A Hysteresis Model Incorporating Varying Pinching Stiffness and Spread for Enhanced Structural Damage Simulation
Abstract
1. Introduction
2. Methodology
2.1. The Original BWBN Model
2.2. Proposed BWBN-VP Model
2.3. Proposed BWBN-VP Model Evaluation
2.3.1. Experimental Verification
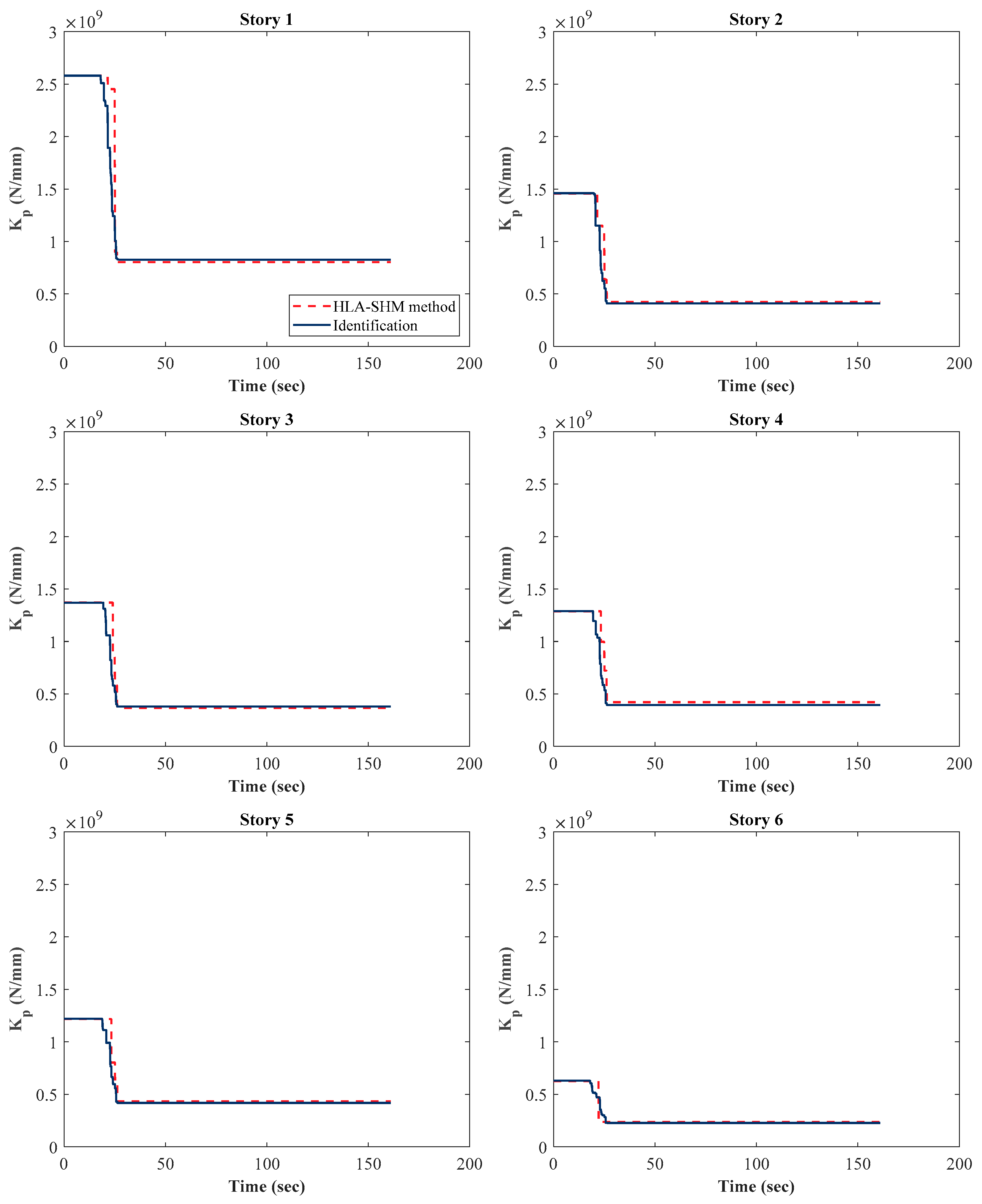
2.3.2. Verification for Real-World Structure
2.3.3. Analyses
3. Results and Discussion
3.1. RC Column Experimental Validation
3.2. Full Building Validation Results
3.3. Limitations and Applicability
4. Conclusions
Author Contributions
Funding
Institutional Review Board Statement
Informed Consent Statement
Data Availability Statement
Conflicts of Interest
References
- ATCouncil. Effects of strength and stiffness degradation on seismic response. In FEMA P440A; FEMA: Washington, DC, USA, 2009. [Google Scholar]
- Otani, S. Nonlinear dynamic analysis of reinforced concrete building structures. Can. J. Civ. Eng. 1980, 7, 333–344. [Google Scholar] [CrossRef]
- Aloisio, A.; Pelliciari, M.; Bergami, A.V.; Alaggio, R.; Briseghella, B.; Fragiacomo, M. Effect of pinching on structural resilience: Performance of reinforced concrete and timber structures under repeated cycles. Struct. Infrastruct. Eng. 2023, 19, 1728–1744. [Google Scholar] [CrossRef]
- Ning, C.-L.; Wang, L.; Du, W. A practical approach to predict the hysteresis loop of reinforced concrete columns failing in different modes. Constr. Build. Mater. 2019, 218, 644–656. [Google Scholar] [CrossRef]
- Wang, Z.; Wang, J.; Zhu, J.; Zhang, J. A simplified method to assess seismic behavior of reinforced concrete columns. Struct. Concr. 2020, 21, 151–168. [Google Scholar] [CrossRef]
- Huang, H.; Li, M.; Zhang, W.; Yuan, Y. Seismic behavior of a friction-type artificial plastic hinge for the precast beam–column connection. Arch. Civ. Mech. Eng. 2022, 22, 201. [Google Scholar] [CrossRef]
- Kim, M.-J.; Lee, B.-S.; Kim, D.-H.; Han, S.-P.; Kim, K.-H. Effect of Configuration and Yield Strength of Transverse Reinforcement on Lateral Confinement of RC Columns. Appl. Sci. 2021, 11, 6696. [Google Scholar] [CrossRef]
- Phan, V.-T.; Tran, V.-L.; Nguyen, V.-Q.; Nguyen, D.-D. Machine learning models for predicting shear strength and identifying failure modes of rectangular RC columns. Buildings 2022, 12, 1493. [Google Scholar] [CrossRef]
- Zhang, Y.; Deng, M.; Li, T.; Dong, Z. Strengthening of flexure-dominate RC columns with ECC jackets: Experiment and analysis. Eng. Struct. 2021, 231, 111809. [Google Scholar] [CrossRef]
