 1
where γ 1 = w 2 + w 3 + 1 + w 1 , γ 2 = w 2 + w 3 1 w 2 4 w 1 .
Therefore, the parameters’ ranges satisfied ρ ( A ) < 1 are given by
1 < w 1 < 1 0 < w 2 + w 3 < 2 + 2 w 1
For the BSLSPIO, we have w 1 , w 2 , w 3 0 , 1 . Therefore, the proposed algorithm satisfies the convergence conditions.

2.4. Complexity Analysis of the Bionic Social Learning Strategy Pigeon-Inspired Optimization

Given that the population size is N p , the search space dimension is N , and the iteration thresholds are T m a x 1 and T m a x 2 . It can be deduced from Formulas (7) and (8) that the evolution cost is O N p N + log N p and the complexity of the map and compass operator is O N p N + log N p T m a x 1 . Similarly, according to Formulas (9) and (10), the evolution cost is O N p N + N p , and the complexity of the landmark operator is approximately O N p N T m a x 2 . Thus, the total complexity of the BSLSPIO is O N p N + log N p T m a x 1 + N p N T m a x 2 . Because the modified method does not add other operations, it can be concluded that the BSLSPIO is at least as efficient as the standard PIO in terms of computation costs and computational complexity.

3. Experiment and Analysis of the Benchmark Functions Test

3.1. Performance on Uni-Modal and Multi-Modal Benchmark Functions

The comparison experiments are conducted between the BSLSPIO, PIO, the constriction factor PSO (CFPSO) [48], and the time-varying acceleration coefficients PSO (TVACPSO) [49] over 30 independent runs in Matlab 2017b. The computer configuration is Windows 11 and i5-6300U CPU@2.40 GHz. Thirteen widely used benchmark functions are listed in Table 1, where F1 to F5 are the uni-modal functions, F6 is a step function, and F7 to F13 are the multi-modal functions [50]. The maximum iteration number is 2000. The parameter settings are presented in Table 2. The results of N = 50 are listed in Table 3, where the gray shading represents the optimal solution. Figure 4 presents the comparison results of some of the functions. To evaluate the performance of the BSLSPIO, Table 4 provides the testing results of N = 1000.
The results indicate that the BSLSPIO outperforms the other algorithms for ten out of thirteen functions (F1 to F7 and F9 to F11), achieving optimal solutions for seven uni-modal functions and three multi-modal functions. Notably, for functions F1 to F4, F6, and F9 to F11, the BSLSPIO attains optimal solution 0. In terms of accuracy, F7 can also be considered as achieving the optimal solution. Compared to the PIO and BSLSPIO, the improvement offered by the BSLSPIO is significant. Although the CFPSO and TVPSO demonstrate better performances for F8, F12, and F13, the BSLSPIO is still outstanding. Additionally, the BSLSPSO retains fast convergence, particularly on uni-modal functions, while also enhancing performance on multi-modal functions, especially for F9 to F11.
To validate the aforementioned conclusion, two typical uni-modal functions, F3 and F5, and two typical multi-modal functions, F9 and F11, are presented in Figure 4. It is evident that the BSLSPIO exhibits the fastest convergence speed, whereas the CFPSO, TVPSO, and PIO have comparatively slower convergence rates. To further assess the extensibility of the BSLSPIO, experiments are conducted on the same functions with N = 1000. The simulation results demonstrate that the BSLSPIO achieves optimal solutions for functions F1 to F4, F6, and F9 to F11. Under the condition of absolute precision, F7 is also regarded as having found the optimal solution. Although the BSLSPIO does not attain optimal solutions for functions F5, F8, F12, and F13, the BSLSPIO still demonstrates impressive performance even in high-dimensional scenarios.

3.2. Influence of the Additional Parameters

Compared to the basic PIO, the BSLSPIO introduces only two parameters N S b and N c , and the sorting operation in the original landmark operator is modified to the map and compass operator. Since the impact of the parameters in the basic PIO has been discussed in previous studies [24], this part will focus on additional parameters.
In the map and compass operator, the N S b affects both exploration ability and convergence speed. A larger value of N S b allows an individual to acquire more knowledge from others. However, this also significantly reduces the influence of the optimal individual, which can impact convergence. Additionally, it enhances the diversity of the population, helping to prevent the phenomenon of ‘prematurity’. Therefore, by selecting appropriate values for N S b , both the rapidity and the diversity of the population can be ensured.
In the landmark operator, X c e n t e r i affects the exploitation capability. By dividing the population into several parts, the diversity across different dimensions is enhanced, effectively mitigating the occurrence of a local optimal. Consequently, a larger value of N c leads to greater diversity within the population. This also increases the likelihood of adopting a ring topology, where each individual has two neighbors when N c = N p 1 . Thus, by selecting appropriate values for N c , the exploitation ability of the modified algorithm can be guaranteed.

