Synthesis and Characteristics of 1,2,4,5-Tetrazines for Using as High Energy Density Materials (HEDMs)
Abstract
1. Introduction
2. General Methods for the Synthesis of 1,2,4,5-Tetrazines
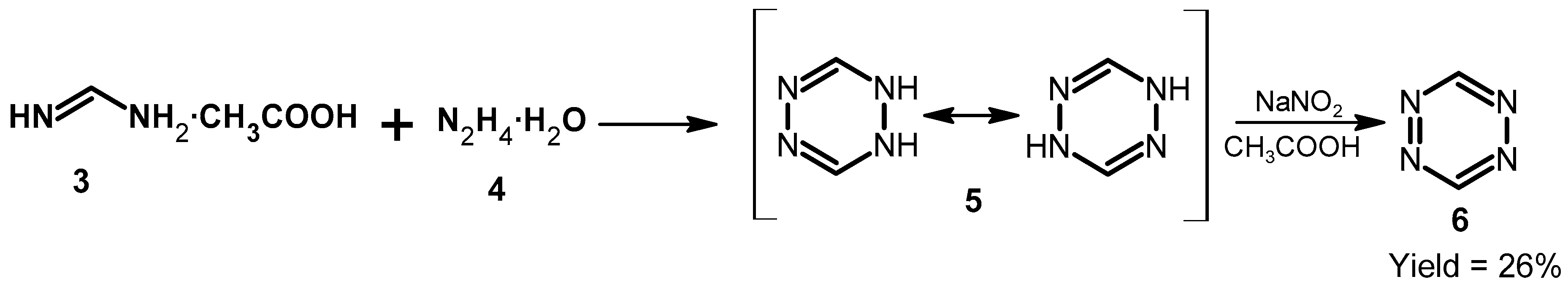
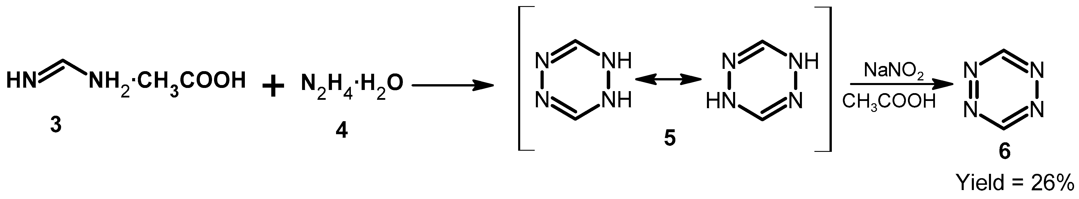
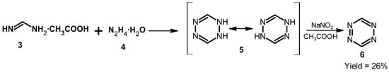
2.1. Synthesis of 1,2,4,5-Tetrazines Using Formamidinium Acetate
2.2. Pinner Synthesis Using Iminoesters
- The search for an effective organic oxidizing agent led to an investigation of the oxidation of 3-(5-aminopyridin-2-yl)-6-(pyridin-2-yl)-1,4-dihydro-1,2,4,5-tetrazine (Scheme 4). The reaction of compound 18 with 2,3-dicyano-5,6-dichloro-1,4-benzoquinone (DDQ, 11) yielded product 19, with a yield of 81%. The authors reported challenges in isolating the target product due to the presence of the reduced form (DDQ-H2) [47]. A lower yield (38%) was obtained using [bis(acetoxy)iodo]benzene (12) in dichloromethane. However, this reaction was performed under milder conditions and required less time compared to the reaction with DDQ [51]. The best result (86% yield) was achieved when F-CAT (14) was used as the oxidizing agent, with the reaction conducted at 40 °C for 12 h [49].
 

- The oxidation of dihydro-1,2,4,5-tetrazines to 1,2,4,5-tetrazines using m-chloroperoxybenzoic acid (13, m-CPBA) resulted in the desired products with a 55% yield. Benzoyl peroxide (15) and benzoquinone (17) were also effective in producing final products with yields of 65% and 71%, respectively [42]. Oxidation of substituted dihydro-1,2,4,5-tetrazines was also performed enzymatically using horseradish peroxidase [52]. Table 1 summarizes the inorganic and organic oxidizing agents and the conditions applied in the oxidation of dihydro-1,2,4,5-tetrazines (1) to the corresponding 1,2,4,5-tetrazines (2).
 
| Entry | R1, R2 | Oxidizing Agent | Conditions | Yield [%] | Ref. | 
|---|---|---|---|---|---|
| INORGANIC OXIDANTS | |||||
| 1 | R1 = R2, C6H5, p-ClC6H4CH2, p-CF3C6H4 | NaNO2 | AcOH, 0–20 °C | 98–49 | [40,53,54,55,56,57,58,59,60,61] | 
| 2 | p-NH2C6H5 | H2O2 | AcOH, Δ | 60 | [44,45] | 
| 3 | Br, p-CH3OC6H4, p-ClC6H4, C6H4 | Br2 | AcOH, 55 °C | 27–37 | [62] | 
| 4 | C6H4C6H4CH2, BrC6H4CH2 | O2 | 10% aq K2CO3, rt | 61–91 | [63] | 
| 5 | SCH2C6H5 | FeCl3 | EtOH, 25 °C | 72 | [43] | 
| 6 | 2H-Tetrazol-5-yl | CrO3 | H2SO4, −5 °C | 72 | [46] | 
| 7 | 3,5-Dimethyl-1H-pyrazol-1-yl | MnO2 | DCM, rt | 58 | [21] | 
| 8 | -NH2, R1 = R2 | NaBO3 | H2O, 25 °C, 2 h | 60 | [43] | 
| ORGANIC OXIDANTS | |||||
| 9 | Pyrid-2-yl, 5-Aminopyrid-2-yl | DDQ (11) | Toluene 12 h, reflux  | 81 | [47] | 
| 10 | SCH3, CH2OBn | PIDA (12) | rt, 30 min | 70 | [48] | 
| 11 | Pyrid-2-yl, 5-Aminopyrid-2-yl | m-CPBA (13) | DCM, rt, 12 h | 55 | [42] | 
| 12 | 2-Pyridyl | F-CAT (14) | CH3CN, 40 °C, 12 h | 86 | [49] | 
| 13 | Pyrid-2-yl, 5-Aminopyrid-2-yl | Benzoyl Peroxide (15) | DCM, rt, 12 h | 65 | [42] | 
| 14 | Biphenyl-4-yl | Isopentyl nitrite (16) | EtOH, reflux, 4 h | 83.5 | [50] | 
| 15 | Pyrid-2-yl, 5-Aminopyrid-2-yl | Benzoquinone (17) | DCM, rt, 12 h | 71 | [42] | 
2.3. Modified Pinner Synthesis Using Carbonitriles
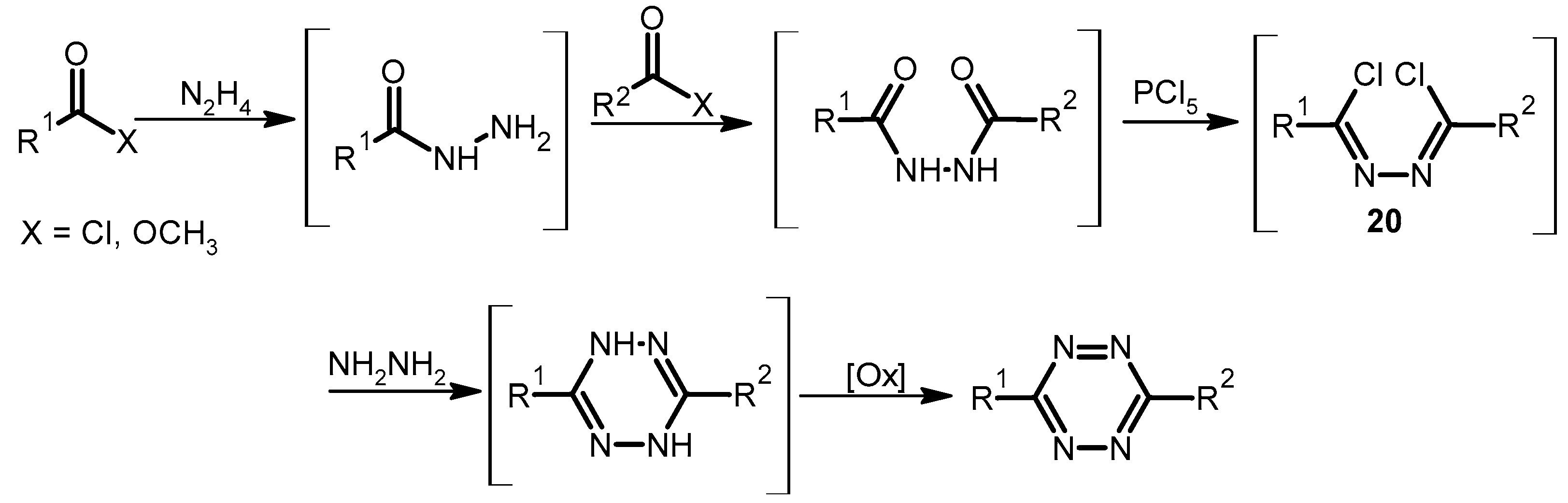
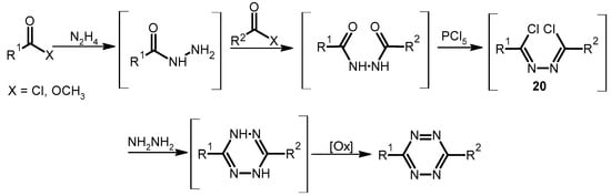
2.4. Synthesis of s-Tetrazines Using Imidoyl Chlorides
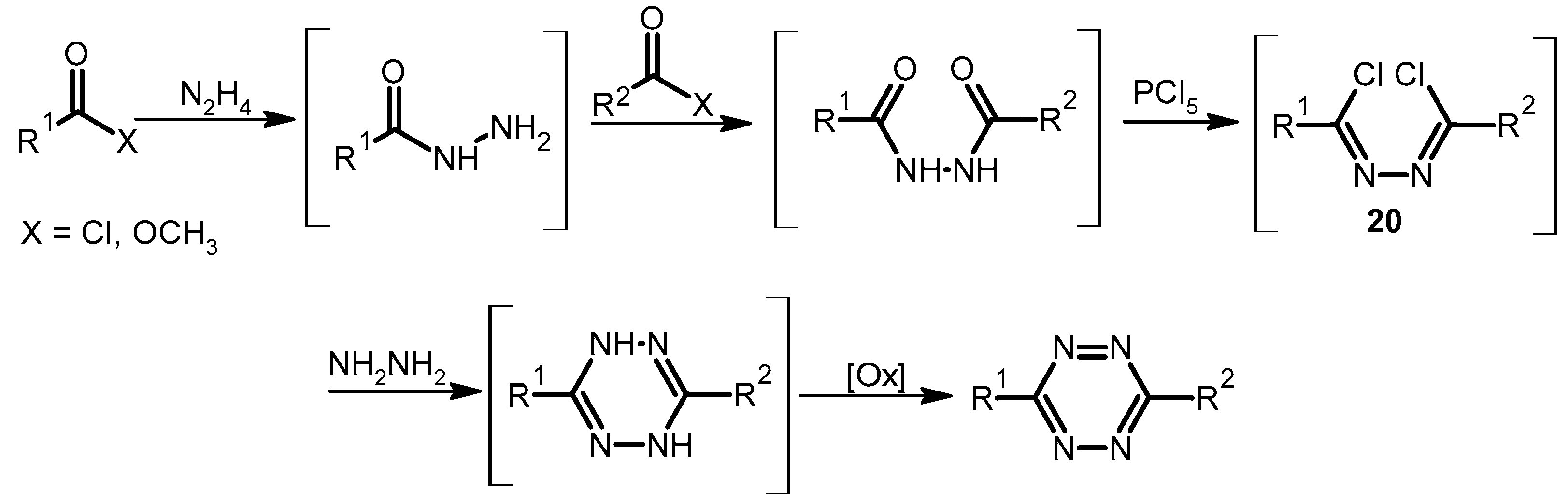
2.5. Synthesis of 1,2,4,5-Tetrazines Using Aldehydes
2.6. Synthesis of 1,2,4,5-Tetrazines Using Guanidine Derivatives
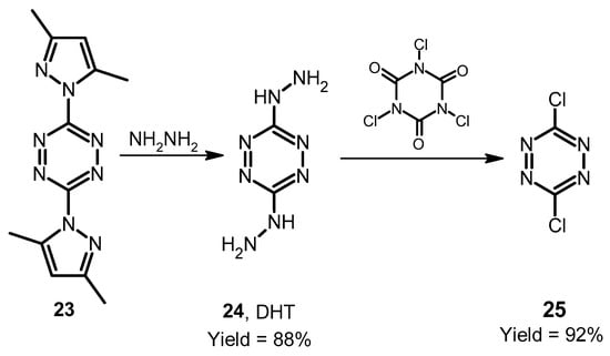
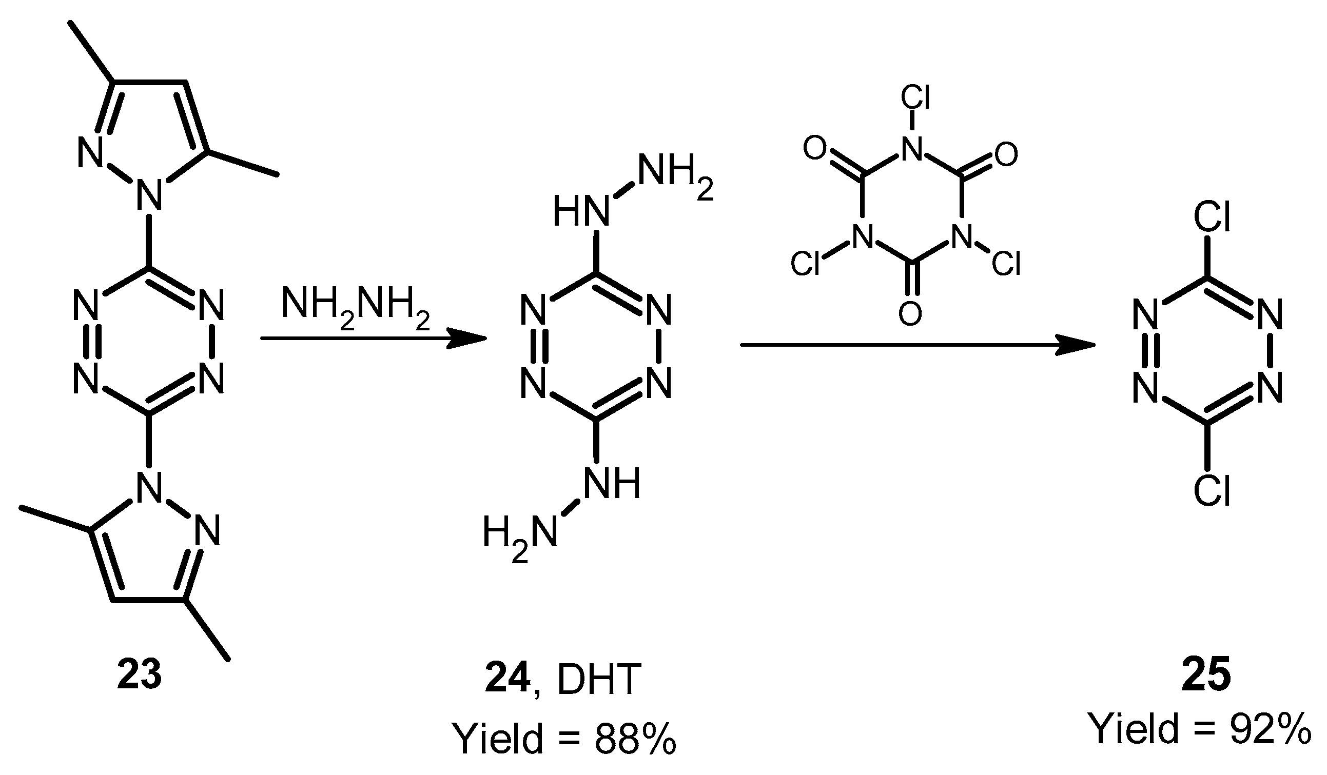
- The oxidation product, 3,6-bis(3,5-dimethyl-1H-pyrazol-1-yl)-1,2,4,5-tetrazine (23), reacts with hydrazine in acetonitrile at room temperature to produce 3,6-dihydrazino-1,2,4,5-tetrazine (24, DHT)—the first reported member of the 1,2,4,5-tetrazine family classified as a high energy density material (HEDM) [54,71,74,75,76,77,78,79]. This compound can be further converted into another functional derivative, 3,6-dichloro-1,2,4,5-tetrazine (25), by treatment with trichloroisocyanuric acid in acetonitrile (Scheme 9) [71,77,78].
 
