Next Article in Journal
Acute Effects of a Simulated Karate Bout on Muscular Strength Asymmetries of the Lower Limbs in Elite Athletes of Different Age Categories
Next Article in Special Issue
Comparative Lifecycle Assessment of Renewable Energy Investments in Public Buildings: A Case Study of an Austrian Kindergarten Under Atypical Operational Conditions
Previous Article in Journal
FANT: Flexible Attention-Shifting Network Telemetry
Previous Article in Special Issue
Review of Intelligent Methods and Their Potential Use towards a Smart Grid Negotiation Framework
 
 
Font Type:
Arial Georgia Verdana
Font Size:
Aa Aa Aa
Line Spacing:
Column Width:
Background:
Article

Advanced Energy Management for Residential Buildings Optimizing Costs and Efficiency Through Thermal Energy Storage and Predictive Control

1
Mechanical Engineering Department, Universidad Politécnica de Madrid, 28006 Madrid, Spain
2
IGNIS Energía S.L., 28016 Madrid, Spain
*
Author to whom correspondence should be addressed.
Appl. Sci. 2025, 15(2), 880; https://doi.org/10.3390/app15020880
Submission received: 23 December 2024 / Revised: 9 January 2025 / Accepted: 15 January 2025 / Published: 17 January 2025

Abstract

This paper addresses the challenge of decarbonizing residential energy consumption by developing an advanced energy management system (EMS) optimized for cost reduction and energy efficiency. By leveraging the thermal inertia of building envelopes as a form of thermal energy storage (TES), the proposed EMS dynamically balances energy inputs from the electrical grid, photovoltaic (PV) systems, and battery storage, while regulating HVAC operations. Employing model predictive control (MPC) and integrating real-time data on energy prices, weather conditions, and consumption patterns, the system minimizes energy costs, while maintaining indoor thermal comfort. Simulations conducted for both summer and winter scenarios demonstrate significant reductions in energy costs. Laboratory and real-world testing confirm the EMS’s efficacy in enhancing energy efficiency, increasing PV self-consumption, and reducing reliance on grid energy, marking a step forward in sustainable energy solutions for residential applications.

1. Introduction

Residential heating is a significant source of greenhouse gas emissions in Europe, where cold winters and high standards of comfort drive a substantial demand for heating. Across the continent, homes are primarily heated by burning fossil fuels, with natural gas, oil, and coal accounting for the majority of the energy used in household heating systems. This widespread reliance on fossil fuels has made residential heating one of the leading contributors to carbon dioxide (CO2) and other greenhouse gas emissions in Europe, directly impacting air quality and contributing to climate change. According to recent estimates, the residential sector is responsible for nearly 30% of Europe’s total energy consumption, with heating comprising the vast majority of this demand, and residential heating alone produces approximately 12% of the European Union’s total CO2 emissions [1], a figure that fluctuates depending on seasonal temperatures and energy sources. Countries with colder climates, such as those in Northern and Eastern Europe, often exhibit even higher emissions due to longer heating periods and lower average temperatures.
In the United States, buildings account for approximately 39% of all primary energy consumption and 74% of all electricity consumption [2]. Thermal end uses, including space conditioning, water heating, and refrigeration, account for approximately 50% of building energy demand and are projected to increase in the years ahead.
The adoption of aerothermal and geothermal heating systems in Europe is proving to be an effective strategy to reduce greenhouse gas emissions from the residential sector. Unlike conventional fossil fuel-based heating, aerothermal and geothermal systems extract renewable heat from the air or ground, greatly reducing direct CO2 emissions. Studies estimate that replacing fossil fuel heating systems with heat pumps (which include both aerothermal and geothermal technologies) could cut emissions by up to 70–80% per household. Across Europe, approximately 20 million heat pumps were installed by 2022 [3], helping to replace a portion of the emissions-heavy natural gas and oil heating systems.
The European Heat Pump Association (EHPA) reports that these installations are already saving about 50 million tons of CO2 annually [4]. As part of the European Green Deal, the EU aims to accelerate this shift, with projections indicating that heat pumps could power up to 40% of Europe’s residential heating demand by 2030 [5]. This large-scale transition is essential for Europe to reach its net-zero emissions targets by 2050, as heat pumps not only reduce emissions directly but also operate more efficiently when paired with renewable electricity sources
As energy systems evolve toward greater sustainability, there is growing interest in leveraging the thermal storage capacity of buildings to reduce energy consumption and shift demand patterns. Thermal energy storage (TES) is a crucial enabling technology for the large-scale deployment of renewable energy, facilitating the decarbonization of thermal end uses, including refrigeration, water heating, and space heating and cooling, and the transition to a decarbonized building stock and energy system by 2050.
A variety of thermal storage solutions are available, which permit the storage of excess thermal energy or heat for subsequent utilization at a more opportune time, whether that is hours or even days later. Thus, there are several investigations in the field of advanced thermal storage materials. For example, reference [6] investigates new composites materials, and reference [7] presents a novel approach to encapsulate salt hydrate. In the field of thermal energy storage projects related to envelope systems, for example, reference [8] presents an active thermally anisotropic building envelope that redistributes thermal loads in response to weather conditions and building energy demand. However, while all of these ideas are promising, they are all in the early research phase and far from real application.
The objective of this work is to develop an energy management system that makes decisions on how to distribute the electrical demand within the house among the possible sources that supply it, such as the electrical grid, self-consumption (for example, with solar panels), and energy storage with electrical batteries with the ultimate goal of reducing the cost of electrical energy.
To this end, this energy management system considers a residential dwelling as TES in which, taking advantage of the thermal and insulation characteristics of its structure and envelopes, excess heat can be stored in the structure and materials of the dwelling and released, when necessary, while maintaining comfortable interior temperatures. The proposed use of the building envelope as TES can be considered as a passive solution for sensible heat storage system for moderate temperature storage applications in buildings, increasing or decreasing the temperature of a given material with high heat capacity. In this case, the envelope includes solid materials, such as concrete and bricks as main components, which are materials that can be used in buildings to improve the TES capacity. Their properties have been exploited to use the thermal inertia of the building structure to attenuate the indoor temperature oscillation.
Therefore, no new envelope materials will be developed, but rather, using the existing ones, an advanced energy management system will be designed with a strategy that effectively regulates the energy management of the building with an efficient use of the HVAC system. In this way, the target temperature inside the house will be slightly modified, always within the thermal comfort margins of the occupants. This is intended to supplement the energy storage capacity of the house as a whole, optimizing the use of batteries, since part of the energy that could provide the electric battery, will provide the thermal energy stored in the structure of the house. This will improve the efficiency of the system, reducing the energy consumption of heating or cooling and, consequently, reducing the cost of energy.
This strategy is especially valuable in areas where renewable energy sources, such as solar and wind, produce intermittent power, as it enables energy use to be adjusted based on availability and price fluctuations.
The remainder of the paper is organized as follows. Section 2 contains a comprehensive literature review and the main objectives of this paper. Section 3 describes the methods used and a general overview of the proposed solution. Section 4 includes the models developed for the thermal behavior and the HVAC control. Section 5 describes the energy consumption scheduler. Section 6 explains the implementation of the proposed solution. Section 7 presents and discusses the results obtained from the simulations performed for the different use cases indicated in a single-family house. Section 8 includes the validation in a test environment. Finally, Section 9 presents the main conclusions of this paper.