4. UAV Path Planning with Cooperative Detection Using BSLSPIO

4.1. UAV Model

Assuming that the path planning begins at time T s t a r t and finishes at time T e n d , the time increment between waypoints is equal for UAVs. Given the waypoint number N (the meaning of this variable is the same as the spatial dimension of the BSLSPIO), the time interval between two points is T s t e p = T e n d T s t a r t / N . In addition, the UAVs maintain constant altitudes and the global frame is simplified to X g O g Y g , and the velocity and position of UAV m 1 , 2 , , M at waypoint n 1 , 2 , , N are denoted as V m , n = V x m , n , V y m , n T , P m , n = P x m , n , P y m , n T , respectively. When the starting and ending points are S m = S x m , S y m T and E m = E x m , E y m T , the navigation point is expressed as follows:
P m , n = P m , n 1 + V m , n T s t e p
In addition, a local coordinate X m O m Y m is constructed, where the line connecting the starting and ending points is the X-axis. Figure 5 depicts the transition from the global frame to the local frame, and then the deflection angle ψ m g between two frames satisfies the following equation:
ψ m g = arctan E y m S y m E x m S x m
V ¯ x m , n V ¯ y m , n = cos ψ m g sin ψ m g sin ψ m g cos ψ m g V x m , n V y m , n
P ¯ x m , n P ¯ y m , n = cos ψ m g sin ψ m g sin ψ m g cos ψ m g P x m , n P y m , n

4.2. Path-Planning Models

  • Models of the detection network:
The detection network is designed to characterize communication quality and comprises a connectivity model and a communication reliability model. In this paper, the detection units represent the impact of different forbidden areas.
Firstly, the concepts of the average degree, clustering coefficient, and path length are introduced to describe the connectivity model. The average degree, which represents the quantity of information interaction, can be determined via the following equation:
d ¯ = 1 / N n e t i = 1 N n e t d i
where N n e t is the detection units’ number and d i is the node degree of i 1 , 2 , , N n e t .
The average clustering coefficient measures the redundancy of local information, and is given as follows:
c ¯ = 1 / N n e t i = 1 N n e t c i
where c i = 2 ε i d i d i 1 , ε i is the edge number of unit i .
The path length indicates the maximum distance between the unit i and j 1 , 2 , , N n e t in the network. It measures the transmission performance and efficiency between any two units, which is given by the following equation:
l ¯ i , j = max i j , i , j ε i l i , j
where l i , j represents the path length from the unit i to j .
Then, the connectivity between the two units is as follows:
p i , j = d ¯ c ¯ / l ¯ i , j
In addition, the communication reliability model is formulated as an exponential function linked to the waypoint index:
ξ = e σ Δ
where σ 0 , 1 and Δ are the offset of the current waypoint index number and the formerly passed-through waypoint index, respectively.
Therefore, the communication quality is determined by the following equation:
q i , j = p i , j ξ
  • Detection modeling:
Two types of detection units can communicate with each other to share information. For type I, the indicating probability of unit i at waypoint n of UAV m is calculated as follows:
p A i , m , n = 1 i j , j = 1 N p a s s 1 p r j , m , n q i , j
where N p a s s is the number of units passed. p r j , m , n is the detection probability of unit j at a waypoint n without the indicating probability, which is calculated as follows:
p r j , m , n = 1 / 1 + ( r 2 R j , m , n 4 / σ j , m , n ) r 1
where r 1 , r 2 are the parameters of the detection unit, R j , m , n is the distance between UAV m and detection unit j at the waypoint n . σ j , m , n E μ satisfies exponential distribution.
The detection probability of all units of type I at waypoint n is expressed as follows:
p d e t e c t m , n = 1 i = 1 N n e t 1 p S D i , m , n
where p S D i , m , n = 1 1 p r i , m , n 1 p A i , m , n .
Then, the detection cost of type I is calculated using the following equation:
F D m , n = 10 4 p d e t e c t m , n ,   if   p d e t e c t m , n > p l i m d 0   else  
where p lim d is a detection threshold.
For the type II, the maximum/minimum ranges are R m a x k and R m i n k , then the detection possibility is calculated using the following equation:
p t k , m , n = exp 2 R k , m , n R m i n k + R m a x k 2 R m a x k R m i n k 2   if R m i n k R k , m , n R m a x k 0 , else
where R k , m , n is the distance between the UAV m and the center position of the unit k at the waypoint n , R m i n k = 1 / 2 R m a x k .
Combined with the detection probability of the type I, the comprehensive probability is
p K m , n = p t m , n p d e t e c t m , n
where p t m , n = 1 k = 1 N m i s s i l e 1 p t k , m , n .
Then, the detection cost of type II is calculated as follows:
F K m , n = 10 4 p K m , n ,   if   p K m , n > p l i m k 0   else  
Finally, the total costs of detection units are given as follows:
F T h r e a t m = n = 1 N F D m , n + F K m , n
  • Mountains cost:
The mountains are represented obstacles, which can be simplified as the trapezoidal cylinders. The mountain cost of UAV m is determined as follows:
F o m , n = 10 4 1 P m , n P o , if   h < h o   and   P m , n P o 1 h h o R a o + h h o R b o 0   else        
where P o denotes the two-dimensional global position and h o represents the mountain’s height. R a o and R b o ( R a o > R b o ) are the bottom and top radius of the mountain surface, respectively.
Then, the mountain cost is calculated using the following equation:
F m o u n t m = o = 1 N m o u n t n = 1 N F o m , n
  • Coordination costs:
The coordination cost ensures that the UAVs can communicate with each other without internal collision. Given that the safety distance is d s a f e and communication range is r c o m m u , suppose that the neighbor of the UAV m is labeled m 1 , 2 , , M , m m . Then, the coordination cost is calculated as follows:
F c o o r m = 0 ,   if   d s a f e P m , n P m , n r c o m m u 10 5 , else      
In summary, the total costs combined with the path length can be described as shown below:
F c o s t m = F T h r e a t m + F c o o r m + F p a t h m
where F p a t h m is the length of the candidate path.
  • Flight constraints:
The velocity and time stamp are influenced by flight constraints, such as the maximal voyage L m a x , the minimal step length S m i n , the airspeed range V m i n , V m a x , and the minimum turning radius R m i n . The straight-line distance between the starting and the ending points is L m , then the time stamps satisfy the following equation:
T s t e p = m = 1 M T m i n m , T m a x m
T m i n m = max S m i n V m a x , L m V m a x N T m a x m = min L m a x V m i n N , L m V m i n N , T m a x N
where T m a x is the longest endurance time and denotes the intersection.
The common arrival time is given by the following equation:
T e n d = N T s t e p + T s t a r t
The maximum yaw angle is expressed as follows:
ψ m a x = arcsin V m i n T s t e p 2 R m i n
In the local frame X m O m Y m , we have V ¯ x m , n = L m / N T s t e p , and then the BSLSPIO is used to generate the optimal solution V ¯ y m , n V ¯ x m , n tan ψ max , V ¯ x m , n tan ψ max .