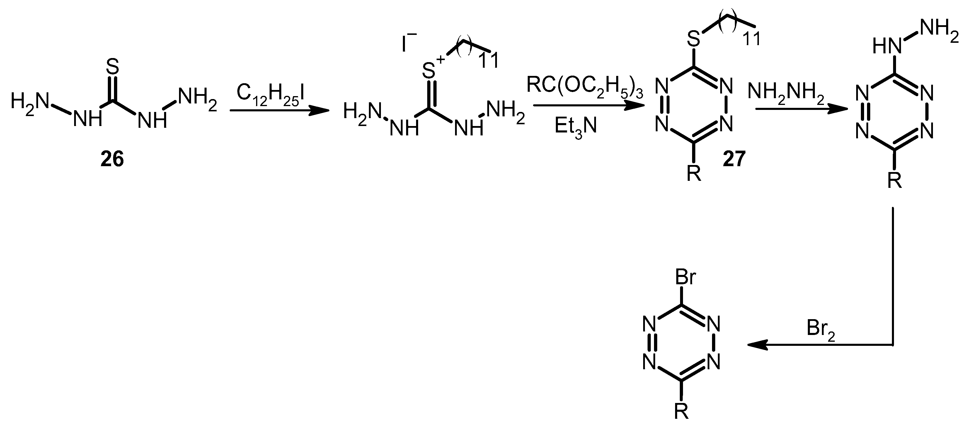
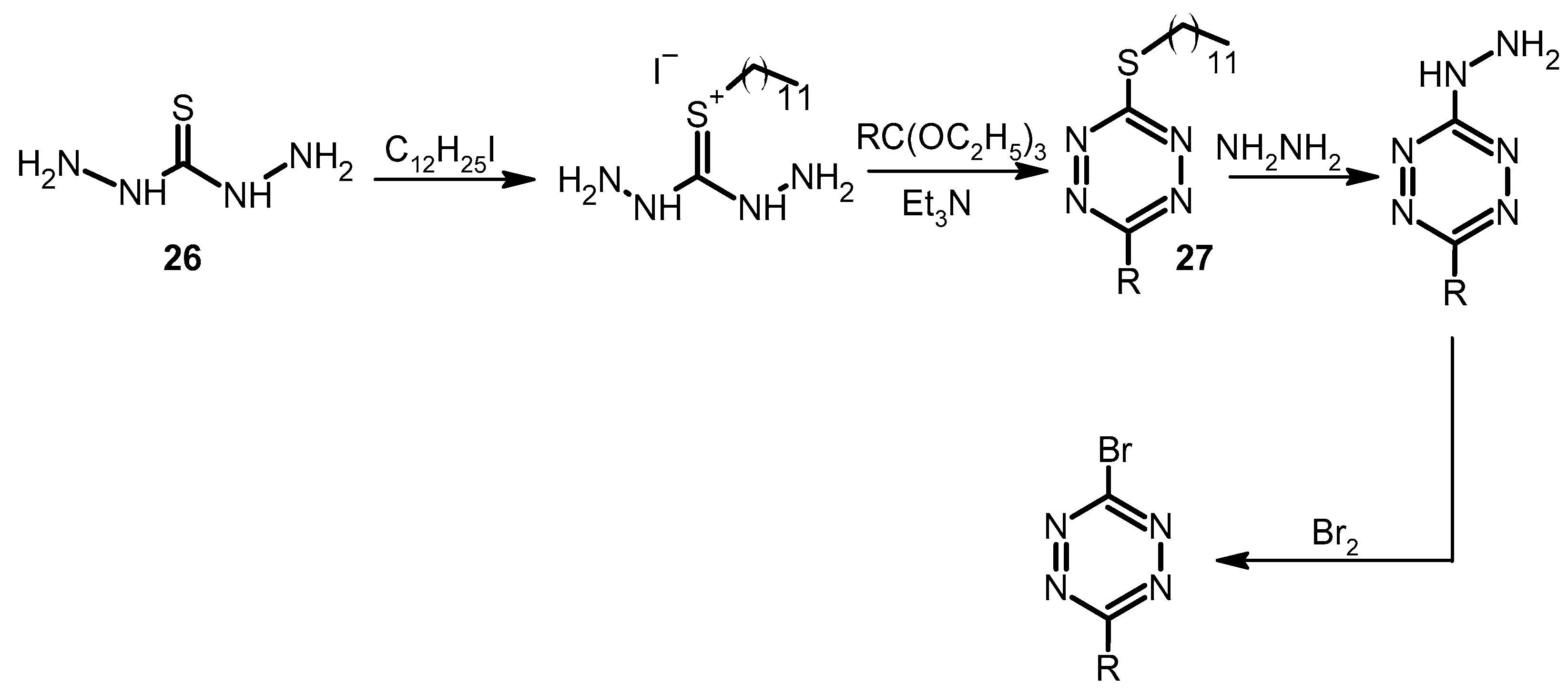
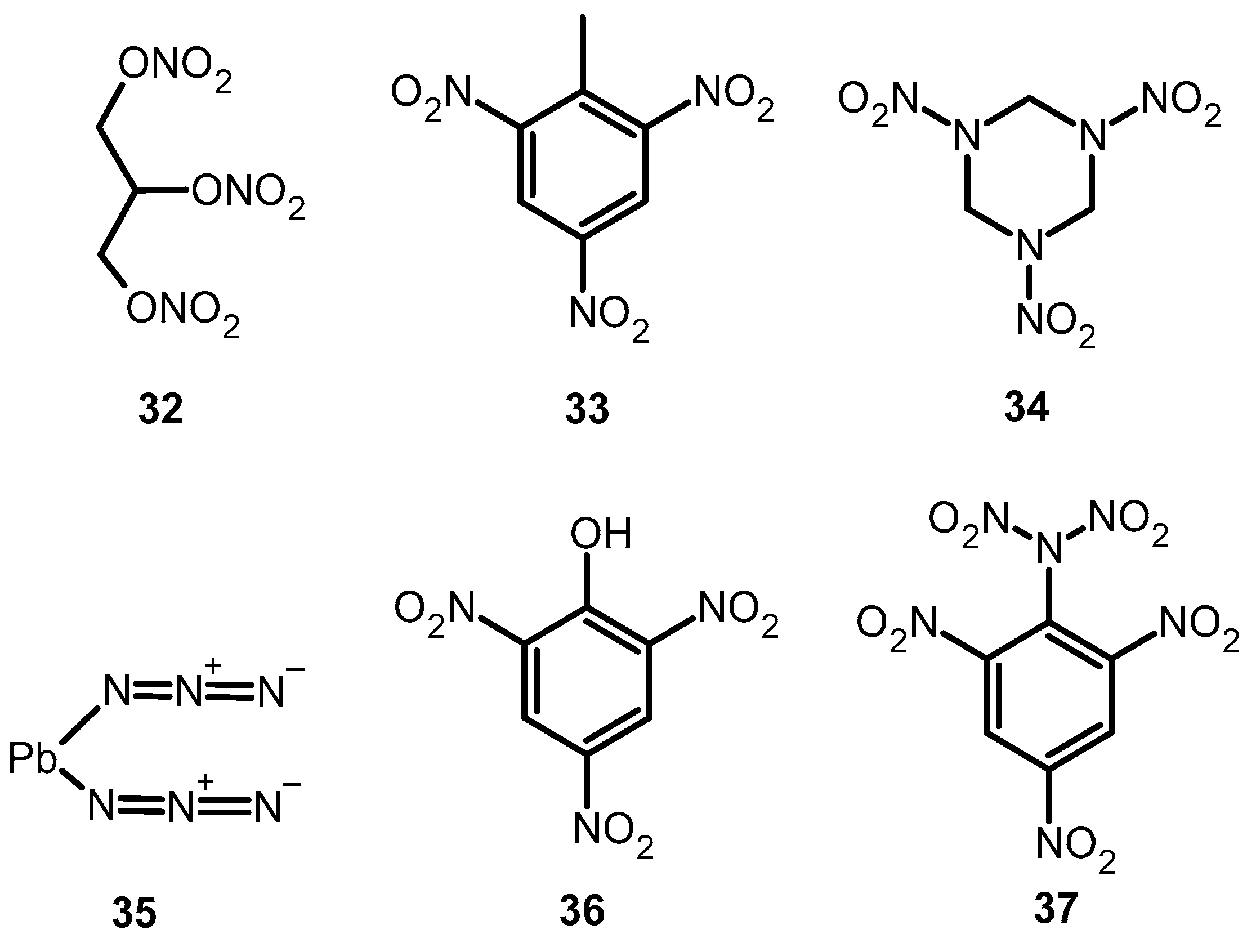
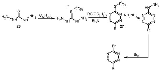
2.7. Synthesis of 1,2,4,5-Tetrazines Using Thiocarbohydrazide
2.8. Synthesis of 1,2,4,5-Tetrazines Using Ethyl Diazoacetate
2.9. Synthesis of 1,2,4,5-Tetrazines Using Arylaldehyde-Derived Arylsulfonylhydrazones and N-Chlorosuccinimide
| Entry | Precursor (Method)  | R1, R2 | Conditions | Yield [%] | Ref. | 
|---|---|---|---|---|---|
| 1 | Imidoyl chloride (20) (Method 2.4)  | C(CH3)3, 3-NO2-C6H4, R = 3-F-C6H4, 3,5-bis(CF3)-C6H3, pyrid-2-yl, 4-CF3-C6H4, 2-NO2-C6H4 | NH2NH2, EtOH, reflux, [Ox] | 42–75 | [39,40] | 
| 2 | Aldehyde (21) (Method 2.5)  | CH3, C2H5, C(CH3)3 | NH2NH2, O2 (Pd/C), HNO3 | 5–30 | [19,68,69] | 
| 3 | Guanidine hydrochloride (22) (Method 2.6)  | 3,5-dimethylpyrazol-1-yl | 2,4-pentadione, 70 °C, [Ox] | 95 | [71,77,78] | 
| 4 | Thiocarbohydrazide (26) (Method 2.7)  | H, CH3, C6H5 | RC(OC2H5)3, NEt3, EtOH, | 16–24 | [80,81] | 
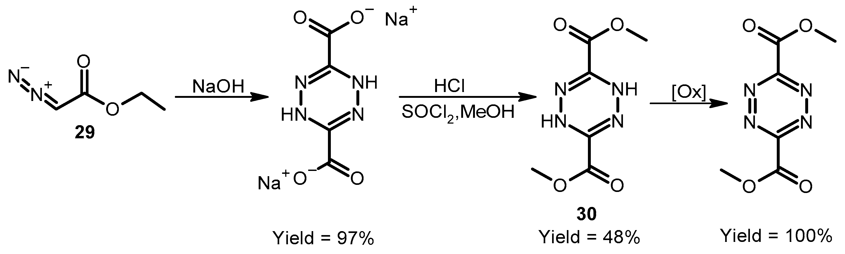
| 5 | Ethyl diazoacetate (29) (Method 2.8)  | COOCH3 | NaOH, HCl, SOCl2, MeOH, −30 °C, [Ox] | 100 | [84,85] | 
| 6 | Arylsulfonylhydrazones (31) (Method 2.9)  | p-NO2C6H4 | 1. NCS, KOH, CH3NO2, 0 °C 2. TBAF, EtOH, reflux  | 88 92  | [87] | 
3. High Energy Density Materials (HEDMs)
- Detonation parameters depend not only on density but also on the detonation parameter (φ), as described in Formula (3):
 
- The parameter φ is influenced by the number of moles of gaseous detonation products per gram of explosive (N), the average molar mass of gaseous products (Mave, g/mol), and the total heat released during detonation (Q), expressed in calories per gram of explosive (Q) [89].Generally, for substances composed of carbon and hydrogen atoms, a critical density value of approximately 2.00 g/cm3 poses a challenge for achieving higher density while maintaining stability under normal conditions [90]. Table 4 presents the detonation parameters of the selected high energy density materials. Incorporating nitrogen atoms into the molecular structure enhances explosive properties and allows for the introduction of additional oxygen atoms, for example, in the form of nitro groups (NO2), which improve the oxygen balance (Ω). For a substance represented by the formula CaHbOcNd, the oxygen balance is calculated using Formula (4):
 
- The factor “16” in the numerator corresponds to the molar mass of oxygen. The oxygen balance (Ω) reflects the ability of a high-energy material to form energetically favorable compounds with oxygen.
 