2. Literature Review

The phenomenon of global warming is leading to the emergence of a novel habitat scenario, characterized by a heightened prevalence of environmental degradation, sea level rise, and ecosystem extinction. National and interregional governments are developing legislation to reduce greenhouse gas (GHG) emissions. High energy consumption in the building sector is identified as a significant contributor to this phenomenon [9]. The poor energy efficiency of the majority of buildings is a primary factor driving high energy consumption. This is particularly prevalent in countries, where the majority of buildings were designed and constructed prior to the implementation of the first energy efficiency regulations.
A substantial body of research has already demonstrated the necessity of considering climate change when determining building energy retrofitting measures. This is evidenced by numerous studies, including those referenced in [10,11,12,13,14,15,16,17]. In more detail, the paper [18] examined the impact of global warming on the significance of passive design strategies for the heating and cooling of European single-family residences.
A further consideration is the thermal comfort or thermal wellbeing of buildings, which is defined as people’s subjective assessment of their thermal sensation. It is typically defined as the feeling of satisfaction with the thermal environment expressed by people. There are also numerous references that have studied and discussed this topic, such as [19,20,21,22]. These references indicate that thermal control of buildings is essential to ensure comfort.
The objective of [23] was to review the topics related to the optimized operation of intelligent buildings with respect to occupant comfort and energy consumption. The results demonstrate that energy management systems have a beneficial effect on occupants’ overall satisfaction within an enclosed space. By regulating indoor environmental parameters, energy management systems in intelligent buildings can provide thermal and visual comfort for occupants, as well as satisfactory indoor air quality.
There are also relevant publications in the field of thermal control of buildings. The specific control methodology employed is contingent upon the type of controller and algorithm utilized [24]. The reference [25] offers a comprehensive review of recent literature on systems and methodologies for the control of thermal comfort in buildings. The papers analyzed exhibited discernible trends with regard to both thermal comfort analysis and control strategies. With respect to control aspects, the methodologies employed for calculating control settings encompass a range of techniques, from expert rules to sophisticated modelling approaches, such as machine learning and model predictive control (MPC).
In relation to methodologies such as machine learning (ML) or, more generally, artificial intelligence (AI), reference [26] included a systematic review of artificial intelligence-assisted techniques for thermal comfort and energy efficiency in intelligent building control systems. This review demonstrated that the application of AI/ML technology in the construction industry is still in its relatively early stages of development. Furthermore, the study identified several open challenges and potential areas for future research, including the security, privacy, and data sensitivity issues associated with smart buildings, the lack of sufficient data for modelling in buildings, and the need for more AI-based modelling in this field. However, there is a lot of recent work in this field, as shown by the references [27,28,29,30].
In relation to control methodologies, reference [31] undertook a review of research works concerning occupancy-based control systems. These were classified according to the integration of occupancy information with control systems, and the strengths and limitations of the research, as well as research gaps in this field, were discussed from different aspects, including performance evaluation metrics, control methods, occupancy models, and building types. Predictive control strategies were proposed in the literature as a solution to this issue by enhancing thermal comfort of occupants, and the review revealed that MPC was the most frequently employed approach for occupancy-based optimal control in the literature.
Model predictive control (MPC) is a control scheme that employs a model to anticipate the future behavior of a system over a finite time horizon. Based on these predictions and the current measured or estimated state of the system, the optimal control inputs with respect to a defined control objective and subject to system constraints are calculated. Subsequently, after a defined time interval, the aforementioned measurement, estimation, and computation process is repeated with a shifted horizon.
The principal benefits of MPC in comparison to conventional reactive control methodologies, such as PID, are as follows. Firstly, the characteristic of proactive control action, whereby the controller anticipates future disturbances and setpoints, is worthy of note. Secondly, MPC can explicitly consider nonlinear systems. Thirdly, MPC can accommodate arbitrary control objectives, including traditional set-point tracking and regulation, as well as economic MPC, where control actions are optimized to satisfy generic economic or performance cost functions. Finally, MPC explicitly considers physical, safety, or operational system constraints.
MPC was first introduced in the 1980s for the regulation of processes in the chemical industry. However, it was not until the 2010s that its use experienced significant growth in the field of thermal regulation for buildings, due to the high computational requirements needed [32].
A first implementation of the present model predictive controller applied to the temperature control of a real building was presented in [33]. The paper [34] presented a unified framework for model predictive control (MPC) technology in building management, with a particular focus on real-world applications. From a theoretical perspective, it provided an overview of MPC formulations for building control, modelling paradigms, and model types, together with the algorithms necessary for real-life implementation. Similarly, an overview of the applications of MPC in building HVAC systems has been provided in [35]. Furthermore, the article discusses modelling techniques and optimization algorithms in greater detail.
The reference [36] developed a machine learning-based MPC with an instantaneous linearization scheme, linear MPC, to control the indoor climate of a hospital. Although the approach is advantageous for computation time, the cooling energy consumption of MPC without linearization is still lower than that of linear MPC. In reference [37], temperature and humidity are considered but not for renewable energy systems. The objective of [38] was to examine advanced control strategies and their influence on buildings and technical systems with regard to energy and cost savings, addressing research gaps in advanced control strategies for buildings and HVAC systems. Their findings indicate that, despite the prevalence of MPC in building applications, it is not optimally suited to systems characterized by uncertainties and unpredictable data, and significant advancements have been made, especially as more intelligent technologies, such as cloud computing and IoT, are being developed.
The principal objective of the paper [39] was to define the MPC formulation framework and undertake a critical analysis of the results produced by a range of existing MPC algorithms for the management of building and HVAC systems. The potential benefits of the application of MPC in improving energy efficiency in buildings were highlighted.
The paper [40] presented a novel control approach for indoor temperature regulation in tertiary buildings, based on predictive functional control. The primary control objective is to reduce energy consumption, while maintaining the desired thermal comfort of the occupants. The proposed approach demonstrates the potential to perform effectively in the presence of disturbances, including changes in the occupancy profile, electrical equipment usage, indoor temperature, surrounding temperatures, and weather data.
A model predictive control system with adaptive machine learning-based building models for building automation and control applications was proposed in [41]. The system incorporates an adaptive machine learning-based building dynamics modelling scheme that updates the building model on a regular basis, using online building operation data through a dynamic artificial neural network. Furthermore, the system utilizes a multi-objective function that may optimize both energy efficiency and indoor thermal comfort, two frequently contradictory demands. The proposed model predictive control system is implemented to regulate the HVAC and mechanical ventilation systems in two single-zone test beds, an office and a lecture theatre, situated in Singapore, for the purpose of experimental evaluation of its control performance. The implementation of a model predictive control system has been demonstrated to result in a reduction of 58.5% in cooling thermal energy consumption in the office environment and 36.7% in cooling electricity consumption in the lecture theatre, in comparison to the levels of consumption observed in the original control system. Furthermore, the introduction of the model predictive control system has also been shown to significantly enhance the indoor thermal comfort experienced by users in both testbeds.
In the field of thermal energy storage systems and MPC, several references can also be considered. A preliminary study on the control of thermal energy storage in building cooling systems was presented in [42]. The focus of this study was on buildings equipped with a water tank used for actively storing cold water produced by a series of chillers.
The paper [43] presented a systematic review of the application of model predictive control strategies to active thermal energy storage systems. This paper presented a discussion of the strengths and weaknesses of this technology, with particular emphasis on the difficulty of operating with complicated physical models as the key limitation to overcome.
In reference [44], an MPC strategy was proposed as a means of improving the operation of a space-heating system that is coupled with renewable resources. This model employs a dynamic approach based on forecasting all energy inputs into the system over a specified period of time in advance, prior to the implementation of any operational decisions. The MPC strategy was implemented with the objective of reducing the annual energy costs associated with the heating system of a detached house, which was equipped with a heat pump, a thermal energy storage unit, and photovoltaic panels. The results demonstrated the efficacy of the model predictive control with a 24 h time horizon, indicating that energy cost savings of 58% could be achieved in comparison to the same heating system without smart control.
The objective of the study [45] was to ascertain the feasibility of MPC strategy for commercial buildings in response to variations in occupancy and time-variant electricity prices, in comparison to a conventional, rule-based control (RBC) strategy.
In reference [46], an MPC optimization framework that integrates a data-driven cooling load prediction model, a system physical model, and an advanced optimization algorithm was proposed and applied to a district cooling system (DCS) coupled with an ice-based TES in Beijing, China. The operational strategy of the DCS was optimized based on the predicted cooling load, with the objective of minimizing operating costs under the current time-of-use (ToU) tariff. The superior economic performance of the proposed optimization framework was verified by comparing it with two conventional operational strategies. The optimal strategy demonstrated a reduction in the operating costs of approximately 8% over a two-month cooling period.
Reference [47] evaluated a price-responsive MPC strategy for a solar thermal heating system integrated with TES for buildings with high occupancy variability. The coupled system supplies the building with heating through a low-temperature underfloor heating system. A case study was conducted on a university building in Nottingham, UK, with the objective of evaluating the feasibility of the proposed heating system, which is controlled by an MPC strategy. The MPC controller was designed to optimize the solar heating system’s operation by dynamically adjusting to forecasted weather, occupancy, and solar availability, with the aim of balancing indoor comfort with energy efficiency.
Finally, economic model predictive control (EMPC) [48] represents a variant of model predictive control used for optimizing economic revenues arising from controlled dynamical processes. It has established itself as a variant of standard MPC, departing from the latter in that arbitrary cost functions are allowed in the formulation of the stage cost. The reference [49] illustrated how the EMPC can be adapted to accommodate time-varying or parameter-varying costs.
Several references have dealt with EMPC for energy management in residential buildings. In [50], an MPC utilizing artificial neural networks (ANNs) was implemented in a residential building. The ANN-MPC was successfully tested and demonstrated satisfactory performance in predicting the building’s energy consumption. Subsequently, the controller was modified to function as an EMPC, with the objective of optimizing demand flexibility, defined as the ability to adapt energy demands in response to fluctuations in supply. The operational costs of energy usage were associated with this demand flexibility, which was represented by three flexibility indicators: the flexibility factor, the supply cover factor, and the load cover factor. The results of the day-long test demonstrated that these flexibility indicators were optimized when the EMPC controller’s demand flexibility was compared to that of a conventional proportional–integral (PI) controller. Specifically, the flexibility factor ranged from −0.88 to 0.67, the supply cover factor from 0.04 to 0.13, and the load cover factor from 0.07 to 0.16.
To conclude, reference [51] examined the potential of the EMPC of complex residential energy systems with electric coupling to the public grid. The system under examination incorporates a battery energy storage system, photovoltaic power generation, an air-to-water heat pump, thermal energy storage, and a building model. The aforementioned power generation system provided energy for electric loads, as well as domestic hot water and space heating. Two algorithms for distributed MPC were developed, and their efficacy was evaluated in comparison to a common reference control concept and a centralized model predictive control approach. In order to facilitate a comparison of the annual operational costs, the current German energy prices and subsidies were incorporated into the economic calculation. The results demonstrated an enhanced performance of the developed approaches, with an 11.6% reduction in cost in comparison to the reference. This was achieved by increasing the heat pump seasonal performance factor by 3.4%, reducing the curtailment of electrical photovoltaic energy to 21.5% of the reference value and preventing the operation of the auxiliary heater. Furthermore, increased photovoltaic self-consumption by the heat pump resulted in a slight reduction in battery storage operation. In conjunction with the aforementioned monetary and energetic advantages, MPC increased comfort with regard to the violation of minimum limits for the comfort criteria.
Finally, the issue of resilience is of particular concern. The global effects of climate change are projected to increase the frequency and intensity of extreme weather events, including heatwaves and power outages. These events can have significant consequences for buildings and their cooling systems, underscoring the need for resilient design and operational strategies. Reference [52] conducted a comprehensive review of existing cooling strategies, with a particular focus on their performance under heatwaves and power outages. The study advanced a definition of resilient cooling and delineated four criteria for resilience: absorptive capacity, adaptive capacity, restorative capacity, and recovery speed. The literature review and qualitative analyses indicated that, to achieve resilient cooling, the four resilience criteria should be considered during the design phase of a building or during the planning of retrofits. It is essential to take into account the characteristics of both the building and its cooling system to ensure the ability to withstand extreme events. A combination of strategies with different resilience capacities, such as a passive envelope strategy coupled with a low-energy, space-cooling solution, may be needed to obtain resilient cooling.
This paper introduces a novel approach to residential energy management by integrating advanced TES and MPC concepts into a unified system. Unlike existing studies that often focus solely on optimizing energy usage in isolation (e.g., HVAC systems or battery storage), this work leverages the thermal inertia of building envelopes as an additional storage mechanism, contributing to resilient design and operational strategies. By dynamically adjusting the target indoor temperatures within comfort margins, the system effectively utilizes the building’s thermal mass as a low-cost and sustainable alternative to conventional energy storage solutions. This strategy not only enhances energy efficiency but also significantly reduces reliance on high-cost electricity during peak demand periods, a feature rarely explored in comparable studies.
Furthermore, the developed system incorporates a multilayered optimization process, combining a seven-day prediction horizon for energy planning with real-time control adjustments. This approach allows the EMS to anticipate fluctuations in energy prices, weather conditions, and household demand, enabling more accurate and cost-effective decision making. Unlike traditional energy management frameworks, which often rely on simpler rule-based or reactive strategies, the proposed system employs MPC to achieve a proactive and robust response to varying conditions. The integration of these capabilities into real-world testing environments—validating performance improvements both in laboratory prototypes and residential installations—sets this work apart by demonstrating its practical applicability and scalability. This comprehensive evaluation highlights the potential of the system to contribute meaningfully to the decarbonization of the residential sector.

3. Methods

The objective of this work is to develop an energy management system that, using the basic principles of EMPC, minimizes the cost of electricity consumed in a house by optimizing its electrical energy consumption, of which air conditioning is an important part but not the only one. It has been developed for use with a regulated electricity market, in which the price of energy is updated in real time every hour.
As starting and design conditions, the analysis is carried out for a house that has an energy input from the grid, a self-consumption system (solar panels), and an energy storage system (batteries). In addition, the structural characteristics of the house envelope are also used as a thermal energy storage system (also called thermal battery).
The proposed system has two layers: a planning layer that proposes the optimal distribution of energy sources over a given time horizon that selects when it is best to use grid or stored energy based on energy costs, and a second layer with a real-time control system that regulates the HVAC system for efficient use.
First, a system for planning the electrical energy consumption of the house was designed. As inputs to the planning system, predictions of the electrical consumption of the different appliances present in the house are needed. In addition, it is also necessary to forecast the intended use and occupancy of the residence in order to ascertain the necessity for HVAC. HVAC consumption is obtained from the predictions of outdoor atmospheric conditions, such as temperature and solar radiation, for example. Finally, it is also necessary to forecast the variation of energy prices.
The data provided by OMIE [53] were used to forecast electricity market prices. OMIE is the Iberian Market Operator that manages the day-ahead and intraday markets based on the criteria of independence, transparency, and objectivity. The forecast model for longer periods used for this work is based on the reference [54].
In this way, the planning system estimates the electricity consumption depending on the time of day based on predictions of occupancy, the consumption of appliances, lighting, etc., along with the prediction of energy demand of the HVAC system. Statistical data provided by Eurostat [55] have been used to predict the consumption of the different electrical appliances, lighting, etc.
For the photovoltaic (PV) production estimates, the PVGIS platform [56], widely used in the sector, has been chosen, thanks to which, by entering the orientation and inclination data of the panels, a production curve is obtained for the desired location.
Finally, an algorithm based on model predictive control (MPC) has been used for the prediction of the HVAC system consumption, which aims to accurately calculate the energy consumption as a function of time. This control system is based on a thermal model of the house and is fed with predictions based on the time of day that affect the energy demand, such as outdoor temperature, solar radiation, etc.
When choosing a source of weather forecasts, there are different sources of information, as well as agencies that provide reliable weather forecasts. In this case, Weatherbit [57] has been chosen, since it contains information on different time scales and weather parameters, such as temperature, humidity, etc.
Then, the objective of the system planner is to make decisions on how to distribute the electrical demand within the house among the possible sources that supply it, such as the electrical grid, self-consumption (for example, with solar panels), electric batteries, and the control of the HVAC. The system planner is schematically represented in Figure 1. In the planner’s operating scheme, the communication with the grid is bidirectional, taking energy from the grid when necessary or returning energy to the grid in case of surplus. The consumption of electrical appliances and lighting is always an input. It also manages the use of the energy storage system, taking energy from it, or recharging it (prioritizing recharging over returning energy to the grid). Finally, the planner sets the HVAC system operating guidelines to make efficient use of it, giving directives for the indoor temperature that it should try to reach in the rooms to supplement the energy storage capacity of the house as a whole considered as a TES, optimizing the use of batteries.
In order to minimize the cost of electric energy, once the need for electric energy to meet the demand at a given time has been obtained, priority will be given to the use of self-consumption energy that has no cost. The remaining energy will be distributed between the energy supplied by the grid and the energy supplied by the storage system, prioritizing the use of storage when energy prices are high, and grid consumption when prices are low and then recharging the batteries.
Additionally, the house is considered as a TES when it takes advantage of the thermal and insulation characteristics of its structure and envelopes. Heat can be stored in the structure and materials of the house and released, when necessary, by acting on the interior temperature to be reached in the rooms. For this purpose, the materials of the envelope are not modified, but with the existing ones, the planning system proposes slight variations of the target temperature inside the rooms, always maintaining comfortable indoor temperatures that cause energy storage based on the abovementioned TES principles. This approach leverages the thermal inertia of the building to store or release heat strategically, reducing energy demand during peak periods and enhancing overall efficiency. By allowing controlled deviations from the setpoint temperature, the system can shift energy usage to times when it is more cost-effective or environmentally friendly, contributing to a sustainable and optimized climate control strategy. This approach improves the efficiency of the system, reducing the heating or cooling energy consumption and, consequently, reducing the energy cost.
In this way, the planner works by analyzing data on energy demand and indoor temperatures, outdoor weather conditions, energy prices, and occupant schedules to anticipate heating and cooling needs. Based on these data, the optimizer proactively adjusts heating and cooling systems, storing thermal energy when renewable energy is abundant, and/or energy prices are low. During peaks in energy demand or when energy costs are high, the system reduces active heating or cooling by drawing on thermal energy stored in the home’s structure. This approach not only improves energy efficiency and reduces greenhouse gas emissions but also offers flexibility to the grid, reducing stress during peak hours and allowing for the greater integration of renewable energy sources. By means of continuous optimization, the home can be made to achieve energy savings, improve comfort levels, and contribute to broader sustainability goals.
At the planning level, the use of a seven-day forecast horizon offers a significant advantage over a one-day horizon by providing the system with a broader perspective on future energy demand, costs, and generation trends. With this extended horizon, the planner can better anticipate fluctuations in energy prices, PV generation, and thermal energy demand, allowing him to make more strategic decisions about when to store energy in the TES and when to consume it. A shorter horizon lacks the ability to forecast and plan for longer-term trends, leading to less efficient energy management and higher cumulative costs. While a one-day horizon can respond reactively to immediate conditions, it misses opportunities to optimize for the longer term, underscoring why a seven-day model achieves better results in both cost savings and operational efficiency. This optimization minimizes energy costs by avoiding reliance on expensive electricity during periods of high demand and using cheaper energy during periods of surplus or low cost.
The results obtained from the planning layer provide the target temperature guidelines within the rooms that the HVAC controller should try to reach, so as far as the real-time HVAC controller is concerned, given that both electricity market prices and weather conditions are changing, the planning layer is updated hourly, considering it as a shifting horizon.