- Sun, Z.; Wang, D.; Du, X.; Si, B. Rapid repair of severely earthquake-damaged bridge piers with flexural-shear failure mode. Earthq. Eng. Eng. Vib. 2011, 10, 553–567. [Google Scholar] [CrossRef]
- Jin, K.; Yamazaki, K.; Takahashi, R. Seismic Performance of Ductile Column with Rectangular Hollow Cross-Section in RC Building. Appl. Sci. 2023, 13, 2234. [Google Scholar] [CrossRef]
- Rasulo, A.; Pelle, A.; Lavorato, D.; Fiorentino, G.; Nuti, C.; Briseghella, B. Finite element analysis of reinforced concrete bridge piers including a flexure-shear interaction model. Appl. Sci. 2020, 10, 2209. [Google Scholar] [CrossRef]
- Hua, J.; Eberhard, M.O.; Lowes, L.N.; Gu, X. Modes, mechanisms, and likelihood of seismic shear failure in rectangular reinforced concrete columns. J. Struct. Eng. 2019, 145, 04019096. [Google Scholar] [CrossRef]
- Wararuksajja, W.; Srechai, J.; Leelataviwat, S.; Sungkamongkol, T.; Limkatanyu, S. Seismic design method for preventing column shear failure in reinforced concrete frames with infill walls. J. Build. Eng. 2021, 44, 102963. [Google Scholar] [CrossRef]
- Li, Z.; Noori, M.; Zhao, Y.; Wan, C.; Feng, D.; Altabey, W.A. A multi-objective optimization algorithm for Bouc–Wen–Baber–Noori model to identify reinforced concrete columns failing in different modes. Proc. Inst. Mech. Eng. Part L J. Mater. Des. Appl. 2021, 235, 2165–2182. [Google Scholar] [CrossRef]
- Ma, Y.; Gong, J.-X. Probability Identification of Seismic Failure Modes of Reinforced Concrete Columns based on Experimental Observations. J. Earthq. Eng. 2018, 22, 1881–1899. [Google Scholar] [CrossRef]
- Zhou, C.; Chase, J.G. A new pinched nonlinear hysteretic structural model for automated creation of digital clones in structural health monitoring. Struct. Health Monit. 2021, 20, 101–117. [Google Scholar] [CrossRef]
- Lin, J.-L.; Chen, W.-H.; Hsiao, F.-P.; Weng, Y.-T.; Shen, W.-C.; Weng, P.-W.; Chao, S.-H.; Chung, L.-L.; Hwang, S.-J. Effects of hysteretic models on the seismic evaluation of a collapsed irregular building from bidirectional near-fault ground motions on a shake table. Eng. Struct. 2021, 247, 113087. [Google Scholar] [CrossRef]
- Clough, R.W. Effect of Stiffness Degradation on Earthquake Ductility Requirements. Rep. No, 66-16; Structures and Materials Rsearch Department of Civil Engineering, University of California: Berkeley, CA, USA, October 1966; Available online: https://escholarship.org/uc/item/21f175hg (accessed on 19 November 2024).