4.3. Simulation

The BSLSPIO is utilized to generate the optimal V ¯ y m , n for each UAV while minimizing the cost. The dimension of the BSLSPIO aligns with the waypoints represented by N . Then, the global velocity V m , n and position P m , n can be obtained. The parameters are detailed in Table 5, and the path-planning results are illustrated in Figure 6. The procedure is summarized by the following steps.
Step 1: Initialize the UAVs states, environmental settings, communication range, the UAVs’ number, start points and destination points, etc.
Step 2: Assign values to constraints, such as the start time, the arrival time, and the time stamp. Then, calculate the constant lateral V ¯ x m , n and the variation range of the longitudinal V ¯ y m , n under the local frame.
Step 3: Initialize the parameters of the BSLSPIO. The individual solutions are composed of the velocity and position. The elements that need to be optimized are V ¯ y m , n .
Step 4: Select a candidate solution and calculate the cost F c o s t m per iteration.
Step 5: Update the candidate solution using the BSLSPIO. When the candidate solutions are identified, output the optimal components; otherwise, go to Step 4.
Each UAV executes the BSLSPIO process in parallel, which helps reduce the computation cost. The velocities generated by the optimal solutions represent the desired velocities in each local frame. Once the velocities for the UAV’s navigation points have been determined, the positions of each waypoint can be calculated. A path-smoothing technique is applied to eliminate the sharp corners and polish the paths.
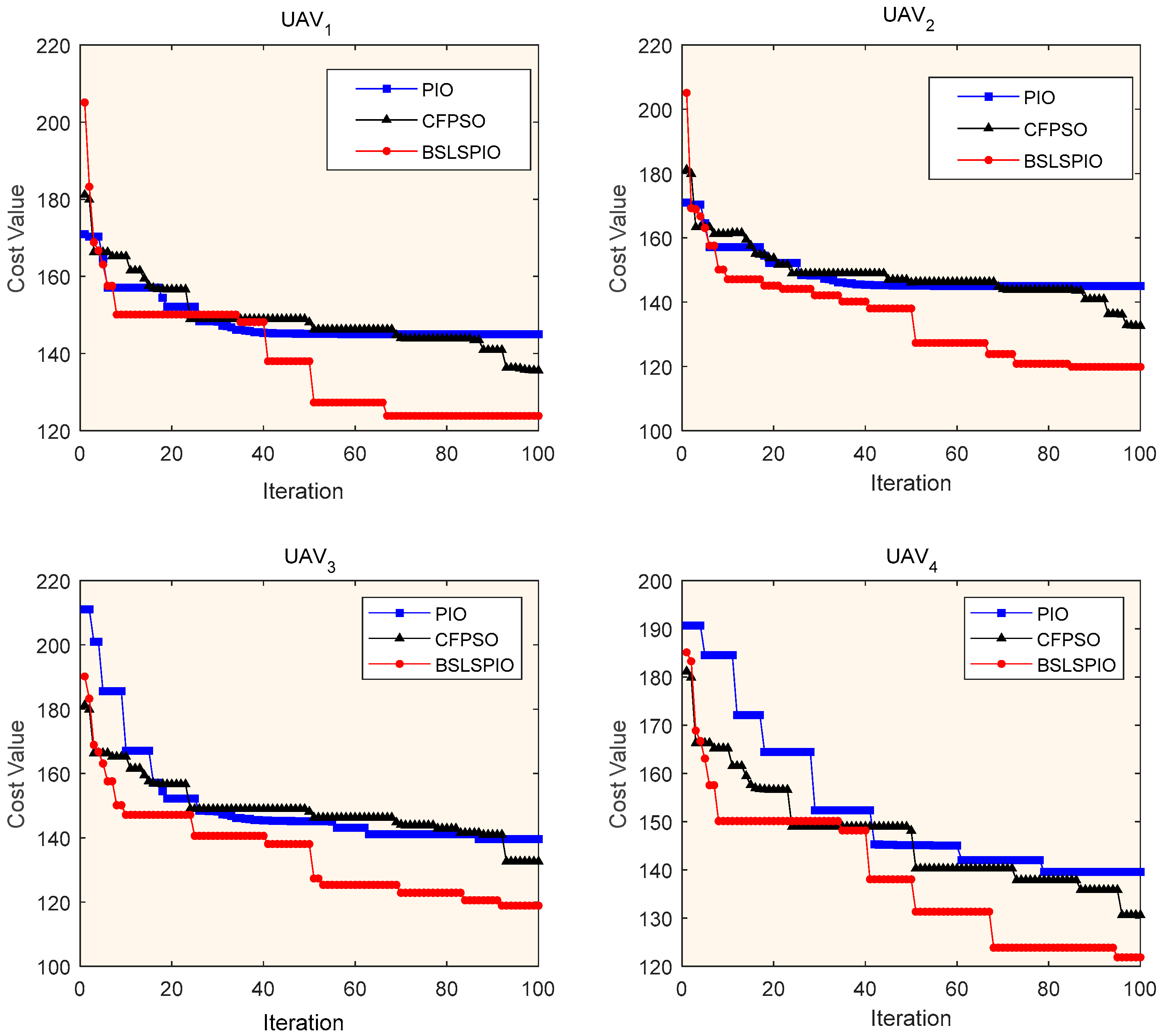
As illustrated in Figure 6, the outlooks of detection units (represented by the forbidden areas) are simplified to hemispheres. All UAVs navigate around the detection units and obstacles, generating paths from the start points (marked in circles) and the end points (marked in stars). Different colors denote different UAVs. Although there are some overlaps and crossing points among different UAVs’ paths, this does not imply that there are collisions among UAVs, as their arrival times differ. Figure 7 displays the relative distance between UAVs. The results demonstrate that the distances satisfy the constraints of safe distance and communication range, which is consistent with the proposed models. In other words, the paths are safe and realizable during the cooperation. If the trajectories are excessively dispersed, an increase in length cost is inevitable. It is also challenging to satisfy the coordination constraints if the communication distances between UAVs are too far. Therefore, path crossovers are essential to some extent. To assess the performance of the proposed BSLSPIO, comparison tests are also conducted on the PIO, BSLSPIO, and CFPSO. As shown in Figure 8, the BSLSPIO outperforms the others in both convergence speed and optimal solutions. For UAV1-UAV4, the cost values of the BSLSPIO are 123.88, 119.88, 122.88, 121.88, respectively. The conclusion is consistent with the previous analysis mentioned above. In conclusion, the BSLSPIO effectively addresses the cooperative path-planning problem involving detection netting and flight constraints through the development of path-planning models.