4. HVAC Control

This section includes everything related to the control system used to predict the consumption of the HVAC system. It is based on model predictive control (MPC) and is derived from a thermal model of the house fed with predictions based on the time of day that affect energy demand, such as outdoor temperature, solar radiation, etc.
First of all, the thermal model considered will be described. Next, the characteristics of the MPC control system that has been developed will be described.

4.1. Thermal Model

The first step involves defining a theoretical model for the temperature evolution within an enclosure. Based on the First Law of Thermodynamics, when applied to a control volume, the principle of energy conservation dictates how temperature changes within that space. This relationship can be generally expressed as the following differential Equation (1):
E ˙ v o l = E ˙ i n / o u t + E ˙ g + Q ˙ c l i m
where E ˙ v o l represents the rate of change in energy stored in the volume, expressed in W, E ˙ i n / o u t denotes the rate of energy exchanged with the outside of the enclosure, expressed in W, and E ˙ g represents the rate of energy generated in the volume, expressed in W.
By applying the generic control volume approach to a specific enclosure, we derive the equation that describes its thermal behavior. In this context, several considerations can be made to further break down the previously defined terms.
The E ˙ v o l term (2) represents the sum of the rate of thermal energy change in the air inside the enclosure plus the rate of thermal energy change in the materials within the enclosure. It is assumed that the air temperature is uniform and consistent throughout the entire enclosure. Based on this, the following Equation (2) is obtained:
E ˙ v o l = m a i r · c p a i r + j m m a t j · c p m a t , j   T ˙ = M   T ˙
In (2), m a i r and m m a t j represent the mass of air inside the enclosure and the mass of each material in the enclosure, respectively, both measured in kg. The terms c p a i r and c p m a t ,   j denote the specific heat capacities of the air and the materials, expressed in J/(kg·K). Finally, T ˙ represents the rate of change in the temperature over time.
The term E ˙ i n / o u t in (1) includes the thermal power related to the solar radiation received ( Q ˙ r a d ), the heat transferred through the envelope ( Q ˙ e n c ), and the ventilation thermal load ( Q ˙ v e n t ) required to maintain indoor air quality in compliance with legal standards. The breakdown of this term is as follows in (3):
E ˙ i n / o u t = Q ˙ r a d + Q ˙ e n c + Q ˙ v e n t
The heat due to solar radiation Q ˙ r a d , expressed in W, is indicated in (4):
Q ˙ r a d = G i · S · F · O r · f
In (4), G i represents the global irradiance, expressed in W/m2, while S denotes the area of the window on which it is incident, expressed in m2. F signifies the modified solar factor, O r denotes the solar radiation coefficient according to the orientation of the window, and f represents the attenuation correction factor for elements such as curtains or awnings.
The heat transmitted through a wall j , denoted Q ˙ e n c j , expressed in W, is calculated as follows in (5):
Q ˙ e n c j = U j · S j · ( T e x t   j T )
In (5), the heat transmission coefficient for a wall, U j , is expressed in W/(K m2), while the area, S j , is expressed in m2. The indoor temperature, T , is expressed in K, as is the temperature of the external environment with which the enclosure area contacts, T e x t   j . It is important to note that this external environment includes both the external environment and other possible enclosures.
In consideration of the fact that an enclosure may comprise multiple walls, the general expression is represented in (6):
Q ˙ e n c = j U j · S j · ( T e x t   j T )
where the subscript j indicates the number of walls present in the entire enclosure.
The ventilation heat load, Q ˙ v e n t , is expressed in W and has the form indicated in (7):
Q ˙ v e n t = m ˙ v e n t · c p · ( T e x t T )
where m ˙ v e n t is the mass flow rate of ventilation air required for the enclosure, expressed in kg/s; c p is the specific heat of the ventilation air, expressed in J/(kg K); T is the temperature of the enclosure, expressed in K; and T e x t is the outdoor temperature, expressed in K. The flow rate m ˙ v e n t can be calculated as the product of the outdoor air density ρ e x t , expressed in kg/m3 by the ventilation flow rate V ˙ v e n t introduced into the enclosure, expressed in m3/s. This term m ˙ v e n t represents the mass flow rate of ventilation air required for the enclosure, expressed in kg/s. Therefore, this can be expressed as shown in (8):
Q ˙ v e n t = ρ e x t · V ˙ v e n t · c p · ( T e x t T i n t )
The E ˙ g term includes the thermal loads due to lighting Q ˙ l i g h t , equipment Q ˙ e q u i p , and occupancy Q ˙ o c u p , which has a latent heat component in addition to a sensible heat component.
E ˙ g = Q ˙ l i g h t + Q ˙ e q u i p + Q ˙ o c u p
Finally, the thermal load introduced by the HVAC system present in the enclosure Q ˙ c l i m must be incorporated as shown in (9).
By aggregating all the developments of the terms that have been made, Equation (1) can be reorganized in the following differential equation that determines the time evolution of the temperature:
M   T ˙ = A + B   T + Q ˙ c l i m
Equation (10) represents the thermal model to be solved. The terms A and B represent the grouping of terms obtained in the different Equations (3) to (8) that do not depend on T (term A ) and those that multiply the variable T (term B ), as well as those that represent all the actions on the enclosure outside the HVAC system to be controlled. In general terms, expressions (3) to (8), and, therefore, A and B , are time-dependent functions, since they depend on the time of day and the thermal loads not associated with HVAC in each time phase.
Finally, the term Q ˙ c l i m represents the action performed by the HVAC system and that will be the variable to be controlled to try to achieve the desired interior temperature T of an enclosure.

4.2. Design of the MPC

The proposal is to implement a control system, with a dedicated unit for each room, based on an MPC approach. The controller is nonlinear, and the constraints are explicitly handled [58].
According to the receding horizon principle, at each time step, the MPC algorithm computes the optimal temperatures solving a finite horizon optimization problem.
For the formulation of the MPC, a prediction horizon t , t + N p is considered at time t. The notation x t + k | t represents the state vector at time t + k , predicted at time t , obtained by starting from the current state x t | t = x t x t , and where u · | t = u t | t , , u t + N p 1 | t denotes the unknown input variables to be optimized.
The control system aims to achieve the target comfort temperature in each room, while satisfying the state and input constraints. So, for a particular room i , the state variable is the temperature T k | t i and the unknown input variable to be optimized is the thermal load introduced by the HVAC system Q ˙ k | t i .
Therefore, the optimization problem for the temperature controller can be formulated in (11):
min Q ˙ · | t J T k | t i , Q ˙ k | t i , T k | t i
subject to:
T t | t i = T t i         i = 1 , , N e  
T k + 1 | t i = T k | t i + j = 1 K ω j Δ t f ( T k , j | t i , Q ˙ k , j | t i ) k [ t , t + N p 1 ] i = 1 , , N e
f T k | t i , Q ˙ k | t i = A i + B i T k | t i + Q ˙ k | t i / M i k [ t , t + N p 1 ] i = 1 , , N e
Q ˙ r e f i Q ˙ k | t i Q ˙ h e a t i       k [ t , t + N p 1 ] i = 1 , , N e
T k | t i Δ T t i T r e f i w i t h Δ T t i 0 k [ t , t + N p 1 ] i = 1 , , N e
T N p | t i Δ T t i T r e f i i = 1 , , N e
( 1 α ) M i M i ( 1 + α ) M i     i = 1 , , N e    
δ T w T e x t δ T  
In this optimization problem, N e is the number of air-conditioned rooms in the dwelling, and N p is the prediction horizon.
The state T t | t i at time t is initialized with the actual temperature of the room T t i , as seen in Equation (12). Then, future states are obtained with Equation (13), which follows a linear discretization approach of Equation (10).
It should be noted that hard constraints are used for the input variables in this optimization problem; whereas, soft constraints are used for the state variables.
A hard constraint from Equation (15) limits the input variable Q ˙ k | t i , between the maximum refrigeration Q ˙ r e f i and heat Q ˙ h e a t i thermal loads.
Moreover, Equation (16) bound the temperature of the room, where T k | t i (K) is the estimated temperature of the controlled room at instant k calculated at time t , and T r e f i is the temperature objective to be reached. This is a soft constraint where Equation (16) penalizes, exceeding the maximum speed through the positive slack variable Δ T t i .
The terminal constraint in Equation (17) serves as an operational constraint.
In addition, for the real-time MPC, as it is designed in a robust scenario-based MPC that considers uncertainties in the design parameters and disturbances in the inputs, the following constraints are added.
Equation (18) includes the uncertain in the design parameters considered in the model. In this way, an uncertainty has been considered in the evaluation of the thermal inertia of the building (18), where α is the deviation from the nominal value of thermal inertia expressed as a percent of one. On the other hand, constraint (19) represents the white noise disturbance considered for the outside temperature of the enclosures being δ T the amplitude of the uncertainty for the temperature sensor.
Therefore, we define the objective function J to be optimized in (11) as in Equation (20). The objective function has been constructed following the usual and recommended practice of normalizing the terms of the objective function, in order to avoid the terms whose values belong to a higher order of magnitude not presenting more weight than the remaining terms.
J = k = t t + N p i = 1 N u K T i · 1 T k | t i T r e f i + K T i · T k | t i T r e f i + K Q ˙ i · Q ˙ k | t i Q ˙ r e f i
The cost function (20) has several dimensionless coefficients: K T i 0 represents the weight penalizing the output deviation from the maximum temperature of reference T r e f i , K T i represents the weight penalizing the positive slack variable Δ T t i , and K Q ˙ i is a tuning parameter used to smoothen the obtained optimal solution.
The developed HVAC controller is used for two functions. Firstly, as a further component of the planner, it is used for the prediction of the consumption due to the air conditioning of the building. In this case, the MPC is focused on a nominal control design, i.e., we assume perfect model knowledge at the design stage. In this case, the MPC is built based on Equations (11)–(17) and (20).
However, secondly, MPC is also used, once the planning has been completed, as a real-time control system, where the HVAC behavior is regulated. In this case, it is considered a robust controller where uncertainties in the estimation of certain parameters and disturbances in the inputs to the system are then considered, being built based on Equations (11)–(20).
Once the optimization problem has been solved, for each room, the resulting optimal states and inputs are denoted as following:
T t i * = T t | t i * T t + 1 | t i * T t + N p | t i * T Q ˙ t i * = Q ˙ t | t i * Q ˙ t + 1 | t i * Q ˙ t + N p 1 | t i * T
For closing the loop, the first input is applied to the system (10) during the time interval t , t + 1 ) :
Q ˙ t i = Q ˙ t | t i *
At the next time step, t + 1 , a new optimal problem in the form of (11)–(20), based on the new measurement of the state, is solved over a shifted horizon, yielding a moving receding horizon control strategy with control law.