- Otani, S. Hysteresis models of reinforced concrete for earthquake response analysis. J. Fac. Eng. 1981, 36, 125–159. [Google Scholar]
- Fukada, Y. Study on the restoring force characteristics of reinforced concrete buildings. Proc. Kanto Dist. Symp. Archit. Inst. Jpn. Tokyo 1969, 40, 121–124. Available online: https://cir.nii.ac.jp/crid/1572543027471058048 (accessed on 1 September 2024). (In Japanese).
- Takeda, T.; Sozen, M.A.; Nielsen, N.N. Reinforced concrete response to simulated earthquakes. J. Struct. Div. 1970, 96, 2557–2573. [Google Scholar] [CrossRef]
- Kabeyasawa, T.; Shiohara, H.; Otani, S.; Aoyama, H. Analysis of the full-scale seven-story reinforced concrete test structure. J. Fac. Eng. Univ. Tokyo Ser. B 1983, 37, 431–478. [Google Scholar]
- Park, Y.J.; Reinhorn, A.M.; Kunnath, S.K. IDARC: Inelastic Damage Analysis of Reinforced Concrete Frame—Shear-Wall Structures; National Center for Earthquake Engineering Research: Buffalo, NY, USA, 1987. [Google Scholar]
- Sivaselvan, M.V.; Reinhorn, A.M. Hysteretic models for deteriorating inelastic structures. J. Eng. Mech. 2000, 126, 633–640. [Google Scholar] [CrossRef]
- Sivaselvan, M.V.; Reinhorn, A.M. Hysteretic Models for Cyclic Behavior of Deteriorating Inelastic Structures; Multidisciplinary Center for Earthquake Engineering Research: Buffalo, NY, USA, 1999. [Google Scholar]
- Wen, Y.-K. Method for random vibration of hysteretic systems. J. Eng. Mech. Div. 1976, 102, 249–263. [Google Scholar] [CrossRef]
- Wen, Y. Equivalent linearization for hysteretic systems under random excitation. J. Appl. Mech. Mar 1980, 47, 150–154. [Google Scholar] [CrossRef]
- Baber, T.T.; Noori, M.N. Random vibration of degrading, pinching systems. J. Eng. Mech. 1985, 111, 1010–1026. [Google Scholar] [CrossRef]
- Foliente, G.C. Hysteresis modeling of wood joints and structural systems. J. Struct. Eng. 1995, 121, 1013–1022. [Google Scholar] [CrossRef]
- Ray, T.; Reinhorn, A.M. Enhanced smooth hysteretic model with degrading properties. J. Struct. Eng. 2014, 140, 04013028. [Google Scholar] [CrossRef]
- Folhento, P.; Barros, R.; Braz-Césa, M.; ESTiG, C.d.S. Parametric study on a Bouc-Wen model with degradation features for the study of cyclic behavior of a reinforced concrete frame. AIMS Mater. Sci. 2021, 8, 899–916. [Google Scholar] [CrossRef]
- Wang, Z.; Gao, D.; Deng, K.; Lu, Y.; Ma, S.; Zhao, J. Robot base position and spacecraft cabin angle optimization via homogeneous stiffness domain index with nonlinear stiffness characteristics. Robot. Comput.-Integr. Manuf. 2024, 90, 102793. [Google Scholar] [CrossRef]
- Patsialis, D.; Taflanidis, A.A. Reduced order modeling of hysteretic structural response and applications to seismic risk assessment. Eng. Struct. 2020, 209, 110135. [Google Scholar] [CrossRef]
- Ljung, L.; Glad, T. On global identifiability for arbitrary model parametrizations. Automatica 1994, 30, 265–276. [Google Scholar] [CrossRef]
- Ljung, L. System identification. In Signal Analysis and Prediction; Springer: Berlin/Heidelberg, Germany, 1998; pp. 163–173. [Google Scholar]
- Oh, S.; Kim, T.; Song, J. Bouc–Wen class models considering hysteresis mechanism of RC columns in nonlinear dynamic analysis. Int. J. Non-Linear Mech. 2023, 148, 104263. [Google Scholar] [CrossRef]
- Ma, Y.; Wu, Z.; Cheng, X.; Sun, Z.; Chen, X. Parameter identification of hysteresis model of reinforced concrete columns considering shear action. Structures 2023, 47, 93–104. [Google Scholar] [CrossRef]