5. Conclusions

This paper proposes a bionic social learning strategy that enhances the standard PIO by introducing only two additional parameters. Comparison experiments show that the BSLSPIO method has the ability to find the optimal solution while guaranteeing fast convergence. The complex problem of multi-UAV cooperative path planning with cooperative detection is formulated as an optimization problem. Meanwhile, the path-planning model, the detection units model, and the cost models are developed. The BSLSPIO is utilized to generate the desired waypoints at minimal cost. The simulation results indicate that the proposed method and models are both reasonable and practical for addressing the UAVs’ path-planning problem. Although there are some overlaps and crossing points, the paths still satisfy the constraints of communication range and safety. Based on the previous analysis, the BSLSPIO shows promise for tackling challenging high-dimensional problems in other fields.

Author Contributions

Conceptualization, methodology, and writing-original draft preparation Y.S. and writing-review and editing X.L., X.M., H.D. and L.X. All authors have read and agreed to the published version of the manuscript.

Funding

This research received no external funding.

Institutional Review Board Statement

Not applicable.

Informed Consent Statement

Not applicable.

Data Availability Statement

Data is unavailable due to privacy.

Conflicts of Interest

The authors declare no conflicts of interest.

References

  1. Chui, K.T.; Liu, R.W.; Zhao, M. Bio-inspired algorithms for cybersecurity—A review of the state-of-the-art and challenges. Int. J. Bio-Inspired Comput. 2024, 23, 1–15. [Google Scholar] [CrossRef]
  2. Chatterijee, Y.; Bourreau, E.; Rancic, M.J. Solving various NP-hard problems using exponentially fewer qubits on a quantum computer. Phys. Rev. A 2024, 109, 052441. [Google Scholar] [CrossRef]
  3. Das, S.; Suganthan, P.N. Differential evolution: A survey of the state-of-the-art. IEEE Trans. Evol. Comput. 2010, 15, 4–31. [Google Scholar] [CrossRef]
  4. Sivaraj, R. Novel Techniques for enhancing performance of genetic algorithms. AI Commun. 2016, 29, 545–546. [Google Scholar] [CrossRef]
  5. Yazdani, M.; Kabirifar, K.; Haghani, M. Optimising Post-disaster waste collection by a deep learning-enhanced differential evolution approach. Eng. Appl. Artif. Intell. 2024, 132, 107932. [Google Scholar] [CrossRef]
  6. Yang, Q.; Qiao, Z.Y.; Xu, P. Triple Competitive Differential evolution for global numerical optimization. Swarm Evol. Comput. 2024, 84, 101450. [Google Scholar] [CrossRef]
  7. Vargas, G.A.D.; Mosquera, D.J.; Trujillo, E.R. Optimization of topological reconfiguration in electric power systems using genetic algorithm and nonlinear programming with discontinuous derivatives. Electronics 2024, 13, 616. [Google Scholar] [CrossRef]
  8. Ballinas, E.; Montiel, O.; Martínez-Vargas, A. Hybrid quantum genetic algorithm with fuzzy adaptive rotation angle for efficient placement of unmanned aerial vehicles in natural disaster areas. Axioms 2024, 13, 48. [Google Scholar] [CrossRef]
  9. Chen, J.; Cai, H.; Wang, W. A new metaheuristic algorithm: Car tracking optimization algorithm. Soft Comput. 2018, 22, 3857–3878. [Google Scholar] [CrossRef]
  10. Wang, G.G.; Deb, S.; Coelho, L.D. Earthworm optimization algorithm: A bio-inspired metaheuristic algorithm for global optimization problems. Int. J. Bio-Inspired Comput. 2018, 12, 1–22. [Google Scholar] [CrossRef]
  11. Shareef, H.; Lbrahim, A.A.; Mutlag, A.H. Lightning search algorithm. Appl. Soft Comput. 2015, 36, 315–333. [Google Scholar] [CrossRef]
  12. Zhao, W.G.; Wang, L.Y.; Zhang, Z.X. Atom search optimization and its application to solve a hydrogeologic parameter estimation problem. Knowl.-Based Syst. 2019, 163, 283–304. [Google Scholar] [CrossRef]
  13. Oca, M.A.M.D.; Stutzle, T.; Enden, K.V.d. Incremental social learning in particle swarms. IEEE Trans. Syst. Man Cybern. Part B Cybern. 2011, 41, 368–384. [Google Scholar] [CrossRef] [PubMed]
  14. Abdesslem, L.; Zeyneb, B. A novel firefly algorithm based ant colony optimization for solving combinatorial optimization problems. Int. J. Comput. Sci. 2014, 11, 19–37. [Google Scholar]