5. Energy Consumption Planner

The energy consumption planner has been developed to manage and optimize the energy consumption of the house, minimizing the cost of the required electrical energy. For this purpose, an optimization problem has been formulated.
The objective function to be minimized is the cost of electricity over a period of time t p , so the objective function can be written as:
min C b , D b , C PV t = t 0 t 0 + t p P g t × C g t + C g t D g t + P P V t × C P V t
where P g t represents the price of electricity from the grid at time t . C g t is the grid electricity consumption of the house, obtained by adding the predicted consumption of appliances, lighting, and HVAC, subtracting the part already covered by the self-consumption coming from the PV installation.
Related to the batteries, C g t represents the charging power coming from the grid and D g t represents the discharging power by the batteries. P P V t is the price of charging the batteries with energy from the PV installation, and C P V t is the charging from photovoltaic surplus energy. If we assume that the cost of photovoltaic energy is 0, the objective function can be rewritten as follows:
min C b , D b , C PV t = t 0 t 0 + t p P g t × C g t + C g t D g t
subject to the following constraints:
1 D O D S T G S O C t S T G S O C t = S O C t 1 + α t · C g t + C P V t β t · D g t
α t + β t 1
0 C g t + C P V t P o w C
0 D g t P o w D
C g t + α t · C g t + C P V t β t   D g t P o w P S
Constraint (25) refers to the technical limits of the batteries, where D O D is the depth of discharge of the batteries, S T G is the capacity in kWh, and S O C t in kWh is state of charge of the batteries at time t . The model used does not take into account battery degradation.
Constraint (26) ensures that the battery cannot charge and discharge simultaneously. For this reason, α t and β t act as binary flags: when α t = 1 , charging occurs, and when β t = 1 , discharging occurs. Their sum being limited to 1 prevents overlapping operations, preserving the logical integrity of the system.
Constraints (27) and (28) are also related to the technical limitations of the batteries, limiting the maximum charging P o w C and discharging P o w D power in kWh of the battery.
Additionally, a constraint called “peak shaving” (29) is implemented to avoid power spikes, where P o w P S in kWh represents the maximum power that should not be exceeded at any time. A graphical example of this function can be seen in Figure 2.

6. Implementation

To evaluate the results of the proposed system, a mock-up consisting of a residential house, specifically a single-family home for two people, is proposed. Its location was established in downtown Madrid, since this is a location where it is interesting to achieve energy savings and reduce CO2 emissions. The house has a single floor and a sloping gable roof.
Appendix A includes a plan of the house, and Appendix B includes the parameters considered for the thermal model of the house. The parameters used in the thermal model have been obtained with CYPECAD MEP 2025.c [59]. CYPECAD MEP is a program for the design and sizing of the building envelope, layout, and facilities on a 3D model integrated with the different elements of the building. The program allows us to obtain the necessary parameters for the thermal model, based on the edges detected, depending on the construction solutions adopted and the description of the building from the point of view of thermal analysis (zoning, description of spaces, etc.), according to the standards ANSI/ASHRAE/ACCA Standard 183-2007 [60], CEN/TR 12831 [61], or ISO 6946 [62]. The data for each enclosure include interior conditions, occupancy, illumination, ventilation established according to current regulations, and equipment or other loads. The program also includes libraries of enclosures, partition walls, floors, and roofs, as well as various types of windows.
For the calculations in this paper, the design conditions considered are an operating temperature range inside the enclosures of 22 °C to 26 °C in summer and 18 °C to 23 °C in winter, with a relative humidity of 50% maintained throughout both seasons for all air-conditioned rooms in the house.
For sizing the photovoltaic system, the following factors were taken into account: the available roof surface area for installing solar panels, the absence of shading that could hinder proper radiation reception, the geographical location of the house, and the increased energy demand during winter for heating. Consequently, a photovoltaic setup with 14 solar panels of 450 W each was selected, providing a total peak power of 6.3 kW. Additionally, a 10 kWh electrical battery was included in the design.
The developed system is designed for continuous operation. As previously mentioned, predictions are made with a seven-day horizon, as this represents the optimal balance: it provides the planner with enough foresight to improve accuracy and maximize energy savings, while avoiding unnecessary increases in computation time. This process uses data from prediction models for costs, house usage, atmospheric conditions, and other factors to generate hourly predictions for the entire week ahead. For the planner, the HVAC MPC provides power requirements as well. With these data, the optimizer provides the demand prediction and the battery usage planning with the abovementioned time frequency. The execution process has several steps and is schematically represented in Figure 3.
First, the price prediction models, electrical consumption prediction (excluding HVAC consumption), and solar radiation are executed, providing results with an hourly frequency, and are considered constant during that hour. Parameters and values considered for the planner module are included in Appendix D.
Second, the MPC model is run to obtain an accurate prediction of the HVAC consumption. This model is run by updating the inputs to the model (outdoor temperature, atmospheric conditions, etc.) and target temperature to be reached in each room once every hour and allows us to obtain the temperature of each room at each instant of time.
Subsequently, once all the predictions have been obtained, the energy optimization model is run for two purposes: first, to determine a schedule for running the electric battery and, second, to establish a target temperature profile inside the rooms for the house to act as a thermal battery, proposing operating temperature profiles for weekdays and weekends designed to balance comfort and energy efficiency based on occupancy patterns.
According to an IDAE study [63], the ideal indoor temperature is between 21–23 °C during the day and 16–18 °C at night for the winter months. However, in cold areas, these figures can rise to 22–24 °C during the day and 18–20 °C at night. In the same way, the ideal temperature is between 21–23 °C during the day and 16–18 °C at night for the summer months. For this reason, the capacity of the home’s thermal battery has been defined as the energy required to increase the indoor temperature by 2 °C and maintain it for at least 2 h. Based on this calculation, the required energy is 6 kWh thermal, which is equivalent to 2 kWh electrical, considering that the HVAC system has a COP of 3.
Regarding the charging strategy, priority has been given to the use of the electrical battery. This means that the electrical battery will be charged first, and once it is fully charged, the thermal battery will then be charged. Therefore, if the planner determines that the thermal battery needs to be charged, the target temperature of the enclosures will be increased by 2 °C to achieve and maintain the required level.
Finally, once the desired temperature profile for each room is determined, the MPC model is run again to control the HVAC and achieve the desired objectives.
The MPC used for to control the HVAC has been implemented by programming in Python, using the do-mpc toolbox [64]. Do-mpc is a comprehensive, open-source toolbox for robust model predictive control and moving horizon estimation that enables the efficient formulation and solution of control and estimation problems for nonlinear systems, including tools to deal with uncertainty and time discretization. Ipopt [65] has been used as the solver for the optimization MPC problem.
In an MPC controller, the parameter values of the sampling time, the prediction horizon, and the control horizon have to be set. The values assigned to them have a very relevant influence on the results provided by the controller, so it is necessary to select them properly to achieve the best results. However, there are no analytical methods that allow for determining the optimal combination of these parameters, beyond a series of general considerations that allow for starting the iteration of values, finally obtaining, through the trial-and-error method, those values that allow for the generation of adequate results.
In addition to these parameters, it is also necessary to fix the positive values of the coefficients of the different terms that constitute the objective function that the controller tries to minimize. Similarly, these weights have a notable influence on the results provided by the controller and must be carefully chosen by trial and error, there being no analytical methods for this purpose. It is emphasized that for these parameters, as well as for those mentioned above, the values that provide optimum controller behavior vary with the modeling that has been carried out in each case, as well as with the initial conditions that are considered.
In the different cases analyzed, the control horizon is equal to the prediction horizon, a fairly common practice. The choice of sampling time, prediction horizon, and weights are made considering several criteria, such as the accuracy of the temperature results, the energy cost associated with power consumption, or the computation time needed by the controller to solve the system of differential equations.
The parameters used for the MPC model are included in Appendix C.
The time step (1 min) and prediction horizon (60 min) play a crucial role in determining the operation of the HVAC controller and the overall effectiveness of the energy management strategy. The 1 min time step allows for the controller to make frequent updates to its decisions, enabling precise and fine-grained control of the HVAC system. This ensures that the system can quickly adapt to changes in indoor temperature or external factors, like wind or solar radiation variations. While a shorter time step increases computational demand due to more frequent calculations, it ensures that the controller operates with a high level of precision, minimizing energy waste and maintaining thermal comfort. The 60 min prediction horizon, on the other hand, provides the controller with the ability to forecast system behavior, including the building’s thermal response and anticipated changes in other factors that influence the controller over a sufficient period.

7. Results and Discussion

This section presents and discusses the results obtained from the simulations performed for the different use cases indicated in the single-family house. The objective of this section is to show the results obtained with the planner and to quantify the economic savings achieved with the proposed solution. Two scenarios have been considered, one corresponding to a week in the winter period and the other to a week in the summer period. With these two cases, it will be possible to see in detail the operation of the planner, and how the use of the batteries is managed, according to the different energy consumption demands of the house.