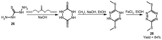
| Entry | Compound | Oxygen Balance Ω [%] | Density ρ [g/cm3] | Detonation Velocity D [km/s] | Impact Sensitivity  IS [J]  | 
|---|---|---|---|---|---|
| 1 | TNG (32) | +3.5 | 1.59 | 7.6 | 0.2 | 
| 2 | TNT (33) | −73.9 | 1.65 | 6.9 | 15 | 
| 3 | RDX (34) | −21.6 | 1.82 | 8.8 | 7.5 | 
| 4 | Lead azide (35) | −5.5 | 3.60 | 4.5 | 2.5–4.0 | 
| 5 | PA (36) | −45.4 | 1.78 | 7.4 | 7.4 | 
| 6 | Tetryl (37) | −47.4 | 1.73 | 7.6 | 3 | 
1,2,4,5-Tetrazine Derivatives as HEDMs
- Another compound exhibiting high thermal stability (252 °C), a high density of 1.84 g/cm3, and an enthalpy of formation of 862 kJ/mol is 3,3′-azobis(6-amino-1,2,4,5-tetrazine) (39, DAAT). Kerth and Löbbecke synthesized this compound using a multi-step methodology, starting with 3,6-bis(3,5-dimethylpyrazol-1-yl)-1,2,4,5-tetrazine (23) as the substrate (Scheme 16). The reaction sequence involved substituting the pyrazole ring in the substrate with hydrazine, followed by oxidation of the hydrazine fragment with NBS and final substitution with ammonia [93].
 

- In 2004, Huynh et al. synthesized 3,6-diazido-1,2,4,5-tetrazine (40, DIAT), a compound sensitive to sparks, friction, and impact, with a decomposition temperature lower than that of the previously discussed compounds (130 °C). The synthesis of DIAT involved diazotizing 3,6-dihydrazino-1,2,4,5-tetrazine (24) using sodium nitrite and hydrochloric acid at 0 °C (Scheme 17) [79].
 

- The previously mentioned 3,6-bis(3,5-dimethyl-1H-pyrazol-1-yl)-1,2,4,5-tetrazine (23) was also used as a substrate in the synthesis of two other high-energy derivatives reported by Saikia and co-workers: 3,6-bis(1H-1,2,3,4-tetrazol-5-ylamino)-1,2,4,5-tetrazine (41, BTATz) and 3-(1H-1,2,3,4-tetrazol-5-ylamino)-6-(3,5-dimethylpyrazol-1-yl)-1,2,4,5-tetrazine (42, TADPTz, Scheme 18). BTATz is a solid with low sensitivity to impact. After heat initiation, it decomposes rapidly and flamelessly, generating a large amount of nitrogen gas (0.7 dm3/g BTATz). This property makes BTATz useful for applications such as fire extinguishing systems and airbags. The compound decomposes at 270 °C, has a heat of formation of 883 kJ/mol, and a density of 1.78 g/cm3 at room temperature. Anhydrous 5-amino-1H-1,2,3,4-tetrazole was used in the reaction at an approximately two-and-a-half-fold molar excess compared to the tetrazine substrate (23) with sulfolane as the solvent. The mixture was heated at 135 °C for 16 h. BTATz was purified by dissolving it in DMSO and precipitating it with methanol, yielding the product in 70%. The second derivative, 3-(1H-1,2,3,4-tetrazol-5-ylamino)-6-(3,5-dimethyl-pyrazol-1-yl)- 1,2,4,5-tetrazine (42, TADPTz), was synthesized by heating 3,6-bis(3,5-dimethylpyrazol-1-yl)-1,2,4,5-tetrazine with a two-fold molar excess of 5-amino-1H-1,2,3,4-tetrazole in N,N-dimethylformamide (DMF). The TADPTz was obtained as a red solid with a decomposition temperature of 250 °C and a 65% yield [94].
 

- Chavez et al. synthesized two other high-energy 3,6-disubstituted polynitroalkoxy-1,2,4,5-tetrazines via nucleophilic substitution involving 3,6-dichloro-1,2,4,5-tetrazine (25) (Scheme 19). The transformations were conducted using two molar equivalents of polynitro alcohols (2,2,2-trinitroethanol or 2-fluoro-2,2-dinitroethanol) in dry dichloromethane, with 2,4,6-collidine as a base, at room temperature for 48 h. The products obtained were 3,6-bis(2,2,2-trinitroethoxy)-1,2,4,5-tetrazine (43) in 54% yield and 3,6-bis(2-fluoro-2,2-dinitroethoxy)-1,2,4,5-tetrazine (44) in 60% yield. These compounds exhibit good detonation parameters, with detonation velocities (D) of 8.1–8.7 km/s and detonation pressures (P) of 33–35 GPa. According to the authors, these derivatives can be utilized as melt-castable explosives [95].
 

- Polynitroalcohols can also react with 3,6-diamino-1,2,4,5-tetrazine (45) to produce N3,N6-bis(2,2,2-trinitroethyl)-1,2,4,5-tetrazine-3,6-diamine (46, BTAT, Scheme 20). The reaction was performed with the addition of hydrochloric acid in water at 70 °C, yielding the product in 63%. This compound exhibits a favorable oxygen balance (Ω = −10.9%), a high enthalpy of formation (ΔfH = +336 kJ/mol), and a lower decomposition temperature (Tdec = 184 °C) compared to 1,3,5-trinitro-1,3,5-triazinane (RDX) (Ω = −21.6%; ΔfH = +85 kJ/mol; Tdec = 202 °C). Additionally, BTAT demonstrates excellent detonation parameters (D = 9261 m/s; P = 389 kbar) and a density of 1.886 g/cm3 [96,97].
 

- Korepin and co-workers nitrated the resulting BTAT (46), introducing nitro groups onto the exocyclic nitrogen atoms (Scheme 21). The reaction was conducted stepwise: in the first step, nitration was carried out using fuming nitric acid, followed by the addition of trifluoroacetic acid anhydride in the second step. The product NBTAT (47) was obtained with a 32% yield and an enthalpy of formation ΔfH = +546 kJ/mol, which is higher than that of its precursor, 46. The introduction of two nitro groups also enhanced the compound’s oxidizing properties [97].
 

- 3,6-Diamino-1,2,4,5-tetrazine (45) can also be directly nitrated to produce N,N′-dinitro-1,2,4,5-tetrazine-3,6-diamine (48, DNAT, Scheme 22). This compound was synthesized by reacting 3,6-diamino-1,2,4,5-tetrazine (45) with fuming nitric acid at 0 °C for 1 h with a yield of 65%. The resulting yellow DNAT precipitate has a density of 1.915 g/cm3 and a detonation temperature of 106.4 °C. DNAT was further converted into the corresponding salts (49) in satisfactory yields (67–75%) using bases such as LiOH, KOH, NaOH, Rb2CO3, and Cs2CO3 under mild reaction conditions (30 min., rt).
 

- The resulting salts exhibit significantly higher detonation temperatures (241–260 °C) compared to the starting dinitroamine 48 and have a favorable oxygen balance. They are also characterized by low impact sensitivity, comparable to primary explosives (IS ≤ 4 J), but much higher friction sensitivity (FS = 108–360 N), in contrast to DNAT (12 N) [98,99].
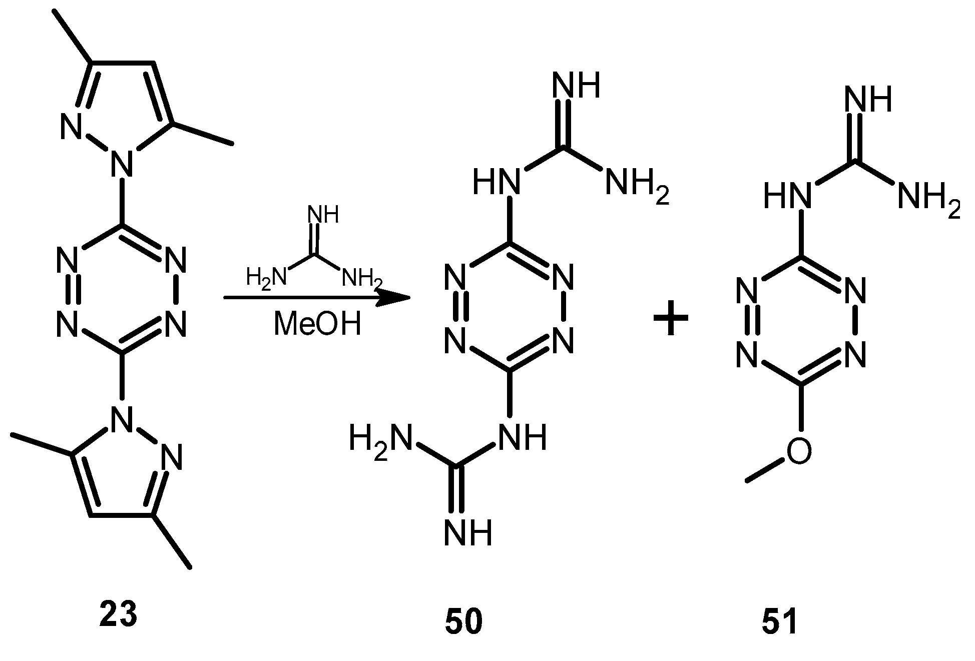
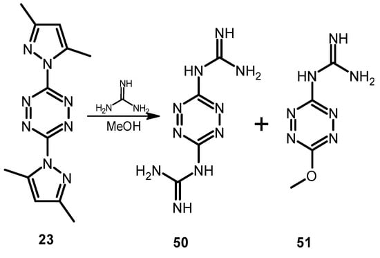
 - Tetrazine derivatives connected with guanidine fragments have also garnered considerable scientific interest. 3,6-Diguanidino-1,2,4,5-tetrazine (50) was synthesized from 3,6-bis(3,5-dimethylpyrazol-1-yl)-1,2,4,5-tetrazine (23) and two molar equivalents of guanidine in methanol as the solvent (Scheme 23). The main reaction product was the disubstituted derivative 50, although a monoguanidine derivative, 6-methoxy-1,2,4,5-tetrazine (51), was also formed as a side product. Both compounds were subsequently converted into corresponding high-energy salts bearing inorganic and organic anions (Figure 6). These salts are characterized by high densities and excellent detonation parameters [100,101,102,103].
 


- Similar to the guanidine derivatives of 1,2,4,5-tetrazine described above, substitution with a 2-nitroguanidine moiety was also performed (Scheme 24). The synthesis of the sodium salt of bis(nitroguanidyl)tetrazine (52) was carried out using sodium methoxide in methanol at 45–50 °C, achieving a yield of 90%. Chavez et al. also investigated the reaction of 1 equivalent of nitroguanidine with sodium hydride in N,N-dimethylformamide to synthesize a monosubstituted nitroguanidyl-1,2,4,5-tetrazine [104].
 

- 3,6-Bis(nitroguanidyl)-1,2,4,5-tetrazine (52) was converted into high-energy salts using alkaline earth metal nitrates (Mg, Ca, Sr, Ba), achieving high yields (86–93%) [73]. The resulting tetrazine–alkali metal salts (53, Scheme 25) are characterized by high densities (ρ = 1.75–2.30 g/cm3) and high sensitivity to impact (IS > 40 J). The barium salt derived from 52 was identified as the most energetic compound, with a density of 2.30 g/cm3 and high thermal stability (Td = 195 °C). Organic salts of 3,6-bis(nitroguanidyl)-1,2,4,5-tetrazine (54) were also synthesized using organic cations derived from the corresponding chlorides (RCl). According to the authors, these compounds are insensitive to impact below 24 J due to the existence of hydrogen and ionic bonds [105].
 