  15. Snehlata, S.; Neetu, M.; Alexander, G. Artificial bee colony algorithm in data flow testing for optimal test suite generation. Int. J. Syst. Assur. Eng. 2020, 11, 340–349. [Google Scholar]
  16. Duan, H.B.; Qiao, P.X. Pigeon-inspired optimization: A new swarm intelligence optimizer for air robot path planning. Int. J. Intell. Comput. Cybern. 2014, 7, 24–37. [Google Scholar] [CrossRef]
  17. Liu, Y.; As’arry, A.; Hassan, M.K.; Hairuddin, A.A. Review of the grey wolf optimization algorithm: Variants and applications. Neural Comput. Appl. 2024, 36, 2713–2735. [Google Scholar] [CrossRef]
  18. Deng, L.; Liu, S. Deficiencies of the whale optimization algorithm and its validation method. Expert Syst. Appl. 2024, 237, 121544. [Google Scholar] [CrossRef]
  19. Yuan, G.S.; Duan, H.B. Extremum seeking control for UAV close formation flight via improved pigeon-inspired optimization. Sci. China Technol. Sci 2024, 67, 435–448. [Google Scholar] [CrossRef]
  20. Su, H.; Sun, Y.; Zeng, Z. Image segmentation model for vicinagearth security technology of unmanned aerial vehicle using improved pigeon-inspired optimization. Guid. Navig. Control 2024, 4, 2441002. [Google Scholar] [CrossRef]
  21. Jiang, Y.; Bai, T.; Wang, D. Coverage path planning of UAV based on linear programming-Fuzzy C-means with pigeon-inspired optimization. Drones 2024, 8, 50. [Google Scholar] [CrossRef]
  22. Liu, Y.; Wei, C.; Duan, H.B. Active disturbance rejection heading control of USV based on parameter tuning via an improved pigeon-inspired optimization. Trans. Inst. Meas. Control. 2024, 47, 1–24. [Google Scholar] [CrossRef]
  23. Xue, Q.; Duan, H.B. Robust attitude control for reusable launch vehicles based on fractional calculus and pigeon-inspired optimization. IEEE CAA J. Autom. Sin. 2017, 4, 89–97. [Google Scholar] [CrossRef]
  24. Duan, H.B.; Qiu, H.X. Advancements in pigeon-inspired optimization and its variants. Sci. China Inf. Sci. 2019, 62, 070201:1–070201:10. [Google Scholar] [CrossRef]
  25. Chen, S.J.; Duan, H.B. Fast image matching via multi-scale Gaussian mutation pigeon-inspired optimization for low cost quadrotor. Aircr. Eng. Aerosp. Technol. 2017, 89, 777–790. [Google Scholar] [CrossRef]
  26. Duan, H.B.; Yang, Z.Y. Large civil aircraft receding horizon control based on Cauthy mutation pigeon inspired optimization. Sci. Sin. Technol. 2018, 48, 277–288. [Google Scholar] [CrossRef]
  27. Sun, Y.B.; Duan, H.B.; Xian, N. Fractional-order controllers optimized via heterogeneous comprehensive learning pigeon-inspired optimization for autonomous aerial refueling hose-drogue system. Aerosp. Sci. Technol. 2018, 81, 1–13. [Google Scholar] [CrossRef]
  28. Li, S.Q.; Deng, Y.M. Quantum-entanglement pigeon-inspired optimization for unmanned aerial vehicle path planning. Aircr. Eng. Aerosp. Technol. 2019, 91, 171–181. [Google Scholar] [CrossRef]
  29. Xu, X.B.; Deng, Y.M. UAV power component-DC brushless motor design with merging adjacent-disturbances and integrated-dispatching pigeon-inspired optimization. IEEE Trans. Magn. 2018, 54, 1–7. [Google Scholar] [CrossRef]
  30. Zhang, D.F.; Duan, H.B. Social-class pigeon-inspired optimization and time stamp segmentation for multi-UAV cooperative path planning. Neurocomputing 2018, 313, 229–246. [Google Scholar] [CrossRef]
  31. Qiu, H.X.; Duan, H.B. A multi-objective pigeon-inspired optimization approach to UAV distributed flocking among obstacles. Inf. Sci. 2020, 509, 515–529. [Google Scholar] [CrossRef]
  32. Shan, X.; Wang, Y. Energy efficiency optimization for discrete workshop based on parametric knowledge pigeon swarm algorithm. J. Syst. Simul. 2017, 9, 2140–2148. [Google Scholar]
  33. Viadero-Monasterio, F.; Nguyen, A.T.; Lauber, J. Event-triggered robust path tracking control considering roll stability under network-induced delays for autonomous vehicles. IEEE Trans. Intell. Transp. Syst. 2023, 24, 14743–14756. [Google Scholar] [CrossRef]
  34. Sun, X.; Cai, C.; Shen, X. A new cloud model based human-machine cooperative path planning method. J. Intell. Robot. Syst. 2015, 79, 3–19. [Google Scholar] [CrossRef]
  35. Qin, P.; Liu, F.; Guo, Z. Hierarchical collision-free trajectory planning for autonomous vehicles based on improved artificial potential field method. Trans. Inst. Meas. Control 2024, 46, 799–812. [Google Scholar] [CrossRef]