7.1. Winter

On weekdays, the temperature is set to 18 °C during the night and during working hours when the house is typically unoccupied. It increases to 20 °C in the morning for waking up and preparation and to 21 °C in the evening for comfort during home activities, before dropping to 19 °C for sleeping. On weekends, when people tend to be at home more, the temperature starts at 18 °C during the night, rises to 20 °C in the early morning, and stays at 21 °C throughout the day to ensure comfort during indoor activities, before settling at 19 °C at bedtime. This profile ensures a comfortable environment, while optimizing energy use.
Figure 4 and Figure 5 show the outside temperature profile and the temperature profile inside the enclosures of a typical week during winter, respectively.
As mentioned earlier, the MPC model is first executed to obtain the most reliable possible heating consumption curve as a prediction for the optimization model of the energy consumption.
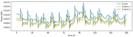
Figure 6 and Figure 7 show the temperatures obtained and the thermal power required by the HVAC system, respectively.
In Figure 6, it is evident that the actual temperatures follow the evolution of the target temperature. It can also be observed that there is a delay between the setpoint increase and the system response due to thermal inertia. The blue and yellow lines in Figure 6 are coincident and overlapping with the green line, so that only the green line is visible in this figure.
In Figure 7, it is shown that the thermal power used exhibits periodic peaks, indicating that the system is responding to changes in the target temperature. It is observed that the living room consistently requires more energy than the other two bedrooms, because it has higher thermal losses and higher heating requirements in this zone due to higher outdoor exposure and higher volume. The peaks in the HVAC system’s energy consumption shown in Figure 7 coincide with the moments when the indoor target temperatures change, as illustrated in Figure 6. During winter, the system must quickly compensate for the differences between the ambient temperature and the new, higher target temperatures. This leads to increases in power consumption, especially when the system adjusts the heating to reach the higher temperatures. Once the desired temperature is reached, the consumption decreases, stabilizing until the next significant change in the target temperature.
By analyzing both figures together, it can be concluded that the HVAC system is successfully meeting the temperature objectives.
Using the total HVAC consumption curve, combined with the electricity consumption of other household loads, photovoltaic production, and grid electricity prices, the optimization model is run to determine the best use of the different energy sources.
The results are shown in Figure 8, which shows the electricity consumption of HVAC, other household loads, and the photovoltaic production.
Figure 8 shows that, during the daylight hours of the first two days, the PV generation significantly exceeds the combined demand of HVAC and other loads, creating an opportunity for energy storage or export to the grid. However, during nighttime or periods of low sunlight, PV generation drops significantly, and the home relies entirely on external power sources to meet the relatively stable consumption of HVAC and the rest of the loads.
In relation to outdoor temperature variation (Figure 4) and energy use patterns (Figure 8), the indoor temperature profile introduces a pattern in the HVAC system’s energy consumption, which interacts with the outdoor temperature, as seen in Figure 9.
During nighttime and working hours on weekdays, when the indoor temperature is set to 18 °C, the HVAC system uses less energy, which aligns with the observed consumption minimums. In contrast, during the morning, when the temperature rises to 20 °C for preparation, and in the evening, when it increases to 21 °C for comfort, the HVAC consumption rises due to the additional effort required to reach the programmed temperatures, especially on colder days.
On days with lower outdoor temperatures, the HVAC system needs to work harder to heat the house, resulting in higher consumption peaks. Conversely, on days with higher outdoor temperatures, the HVAC requires less energy, since the outdoor temperatures are closer to the desired indoor settings.
On weekends, when the indoor temperature remains at 21 °C for most of the day to ensure comfort, HVAC consumption is likely more constant and higher compared to weekdays, though this pattern depends on outdoor temperatures.
Then, after running the model for a representative winter week, and as a result of the planner, the new target temperature profile is as indicated in Figure 10.
As can be seen in Figure 10, there are certain hours when the target temperature has risen due to the use of the home as a battery. With the new temperature profile, we run the MPC model again, obtaining the results that appear in Figure 11. Again, the blue and yellow lines in Figure 11 are coincident and overlapping with the green line, so that only the green line is visible in this figure.
The temperatures in Figure 11 show greater stability and do not drop as abruptly after reaching the target temperature. This smoother evolution suggests that the TES of the home is functioning, meaning that the heat stored in the walls, floors, or structural elements helps maintain the temperature for a longer period. As a result, the HVAC system does not need to respond as aggressively or as frequently, reducing peak energy demand and improving system efficiency.
The comparison between Figure 6 and Figure 11 highlights the influence of the TES on the temperature evolution of the home. In Figure 6, the lack of thermal storage capacity generates more pronounced temperature fluctuations, forcing the HVAC system to work more intensively. In contrast, in Figure 11, the use of the thermal battery provides greater thermal inertia, reducing heat losses and stabilizing the temperature across different zones of the building. This not only enhances thermal comfort but also decreases energy consumption by optimizing the operation of the HVAC system.
The thermal power required by the HVAC system in the scenario of using the planner and the TES is shown in Figure 12.
Figure 13 highlights the differences in energy consumption between systems with and without a planner. With a planner, energy usage exhibits noticeable peaks at specific times, reflecting the system’s strategy of charging the battery and TES during periods of lower electricity demand and cheaper prices. This optimized approach stores energy during these optimal periods, reducing consumption during high-demand or high-cost times. In winter, as shown in Figure 13, this strategy concentrates energy usage exclusively during low-price periods, ensuring no energy is consumed during peak pricing times, thereby maximizing cost efficiency. In contrast, without a planner, energy consumption remains constant yet frequent, with instances of usage even during high-cost periods. This lack of optimization leads to inefficient and more expensive energy use. By shifting consumption to the most cost-effective periods, the planner reduces overall energy costs, ensures sustainable energy management, and achieves a substantial reduction in the final electricity bill.
Figure 14 illustrates the state of charge (SOC) of the system, with and without using the planner. Without the planner, the electric battery only works by storing the excess energy produced by the PV system during periods of surplus generation. When the solar panels generate more electricity than the home requires, the excess energy is used to charge the battery instead of being sent back to the grid. Once the battery is fully charged, it remains on standby, ready to supply power when needed. As soon as the installation starts consuming energy from the grid, the battery automatically discharges to meet this demand, reducing grid reliance.
In contrast, when using a planner, the thermal storage is efficiently managed, displaying clear charging and discharging cycles. This indicates that energy is stored during periods when it is cheaper or more convenient and discharged later when needed. Without the planner, the SOC remains largely low or empty, highlighting that the storage systems are not effectively utilized, leading to a direct reliance on instantaneous energy consumption from the grid.
Finally, Figure 15 shows the cost of energy, comparing the results of the optimizer without and with indoor temperature control using the TES concept.
Figure 15 shows the cumulative cost over time and the impact on total cost. With the planner, the cost increases at a slower rate, indicating the savings achieved by strategically charging and using the TES. This optimization allows the system to avoid using power during expensive periods. In contrast, without the planner, costs accumulate more quickly, reflecting the inefficiencies of using energy immediately without leveraging storage capabilities. The jumps observed in Figure 15 are due to the system where the scheduler strategically concentrates energy consumption during certain periods when electricity prices are at their lowest. These discrete increases in cost correspond to the planner’s decision to charge the battery and TES during optimal pricing windows. By doing so, the planner avoids consuming electricity during high-cost periods, resulting in cost savings and fewer incremental increases in the overall cost. In contrast, the system without a planner incurs more frequent and gradual increases in cost, as it directly consumes energy on demand without optimizing for lower-priced periods.
In summary, these results show that the TES acts as an energy reservoir that allows systems to store thermal energy when electricity is cheap or plentiful and use it later when energy demand or costs are higher. The planner optimizes this process by determining the ideal times to charge and discharge the storage, thereby minimizing costs and improving energy efficiency. Without the planner, the system fails to take advantage of thermal storage, resulting in higher costs and more inefficient energy use.

7.2. Summer

The temperature profile for the home, based on the time of the day and day of the week, is designed to optimize comfort and energy efficiency. On weekdays, the target temperature is set at 24 °C overnight, rising to 26 °C in the morning to accommodate daytime activities. In the afternoon, the temperature is set back to 24 °C to provide a comfortable temperature for the end of the day. In the evening, the temperature is raised again to 26 °C to accommodate nighttime preferences. On weekends, the temperature remains at 24 °C from midnight to noon, providing a cooler atmosphere for sleeping and early morning hours. In the afternoon, the target temperature drops slightly to 23 °C for a cooler, more restful environment. Finally, the temperature returns to 24 °C for the rest of the day, providing comfort for evening activities.
Figure 16 and Figure 17 show the outside temperature profile and the temperature profile inside the enclosures of a typical week during summer, respectively.
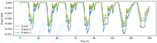
Figure 18 and Figure 19 show the temperatures obtained and the thermal power required by the HVAC system, respectively.
The HVAC system exhibits a cyclical dynamic where power consumption and temperature evolution interact to maintain thermal comfort in the different rooms. During the day, internal temperatures rise due to external thermal loads, such as solar radiation, and internal gains generated by occupants and devices. Once temperatures reach the upper limit of the target range, the system activates cooling, reflected in negative power consumption in Figure 19. This controlled cooling gradually reduces temperatures until they approach the lower limit of the target range, at which point the system decreases or stops its operation to save energy. This pattern repeats periodically and shows slight variations between the different zones (living room and bedrooms), which, as mentioned before, is due to differences in solar exposure, size, or thermal characteristics of the spaces. Additionally, the cycles are more pronounced during the day when external thermal loads are higher; whereas, at night, the system requires less intervention due to natural ambient cooling. Overall, this demonstrates an efficient thermal control system that dynamically adjusts power usage to maintain temperatures within the set range, maximizing comfort, while optimizing energy consumption.
We can observe the temperature drops in Figure 18, which can be explained in relation to the outside temperature. When the outside temperature is lower than the target indoor temperature, the house loses heat to the exterior. Since the system is set to cooling mode, it is normal for the temperature in various rooms to decrease. This is because the system cannot switch to heating mode while in cooling mode, and the heat from the interior is transferred outside, causing a drop in the indoor temperature.
Again, using this HVAC consumption curve, combined with the electricity consumption of other household loads, PV production, and grid electricity prices, the optimization model is run to determine the best use of the different energy sources.
The results are shown in Figure 20, which shows the electricity consumption of HVAC, other household loads, photovoltaic production, and storage elements.
In Figure 20, it is evident that, due to the high solar radiation typical of this season, the PV generation reaches significant peaks during the day, exceeding the home’s electrical demands, such as the HVAC system and other loads. This results in energy surpluses, visible as the differences between the PV generation curve and the total loads. These surpluses could be stored in batteries or exported to the grid.
After running the model for a representative summer week, and as a result of the planner, the new target temperature profile is as indicated in Figure 21.
With the new temperature profile, the results appear in Figure 22.
The thermal power required by the HVAC system is shown in Figure 23.
When comparing the dynamics of the two systems (with and without a planner), it can be observed that, in the case without a planner, the oscillations in power and temperature are more pronounced. This reflects that the system operates more directly to respond to temperature variations, activating and deactivating cooling in a more reactive manner than in the planner case. On the other hand, in the case with a planner, the graphs reflect a smoother and more uniform control strategy, where the system better anticipates temperature variations, storing or releasing thermal energy more gradually.
This demonstrates a more efficient use of the thermal battery in the case where the planner is used, minimizing power peaks and achieving more stable temperature control. This strategy reduces the dependence on frequent system activations, optimizing energy consumption, while maintaining thermal comfort. In summary, analyzing both systems highlights how the thermal battery is also used to smooth system operation and improve energy efficiency.
Similar to the winter scenario, Figure 24 illustrates variations in energy consumption patterns. With a planner, energy usage shows distinct peaks at specific times, reflecting the system’s deliberate strategy to charge the battery and TES during periods of lower electricity prices and reduced demand. This approach allows the system to store energy efficiently, minimizing consumption during high-demand or high-cost periods. In contrast, without a planner, energy consumption is steadier but occurs more frequently, indicating a reliance on power as needed without strategic optimization, leading to less efficient energy use. As observed in winter, during a typical summer week, the planner concentrates energy consumption during low-cost periods, while, in its absence, energy is consumed even during times of higher electricity prices.
Figure 25 shows that when the planner is implemented, the SOC follows a strategic pattern, with distinct charging peaks during periods of low electricity costs or high PV generation. This allows the TES to store thermal energy efficiently for later use, especially during times of high demand or elevated energy prices. Conversely, without a planner, the SOC remains lower and fluctuates less significantly. This reactive approach leads to less efficient energy storage and utilization strategy, missing opportunities to capitalize on periods of surplus energy or cost advantages.
Finally, Figure 26 shows the cost of energy comparing the results of the optimizer without and with indoor temperature control using the TES concept.
Figure 26 illustrates the effect on overall costs during the summer period. Similarly to the winter scenario, using the planner results in a slower cost increase, highlighting the savings obtained by strategically managing the charging and discharging of the TES. This approach enables the system to minimize energy usage during high-cost periods. On the other hand, without the planner, costs rise more rapidly, demonstrating the inefficiencies of relying on immediate energy use without taking advantage of storage to optimize consumption.