- Zhao-yang Yin and his team reported notable results by synthesizing a derivative of 1,2,4,5-tetrazine (56, BHDT, Scheme 26) with remarkable energetic properties (IS = 30 J, FS = 300 N, Td = 240 °C). The compound was synthesized by heating a suspension of 1,1-diamino-2-nitro-2-(1H-triazol-5-yl)ethene (55, tri-FOX) with 85% hydrazine hydrate at 100 °C for 5 h. The red solid product 56 was isolated in a 79% yield [106].
 

- An equally intriguing group of high-energy 1,2,4,5-tetrazines includes oxadiazole and triazole derivatives, where the tetrazine core serves as a linker between two azole rings (Scheme 27). The substrate for these reactions was 3,6-bis(3,5-dimethylpyrazol-1-yl)-1,2,4,5-tetrazine (23), which reacted with a 1,2,5-oxadiazole-3-amine derivative in the presence of a base (NaH, K2CO3, Cs2CO3). The transformations proceeded via different pathways, yielding monosubstitution, disubstitution, and tetrazine-to-oxadiazole system disubstitution products. Monosubstitution (57) was performed with 1.1 molar equivalents of the 1,2,5-oxadiazole-3-amine derivative in refluxing acetonitrile for 0.8–4 h, yielding the desired products at 73–92%. When twice the molar amount of tetrazine relative to 1,2,5-oxadiazole was used, disubstitution products 58, consisting of two 1,2,4,5-tetrazine units bonded via amino groups to 1,2,5-oxadiazole, were obtained in yields ranging from 42% to 97% [107,108]. Using a four-fold excess of 3,4-diamino-1,2,5-oxadiazole relative to the tetrazine reagent enabled the preparation of 3,6-bis(3-amino-1,2,5-oxadiazol-4-ylamino)-1,2,4,5-tetrazine (59). In this case, sodium hydride in N,N-dimethylformamide was employed as the base, and the reaction mixture was stirred at room temperature for 1 h. After workup, the product was obtained as a red solid with a satisfactory yield of 91%.
 

- Yu and co-workers investigated the reaction of 3,6-bis(3-amino-1,2,5-oxadiazol-4-ylamino)-1,2,4,5-tetrazine (59, BOAT) with 2,2,2-trinitroethanol in the presence of hydrochloric acid at 70 °C (Scheme 28). The symmetrical product of the disubstitution at both terminal amino groups (60) was obtained with a yield of 89%. This compound exhibits a high decomposition temperature (Td = 204 °C) and density (ρ = 1.86 g/cm3), resulting in excellent detonation properties (D = 9.04 km/s; P = 37 GPa). Derivative 60 was then nitrated with 100% nitric acid at −5 °C, and after 4 h of agitation, the mixture was poured into water, yielding product 61 as an orange solid (yield = 88%). This compound features a positive oxygen balance (Ω = 11.5%) and high density (ρ = 1.92 g/cm3), and the following detonation parameters: D = 9.6 km/s and P = 42 GPa. Another efficient route to high-energy salts is the direct nitration of 3,6-bis(3-amino-1,2,5-oxadiazol-4-ylamino)-1,2,4,5-tetrazine (59, BOAT) with fuming nitric acid at −10 °C. The resulting dinitration product 62 has a high heat of formation (ΔfH = 3.00 kJ/g), high density (ρ = 1.85 g/cm3) and detonation parameters: D = 9.1 km/s, P = 36 GPa. This compound was further converted into a series of high-energy salts 63 using appropriate bases in acetonitrile as the solvent. The red-brown solid products were obtained with yields of 89–91% and exhibited notable energetic properties (Td = 211–225 °C; ρ = 1.76–1.87 g/cm3; D = 8.8–9.4 km/s; P = 31–39 GPa; ΔfH = 2.45–4.37 kJ/g; IS = 28–40 J; FS > 360 N) [109].
 

- In 2017, Zhang et al. synthesized high-energy 1,2,4,5-tetrazine-1,2,4-triazole hybrids by reacting dimethyl 1,4-dihydro-1,2,4,5-tetrazine-3,6-dicarboxylate (30) with aminoguanidine sulfate (VI) in the presence of sodium methoxide at 0 °C (Scheme 29). The product 5,5′-(1,4-dihydro-1,2,4,5-tetrazine-3,6-diyl)bis(1H-1,2,4-triazol-3-amine) (64) was obtained with a 66% yield and subjected to nitration using a nitrating mixture consisting of concentrated nitric and sulfuric acids at −10 °C. The transformation led to the corresponding dinitro derivative 65 with a 69% yield. Isolated as a red solid, this compound is characterized by high density (ρ = 1.88 g/cm3), high detonation velocity and pressure (D = 9.1 km/s; P = 31.7 GPa), and other notable properties, including impact sensitivity IS = 20 J, friction sensitivity FS = 270 N, decomposition temperature Td = 162 °C, and enthalpy of formation ΔfH = 1336 kJ/mol [110].
 

- The dinitro compound 65 was transformed into a series of salts (66) (Scheme 29, Figure 7) exhibiting interesting properties as high-energy materials, including high impact and friction sensitivities (IS > 40 J; FS > 360 N). These salts were synthesized by reacting compound 65 with appropriate bases in methanol for 2 h at room temperature [110].
 

- Schlomovich et al. synthesized three distinct triazole hybrids in which 1,2,4,5-tetrazine served as a bridge (Scheme 30). The derivative 67 was formed in a substitution reaction between 3,6-bis(3,5-dimethyl-1H-pyrazol-1-yl)-1,2,4,5-tetrazine (23, BPT) and 1H-1,2,4-triazole-3,5-diamine. This reaction involved the nitrogen atom at position 1 of the triazole ring and the nitrogen of the amino group at position 6. The transformation was conducted in sulfolane at 140 °C for 24 h. The product was precipitated with DMSO, washed with methanol, and dried. This compound (67), obtained in 82% yield, exhibited a high decomposition temperature (Td = 313 °C), density (ρ = 1.87 g/cm3), and the following detonation properties: D = 8.6 km/s; P = 269 kbar. Another symmetrical substitution product of BPT with 1H-1,2,4-triazole-3,5-diamine was obtained by performing the reaction in a similar manner at a temperature of 210 °C. This compound (68) had the highest decomposition temperature (Td = 357 °C) among the three derivatives, high impact sensitivity (IS > 98 J), typical density, and strong detonation properties (ρ = 1.81 g/cm3; D = 8.2 km/s; P = 239 kbar). Finally, the reaction of 1H-1,2,4-triazole-3,5-diamine with 3,6-dichloro-1,2,4,5-tetrazine (25) in a mixture of acetonitrile and N,N-dimethylformamide at room temperature resulted in substitution involving the nitrogen atom from the triazole ring. The resulting red-brown solid product (69) was obtained with an 85% yield and exhibited notable detonation properties (Td = 370 °C; ρ = 1.75 g/cm3; D = 7.7 km/s; P = 227 kbar; IS > 40 J; FS > 360 N) [111].
 

- The presence of amino groups attached to the triazole ring in the resulting products (70–75) enabled the synthesis of other potential high-energy materials, specifically the corresponding azides and nitro derivatives. The typical synthetic procedures involved dissolving the appropriate triazole-1,2,4,5-tetrazine derivative (67–69) in sulfuric acid at 0 °C, introducing an aqueous solution of sodium nitrite, and then adding sodium azide solution at 0 °C (for azides 70–72) or sodium nitrite solution at 40 °C (for nitro compounds 73–75). The detonation properties of the obtained compounds are presented in Figure 8 [111].
 

- In 2017, Rudakov and co-workers converted 3-(3,5-dimethyl-1H-pyrazol-1-yl)-1,2,4,5-tetrazine (76) into novel high-energy derivatives using aminotetrazines (Scheme 31). The reaction of the pyrazole-1,2,4,5-tetrazine moiety (76) with 3,6-diamino-1,2,4,5-tetrazine was conducted in a 2:1 molar ratio in acetonitrile with the addition of potassium carbonate. After workup, the corresponding high-energy N,N′-di(1,2,4,5-tetrazin-3-yl)-1,2,4,5-tetrazine-3,6-diamine (77) was obtained with a high yield as a red solid (Td = 279 °C; ρ = 1.69 g/cm3; D = 8.1 km/s; P = 22.9 GPa; Qexp = 3782 kJ/kg). When 1,2,4,5-tetrazin-3-amine was used in a similar reaction with compound 76, the adequate N-(1,2,4,5-tetrazin-3-yl)-1,2,4,5-teterazin-3-amine (78) was obtained as a dark-pink solid with a 55% yield. This compound exhibited slightly lower energetic parameters (Td = 210 °C; ρ = 1.63 g/cm3; D = 7.9 km/s; P = 21.0 GPa; Qexp = 3778 kJ/kg) compared to the precursor 76. However, compound 78 was further transformed in a reaction with 3-chloro-1,2,4,5-tetrazine to produce a more energetic derivative, N,N-di(1,2,4,5-tetrazin-3-yl)-1,2,4,5-tetrazin-3-amine (79) (Td = 231°C; ρ = 1.88 g/cm3; D = 9.1 km/s; P = 30.5 GPa; Qexp = 4067 kJ/kg). This transformation was carried out using sodium hydride in THF under reflux for 2 h, yielding a brown product with a 58% yield [112].
 


- Compound 80 was also reacted with cyanogen bromide to synthesize 6-(3,5-dimethyl-1H-pyrazol-1-yl)-[1,2,4]triazolo[4,3-b][1,2,4,5]tetrazin-3-amine (83). Subsequent treatment of the resulting product 83 with potassium hydroxide, followed by the work-up with hydrochloric acid, gave the corresponding 3-amino-[1,2,4]triazolo[4,3-b][1,2,4,5]tetrazin-6-ol (84, Scheme 33) with a high yield (ρ = 1.86 g/cm3; Td = 227 °C; D = 8.6 km/s; P = 28.0 GPa; IS = 34 J) [113].
 

- The solid fused tetrazine products 82 and 84 were further converted into their corresponding salts by reacting with various bases under mild conditions in methanol (Scheme 34).
 

- Another compound used to prepare fused 1,2,4,5-tetrazine derivative is 6-hydrazinyl-N-(1H-tetrazol-5-yl)-1,2,4,5-tetrazin-3-amine (85, HTATz). In 2022, Chen et al. heated this compound with cyanogen bromide in 1M hydrochloric acid for 4 h to obtain the corresponding 3-amino-6-(1H-tetrazol-5-yl)-[1,2,4]triazolo[4,3-b][1,2,4,5]tetrazine (86, Scheme 35). The product was isolated as a brown solid with a 60% yield (ρ = 1.76 g/cm3; Td = 189 °C; D = 8.5 km/s; P = 26.1 GPa; IS = 36 J) [114].
 

- Compound 86 was later utilized in nitration and oxidation reactions to synthesize other valuable energetic derivatives (Scheme 36). Nitration was performed using fuming nitric acid at −15 °C for 30 min., followed by an additional 6 h at room temperature. After dissolving the reaction mixture and washing the product, 3-nitroamino-(1H-tetrazol-5-yl)-[1,2,4]triazolo[4,3-b][1,2,4,5]tetrazine (87) was obtained as a yellow solid with a high yield. This compound 87 exhibited the following detonation parameters: ρ = 1.80 g/cm3; Td = 167 °C; D = 8.6 km/s; P = 29.0 GPa; IS = 6 J. Another interesting reaction involving compound 86 was the synthesis of 3,3′-(diazene-1,2-diyl)bis(N-1H-tetrazol-5-yl)-[1,2,4]triazolo[4,3-b][1,2,4,5]tetrazin-6-amine (88, Scheme 36). The transformation was carried out in concentrated hydrochloric acid by dropwise addition of an aqueous solution of potassium permanganate at −5 °C, followed by heating at 45 °C for 4 h. After workup, a yellow solid product 88 was obtained with a yield of 92% (ρ = 1.79 g/cm3; Td = 240 °C; D = 8.5 km/s; P = 26.9 GPa; IS = 10 J). The resulting compound 88 has the highest enthalpy of formation among all derivatives synthesized by Chen and co-authors (ΔfH = 2175.3 kJ/mol) [114].
 

- Liu and co-workers used 3-hydrazinyl-1,2,4,5-tetrazine (89) to synthesize other fused 1,2,4,5-tetrazine derivatives. Cyanogen bromide and hydrochloric acid served as co-reagents, and the mixture was stirred for 24 h to produce [1,2,4]triazolo[4,3-b][1,2,4,5]teterazin-3-amine (90) as a purple solid with a 71% yield (Scheme 37). This compound was treated with potassium permanganate, resulting in 1,2-bis([1,2,4]triazolo[4,3-b][1,2,4,5]tetrazin-3-yl)diazene (91) with an 82% yield. The symmetrical product exhibited a high detonation temperature Td = 305 °C and density (ρ = 1.91 g/cm3), which influences its detonation properties (D = 9.2 km/s; P = 34.8 GPa). It also has a high enthalpy of formation ΔfH = 1525.2 kJ/mol and friction sensitivity FS > 360 N. The authors highlighted compound 91 as a potential heat-resistant explosive. The intermediate product 90 was also nitrated using fuming nitric acid at 0 °C. After several hours of agitation, trifluoroacetic acid was added, leading to the precipitation of N-([1,2,4]triazolo[4,3-b][1,2,4,5]tetrazin-3-yl)nitramide (92) as an orange solid with a 74% yield (ρ = 1.81 g/cm3; Td = 132 °C; D = 8.8 km/s; P = 33.2 GPa; IS = 31 J). The intermediate 92 was further utilized to synthesize a series of high-energy salts through reactions with bases. Among them, the salt 93, formed in the reaction with ammonia, demonstrated the best properties (ρ = 1.83 g/cm3; D = 9.4 km/s; P = 37.8 GPa; IS = 43 J) [115].
 