  36. Bhattacharya, P.; Gavrilova, M. Roadmap-based path planning using the Voronoi diagram for a clearance-based shortest path. IEEE Robot. Autom. Mag. 2008, 15, 58–66. [Google Scholar] [CrossRef]
  37. Maini, P.; Sujit, P. Path planning for a UAV with kinematic constraints in the presence of polygonal obstacles. In Proceedings of the International Conference on Unmanned Aircraft Systems, Arlington, VA, USA, 4 July 2016; pp. 62–67. [Google Scholar]
  38. Gómez Arnaldo, C.; Zamarreño Suárez, M. Path Planning for unmanned aerial vehicles in complex environments. Drones 2024, 8, 288. [Google Scholar] [CrossRef]
  39. Hu, X.; Chen, L.; Tang, B. Dynamic path planning for autonomous driving on various roads with avoidance of static and moving obstacles. Mech. Syst. Signal Proc. 2018, 100, 482–500. [Google Scholar] [CrossRef]
  40. Fierrez, J.; Navarro, E. Adaptive morphological time stamp segmentation based on efficient global motion estimation. In Proceedings of the International Conference on Image Processing, Rochester, NY, USA, 22 September 2002; pp. 289–292. [Google Scholar]
  41. Whiten, A. Operant study of sun altitude and pigeon navigation. Nature 1972, 237, 405–406. [Google Scholar] [CrossRef]
  42. Dell’Ariccia, G.; Dell’Omo, G.; Wolfer, D.P. Flock flying improves pigeons’ homing: GPS track analysis of individual flyers versus small groups. Anim. Behav. 2008, 76, 1165–1172. [Google Scholar] [CrossRef]
  43. Heyes, C.; Ray, E.D.; Mitchell, C.J. Stimulus enhancement: Controls for social facilitation and local enhancement. Learn. Motiv. 2000, 31, 83–89. [Google Scholar] [CrossRef]
  44. Young, H.P. Innovation diffusion in heterogeneous populations: Contagion, social influence, and social learning. Am. Econ. Rev. 2009, 99, 1899–1924. [Google Scholar] [CrossRef]
  45. Bond, C.F.; Titus, L.J. Social facilitation: A meta-analysis of 241 studies. Psychol. Bull. 1983, 94, 265–292. [Google Scholar] [CrossRef]
  46. Zentall, T.R. Imitation in animals: Evidence, function, and mechanisms. Cybernet Syst. 2001, 32, 53–96. [Google Scholar] [CrossRef]
  47. Whiten, A. Primate culture and social learning. Cogn. Sci. 2000, 24, 477–508. [Google Scholar] [CrossRef]
  48. Naik, B.B.; Raju, C.P.; Rao, R.S. A constriction factor based particle swarm optimization for congestion management in transmission systems. Int. J. Electr. Eng. Inform. 2018, 10, 232–241. [Google Scholar] [CrossRef]
  49. Mohammadiivatloo, B.; Rabiee, A.; Soroudi, A. Iteration PSO with time varying acceleration coefficients for solving non-convex economic dispatch problems. Int. J. Electr. Power Energy Syst. 2012, 42, 508–516. [Google Scholar] [CrossRef]
  50. Zhan, Z.H.; Zhang, J.; Li, Y. Orthogonal learning particle swarm optimization. IEEE Trans. Evol. Comput. 2011, 15, 832–847. [Google Scholar] [CrossRef]
Figure 1. The standard PIO.
Figure 1. The standard PIO.
Applsci 15 00910 g001
Figure 2. The operations of the proposed BSLSPIO: (a) the modified map and compass operator; (b) the modified landmark operator.
Figure 2. The operations of the proposed BSLSPIO: (a) the modified map and compass operator; (b) the modified landmark operator.
Applsci 15 00910 g002
Figure 3. The designed sigmoid functions: (a) the sigmoid function 1; (b) the sigmoid function 2.
Figure 3. The designed sigmoid functions: (a) the sigmoid function 1; (b) the sigmoid function 2.
Applsci 15 00910 g003
Figure 4. The comparison curves of some tested functions: (a) F3; (b) F5; (c) F9; and (d) F11.
Figure 4. The comparison curves of some tested functions: (a) F3; (b) F5; (c) F9; and (d) F11.
Applsci 15 00910 g004
Figure 5. The coordination of UAVs path planning.
Figure 5. The coordination of UAVs path planning.
Applsci 15 00910 g005
Figure 6. Multi-UAV cooperative path planning.
Figure 6. Multi-UAV cooperative path planning.
Applsci 15 00910 g006
Figure 7. The relative distances between each UAV.
Figure 7. The relative distances between each UAV.
Applsci 15 00910 g007
Figure 8. The comparison curves of different methods.
Figure 8. The comparison curves of different methods.
Applsci 15 00910 g008
Table 1. Uni-modal and multi-modal benchmark functions.
Table 1. Uni-modal and multi-modal benchmark functions.
TypesNameRangeOptimum
Uni-modal benchmark functionsF1Sphere model[−100,100] N0