7.3. Effect of the Thermal Inertia

To evaluate the effect of thermal inertia and its potential in the battery energy storage system, several simulations of the effect on the HVAC and TES system have been carried out in different houses with different levels of insulation and thermal inertia. To study this effect, we have used different thermal inertia coefficients, which were calculated from that of the studied dwelling, initially reducing it by 25% and 12.5% and then increasing it by 12.5% and 25%. For simplicity, only the analysis carried out for the winter period is included.
In Figure 27, it is observed that higher thermal mass results in less frequent and smaller operational cycles for the HVAC system. This is because the additional thermal mass effectively buffers temperature fluctuations, reducing the regulation effort required and leading to more efficient energy consumption. Conversely, lower thermal mass causes faster temperature fluctuations, forcing the HVAC system to respond more frequently and at higher power levels, resulting in larger energy consumption spikes.
Table 1 presents the cumulative energy consumption variation in one week for the different thermal masses compared to the case study. It clearly shows that higher thermal mass results in lower cumulative energy consumption over time. This is because the system requires less effort to maintain thermal stability. Conversely, lower thermal mass results in higher cumulative consumption, because the system works harder to compensate for rapid temperature changes.
In summary, higher thermal mass reduces temperature fluctuations and cumulative HVAC energy consumption, improving overall system efficiency. On the other hand, lower thermal mass increases the frequency of HVAC system response and cumulative energy use, as the system’s ability to buffer temperature changes is significantly reduced.
Similarly, in less insulated houses, the TES responds quickly to changes in thermal load, which can be beneficial in applications requiring the rapid delivery of heat or cooling. However, this quick response makes the system less stable in the face of demand fluctuations. Additionally, a TES with low thermal mass undergoes more frequent charge and discharge cycles, which increases system wear and reduces its lifespan. Furthermore, its ability to retain thermal energy over extended periods is diminished, making it less effective in long-term storage applications.
Conversely, a TES with high thermal mass better buffers temperature fluctuations, providing a more stable and consistent energy delivery. Although this reduces the system’s ability to respond quickly to abrupt changes in demand, it minimizes the frequency of charge and discharge cycles, thereby improving system durability and reducing operational costs. Moreover, greater thermal mass allows for the internal temperature to remain stable over prolonged periods, making it ideal for applications where thermal stability is crucial, such as renewable energy storage or the climate control of large buildings.

8. Validation in a Testing Environment

To study the integration of this solution in a real-world environment, a prototype was first developed in a laboratory in order to test the main functionalities of a household energy system, as shown in Figure 28.
The developed prototype has been configured to replicate the behavior of real systems, providing a comprehensive and adaptable testing environment. One key element of the prototype is a 3 kW power supply that simulates the operation of solar panels by converting alternating current (AC) to direct current (DC). This power supply acts as a controllable generator, capable of reproducing variations in photovoltaic energy production under different conditions, such as changes in solar radiation or generation capacity throughout the day.
The system also includes an inverter and an electric battery. Meanwhile, the electric battery enables energy storage, allowing excess energy to be stored for use during periods when demand exceeds generation. Together, these components facilitate the evaluation of charge and discharge cycles, system efficiency, and the integration of renewable energy with storage systems.
In addition, an aerothermal system has been used as an HVAC system. The prototype incorporates two water tanks designed to simulate different aspects of thermal energy management. The first tank is a dual-chamber unit configured to replicate the operation of an aerothermal heat pump, heating water on demand. This tank dynamically simulates how an aerothermal system responds to a household’s heating requirements. The second tank is a large storage tank that simulates the thermal loads of a household, encompassing both heating and cooling demands. This tank acts as a thermal sink, enabling the evaluation of energy transfer, thermal inertia, and system behavior under various simulated household conditions. Thermal loads are simulated by introducing heat into the large tank to mimic heating consumption or by extracting heat to replicate cooling demands.
The prototype is closely aligned with the final marketable solution and plays a critical role in validating its core components and functionality.
The marketable solution consists of two primary elements: an in-home hardware device and a cloud-based component. The hardware device acts as a controller for various devices, such as the PV inverter and the aerothermal system, while also collecting key data, such as home temperature, battery SOC, and PV power production. The cloud-based component complements this by storing the data in a database, running computational models, and sending commands back to the hardware device to optimize performance.
This prototype laid the groundwork for testing these concepts. These tests ensured that the hardware device could successfully monitor system states and that commands from the cloud could be accurately executed by actuators, even when these actuators were commercial devices not originally designed for this solution.
The prototype also served as a testbed for refining the installation process. This involved ensuring that the system could be easily set up by customers without requiring extensive technical expertise. By simulating household thermal and electrical loads, the prototype allowed for the verification of key functionalities, such as the seamless integration of the PV inverter, electric battery, and aerothermal system.
Although the prototype could not replicate the exact behavior of a TES system, it successfully tested the broader capabilities of energy storage and thermal management in a household context. TES systems in real homes are vital for storing surplus thermal energy generated during peak production and providing it later for heating or hot water. This aspect, while not fully implemented in the prototype, was acknowledged as a critical next step for real-world applications.
Once the validations in the laboratory prototype were completed, including communication between the hardware device and the cloud, the compliance of actuators with issued commands, and the viability of the installation procedure, the system was ready for deployment in a real-world environment.
Then, the next phase involved testing the solution in a home equipped with a PV system, an electric battery, and an aerothermal system, to confirm its performance in a practical setting. This progression from prototype to field testing ensured that the final solution would be robust, reliable, and user-friendly.
The installation where the real-world test will be carried out is located in Madrid and consists of a 6.3 kWp PV system, a 10 kWh electric storage, and an 8 kW aerothermal machine. As can be seen in Figure 29, the hardware device was placed next to the photovoltaic inverter.
The chosen temperature sensor is an NTC (negative temperature coefficient) thermistor with an uncertainty of ±0.3 °C. This choice is based on the sensor’s high precision and reliability in measuring temperature in outdoor and indoor environments. NTC thermistors offer a narrow range of uncertainty, making them ideal for applications where accuracy is crucial, such as in climate control systems within a home. The relatively low uncertainty of ±0.3 °C ensures that temperature readings are highly consistent, providing accurate data for managing heating, ventilation, and air conditioning (HVAC) systems. Additionally, NTC thermistors are cost-effective, durable, and widely available, making them a practical choice for this purpose.
In this test, several important aspects were verified, further demonstrating the advantages of the proposed solution for the customer.
Once this analysis was completed, both the MPC models and the planner were implemented, and a validation test was performed in the real environment for which data were collected during one month of spring.
In order to discuss the validation of the thermal model, the results of the real test can be seen in Figure 30, which, for simplicity, illustrates the behavior of the energy consumption of the air conditioning system during one week of the month in which the test was performed. This analysis was carried out to evaluate the consistency between the theoretical consumption model and the actual measured values obtained from the real installation.
Figure 30 shows a characteristic consumption pattern with daily peaks, reflecting the system’s effort to reach the target temperatures during periods of higher thermal demand, such as mornings and evenings. Overall, there is an acceptable correlation between the theoretical and validation curves, suggesting that the theoretical model adequately captures the expected behavior of the HVAC system. The pink bars highlight certain discrepancies, which correspond to the difference between the predictions made by the proposed system and the measurements obtained in real operating conditions, where slight climatic fluctuations or changes in space occupation occur.
Figure 31 shows the results obtained in the test during the whole month.
The blue curve represents the original consumption without considering the self-consumption system and batteries; the orange curve represents the consumption with the PV system and battery, but without optimization or implementation of the thermal battery; while the gray curve represents the final consumption after optimization and implementation of the thermal battery. As can be seen, the energy savings are significant, with a reduction in consumption of more than 57%, as shown in Figure 32.
Furthermore, if we analyze the energy balance by electricity periods, we can observe a significant reduction in consumption during the most expensive periods, P1 and P2 of the electricity tariff, as shown in the following Figure 33:
Both the reduction in electricity consumption and its distribution across periods have resulted in savings of more than EUR 400 on the customer’s energy bill over the approximately one-year period during which these tests were conducted in this home.

9. Conclusions

The EMS developed in this study represents a significant advancement in optimizing residential electricity consumption, demonstrating its ability to reduce costs and enhance energy efficiency. During simulations, the EMS achieved substantial cost reductions, highlighting its effectiveness across diverse climatic scenarios. This was accomplished by strategically utilizing thermal energy stored in the building’s structure, maximizing the TES capacity, and reducing reliance on expensive electricity sources during peak demand periods.
The EMS significantly increased PV self-consumption, particularly in summer, by prioritizing the use of solar-generated energy to meet the household’s thermal and electrical demands. This approach reduced grid dependency, not only lowering costs but also decreasing the carbon footprint of the system. Additionally, the EMS exhibited strong resilience to extreme climatic conditions, such as heatwaves or cold spells, maintaining optimal thermal comfort levels by anticipating and efficiently managing temperature fluctuations and energy demand.
The innovative use of TES allowed the system to leverage the building’s thermal inertia for strategic heat storage and release. This resulted in the more efficient operation of the HVAC system, reducing energy demand peaks and improving thermal stability within the home. This approach optimized the use of electric batteries and improved the integration of intermittent renewable sources, like solar energy, by dynamically adjusting the indoor temperature setpoints within defined comfort margins.
Real-world testing confirmed the EMS’s applicability in typical residential settings, demonstrating cumulative electricity consumption savings exceeding 57% in some cases. These findings underscore the system’s feasibility for deployment in similar housing configurations, promoting the adoption of advanced energy management technologies that contribute to the sustainability and decarbonization of the residential sector.
Environmentally, the EMS proved to be an effective tool for reducing CO2 emissions by decreasing dependence on grid electricity, particularly during high carbon intensity periods. This aligns with global energy transition goals towards renewable sources and enhances the flexibility of energy systems by enabling greater integration of renewables into existing infrastructure.
Finally, the EMS design features a scalable and flexible architecture, making it adaptable to various residential configurations and existing systems. This opens new opportunities for large-scale implementation, supporting energy sustainability and achieving emission reduction targets in the residential sector. This study establishes a milestone in integrating predictive control and thermal storage solutions into residential settings, paving the way for future developments in this field.

Author Contributions

Conceptualization, R.F. and J.F.; methodology, R.F. and J.F.; formal analysis, R.F. and J.F.; investigation, R.F. and J.F.; validation, R.F.; writing—original draft preparation, R.F.; writing—review and editing, R.F. and J.F.; supervision, J.F. All authors have read and agreed to the published version of the manuscript.

Funding

This research received no external funding.

Institutional Review Board Statement

Not applicable.

Informed Consent Statement

Not applicable.

Data Availability Statement

Data used in this article can be found in [66].

Acknowledgments

The authors would like to thank IGNIS Energía for their support of Ricardo Felez’s Industrial PhD Thesis and for the facilities and equipment used in the validation of the results.

Conflicts of Interest

Author Ricardo Felez was employed by the company IGNIS Energía S.L. The remaining authors declare that the research was conducted in the absence of any commercial or financial relationships that could be construed as a potential conflict of interest.

Appendix A. Drawing of the House Used in the Analysis Model

Figure A1. 3D model for the hose used for the study in Section 6.
Figure A1. 3D model for the hose used for the study in Section 6.
Applsci 15 00880 g0a1

Appendix B. Thermal Model Parameters

For the thermal model, the following parameters and units have been considered. Their specific values can be found in the section of reference [66], included in the Data Availability Statement.
Table A1. Thermal model parameters.
Table A1. Thermal model parameters.
ParameterMeaningUnits
V a i r Volume of air inside the enclosurem3
ρ a i r Density of air inside the enclosurem3
c p a i r Specific heat capacities of the air J/(kg·K)
m m a t j Mass of material in the enclosurekg
c p m a t , j Specific heat capacities of the materialsJ/(kg·K)
G i Global irradianceW/m2
S Area of the window m2
F Modified solar factor -
O r Solar radiation coefficient -
f Attenuation correction factor -
U j Heat transmission coefficientW/(K m2)
S j Aream2
m ˙ v e n t Mass flow rate of ventilation airkg/s
ρ e x t Air density kg/m3
V ˙ v e n t Ventilation flow ratem3/s

Appendix C. HVAC Controller Parameters

For the HVAC Controller, the following parameters and units have been considered. Their specific values can be found in the section of reference [66], included in the Data Availability Statement.
Table A2. HVAC controller parameters.
Table A2. HVAC controller parameters.
ParameterMeaningUnits
N e Number of air-conditioned rooms-
N p Prediction horizon-
Δ t Time stepmin
Q ˙ r e f i Maximum refrigeration thermal loadkW
Q ˙ h e a t i Maximum heat thermal loadkW
K T i Weight for the output deviation from the maximum temperature of reference-
K T i Weight for the positive slack variable-
T r e f i Reference temperature°C
α Uncertainty for the thermal inertia -
δ T Disturbance for the outside temperature of the enclosures°C