- In their synthesis of high-energy compounds, Liu and co-workers used the fused tetrazine 83 (Scheme 38). This compound was converted to 6-hydrazinyl-[1,2,4]triazolo[4,3-b][1,2,4,5]tetrazin-3-amine (94) by reacting it with hydrazine hydrate in acetonitrile, followed by treatment with nitrous acid generated in situ from hydrochloric acid and sodium nitrite. A colored product 95, substituted at position 6 with an azide group, was obtained with a 68% yield (ρ = 1.74 g/cm3; D = 8.6 km/s; P = 28.5 GPa; IS = 30 J). The next transformations focused on modifying the amino group attached to the triazole ring. A nitration reaction using concentrated nitric acid produced N-(6-azido-[1,2,4]triazolo[4,3-b][1,2,4,5]tetrazin-3-yl)nitramide (96), which was precipitated using trifluoroacetic acid. The orange product was obtained with a 67% yield and exhibited the following detonation parameters: ρ = 1.85 g/cm3; D = 9.2 km/s; P = 36.3 GPa; IS = 1 J. Compound 96 was further transformed into a series of salts. Among these, the hydroxylammonium salt 97 displayed the best parameters (Yield = 72%; ρ = 1.79 g/cm3; D = 9.3 km/s; P = 36.8 GPa; IS = 2 J). The authors concluded that the salt 97 could serve as a primary explosive due to its low impact sensitivity (IS) [115].
 

- In 2022, Qiong Yu et al. synthesized a fused derivative of 1,2,4,5-tetrazine and triazole (98) consisting of three rings (Scheme 39). The transformation, carried out in ethanol, used 3,6-dihydrazinyl-1,2,4,5-tetrazine and cyanogen bromide as starting reagents. The product 98 was obtained as a yellow solid with a 75% yield and was characterized by a high enthalpy of formation ΔfH = 4.27 kJ/g and favorable detonation parameters (ρ = 1.76 g/cm3; D = 8.5 km/s; P = 27.3 GPa; IS > 40 J). Compound 98 was then nitrated with fuming nitric acid, yielding the corresponding nitro derivative 99 as a brown solid (yield = 57%; ρ = 1.88 g/cm3; D = 9.1 km/s; P = 34.0 GPa; IS > 40 J). The latter was subsequently reacted with bases to produce its corresponding salts with excellent yields, between 93% and 95% (M = K+, NH3OH+, NH4+, N2H5+). Among the obtained products, the hydrazinium salt 99·N2H4 was identified as the most energetic 1,2,4,5-tetrazine derivative (ρ = 1.84 g/cm3; D = 9.1 km/s; P = 32.3; GPa; IS > 40 J; ΔfH = 2.72 kJ/g) [116].
 

- Sinditskii and his team also undertook the synthesis of a fused tricyclic 1,2,4,5-tetrazine-1,2,4-triazole hybrid (100) and its derivatives [117]. Heating N3,N6-di(1H-tetrazol-5-yl)-1,2,4,5-tetrazine-3,6-diamine (41, BTATz) in polyphosphoric acid (PPA) for 3–4 h at 180 °C resulted in the formation of bis([1,2,4]triazolo)[1,5-b:5′,1′-f][1,2,4,5]tetrazine-2,7-diamine (100, Scheme 40). The product was obtained as a light red solid with a yield of 40% and exhibited the following detonation parameters: ρ = 1.71 g/cm3; D = 8.3 km/s; P = 29.2 GPa; IS > 45 J. Compound 100 was subsequently subjected to oxidation reactions, yielding other high-energy derivatives depicted in Scheme 41.
 


- In 2020, Sinditskii et al. also synthesized bicyclic fused 1,2,4,5-tetrazines connected to the 1,2,5-oxadiazole ring via an amino group [118]. The N-heteroarylation of aminofurazans was performed by refluxing 6-(3,5-dimethyl-1H-pyrazol-1-yl)-[1,2,4]triazolo[4,3-b][1,2,4,5]tetrazine (81, Scheme 42) in a mixture of acetonitrile and cesium carbonate as the base for 0.3–2 h. This reaction yielded three yellow products (101–103), all of which were characterized by favorable detonation parameters.
 

- In 2016, Myers et al. heated 6-(3,5-dimethyl-1H-pyrazol-1-yl)-[1,2,4]triazolo[4,3-b][1,2,4,5]tetrazine (81, Scheme 43) with 2-amino-2-(hydroxymethyl)propane-1,3-diol in a mixture of acetonitrile and N,N-dimethylformamide to produce the corresponding substitution product. The resulting intermediate was then nitrated with nitronium acetate, generated in situ from glacial acetic acid, acetic anhydride, and nitric acid at 5 °C, to produce a yellow trinitro derivative 104 with a 76% yield (ρ = 1.79 g/cm3; D = 8.3 km/s; P = 29.4 GPa; IS > 3.9 J) [119].
 

- Fu-Xue Chen and his co-workers utilized the primary amine group-containing compound 83, specifically 6-(3,5-dimethyl-1H-pyrazol-1-yl)-[1,2,4]triazolo[4,3-b][1,2,4,5]tetrazin-3-amine, in a diazotization reaction with sodium nitrite, followed by displacement with 65% nitric acid, to synthesize the nitro derivative: 3-(3,5-dimethyl-1H-pyrazol-1-yl)-6-nitro-[1,2,4]triazolo[4,3-b][1,2,4,5]tetrazine 105 (Scheme 44) [120]. This compound was then treated with an aqueous ammonia solution under reduced pressure, resulting in the substitution of the 3,5-dimethylpyrazole group with an amine group to yield a yellow compound 106 (TTNA) with a 72% yield.
 

- Lu Hu et al. synthesized a series of high-energy fused 1,2,4,5-tetrazine derivatives using the symmetrical reagent, the adequate 1,2-bis(6-(3,5-dimethyl-1H-pyrazol-1-yl)-[1,2,4]triazolo[4,3-b][1,2,4,5]tetrazin-3-yl)diazene (107, Scheme 45) [121]. When compound 107 reacted with ammonia in acetonitrile, it produced product 108, in which the 3,5-dimethylpyrazole rings were replaced by ammonia. Nitration of this compound yielded the corresponding symmetrical N-nitro derivative 109 with a yield of 72%, and notable detonation parameters (ρ = 1.85 g/cm3; D = 9.5 km/s; P = 39.8 GPa; IS = 14 J). The yellow solid product 109 was then transformed into a silver salt, which served as a precursor for the synthesis of other high-energy salts (NH4+, NH3OH+). These salts exhibited excellent detonation parameters (for NH4+ salt: Yield = 82%; ρ = 1.84 g/cm3; D = 9.6 km/s; P = 38.8 GPa; IS = 10 J, and for NH3OH+ salt: Yield = 82%; ρ = 1.99 g/cm3; D = 10.2 km/s; P = 48.6 GPa; IS = 14 J, respectively).
 

- The same authors also utilized [1,2,4]triazolo[4,3-b][1,2,4,5]tetrazine-3,6-diamine (110) to synthesize a series of high-energy salts [121]. In the first step, both amino groups in compound 110 were nitrated using 100% nitric acid, yielding an orange product: 3,6-dinitramino-1,2,4-triazolo[4,3-b][1,2,4,5]tetrazine (111, Scheme 46) with a yield of 70%. The resulting compound, which exhibited excellent detonation parameters (ρ = 1.91 g/cm3; D = 9.3 km/s; P = 38.3 GPa; IS = 3 J), was then transformed into a silver salt. This salt served as the precursor for the synthesis of a series of other high-energy salts, as shown in Scheme 46. Among these derivatives, the hydroxyammonium salt derived from 111 demonstrated the best detonation properties (ρ = 1.92 g/cm3; D = 9.7 km/s; P = 42.9 GPa; IS = 25 J).
 