F2Schwefel’s problem 2.22[−10,10] N0
F3Schwefel’s problem 1.2[−10,10] N0
F4Schwefel’s problem 2.21[−100,100] N0
F5Generalized Rosenbrock’s functions[−30,30] N0
F6Step function[−100,100] N0
F7Quartic function[−1.28,1.28] N0
Multi-modal benchmark functionsF8Generalized Schwefel’s problem 2.26[−500,500] N−418.9829 × N
F9Generalized Rastrigin’s function[−5.12,5.12] N0
F10Ackley’s function[−32,32] N0
F11Generalized Griewank function[−600,600] N0
F12Generalized Penalized function 1[−50,50] N0
F13Generalized Penalized function 2[−50,50] N0
Table 2. Parameter settings of the compared CFPSO, TVACPSO, PIO, and BSLSPIO.
Table 2. Parameter settings of the compared CFPSO, TVACPSO, PIO, and BSLSPIO.
AlgorithmCFPSOTVACPSOPIOBSLSPIO
Parameter settings c 1 = 1 . 49618 c 2 = 1 . 49618 w = 0 . 7298 N p = 100 c m i n 1 = 0 . 5 c m a x 1 = 2 . 5 c m i n 2 = 0.5 c m a x 2 = 2 . 5 w m i n = 0 . 9 w m a x = 0 . 4 N p = 100 R = 0.004 N p = 100 T m a x 1 = 1000 T m a x 2 = 1000 R = 0.004 N p = 100 N S b = 3 N c = 5 T m a x 1 = 1000 T m a x 2 = 1000
Table 3. Benchmark functions results with N = 50.
Table 3. Benchmark functions results with N = 50.
MethodsAvgStdMedRank
F1CFPSO9.47 × 10−272.97 × 10−269.53 × 10−282
TVPSO2.80 × 10−137.75 × 10−135.33 × 10−143
PIO2136.08471123.65712101.58014
BSLSPIO0001
F2CFPSO1.24 × 10−124.85 × 10−128.72 × 10−142
TVPSO7.97 × 10−82.20 × 10−71.18 × 10−93
PIO27.39579.919125.61754
BSLSPIO0001
F3CFPSO2010.48046091.3022410.56863
TVPSO94.416682.607167.01602
PIO29,839.910920,303.187727,833.71174
BSLSPIO0001
F4CFPSO27.929310.790827.22254
TVPSO15.41134.043114.96862
PIO23.95755.687223.80193
BSLSPIO0001
F5CFPSO74.367254.356157.20612
TVPSO92.053639.589596.08843
PIO1,279,313.48331,264,079.8109888,139.58834
BSLSPIO48.88820.020548.88851
F6CFPSO4.86679.11511.50002
TVPSO29.366721.981922.50003
PIO14,317.93334141.0524213,939.50004
BSLSPIO0001
F7CFPSO0.01270.00430.01222
TVPSO0.08410.03500.07633
PIO13.14805.2556911.24274
BSLSPIO3.80 × 10−63.54 × 10−62.48 × 10−61
F8CFPSO−14,651.8092533.6465−14,661.55041
TVPSO−13,690.6476722.5480−13,615.40232
PIO−11,174.76641737.2869−11,144.17393
BSLSPIO−4788.7586485.1123−4725.86014
F9CFPSO108.1186620.3810103.97302
TVPSO113.823120.5732113.42513
PIO162.630621.3486160.59444
BSLSPIO0001
F10CFPSO1.13720.83971.32202
TVPSO3.44491.59622.96473
PIO14.71152.046914.76234
BSLSPIO0001
F11CFPSO0.00540.009502
TVPSO0.05060.14923.0498 × 10−133
PIO21.037411.708616.70734
BSLSPIO0001
F12CFPSO0.18320.32460.03111
TVPSO0.38320.50810.09782
PIO246,661.69021,271,510.928514.98244
BSLSPIO0.80170.08210.80043
F13CFPSO0.00660.01141.9134 × 10−231
TVPSO0.23020.80320.01102
PIO589,203.9899122,0421.81386302.20664
BSLSPIO4.97780.02944.98863
Table 4. Benchmark functions with N = 1000.
Table 4. Benchmark functions with N = 1000.
Uni-Modal Benchmark Functions
F1F2F3F4F5F6F7
Avg0000998.849702.16 × 10−6
Std00000.026902.36 × 10−6
Med0000998.851901.28 × 10−6
Multi-Modal Benchmark Functions
F8F9F10F11F12F13
Avg−22,604.35590001.148299.9825
Std2113.576010000.00770.0050
Med−22,364.70320001.147799.9835
Table 5. Parameters of multi-UAV path planning.
Table 5. Parameters of multi-UAV path planning.
Start Position (km)End Position (km)
UAVs StatesUAV1(5, 5, 3)(85, 85, 3)
UAV2(5, 10, 3)(85, 90, 3)
UAV3(10, 5, 3)(90, 85, 3)
UAV4(10, 10, 3)(90, 90, 3)
Position (km)Radius (km)Communication Range (km)
Detection Unitstype I-1(45, 25)1560
type I-2(60, 54)1050
type II-1(40, 70)730
type II-2(72, 42)830
type II-3(25, 45)730
Position (km) R a o , R b o (km)Height (m)
MountainsMountain1(67, 80)(8, 5)60
Mountain2(85, 70)(8, 5)50
S m i n 1 L m a x 300
Constraints V m a x 400 km/h V m i n 300 km/h
R min 1.2274 km T max 1 h
T s t e p 0.0066 h T s t a r t 0 h
T e n d 0.33 h ψ max 0.9383 rad
V ¯ x m , n 342.85 km/h V ¯ y m , n (−233.90, 233.90) km/h
d s a f e 1 km r c o m m u 15 km
N 50
Other Parameters r 1 1.01 r 2 1.25 × 10−18
μ 2.4637 σ 0.05
p lim d 0.8 p lim k 0.6
Disclaimer/Publisher’s Note: The statements, opinions and data contained in all publications are solely those of the individual author(s) and contributor(s) and not of MDPI and/or the editor(s). MDPI and/or the editor(s) disclaim responsibility for any injury to people or property resulting from any ideas, methods, instructions or products referred to in the content.