Appendix D. Planner Module Parameters

For the Planner module, the following parameters and units have been considered. Their specific values can be found in the section of reference [66], included in the Data Availability Statement.
Table A3. Planner module parameters.
Table A3. Planner module parameters.
ParameterMeaningUnits
P g t Electric prices of the grid€/MWh
C g t Grid electricity consumptionkWh
C g t Charging power coming from the gridkW
D g t Discharging power kW
P P V t Price of the energy coming from the PV€/MWh
C P V t Charging power coming from the PVkW
D O D Depth of discharge-
S T G Storage CapacitykWh
S O C t State of chargekWh
P o w C Maximum charging powerkW
P o w D Maximum discharging powerkW
P o w P S Peak shaving powerkW

References

  1. Eurostats. Energy Consumption in Households. 2024. Available online: https://ec.europa.eu/eurostat/statistics-explained/index.php?title=Energy_consumption_in_households (accessed on 18 November 2024).
  2. Office of Energy Efficiency & Renewable Energy. Thermal Energy Storage Technologies Subprogram Area. Available online: https://www.energy.gov/eere/buildings/thermal-energy-storage (accessed on 18 November 2024).
  3. European Environment Agency. Decarbonising Heating and Cooling—A Climate Imperative. 2024. Available online: https://www.eea.europa.eu/publications/decarbonisation-heating-and-cooling (accessed on 18 November 2024).
  4. Thomas Nowak and Pascal Westring. European Heat Pump Market and Statistics Report. 2023. Available online: https://www.ehpa.org/wp-content/uploads/2023/06/EHPA_market_report_2023_Executive-Summary.pdf (accessed on 18 November 2024).
  5. European Heat Pump Association. REPowerEU: Heat Pump Strategy Required to Help Sector Deliver. 2024. Available online: https://www.ehpa.org/news-and-resources/press-releases/repowereu-heat-pump-strategy-required-to-help-sector-deliver-2/ (accessed on 18 November 2024).
  6. Gladen, A.C.; Bajwa, D. An Improved Thermochemical Energy Storage Material Using Nanocellulose to Stabilize Calcium Chloride Salt. J. Sol. Energy Eng. 2022, 144, 030905. [Google Scholar] [CrossRef]
  7. Huo, X.; Xie, D.; Zhao, Z.; Wang, S.; Meng, F. Novel method for microencapsulation of eutectic hydrated salt as a phase change material for thermal energy storage. Int. J. Low-Carbon Technol. 2022, 17, 760–767. [Google Scholar] [CrossRef]
  8. Howard, D.; Shrestha, S.S.; Shen, Z.; Feng, T.; Hun, D. Thermally anisotropic building envelope for thermal management: Finite element model calibration using field evaluation data. J. Build. Perform. Simul. 2024, 17, 756–775. [Google Scholar] [CrossRef]
  9. Pérez-Lombard, L.; Ortiz, J.; Pout, C. A review on buildings energy consumption information. Energy Build. 2008, 40, 394–398. [Google Scholar] [CrossRef]
  10. Pajek, L.; Potočnik, J.; Košir, M. The effect of a warming climate on the relevance of passive design measures for heating and cooling of European single-family detached buildings. Energy Build. 2022, 261, 111947. [Google Scholar] [CrossRef]
  11. Guo, S.; Yan, D.; Hu, S.; An, J. Global comparison of building energy use data within the context of climate change. Energy Build. 2020, 226, 110362. [Google Scholar] [CrossRef]
  12. Andrade, C.; Mourato, S.; Ramos, J. Heating and Cooling Degree-Days Climate Change Projections for Portugal. Atmosphere 2021, 12, 715. [Google Scholar] [CrossRef]
  13. Li, Y.; Wang, W.; Wang, Y.; Xin, Y.; He, T.; Zhao, G. A Review of Studies Involving the Effects of Climate Change on the Energy Consumption for Building Heating and Cooling. Int. J. Environ. Res. Public Health 2020, 18, 40. [Google Scholar] [CrossRef]
  14. Larsen, M.; Petrović, S.; Radoszynski, A.; McKenna, R.; Balyk, O. Climate change impacts on trends and extremes in future heating and cooling demands over Europe. Energy Build. 2020, 226, 110397. [Google Scholar] [CrossRef]
  15. Berardi, U.; Jafarpur, P. Assessing the impact of climate change on building heating and cooling energy demand in Canada. Renew. Sustain. Energy Rev. 2020, 121, 109681. [Google Scholar] [CrossRef]
  16. Yang, Y.; Javanroodi, K.; Nik, V.M. Climate change and energy performance of European residential building stocks—A comprehensive impact assessment using climate big data from the coordinated regional climate downscaling experiment. Appl. Energy 2021, 298, 117246. [Google Scholar] [CrossRef]
  17. Bienvenido-Huertas, D. Analysis of the Impact of the Use Profile of HVAC Systems Established by the Spanish Standard to Assess Residential Building Energy Performance. Sustainability 2020, 12, 7153. [Google Scholar] [CrossRef]
  18. Peeters, L.; Van der Veken, J.; Hens, H.; Helsen, L.; D’haeseleer, W. Control of heating systems in residential buildings: Current practice. Energy Build. 2008, 40, 1446–1455. [Google Scholar] [CrossRef]
  19. Ma, Z.; Zhao, D.; She, C.; Yang, Y.; Yang, R. Personal thermal management techniques for thermal comfort and building energy saving. Mater. Today Phys. 2021, 20, 100465. [Google Scholar] [CrossRef]
  20. Li, Q.; Zhang, L.; Zhang, L.; Wu, X. Optimizing energy efficiency and thermal comfort in building green retrofit. Energy 2021, 237, 121509. [Google Scholar] [CrossRef]
  21. Sansaniwal, S.K.; Mathur, J.; Mathur, S. Review of practices for human thermal comfort in buildings: Present and future perspectives. Int. J. Ambient. Energy 2022, 43, 2097–2123. [Google Scholar] [CrossRef]
  22. Zheng, P.; Wu, H.; Liu, Y.; Ding, Y.; Yang, L. Thermal comfort in temporary buildings: A review. Build. Environ. 2022, 221, 109262. [Google Scholar] [CrossRef]
  23. Mofidi, F.; Akbari, H. Intelligent buildings: An overview. Energy Build. 2020, 223, 110192. [Google Scholar] [CrossRef]
  24. Afram, A.; Janabi-Sharifi, F. Supervisory model predictive controller (MPC) for residential HVAC systems: Implementation and experimentation on archetype sustainable house in Toronto. Energy Build. 2017, 154, 268–282. [Google Scholar] [CrossRef]
  25. Grassi, B.; Piana, E.A.; Lezzi, A.M.; Pilotelli, M. A Review of Recent Literature on Systems and Methods for the Control of Thermal Comfort in Buildings. Appl. Sci. 2022, 12, 5473. [Google Scholar] [CrossRef]
  26. Merabet, G.H.; Essaaidi, M.; Ben Haddou, M.; Qolomany, B.; Qadir, J.; Anan, M.; Al-Fuqaha, A.; Abid, M.R.; Benhaddou, D. Intelligent building control systems for thermal comfort and energy-efficiency: A systematic review of artificial intelligence-assisted techniques. Renew. Sustain. Energy Rev. 2021, 144, 110969. [Google Scholar] [CrossRef]
  27. Gupta, A.; Badr, Y.; Negahban, A.; Qiu, R.G. Energy-efficient heating control for smart buildings with deep reinforcement learning. J. Build. Eng. 2020, 34, 101739. [Google Scholar] [CrossRef]
  28. Gao, G.; Li, J.; Wen, Y. DeepComfort: Energy-Efficient Thermal Comfort Control in Buildings Via Reinforcement Learning. IEEE Internet Things J. 2020, 7, 8472–8484. [Google Scholar] [CrossRef]
  29. Ngarambe, J.; Yun, G.Y.; Santamouris, M. The use of artificial intelligence (AI) methods in the prediction of thermal comfort in buildings: Energy implications of AI-based thermal comfort controls. Energy Build. 2020, 211, 109807. [Google Scholar] [CrossRef]
  30. Valinejadshoubi, M.; Moselhi, O.; Bagchi, A.; Salem, A. Development of an IoT and BIM-based automated alert system for thermal comfort monitoring in buildings. Sustain. Cities Soc. 2021, 66, 102602. [Google Scholar] [CrossRef]
  31. Esrafilian-Najafabadi, M.; Haghighat, F. Occupancy-based HVAC control systems in buildings: A state-of-the-art review. Build. Environ. 2021, 197, 107810. [Google Scholar] [CrossRef]
  32. Wang, Y.; Kuckelkorn, J.; Liu, Y. A state of art review on methodologies for control strategies in low energy buildings in the period from 2006 to 2016. Energy Build. 2017, 147, 27–40. [Google Scholar] [CrossRef]
  33. Prívara, S.; Široký, J.; Ferkl, L.; Cigler, J. Model predictive control of a building heating system: The first experience. Energy Build. 2011, 43, 564–572. [Google Scholar] [CrossRef]
  34. Drgoňa, J.; Arroyo, J.; Figueroa, I.C.; Blum, D.; Arendt, K.; Kim, D.; Ollé, E.P.; Oravec, J.; Wetter, M.; Vrabie, D.L.; et al. All you need to know about model predictive control for buildings. Annu. Rev. Control 2020, 50, 190–232. [Google Scholar] [CrossRef]
  35. Yao, Y.; Shekhar, D.K. State of the art review on model predictive control (MPC) in Heating Ventilation and Air-conditioning (HVAC) field. Build. Environ. 2021, 200, 107952. [Google Scholar] [CrossRef]
  36. Yang, S.; Wan, M.P. Machine-learning-based model predictive control with instantaneous linearization – A case study on an air-conditioning and mechanical ventilation system. Appl. Energy 2022, 306, 118041. [Google Scholar] [CrossRef]
  37. Oldewurtel, F.; Ulbig, A.; Parisio, A.; Andersson, G.; Morari, M. Reducing peak electricity demand in building climate control using real-time pricing and model predictive control. In Proceedings of the 49th IEEE Conference on Decision and Control (CDC), Atlanta, GA, USA, 15–17 December 2010; pp. 1927–1932. [Google Scholar] [CrossRef]
  38. Gholamzadehmir, M.; Del Pero, C.; Buffa, S.; Fedrizzi, R.; Aste, N. Adaptive-predictive control strategy for HVAC systems in smart buildings—A review. Sustain. Cities Soc. 2020, 63, 102480. [Google Scholar] [CrossRef]
  39. Serale, G.; Fiorentini, M.; Capozzoli, A.; Bernardini, D.; Bemporad, A. Model Predictive Control (MPC) for Enhancing Building and HVAC System Energy Efficiency: Problem Formulation, Applications and Opportunities. Energies 2018, 11, 631. [Google Scholar] [CrossRef]
  40. Ouali, N.; Lehouche, H.; Belkhier, Y.; Achour, A. Indoor temperature regulation and energy consumption inside a working office in building system using a predictive functional control. Energy Sources Part A Recover. Util. Environ. Eff. 2024, 46, 10473–10493. [Google Scholar] [CrossRef]
  41. Yang, S.; Wan, M.P.; Chen, W.; Ng, B.F.; Dubey, S. Model predictive control with adaptive machine-learning-based model for building energy efficiency and comfort optimization. Appl. Energy 2020, 271, 115147. [Google Scholar] [CrossRef]
  42. Ma, Y.; Borrelli, F.; Hencey, B.; Packard, A.; Bortoff, S. Model Predictive Control of thermal energy storage in building cooling systems. In Proceedings of the 2009 Joint 48th IEEE Conference on Decision and Control (CDC) and 28th Chinese Control Conference (CCC), Shanghai, China, 15–18 December 2009; pp. 392–397. [Google Scholar]
  43. Tarragona, J.; Pisello, A.L.; Fernández, C.; de Gracia, A.; Cabeza, L.F. Systematic review on model predictive control strategies applied to active thermal energy storage systems. Renew. Sustain. Energy Rev. 2021, 149, 111385. [Google Scholar] [CrossRef]
  44. Tarragona, J.; Fernández, C.; de Gracia, A. Model predictive control applied to a heating system with PV panels and thermal energy storage. Energy 2020, 197, 117229. [Google Scholar] [CrossRef]
  45. Lee, D.; Ooka, R.; Ikeda, S.; Choi, W.; Kwak, Y. Model predictive control of building energy systems with thermal energy storage in response to occupancy variations and time-variant electricity prices. Energy Build. 2020, 225, 110291. [Google Scholar] [CrossRef]
  46. Tang, H.; Yu, J.; Geng, Y.; Liu, X.; Lin, B. Optimization of operational strategy for ice thermal energy storage in a district cooling system based on model predictive control. J. Energy Storage 2023, 62, 106872. [Google Scholar] [CrossRef]
  47. Wei, Z.; Calautit, J. Evaluation of model predictive control (MPC) of solar thermal heating system with thermal energy storage for buildings with highly variable occupancy levels. Build. Simul. 2023, 16, 1915–1931. [Google Scholar] [CrossRef]