4. Conclusions
Author Contributions
Funding
Institutional Review Board Statement
Informed Consent Statement
Data Availability Statement
Conflicts of Interest
References
- Tang, J.; Chen, D.; Zhang, G.; Yang, H.; Cheng, G. A Green Primary Explosive: Design, Synthesis, and Testing. Synlett 2019, 30, 885–892. [Google Scholar] [CrossRef]
 - Wang, T.; Zheng, C.; Yang, J.; Zhang, X.; Gong, X.; Xia, M. Theoretical Studies on a New High Energy Density Compound 6-Amino-7-Nitropyrazino [2,3-e][1,2,3,4]Tetrazine 1,3,5-Trioxide (ANPTTO). J. Mol. Model. 2014, 456, 193–200. [Google Scholar] [CrossRef] [PubMed]
 - Tyurin, A.Y.; Churakov, A.M.; Strelenko, Y.A.; Ratnikov, M.O.; Tartakovsky, V.A. Synthesis of First Nonannulated 1,2,3,4-Tetrazine 1,3-Dioxides. Russ. Chem. Bull. 2006, 55, 1648–1653. [Google Scholar] [CrossRef]
 - Churakov, A.M.; Tartakovsky, V.A. Progress in 1,2,3,4-Tetrazine Chemistry. Chem. Rev. 2004, 104, 2601–2616. [Google Scholar] [CrossRef] [PubMed]
 - Mackerta, P.J.; Hafner, K.; Nimmerfrohai, N.; Banertb, K. Synthesis, Structure and Reactivity of Cyclopenta-Annulated 1,2,3,4-Tetrazines. Chem. Ber. 1994, 127, 1479–1488. [Google Scholar] [CrossRef]
 - Lipilin, D.L.; Belyakov, P.A.; Strelenko, Y.A.; Churakov, A.M.; Smirnov, O.Y.; Ioffe, S.L.; Tartakovsky, V.A. 2-Alkyl-1,2,3,4-Benzotetrazinium Salts: Synthesis and NMR Studies of the Novel 2-Alkyl-1,2,3,4-Tetrazinium/Ortho-(Alkylazo)Diazonium Equilibrium. Eur. J. Org. Chem. 2002, 2002, 3821–3826. [Google Scholar] [CrossRef]
 - Ratnikov, M.O.; Lipilin, D.L.; Churakov, A.M.; Strelenko, Y.A.; Tartakovsky, V.A. Release of Nitrosating Species in the Course of Reduction of Benzo-1,2,3,4-Tetrazine 1,3-Dioxides. Org. Lett. 2002, 4, 3227–3229. [Google Scholar] [CrossRef]
 - Pyatakova, N.V.; Khropov, Y.V.; Churakov, A.M.; Tarasova, N.I.; Serezhenkov, V.A.; Vanin, A.F.; Tartakovsky, V.A.; Severina, I.S. Derivatives of Benzotetrazine-1,3-Dioxide Are New NO-Donors, Activators of Soluble Guanylate Cyclase, and Inhibitors of Platelet Aggregation. Biochemistry 2002, 67, 329–334. [Google Scholar] [CrossRef]
 - Tang, Y.; He, C.; Yin, P.; Imler, G.H.; Parrish, D.A.; Shreeve, J.M. Energetic Functionalized Azido/Nitro Imidazole Fused 1,2,3,4-Tetrazine. Eur. J. Org. Chem. 2018, 2018, 2273–2276. [Google Scholar] [CrossRef]
 - Tang, Y.; Kumar, D.; Shreeve, J.M. Balancing Excellent Performance and High Thermal Stability in a Dinitropyrazole Fused 1,2,3,4-Tetrazine. J. Am. Chem. Soc. 2017, 139, 13684–13687. [Google Scholar] [CrossRef]
 - Wu, Z.-C.; Boger, D.L. Synthesis, Characterization, and Cycloaddition Reactivity of a Monocyclic Aromatic 1,2,3,5-Tetrazine. J. Am. Chem. Soc. 2019, 141, 16388–16397. [Google Scholar] [CrossRef] [PubMed]
 - Diana, P.; Stagno, A.; Barraja, P.; Montalbano, A.; Martorana, A.; Carbone, A.; Dattolo, G.; Cirrincione, G. Pyrido[2′,3′:4,5]Pyrrolo[2,1-d][1,2,3,5]Tetrazine-4(3H)-Ones, a New Class of Temozolomide Heteroanalogues. Arkivoc 2009, 2009, 177–186. [Google Scholar] [CrossRef]
 - Diana, P.; Barraja, P.; Lauria, A.; Montalbano, A.; Almerico, A.M.; Dattolo, G.; Cirrincione, G. Pyrrolo[2,1-d][1,2,3,5]Tetrazine-4(3H)-Ones, a New Class of Azolotetrazines with Potent Antitumor Activity. Bioorg. Med. Chem. 2003, 11, 2371–2380. [Google Scholar] [CrossRef] [PubMed]
 - Zhao, B.; Wang, P.; Fu, W.; Li, C.; Zhou, Z. High Density of a New Fused Heterocycle: 7,8-Dinitro-4-oxo-4,6-dihydropyrazolo[5, 1-d][1, 2,3,5]Tetrazine 2-oxide and Its Energetic Salts. ChemistrySelect 2018, 3, 4797–4803. [Google Scholar] [CrossRef]
 - Bian, C.; Dong, X.; Zhang, X.; Zhou, Z.; Zhang, M.; Li, C. The Unique Synthesis and Energetic Properties of a Novel Fused Heterocycle: 7-Nitro-4-Oxo-4,8-Dihydro-[1,2,4]Triazolo[5,1-d][1,2,3,5]Tetrazine 2-Oxide and Its Energetic Salts. J. Mater. Chem. A Mater. 2015, 3, 3594–3601. [Google Scholar] [CrossRef]
 - Sauer, J. 1,2,4,5-Tetrazines. In Comprehensive Heterocyclic Chemistry II; Elsevier: Amsterdam, The Netherlands, 1996; pp. 901–955. [Google Scholar]
 - Miomandre, F.; Audebert, P. 1,2,4,5-Tetrazines: An Intriguing Heterocycles Family with Outstanding Characteristics in the Field of Luminescence and Electrochemistry. J. Photoch. Photobiol. C 2020, 44, 100372. [Google Scholar] [CrossRef]
 - Audebert, P.; Miomandre, F.; Clavier, G.; Vernières, M.; Badré, S.; Méallet-Renault, R. Synthesis and Properties of New Tetrazines Substituted by Heteroatoms: Towards the World’s Smallest Organic Fluorophores. Chem. Eur. J. 2005, 11, 5667–5673. [Google Scholar] [CrossRef]
 - Clavier, G.; Audebert, P. S -Tetrazines as Building Blocks for New Functional Molecules and Molecular Materials. Chem. Rev. 2010, 110, 3299–3314. [Google Scholar] [CrossRef]
 - Lipunova, G.N.; Nosova, E.V.; Zyryanov, G.V.; Charushin, V.N.; Chupakhin, O.N. 1,2,4,5-Tetrazine Derivatives as Components and Precursors of Photo- and Electroactive Materials. Org. Chem. Front. 2021, 8, 5182–5205. [Google Scholar] [CrossRef]
 - Nhu, D.; Duffy, S.; Avery, V.M.; Hughes, A.; Baell, J.B. Antimalarial 3-Arylamino-6-Benzylamino-1,2,4,5-Tetrazines. Bioorg. Med. Chem. Lett. 2010, 20, 4496–4498. [Google Scholar] [CrossRef]
 - Saracoglu, N. Recent Advances and Applications in 1,2,4,5-Tetrazine Chemistry. Tetrahedron 2007, 63, 4199–4236. [Google Scholar] [CrossRef]
 - Badgujar, D. Review on Promising Insensitive Energetic Materials. Cent. Eur. J. Energ. Mater. 2017, 14, 821–843. [Google Scholar] [CrossRef] [PubMed]
 - Zhou, J.; Zhang, J.; Wang, B.; Qiu, L.; Xu, R.; Sheremetev, A.B. Recent Synthetic Efforts towards High Energy Density Materials: How to Design High-Performance Energetic Structures? FirePhysChem 2022, 2, 83–139. [Google Scholar] [CrossRef]
 - Nair, U.; Asthana, S.; Rao, A.; Gandhe, B. Advances in High Energy Materials. Def. Sci. J. 2010, 60, 137–151. [Google Scholar] [CrossRef]
 - Fershtat, L.L. Recent Advances in the Synthesis and Performance of 1,2,4,5-Tetrazine-Based Energetic Materials. FirePhysChem 2023, 3, 78–87. [Google Scholar] [CrossRef]
 - Agrawal, J.P. Recent Trends in High-Energy Materials. Prog. Energy Combust. Sci. 1998, 24, 1–30. [Google Scholar] [CrossRef]
 - Hofmann, J.D.; Schmalisch, S.; Schwan, S.; Hong, L.; Wegner, H.A.; Mollenhauer, D.; Janek, J.; Schröder, D. Tailoring Dihydroxyphthalazines to Enable Their Stable and Efficient Use in the Catholyte of Aqueous Redox Flow Batteries. Chem. Mater. 2020, 32, 3427–3438. [Google Scholar] [CrossRef]
 - Heldmann, D.K.; Sauer, J. Synthesis of Metallated (Metal = Si, Ge, Sn) Pyridazines by Cycloaddition of Metal Substituted Alkynes to 1,2,4,5-Tetrazine. Tetrahedron 1997, 38, 5791–5794. [Google Scholar] [CrossRef]
 - Domasevitch, K.V.; Gural’Skiy, I.A.; Solntsev, P.V.; Rusanov, E.B.; Krautscheid, H.; Howard, J.A.K.; Chernega, A.N. 4,4′-Bipyridazine: A New Twist for the Synthesis of Coordination Polymers. Dalton Trans. 2007, 29, 3140–3148. [Google Scholar] [CrossRef]
 - Pinner, A. Ueber Die Einwirkung von Hydrazin Auf Imidoäther. Justus Liebigs Ann. Chem. 1897, 297, 221–271. [Google Scholar] [CrossRef]
 - Quinton, C.; Chi, S.-H.; Dumas-Verdes, C.; Audebert, P.; Clavier, G.; Perry, J.W.; Alain-Rizzo, V. Novel S-Tetrazine-Based Dyes with Enhanced Two-Photon Absorption Cross-Section. J. Mater. Chem. C 2015, 3, 8351–8357. [Google Scholar] [CrossRef]
 - Baalmann, M.; Ziegler, M.J.; Werther, P.; Wilhelm, J.; Wombacher, R. Enzymatic and Site-Specific Ligation of Minimal-Size Tetrazines and Triazines to Proteins for Bioconjugation and Live-Cell Imaging. Bioconjug. Chem. 2019, 30, 1405–1414. [Google Scholar] [CrossRef] [PubMed]
 - Sarris, A.J.C.; Hansen, T.; de Geus, M.A.R.; Maurits, E.; Doelman, W.; Overkleeft, H.S.; Codée, J.D.C.; Filippov, D.V.; van Kasteren, S.I. Fast and PH-Independent Elimination of Trans-Cyclooctene by Using Aminoethyl-Functionalized Tetrazines. Chem. Eur. J. 2018, 24, 18075–18081. [Google Scholar] [CrossRef] [PubMed]
 - Yang, J.; Karver, M.R.; Li, W.; Sahu, S.; Devaraj, N.K. Metal-Catalyzed One-Pot Synthesis of Tetrazines Directly from Aliphatic Nitriles and Hydrazine. Angew. Chem. Int. Ed. 2012, 51, 5222–5225. [Google Scholar] [CrossRef]
 - Mao, W.; Shi, W.; Li, J.; Su, D.; Wang, X.; Zhang, L.; Pan, L.; Wu, X.; Wu, H. Organocatalytic and Scalable Syntheses of Unsymmetrical 1,2,4,5-Tetrazines by Thiol-Containing Promotors. Angew. Chem. Int. Ed. 2019, 58, 1106–1109. [Google Scholar] [CrossRef]
 - Qu, Y.; Sauvage, F.; Clavier, G.; Miomandre, F.; Audebert, P. Metal-Free Synthetic Approach to 3-Monosubstituted Unsymmetrical 1,2,4,5-Tetrazines Useful for Bioorthogonal Reactions. Angew. Chem. Int. Ed. 2018, 57, 12057–12061. [Google Scholar] [CrossRef]
 - Sagot, E.; Le Roux, A.; Soulivet, C.; Pasquinet, E.; Poullain, D.; Girard, E.; Palmas, P. Synthesis of Linear and Hyperbranched Tetrazine-Based Polyhetarylene Assemblies with High Nitrogen Content. Tetrahedron 2007, 63, 11189–11194. [Google Scholar] [CrossRef]
 - Wang, D.; Chen, W.; Zheng, Y.; Dai, C.; Wang, L.; Wang, B. A General and Efficient Entry to Asymmetric Tetrazines for Click Chemistry Applications. Heterocycl. Commun. 2013, 19, 171–177. [Google Scholar] [CrossRef]
 - Rao, G.-W.; Hu, W.-X. Synthesis, Structure Analysis, and Antitumor Activity of 3,6-Disubstituted-1,4-Dihydro-1,2,4,5-Tetrazine Derivatives. Bioorg. Med. Chem. Lett. 2006, 16, 3702–3705. [Google Scholar] [CrossRef]
 - Edelmann, M.R.; Bredack, C.; Belli, S.; Mohr, P.; Imhoff, M.-P.; Reggiani, F.; Kusznir, E.A.; Rufer, A.C.; Holt, D.P.; Valentine, H.; et al. Evaluation of Tetrazine Tracers for Pretargeted Imaging within the Central Nervous System. Bioconjug. Chem. 2023, 34, 1882–1893. [Google Scholar] [CrossRef]
 - Selvaraj, R.; Fox, J.M. An Efficient and Mild Oxidant for the Synthesis of s-Tetrazines. Tetrahedron Lett. 2014, 55, 4795–4797. [Google Scholar] [CrossRef] [PubMed]
 - Zhu, Z.; Glinkerman, C.M.; Boger, D.L. Selective N1/N4 1,4-Cycloaddition of 1,2,4,5-Tetrazines Enabled by Solvent Hydrogen Bonding. J. Am. Chem. Soc. 2020, 142, 20778–20787. [Google Scholar] [CrossRef] [PubMed]
 - Maj, A.; Kudelko, A.; Świątkowski, M. Synthesis and Luminescent Properties of s-Tetrazine Derivatives Conjugated with the 4H-1,2,4-Triazole Ring. Molecules 2022, 27, 3642. [Google Scholar] [CrossRef] [PubMed]
 - Sołoducho, J.; Doskocz, J.; Cabaj, J.; Roszak, S. Practical Synthesis of Bis-Substituted Tetrazines with Two Pendant 2-Pyrrolyl or 2-Thienyl Groups, Precursors of New Conjugated Polymers. Tetrahedron 2003, 59, 4761–4766. [Google Scholar] [CrossRef]
 - Sauer, J.; Pabst, G.R.; Holland, U.; Kim, H.-S.; Loebbecke, S. 3,6-Bis(2H-Tetrazol-5-yl)-1,2,4,5-Tetrazine: A Versatile Bifunctional Building Block for the Synthesis of Linear Oligoheterocycles. Eur. J. Org. Chem. 2001, 2001, 697–706. [Google Scholar] [CrossRef]
 - Blackman, M.L.; Royzen, M.; Fox, J.M. Tetrazine Ligation: Fast Bioconjugation Based on Inverse-Electron-Demand Diels-Alder Reactivity. J. Am. Chem. Soc. 2008, 130, 13518–13519. [Google Scholar] [CrossRef]
 - Xie, Y.; Fang, Y.; Huang, Z.; Tallon, A.M.; am Ende, C.W.; Fox, J.M. Divergent Synthesis of Monosubstituted and Unsymmetrical 3,6-Disubstituted Tetrazines from Carboxylic Ester Precursors. Angew. Chem. Int. Ed. 2020, 59, 16967–16973. [Google Scholar] [CrossRef]
 - Dzandzi, J.P.K.; Beckford Vera, D.R.; Genady, A.R.; Albu, S.A.; Eltringham-Smith, L.J.; Capretta, A.; Sheffield, W.P.; Valliant, J.F. Fluorous Analogue of Chloramine-T: Preparation, X-Ray Structure Determination, and Use as an Oxidant for Radioiodination and s-Tetrazine Synthesis. J. Org. Chem. 2015, 80, 7117–7125. [Google Scholar] [CrossRef]
 - Wiley, R.; Jarboe, C., Jr.; Hayes, F. Notes—Heterocyclic Analogs of Terphenyl: 3,6-Diaryl-1,2,4,5-Tetrazines. J. Org. Chem. 1957, 22, 835–836. [Google Scholar] [CrossRef]
 - Méndez, Y.; Vasco, A.V.; Ivey, G.; Dias, A.L.; Gierth, P.; Sousa, B.B.; Navo, C.D.; Torres-Mozas, A.; Rodrigues, T.; Jiménez-Osés, G.; et al. Merging the Isonitrile-Tetrazine (4+1) Cycloaddition and the Ugi Four-Component Reaction into a Single Multicomponent Process. Angew. Chem. Int. Ed. 2023, 62, e202311186. [Google Scholar] [CrossRef]
 - Zhang, H.; Trout, W.S.; Liu, S.; Andrade, G.A.; Hudson, D.A.; Scinto, S.L.; Dicker, K.T.; Li, Y.; Lazouski, N.; Rosenthal, J.; et al. Rapid Bioorthogonal Chemistry Turn-on through Enzymatic or Long Wavelength Photocatalytic Activation of Tetrazine Ligation. J. Am. Chem. Soc. 2016, 138, 5978–5983. [Google Scholar] [CrossRef] [PubMed]
 - Wang, D.; Chen, W.; Zheng, Y.; Dai, C.; Wang, K.; Ke, B.; Wang, B. 3,6-Substituted-1,2,4,5-Tetrazines: Tuning Reaction Rates for Staged Labeling Applications. Org. Biomol. Chem. 2014, 12, 3950–3955. [Google Scholar] [CrossRef] [PubMed]
 - Markham, T.E.; Duggan, P.J.; Johnston, M.R. Investigating the Diels-Alder Reactivity of the Natural Pyrethrins. Tetrahedron 2023, 135, 133326. [Google Scholar] [CrossRef]
 - Chen, W.; Wang, D.; Dai, C.; Hamelberg, D.; Wang, B. Clicking 1,2,4,5-Tetrazine and Cyclooctynes with Tunable Reaction Rates. Chem. Commun. 2012, 48, 1736–1738. [Google Scholar] [CrossRef] [PubMed]
 - Kurach, E.; Djurado, D.; Rimarčik, J.; Kornet, A.; Wlostowski, M.; Lukeš, V.; Pécaut, J.; Zagorska, M.; Pron, A. Effect of Substituents on Redox, Spectroscopic and Structural Properties of Conjugated Diaryltetrazines—A Combined Experimental and Theoretical Study. Phys. Chem. Chem. Phys. 2011, 13, 2690–2700. [Google Scholar] [CrossRef]
 - Sammelson, R.E.; Olmstead, M.M.; Haddadin, M.J.; Kurth, M.J. 1,2,4,5-Tetrazines as Oxidant and Reactant with DBU: An Unexpected Formation of a Novel Fused Tetraheterocyclic Azepine. J. Org. Chem. 2000, 65, 9265–9267. [Google Scholar] [CrossRef]
 - Haddadin, M.J.; Ghazvini Zadeh, E.H. A Novel Method for the Synthesis of 3,5-Disubstituted-(NH)-1,2,4-Triazoles from 3,6-Diaryl-1,2,4,5-Tetrazines. Tetrahedron Lett. 2010, 51, 1654–1656. [Google Scholar] [CrossRef]
 - Robins, L.I.; Carpenter, R.D.; Fettinger, J.C.; Haddadin, M.J.; Tinti, D.S.; Kurth, M.J. Diazocinones: Synthesis and Conformational Analysis. J. Org. Chem. 2006, 71, 2480–2485. [Google Scholar] [CrossRef]
 - Kao, H.C.; Tang, S.W.; Wang, J.S.; Wang, W.J. Microporous Material Based on π-π Stacking of 1,4-Bis(3,6-Diphenylpyridazin-4-yl)Benzene. In Molecular Crystals and Liquid Crystals; Taylor & Francis: Abingdon, UK, 2006; Volume 456, pp. 193–200. [Google Scholar]
 - Hunter, D.; Neilson, D.G. The Role of Lithium Amides as Reducing Agents in a Novel Pathway to 3,6-Diarylpyridazines by Ring Transformations of 3,6-Diaryl-s-Tetrazines. J. Chem. Soc. Perkin 1 1983, 1601–1603. [Google Scholar] [CrossRef]
 - Grakauskas, V.A.; Tomasewski, A.J.; Horwitz, J.P. IV. Some 3,6-Unsymmetrically Disubstituted 1,2,4,5-Tetrazines. J. Am. Chem. Soc. 1958, 80, 3155–3159. [Google Scholar] [CrossRef]