Share and Cite

MDPI and ACS Style

Shen, Y.; Liu, X.; Ma, X.; Du, H.; Xin, L. A Bionic Social Learning Strategy Pigeon-Inspired Optimization for Multi-Unmanned Aerial Vehicle Cooperative Path Planning. Appl. Sci. 2025, 15, 910. https://doi.org/10.3390/app15020910

AMA Style

Shen Y, Liu X, Ma X, Du H, Xin L. A Bionic Social Learning Strategy Pigeon-Inspired Optimization for Multi-Unmanned Aerial Vehicle Cooperative Path Planning. Applied Sciences. 2025; 15(2):910. https://doi.org/10.3390/app15020910

Chicago/Turabian Style

Shen, Yankai, Xinan Liu, Xiao Ma, Hong Du, and Long Xin. 2025. "A Bionic Social Learning Strategy Pigeon-Inspired Optimization for Multi-Unmanned Aerial Vehicle Cooperative Path Planning" Applied Sciences 15, no. 2: 910. https://doi.org/10.3390/app15020910

APA Style

Shen, Y., Liu, X., Ma, X., Du, H., & Xin, L. (2025). A Bionic Social Learning Strategy Pigeon-Inspired Optimization for Multi-Unmanned Aerial Vehicle Cooperative Path Planning. Applied Sciences, 15(2), 910. https://doi.org/10.3390/app15020910

Note that from the first issue of 2016, this journal uses article numbers instead of page numbers. See further details here.

Article Metrics

Back to TopTop