  48. Angeli, D. Economic Model Predictive Control. In Encyclopedia of Systems and Control; Springer: Berlin/Heidelberg, Germany, 2021; pp. 665–671. [Google Scholar] [CrossRef]
  49. Angeli, D.; Casavola, A.; Tedesco, F. Theoretical advances on Economic Model Predictive Control with time-varying costs. Annu. Rev. Control. 2016, 41, 218–224. [Google Scholar] [CrossRef]
  50. Finck, C.; Li, R.; Zeiler, W. Economic model predictive control for demand flexibility of a residential building. Energy 2019, 176, 365–379. [Google Scholar] [CrossRef]
  51. Kuboth, S.; Heberle, F.; König-Haagen, A.; Brüggemann, D. Economic model predictive control of combined thermal and electric residential building energy systems. Appl. Energy 2019, 240, 372–385. [Google Scholar] [CrossRef]
  52. Zhang, C.; Kazanci, O.B.; Levinson, R.; Heiselberg, P.; Olesen, B.W.; Chiesa, G.; Sodagar, B.; Ai, Z.; Selkowitz, S.; Zinzi, M.; et al. Resilient cooling strategies—A critical review and qualitative assessment. Energy Build. 2021, 251, 111312. [Google Scholar] [CrossRef]
  53. OMIE. Prices and Volumes. Day-Ahead Market Price. Available online: https://www.omie.es/ (accessed on 13 December 2024).
  54. Garcia-Martos, C.; Rodriguez, J.; Sanchez, M.J. Mixed Models for Short-Run Forecasting of Electricity Prices: Application for the Spanish Market. IEEE Trans. Power Syst. 2007, 22, 544–552. [Google Scholar] [CrossRef]
  55. Eurostats. Energy Consumption in Households. 2024. Available online: https://ec.europa.eu/eurostat/statistics-explained/SEPDF/cache/58200.pdf (accessed on 13 December 2024).
  56. EU Science Hub. Photovoltaic Geographical Information System (PVGIS). Available online: https://joint-research-centre.ec.europa.eu/photovoltaic-geographical-information-system-pvgis_en (accessed on 13 December 2024).
  57. Weatherbit. Weather API. Available online: https://www.weatherbit.io/ (accessed on 13 December 2024).
  58. Mayne, D.Q.; Rawlings, J.B.; Rao, C.V.; Scokaert, P.O.M. Constrained model predictive control: Stability and optimality. Automatica 2000, 36, 789–814. [Google Scholar] [CrossRef]
  59. CYPE. Cypecad Mep. Available online: https://info.cype.com/es/producto/cypecad-mep/ (accessed on 2 January 2025).
  60. ANSI/ASHRAE/ACCA Standard 183-2007 (RA 2020); Peak Cooling and Heating Load Calculations in Buildings Except Low-Rise Residential Buildings. ASHRAE: Peachtree Corners, GA, USA, 2020.
  61. CEN/TR 12831; Energy Performance of Buildings—Method for Calculation of the Design Heat Load. 2017. Available online: https://standards.iteh.ai/catalog/standards/cen/4c907284-01a1-4023-afef-c55a6c9ebc21/en-12831-1-2017 (accessed on 13 December 2024).
  62. ISO 6946; Building Components and Building Elements—Thermal Resistance and Thermal Transmittance—Calculation Methods. ISO: Geneva, Switzerland, 2021.
  63. IDEA. Thermal Comfort in an Air-Conditioned Space. 2020. Available online: https://www.idae.es/uploads/documentos/documentos_BIENESTAR_TERMICO_EN_UN_ESPACIO_CLIMATIZADO_2_articulo_ASV_3725727c.pdf (accessed on 16 December 2024).
  64. Fiedler, F.; Karg, B.; Lüken, L.; Brandner, D.; Heinlein, M.; Brabender, F.; Lucia, S. do-mpc: Towards FAIR nonlinear and robust model predictive control. Control Eng. Pract. 2023, 140, 105676. [Google Scholar] [CrossRef]
  65. Wächter, A.; Biegler, L.T. On the implementation of an interior-point filter line-search algorithm for large-scale nonlinear programming. Math. Program. 2006, 106, 25–57. [Google Scholar] [CrossRef]
  66. Felez, R.; Felez, J. Dataset for the paper Advanced energy management for residential buildings optimizing costs and efficiency. Zenodo 2024. [Google Scholar] [CrossRef]
Figure 1. General overview of the system.
Figure 1. General overview of the system.
Applsci 15 00880 g001
Figure 2. Peak saving constraint.
Figure 2. Peak saving constraint.
Applsci 15 00880 g002
Figure 3. General overview of optimization process.
Figure 3. General overview of optimization process.
Applsci 15 00880 g003
Figure 4. Outside temperature profile of a typical week during winter.
Figure 4. Outside temperature profile of a typical week during winter.
Applsci 15 00880 g004
Figure 5. Temperature profile inside the enclosures in a typical week during winter.
Figure 5. Temperature profile inside the enclosures in a typical week during winter.
Applsci 15 00880 g005
Figure 6. Evolution of the temperature inside the enclosures for a winter week.
Figure 6. Evolution of the temperature inside the enclosures for a winter week.
Applsci 15 00880 g006
Figure 7. Thermal power required by the HVAC system in each enclosure for a winter week.
Figure 7. Thermal power required by the HVAC system in each enclosure for a winter week.
Applsci 15 00880 g007
Figure 8. Electricity consumption of HVAC, other household loads, photovoltaic production, and storage elements for a winter week.
Figure 8. Electricity consumption of HVAC, other household loads, photovoltaic production, and storage elements for a winter week.
Applsci 15 00880 g008
Figure 9. Outdoor temperature variation and HVAC system’s energy consumption.
Figure 9. Outdoor temperature variation and HVAC system’s energy consumption.
Applsci 15 00880 g009
Figure 10. New target temperature profile inside the enclosures for a winter week.
Figure 10. New target temperature profile inside the enclosures for a winter week.
Applsci 15 00880 g010
Figure 11. Temperature evolution inside the different enclosures for a winter week.
Figure 11. Temperature evolution inside the different enclosures for a winter week.
Applsci 15 00880 g011
Figure 12. Thermal power required by the HVAC system for a winter week.
Figure 12. Thermal power required by the HVAC system for a winter week.
Applsci 15 00880 g012
Figure 13. Comparison of electric consumption with and without planner for a winter week.
Figure 13. Comparison of electric consumption with and without planner for a winter week.
Applsci 15 00880 g013
Figure 14. SOC of the system with and without using the planner for a winter week.
Figure 14. SOC of the system with and without using the planner for a winter week.
Applsci 15 00880 g014
Figure 15. Cost of energy consumption comparing the results of the optimizer without and with indoor temperature control for a winter week.
Figure 15. Cost of energy consumption comparing the results of the optimizer without and with indoor temperature control for a winter week.
Applsci 15 00880 g015
Figure 16. Outside temperature profile of a typical week during summer.
Figure 16. Outside temperature profile of a typical week during summer.
Applsci 15 00880 g016
Figure 17. Temperature profile inside the enclosures in a typical week during summer.
Figure 17. Temperature profile inside the enclosures in a typical week during summer.
Applsci 15 00880 g017
Figure 18. Evolution of the temperature inside the enclosures for a summer week.
Figure 18. Evolution of the temperature inside the enclosures for a summer week.
Applsci 15 00880 g018
Figure 19. Thermal power required by the HVAC system in each enclosure for a summer week.
Figure 19. Thermal power required by the HVAC system in each enclosure for a summer week.
Applsci 15 00880 g019
Figure 20. Electricity consumption of HVAC, other household loads, photovoltaic production, and storage elements for a summer week.
Figure 20. Electricity consumption of HVAC, other household loads, photovoltaic production, and storage elements for a summer week.
Applsci 15 00880 g020
Figure 21. New target temperature profile inside the enclosures for a summer week.
Figure 21. New target temperature profile inside the enclosures for a summer week.
Applsci 15 00880 g021
Figure 22. Temperature evolution inside the different enclosures for a summer week.
Figure 22. Temperature evolution inside the different enclosures for a summer week.
Applsci 15 00880 g022
Figure 23. Thermal power required by the HVAC system for a summer week.
Figure 23. Thermal power required by the HVAC system for a summer week.
Applsci 15 00880 g023
Figure 24. Electric consumption with and without planner for a summer week.
Figure 24. Electric consumption with and without planner for a summer week.
Applsci 15 00880 g024
Figure 25. SOC with and without planner for a summer week.
Figure 25. SOC with and without planner for a summer week.
Applsci 15 00880 g025
Figure 26. Accumulated cost of energy consumption comparing the results of the optimizer without and with indoor temperature control for a summer week.
Figure 26. Accumulated cost of energy consumption comparing the results of the optimizer without and with indoor temperature control for a summer week.
Applsci 15 00880 g026
Figure 27. Effect on the HVAC consumption for different thermal inertias.
Figure 27. Effect on the HVAC consumption for different thermal inertias.
Applsci 15 00880 g027
Figure 28. Prototype for laboratory tests.
Figure 28. Prototype for laboratory tests.
Applsci 15 00880 g028
Figure 29. Installation in a real environment.
Figure 29. Installation in a real environment.
Applsci 15 00880 g029
Figure 30. Correlation between theoretical and experimental data for a particular week.
Figure 30. Correlation between theoretical and experimental data for a particular week.
Applsci 15 00880 g030
Figure 31. Electrical consumption in the real environment.
Figure 31. Electrical consumption in the real environment.
Applsci 15 00880 g031
Figure 32. Cost savings with the proposed solution.
Figure 32. Cost savings with the proposed solution.
Applsci 15 00880 g032
Figure 33. Energy balance by electricity periods.
Figure 33. Energy balance by electricity periods.
Applsci 15 00880 g033
Table 1. Cumulative energy consumption variation in one week for different thermal masses.
Table 1. Cumulative energy consumption variation in one week for different thermal masses.
Thermal Mass VariationConsumption Variation
−25.0%+33.8%
−12.5%+14.5%
+12.5%−11.3%
+25.0%−20.3%
Disclaimer/Publisher’s Note: The statements, opinions and data contained in all publications are solely those of the individual author(s) and contributor(s) and not of MDPI and/or the editor(s). MDPI and/or the editor(s) disclaim responsibility for any injury to people or property resulting from any ideas, methods, instructions or products referred to in the content.

Share and Cite

MDPI and ACS Style

Felez, R.; Felez, J. Advanced Energy Management for Residential Buildings Optimizing Costs and Efficiency Through Thermal Energy Storage and Predictive Control. Appl. Sci. 2025, 15, 880. https://doi.org/10.3390/app15020880

AMA Style

Felez R, Felez J. Advanced Energy Management for Residential Buildings Optimizing Costs and Efficiency Through Thermal Energy Storage and Predictive Control. Applied Sciences. 2025; 15(2):880. https://doi.org/10.3390/app15020880

Chicago/Turabian Style

Felez, Ricardo, and Jesus Felez. 2025. "Advanced Energy Management for Residential Buildings Optimizing Costs and Efficiency Through Thermal Energy Storage and Predictive Control" Applied Sciences 15, no. 2: 880. https://doi.org/10.3390/app15020880

APA Style

Felez, R., & Felez, J. (2025). Advanced Energy Management for Residential Buildings Optimizing Costs and Efficiency Through Thermal Energy Storage and Predictive Control. Applied Sciences, 15(2), 880. https://doi.org/10.3390/app15020880

Note that from the first issue of 2016, this journal uses article numbers instead of page numbers. See further details here.

Article Metrics

Back to TopTop