 - Fang, Z.; Hu, W.L.; Liu, D.Y.; Yu, C.Y.; Hu, X.G. Synthesis of Tetrazines from: Gem-Difluoroalkenes under Aerobic Conditions at Room Temperature. Green Chem. 2017, 19, 1299–1302. [Google Scholar] [CrossRef]
 - Savastano, M.; García-Gallarín, C.; López de la Torre, M.D.; Bazzicalupi, C.; Bianchi, A.; Melguizo, M. Anion-π and Lone Pair-π Interactions with s-Tetrazine-Based Ligands. Coord. Chem. Rev. 2019, 397, 112–137. [Google Scholar] [CrossRef]
 - Calahorro, A.J.; Fernández, B.; García-Gallarín, C.; Melguizo, M.; Fairen-Jimenez, D.; Zaragoza, G.; Salinas-Castillo, A.; Gómez-Ruiz, S.; Rodríguez-Diéguez, A. Towards a Potential 4,4′-(1,2,4,5-Tetrazine-3,6-Diyl) Dibenzoic Spacer to Construct Metal–Organic Frameworks. New J. Chem. 2015, 39, 6453–6458. [Google Scholar] [CrossRef]
 - Moral, M.; García, G.; Peñas, A.; Garzón, A.; Granadino-Roldán, J.M.; Melguizo, M.; Fernández-Gómez, M. Electronic Properties of Diphenyl-s-Tetrazine and Some Related Oligomers. An Spectroscopic and Theoretical Study. Chem. Phys. 2012, 408, 17–27. [Google Scholar] [CrossRef]
 - Stéen, E.J.L.; Edem, P.E.; Nørregaard, K.; Jørgensen, J.T.; Shalgunov, V.; Kjaer, A.; Herth, M.M. Pretargeting in Nuclear Imaging and Radionuclide Therapy: Improving Efficacy of Theranostics and Nanomedicines. Biomaterials 2018, 179, 209–245. [Google Scholar] [CrossRef]
 - Hu, W.-X.; Rao, G.-W.; Sun, Y.-Q. Synthesis and Antitumor Activity of s-Tetrazine Derivatives. Bioorg. Med. Chem. Lett. 2004, 14, 1177–1181. [Google Scholar] [CrossRef]
 - Sun, Y.; Hu, W.; Yuan, Q. Convenient Preparation of 3,6-Dialkyl-1,6-Dihydro-s-Tetrazines. Synth. Commun. 2003, 33, 2769–2775. [Google Scholar] [CrossRef]
 - Skorianetz, W.; Kováts, E.S. Die Bildung von Hexahydro-1,2,4,5-tetrazinderivaten Bei Der Reaktion von Aldehyden Mit Hydrazin. Helv. Chim. Acta 1970, 53, 251–262. [Google Scholar] [CrossRef]
 - Venkateswara Rao, B.; Dhokale, S.; Rajamohanan, P.R.; Hotha, S. A Tetrazine Templated Method for the Synthesis of Ternary Conjugates. Chem. Commun. 2013, 49, 10808–10810. [Google Scholar] [CrossRef]
 - Chen, X.; Guo, Z.; Zhang, C.; Gao, R.; Zhang, J.; Ma, H. Constructing a 3D-Layered Energetic Metal–Organic Framework with the Strong Stacking Interactions of Hydrogen-Bridged Rings: The Way to an Insensitive High Energy Complex. CrystEngComm 2020, 22, 5436–5446. [Google Scholar] [CrossRef]
 - Chen, X.; Wang, S.; Chen, Y.; Hu, Y.; Zhang, C.; Guo, Z.; Ma, H. Alkaline Earth Metal Salts of 3,6-bis-nitroguanyl-1,2,4,5-tetrazine: Promising Perchlorate-free Environmentally Friendly Pyrotechnic Components. Appl. Organomet. Chem. 2022, 36, e6497. [Google Scholar] [CrossRef]
 - Zhang, G.D.; Wang, Z.; Zhang, J.G. An Unusual Layered Crystal Packing Gives Rise to a Superior Thermal Stability of Energetic Salt of 3,6-Bishydrazino-1,2,4,5-Tetrazine. Z. Anorg. Allg. Chem. 2018, 644, 512–517. [Google Scholar] [CrossRef]
 - Li, Y.; Asadi, A.; Perrin, D.M. Hydrolytic Stability of Nitrogenous-Heteroaryltrifluoroborates under Aqueous Conditions at near Neutral ph. J. Fluor. Chem. 2009, 130, 377–382. [Google Scholar] [CrossRef]
 - Huynh, M.H.V.; Hiskey, M.A.; Chavez, D.E.; Naud, D.L.; Gilardi, R.D. Synthesis, Characterization, and Energetic Properties of Diazido Heteroaromatic High-Nitrogen C-N Compound. J. Am. Chem. Soc. 2005, 127, 12537–12543. [Google Scholar] [CrossRef]
 - Min, D.J.; Miomandre, F.; Audebert, P.; Kwon, J.E.; Park, S.Y. s-Tetrazines as a New Electrode-Active Material for Secondary Batteries. ChemSusChem 2019, 12, 503–510. [Google Scholar] [CrossRef]
 - Gong, Y.H.; Miomandre, F.; Méallet-Renault, R.; Badré, S.; Galmiche, L.; Tang, J.; Audebert, P.; Clavier, G. Synthesis and Physical Chemistry of s-Tetrazines: Which Ones Are Fluorescent and Why? Eur. J. Org. Chem. 2009, 2009, 6121–6128. [Google Scholar] [CrossRef]
 - Huynh, M.H.V.; Hiskey, M.A.; Archuleta, J.G.; Roemer, E.L.; Gilardi, R. 3,6-Di(Azido)-1,2,4,5-Tetrazine: A Precursor for the Preparation of Carbon Nanospheres and Nitrogen-Rich Carbon Nitrides. Angew. Chem. Int. Ed. 2004, 43, 5658–5661. [Google Scholar] [CrossRef]
 - Ros, E.; Prades, A.; Forson, D.; Smyth, J.; Verdaguer, X.; Pouplana, L.R.d.; Riera, A. Synthesis of 3-Alkyl-6-Methyl-1,2,4,5-Tetrazines via a Sonogashira-Type Cross-Coupling Reaction. Chem. Commun. 2020, 56, 11086–11089. [Google Scholar] [CrossRef]
 - Ros, E.; Bellido, M.; Verdaguer, X.; Ribas de Pouplana, L.; Riera, A. Synthesis and Application of 3-Bromo-1,2,4,5-Tetrazine for Protein Labeling to Trigger Click-to-Release Biorthogonal Reactions. Bioconjug. Chem. 2020, 31, 933–938. [Google Scholar] [CrossRef]
 - Seitchik, J.L.; Peeler, J.C.; Taylor, M.T.; Blackman, M.L.; Rhoads, T.W.; Cooley, R.B.; Refakis, C.; Fox, J.M.; Mehl, R.A. Genetically Encoded Tetrazine Amino Acid Directs Rapid Site-Specific in Vivo Bioorthogonal Ligation with Trans-Cyclooctenes. J. Am. Chem. Soc. 2012, 134, 2898–2901. [Google Scholar] [CrossRef]
 - Johnson, J.L.; Whitney, B.; Werbel, L.M. Synthesis of 6-(Arylthio)- and 6-[(Arylmethyl)Thio]-1,2,4,5-tetrazin-3-amines and N-phenyl- and N-(Phenylmethyl)-1,2,4,5-tetrazine-3,6-diamines as Potential Antimalarial Agents. J. Heterocycl. Chem. 1980, 17, 501–506. [Google Scholar] [CrossRef]
 - Vo, H.-L.; Arthur, J.L.; Capdevila-Cortada, M.; Lapidus, S.H.; Stephens, P.W.; Novoa, J.J.; Arif, A.M.; Nagi, R.K.; Bartl, M.H.; Miller, J.S. Structure and Properties of Nitrogen-Rich 1,4-Dicyanotetrazine, C4N6: A Comparative Study with Related Tetracyano Electron Acceptors. J. Org. Chem. 2014, 79, 8189–8201. [Google Scholar] [CrossRef] [PubMed]
 - Boger, D.L.; Coleman, R.S.; Panek, J.S.; Huber, F.X.; Sauer, J. A Detailed, Convenient Preparation of Dimethyl 1,2,4,5-Tetrazine-3,6-Dicarboxylate. J. Org. Chem. 1985, 50, 5377–5379. [Google Scholar] [CrossRef]
 - Kędzia, A.; Kudelko, A.; Świątkowski, M.; Kruszyński, R. Microwave-Promoted Synthesis of Highly Luminescent s-Tetrazine-1,3,4-Oxadiazole and s-Tetrazine-1,3,4-Thiadiazole Hybrids. Dye. Pigm. 2020, 172, 107865. [Google Scholar] [CrossRef]
 - Ji, Y.Z.; Li, H.J.; Liu, Y.; Wu, Y.C. Chlorination of Arylaldehyde-Derived Arylsulfonylhydrazones with N-Chlorosuccinimide Leading to 1,2,4,5-Tetrazine Derivatives. Synthesis 2020, 52, 69–74. [Google Scholar] [CrossRef]
 - Klapötke, T.M. Chemistry of High-Energy Materials; De Gruyter: Berlin, Germany, 2022. [Google Scholar] [CrossRef]
 - Kamlet, M.J.; Jacobs, S.J. Chemistry of Detonations. I. A Simple Method for Calculating Detonation Properties of C-H-N-O Explosives. J. Chem. Phys. 1968, 48, 23–35. [Google Scholar] [CrossRef]
 - Zhang, W.; Zhang, J.; Deng, M.; Qi, X.; Nie, F.; Zhang, Q. A Promising High-Energy-Density Material. Nat. Commun. 2017, 8, 181. [Google Scholar] [CrossRef]
 - Meyer, R.; Köhler, J.; Homburg, A. Explosives, 6th ed.; Wiley-VCH: Weinheim, Germany, 2007. [Google Scholar] [CrossRef]
 - Kon’kova, T.S.; Matyushin, Y.N.; Miroshnichenko, E.A.; Palysaeva, N.V.; Sheremetev, A.B. Improved Synthesis and Thermochemical Properties of Amino- and Hydrazino-1,2,4,5-Tetrazines. Chem. Heterocycl. Compd. 2020, 56, 1449–1453. [Google Scholar] [CrossRef]
 - Kerth, J.; Löbbecke, S. Synthesis and Characterization of 3,3′-Azobis(6-Amino-1,2,4,5-Tetrazine) DAAT—A New Promising Nitrogen-Rich Compound. PEP Propellants Explos. Pyrotech. 2002, 27, 111. [Google Scholar] [CrossRef]
 - Saikia, A.; Sivabalan, R.; Polke, B.G.; Gore, G.M.; Singh, A.; Subhananda Rao, A.; Sikder, A.K. Synthesis and Characterization of 3,6-Bis(1H-1,2,3,4-Tetrazol-5-ylamino)-1,2,4,5-Tetrazine (BTATz): Novel High-Nitrogen Content Insensitive High Energy Material. J. Hazard. Mater. 2009, 170, 306–313. [Google Scholar] [CrossRef]
 - Chavez, D.E.; Parrish, D.A.; Mitchell, L. Energetic Trinitro- and Fluorodinitroethyl Ethers of 1,2,4,5-Tetrazines. Angew. Chem. Int. Ed. 2016, 55, 8666–8669. [Google Scholar] [CrossRef] [PubMed]
 - Göbel, M.; Klapötke, T.M. Development and Testing of Energetic Materials: The Concept of High Densities Based on the Trinitroethyl Functionality. Adv. Funct. Mater. 2009, 19, 347–365. [Google Scholar] [CrossRef]
 - Korepin, A.G.; Glushakova, N.M.; Lempert, D.B.; Kazakov, A.I.; Shilov, G.V.; Korchagin, D.V.; Volokhov, V.M.; Amosova, E.S.; Aldoshin, S.M. 3,6-Bis (2,2,2-Trinitroethylnitramino)-1,2,4,5-Tetrazine. Structure and Energy Abilities as a Component of Solid Composite Propellants. Def. Technol. 2022, 18, 1148–1155. [Google Scholar] [CrossRef]
 - Zhang, T.; Du, J.; Li, Z.; Lin, X.; Wang, L.; Yang, L.; Zhang, T. Alkali Metal Salts of 3,6-Dinitramino-1,2,4,5-Tetrazine: Promising Nitrogen-Rich Energetic Materials. CrystEngComm 2019, 21, 765–772. [Google Scholar] [CrossRef]
 - Ren, J.; Zhang, T.; Li, Z.; Wang, L.; Zhang, T. Alkaline Earth Metal Salts of 3,6-Dinitramino-1,2,4,5-Tetrazine: Prospective Candidates for Environmentally Friendly Energetic Applications. Thermochim. Acta 2019, 682, 178391. [Google Scholar] [CrossRef]
 - Chavez, D.E.; Hiskey, M.A.; Naud, D.L. Tetrazine Explosives. PEP Propellants Explos. Pyrotech. 2004, 29, 209–215. [Google Scholar] [CrossRef]
 - Gao, H.; Wang, R.; Twamley, B.; Hiskey, M.A.; Shreeve, J.M. 3-Amino-6-Nitroamino-Tetrazine (ANAT)-Based Energetic Salts. Chem. Commun. 2006, 38, 4007–4009. [Google Scholar] [CrossRef]
 - Ye, C.; Gao, H.; Twamley, B.; Shreeve, J.M. Dense Energetic Salts of N,N′-Dinitrourea (DNU). New J. Chem. 2008, 32, 317–322. [Google Scholar] [CrossRef]
 - Huang, Y.; Zhang, Y.; Shreeve, J.M. Nitrogen-Rich Salts Based on Energetic Nitroaminodiazido[1,3,5]Triazine and Guanazine. Chem. Eur. J. 2011, 17, 1538–1546. [Google Scholar] [CrossRef]
 - Chavez, D.E.; Hiskey, M.A.; Gilardi, R.D. Novel High-Nitrogen Materials Based on Nitroguanyl-Substituted Tetrazines. Org. Lett. 2004, 6, 2889–2891. [Google Scholar] [CrossRef]
 - Cong, Z.; Xiang, C.; Yongpeng, H.; Yang, B.; Zhaoqi, G.; Daidi, F.; Haixia, M. A Series of Guanidine Salts of 3,6-Bis-nitroguanyl-1,2,4,5-tetrazine: Green Nitrogen-Rich Gas-Generating Agent. RSC Adv. 2020, 10, 36287–36294. [Google Scholar] [CrossRef] [PubMed]
 - Yin, Z.; Huang, W.; Dong, Y.; Liu, Y.; Tang, Y. An Unusual Reaction of 1,1-Diamino-2-Nitro-2-(1H-Triazol-5-yl)ethene and Hydrazine: The Synthesis of a Dihydrotetrazine Bridged Energetic Compound. Energ. Mater. Front. 2022, 3, 172–176. [Google Scholar] [CrossRef]
 - Chavez, D.E.; Parrish, D.A. New Heterocycles from Tetrazines and Oxadiazoles. J. Heterocycl. Chem. 2009, 46, 88–90. [Google Scholar] [CrossRef]
 - Sheremetev, A.B.; Palysaeva, N.V.; Struchkova, M.I.; Suponitsky, K.Y. A Mild and Efficient Synthesis of 3-Hetarylamino-s-tetrazines. Mendeleev Commun. 2012, 22, 302–304. [Google Scholar] [CrossRef]
 - Yu, Q.; Yang, H.; Imler, G.H.; Parrish, D.A.; Cheng, G.; Shreeve, J.M. Derivatives of 3,6-Bis(3-aminofurazan-4-ylamino)-1,2,4,5-Tetrazine: Excellent Energetic Properties with Lower Sensitivities. ACS Appl. Mater. Interfaces 2020, 12, 31522–31531. [Google Scholar] [CrossRef]
 - Zhang, S.; Cheng, G.; Yang, H. Studies on the Synthesis and Properties of Nitramino Compounds Based on Tetrazine Backbones. Dalton Trans. 2020, 49, 5590–5596. [Google Scholar] [CrossRef]
 - Shlomovich, A.; Pechersky, T.; Cohen, A.; Yan, Q.L.; Kosa, M.; Petrutik, N.; Tal, N.; Aizikovich, A.; Gozin, M. Energetic Isomers of 1,2,4,5-Tetrazine-bis-1,2,4-triazoles with Low Toxicity. Dalton Trans. 2017, 46, 5994–6002. [Google Scholar] [CrossRef]
 - Rudakov, G.F.; Moiseenko, Y.A.; Spesivtseva, N.A. Synthesis of Monosubstituted 1,2,4,5-Tetrazines-3-Amino-1,2,4,5-Tetrazines. Chem. Heterocycl. Compd. 2017, 53, 802–810. [Google Scholar] [CrossRef]
 - Chen, X.; Guo, Z.; Zhang, C.; Zhang, J.; Ma, H. Boosting Intermolecular Interactions of Fused Cyclic Explosives: The Way to Thermostable and Insensitive Energetic Materials with High Density. New J. Chem. 2021, 45, 9358–9367. [Google Scholar] [CrossRef]
 - Chen, X.; Zhang, C.; Cao, W.; Guo, Z.; Zhang, J.; Ma, H. Searching for High Performance Asymmetrically Substituted Teterazine Energetic Materials Based on 3-Hydrazino-6-(1H-1,2,3,4-tetrazol-5-ylimino)-s-tetrazine. Arab. J. Chem. 2022, 15, 103880. [Google Scholar] [CrossRef]
 - Liu, Y.; Zhao, G.; Tang, Y.; Zhang, J.; Hu, L.; Imler, G.H.; Parrish, D.A.; Shreeve, J.M. Multipurpose [1,2,4]Triazolo[4,3-b][1,2,4,5]Tetrazine-Based Energetic Materials. J. Mater. Chem. A 2019, 7, 7875–7884. [Google Scholar] [CrossRef]
 - Yu, Q.; Singh, J.; Staples, R.J.; Shreeve, J.M. Assembling Nitrogen-Rich, Thermally Stable, and Insensitive Energetic Materials by Polycyclization. Chem. Eng. J. 2022, 431, 133235. [Google Scholar] [CrossRef]
 - Rudakov, G.F.; Sinditskii, V.P.; Andreeva, I.A.; Botnikova, A.I.; Veselkina, P.R.; Kostanyan, S.K.; Yudin, N.V.; Serushkin, V.V.; Cherkaev, G.V.; Dorofeeva, O.V. Energetic Compounds Based on a New Fused Bis[1,2,4]triazolo[1,5-b;5′,1′-f]-1,2,4,5-tetrazine. Chem. Eng. J. 2022, 450, 138073. [Google Scholar] [CrossRef]
 - Sinditskii, V.P.; Burzhava, A.V.; Usuntsinova, A.V.; Egorshev, V.Y.; Palysaeva, N.V.; Suponitsky, K.Y.; Ananiev, I.V.; Sheremetev, A.B. Increasing the Burning Rate through Energetic Compound Tuning: Hybrids of the Furazan and [1,2,4]Triazolo[4,3-b][1,2,4,5]Tetrazine Ring Systems. Combust. Flame 2020, 213, 343–356. [Google Scholar] [CrossRef]
 - Myers, T.W.; Snyder, C.J.; Chavez, D.E.; Scharff, R.J.; Veauthier, J.M. Synthesis and Electrochemical Behavior of Electron-Rich s-Tetrazine and Triazolo-tetrazine Nitrate Esters. Chem. Eur. J. 2016, 22, 10590–10596. [Google Scholar] [CrossRef]
 - Wang, G.; Lu, T.; Fan, G.; Yin, H.; Chen, F.-X. Synthesis and Properties of Insensitive [1,2,4]Triazolo[4,3-b]-1,2,4,5-Tetrazine Explosives. New J. Chem. 2019, 43, 1663–1666. [Google Scholar] [CrossRef]
 - Hu, L.; Yin, P.; Zhao, G.; He, C.; Imler, G.H.; Parrish, D.A.; Gao, H.; Shreeve, J.M. Conjugated Energetic Salts Based on Fused Rings: Insensitive and Highly Dense Materials. J. Am. Chem. Soc. 2018, 140, 15001–15007. [Google Scholar] [CrossRef]
 - Wei, H.; Gao, H.; Shreeve, J.M. N -Oxide 1,2,4,5-Tetrazine-Based High-Performance Energetic Materials. Chem. Eur. J. 2014, 20, 16943–16952. [Google Scholar] [CrossRef]
 - Sinditskii, V.P.; Egorshev, V.Y.; Rudakov, G.F.; Filatov, S.A.; Burzhava, A.V. High-Nitrogen Energetic Materials of 1,2,4,5-Tetrazine Family: Thermal and Combustion Behaviors. In Chemical Rocket Propulsion; De Luca, L., Shimada, T., Sinditskii, V., Calabro, M., Eds.; Springer Aerospace Technology; Springer: Cham, Switzerland, 2017. [Google Scholar] [CrossRef]
 - Snyder, C.J.; Wells, L.A.; Chavez, D.E.; Imler, G.H.; Parrish, D.A. Polycyclic N-Oxides: High Performing, Low Sensitivity Energetic Materials. Chem. Commun. 2019, 55, 2461–2464. [Google Scholar] [CrossRef]
 



















| Entry | R1, R2 | Reagents | Conditions | Product | Ref. | 
|---|---|---|---|---|---|
| Pinner | |||||
| 1 | CH3 | R1CN, N2H4 (excess) | N2H4, [Ox] | Symmetrical disubstituted 1,2,4,5-tetrazines | [31,67] | 
| 2 | CH3, C6H5, C6H5, CH2C6H5 | R1CN, R2CN | N2H4, [Ox] | Symmetrical and unsymmetrical disubstituted 1,2,4,5-tetrazines | [31,67] | 
| Devaraj | |||||
| 3 | CH3, C6H4CH2OH, C6H4CH2NHBoc, C6H4OH, C6H4I, nC5H11 | R1CN, R2CN | Zn(OTf)2 or Ni(OTf)2, N2H4, [Ox] | Unsymmetrical disubstituted 1,2,4,5-tetrazines | [35] | 
| 4 | CH2C6H5, n-C5H11, C(CH3)3, NHBoc, | R1CN | Zn(OTf)2 or Ni(OTf)2, N2H4, [Ox] | Monosubstituted 1,2,4,5-tetrazines  | [35] | 
| Wu | |||||
| 5 | C6H5, (CH2)2OH, CH3, 4-Br-C6H4 (CH2)2NHBoc, 4-COOH-C6H4  | R1CN, R2CN | 3-Sulfanylpropanoic acid, N2H4∙H2O, EtOH, [Ox] | Unsymmetrical disubstituted 1,2,4,5-tetrazines | [36] | 
| Audebert | |||||
| 6 | CH2COOH, COOH, CH2OH, CN, Br, CH3 | R1CN, CH2Cl2 | Sulfur, N2H4∙H2O, EtOH, MW, [Ox] | Monosubstituted 1,2,4,5-tetrazines  | [37] | 
| Performance | Detonation velocity Detonation pressure Heat explosion  | D > 8500 m/s P > 340 kbar (34 GPa) Q > 6000 kJ/kg  | 
| Stability | Thermal stability Impact sensitivity Friction sensitivity Electrostatic sensitivity  | Tdec ≥ 180 °C IS > 7 J FS > 120 N ESD > 0.2 J  | 
| Chemical properties | Hydrolytically stable Compatible with binder and plasticizer Low water solubility Non-toxic Smoke-free combustion  | |
Disclaimer/Publisher’s Note: The statements, opinions and data contained in all publications are solely those of the individual author(s) and contributor(s) and not of MDPI and/or the editor(s). MDPI and/or the editor(s) disclaim responsibility for any injury to people or property resulting from any ideas, methods, instructions or products referred to in the content.  | 
© 2025 by the authors. Licensee MDPI, Basel, Switzerland. This article is an open access article distributed under the terms and conditions of the Creative Commons Attribution (CC BY) license (https://creativecommons.org/licenses/by/4.0/).
Share and Cite
Górecki, S.; Kudelko, A. Synthesis and Characteristics of 1,2,4,5-Tetrazines for Using as High Energy Density Materials (HEDMs). Appl. Sci. 2025, 15, 821. https://doi.org/10.3390/app15020821
Górecki S, Kudelko A. Synthesis and Characteristics of 1,2,4,5-Tetrazines for Using as High Energy Density Materials (HEDMs). Applied Sciences. 2025; 15(2):821. https://doi.org/10.3390/app15020821
Chicago/Turabian StyleGórecki, Sebastian, and Agnieszka Kudelko. 2025. "Synthesis and Characteristics of 1,2,4,5-Tetrazines for Using as High Energy Density Materials (HEDMs)" Applied Sciences 15, no. 2: 821. https://doi.org/10.3390/app15020821
APA StyleGórecki, S., & Kudelko, A. (2025). Synthesis and Characteristics of 1,2,4,5-Tetrazines for Using as High Energy Density Materials (HEDMs). Applied Sciences, 15(2), 821. https://doi.org/10.3390/app15020821
        