- Tian, Q.; Ren, H.; Shao, D.; Wang, T.; Zhang, W.; Ning, C.-L. A hybrid approach for seismic fragility analysis of reinforced concrete structural walls independent of failure pattern. Structures 2023, 56, 104984. [Google Scholar] [CrossRef]
- Dadheech, S.; Gupta, V.K. Estimation of inelastic displacement ratio spectrum for existing RC structures via displacement response spectrum. Earthq. Eng. Struct. Dyn. 2024, 53, 4806–4829. [Google Scholar] [CrossRef]
- Li, Z.; Noori, M.; Wan, C.; Yu, B.; Wang, B.; Altabey, W.A. A deep learning-based approach for the identification of a multi-parameter BWBN model. Appl. Sci. 2022, 12, 9440. [Google Scholar] [CrossRef]
- Sengupta, P.; Li, B. Modified Bouc–Wen model for hysteresis behavior of RC beam–column joints with limited transverse reinforcement. Eng. Struct. 2013, 46, 392–406. [Google Scholar] [CrossRef]
- Rabiepour, M.; Zhou, C.; Chase, J.G. Evaluation of Pinching Effects on a Real Concrete Building Seismic Performance by Resimulating Displacement Responses Using HLA SHM Results. J. Perform. Constr. Facil. 2021, 35, 04021024. [Google Scholar] [CrossRef]
- Zhou, C.; Chase, J.G.; Rodgers, G.W. Support vector machines for automated modelling of nonlinear structures using health monitoring results. Mech. Syst. Signal Process. 2021, 149, 107201. [Google Scholar] [CrossRef]
- Pelliciari, M.; Briseghella, B.; Tondolo, F.; Veneziano, L.; Nuti, C.; Greco, R.; Lavorato, D.; Tarantino, A.M. A degrading Bouc–Wen model for the hysteresis of reinforced concrete structural elements. Struct. Infrastruct. Eng. 2020, 16, 917–930. [Google Scholar] [CrossRef]
- Ma, F.; Zhang, H.; Bockstedte, A.; Foliente, G.C.; Paevere, P. Parameter Analysis of the Differential Model of Hysteresis. J. Appl. Mech. 2004, 71, 342–349. [Google Scholar] [CrossRef]
- Rabiepour, M.; Zhou, C.; Chase, J.G. Experimental verification for a mechanics-based digital cloning method predicting structural performance and damage. Earthq. Eng. Struct. Dyn. 2023, 52, 2865–2887. [Google Scholar] [CrossRef]
- Rabiepour, M.; Zhou, C.; Geoffrey Chase, J. Structural performance and damage prediction using a novel digital cloning technique. Struct. Health Monit. 2023, 22, 3908–3928. [Google Scholar] [CrossRef]
- PEER. Structural Performance Database (SPD). Available online: https://nisee.berkeley.edu/spd/search.html (accessed on 19 November 2024).
- Rabiepour, M.; Zhou, C.; Rodgers, G.W.; Chase, J.G. Real-world application of hysteresis loop analysis for stiffness identification of an instrumented building across multiple seismic events. J. Build. Eng. 2022, 45, 103524. [Google Scholar] [CrossRef]
- Baber, T.T.; Noori, M.N. Modeling general hysteresis behavior and random vibration application. J. Vib. Acoust. Stress Reliab. 1986, 108, 411–420. [Google Scholar] [CrossRef]
- Caprili, S.; Mattei, F.; Salvatore, W. Simplified mechanical models for critical regions in RC frame systems. Eng. Struct. 2022, 252, 113677. [Google Scholar] [CrossRef]
- Roohi, M.; Hernandez, E.M.; Rosowsky, D. Nonlinear seismic response reconstruction and performance assessment of instrumented wood-frame buildings—Validation using NEESWood Capstone full-scale tests. Struct. Control Health Monit. 2019, 26, e2373. [Google Scholar] [CrossRef]
- Cao, J.; Xiong, H.; Cui, Y. Seismic performance analysis of timber frames based on a calibrated simplified model. J. Build. Eng. 2021, 46, 103701. [Google Scholar] [CrossRef]
- Aloisio, A.; Sejkot, P.; Iqbal, A.; Fragiacomo, M. An empirical transcendental hysteresis model for structural systems with pinching and degradation. Earthq. Eng. Struct. Dyn. 2021, 50, 2277–2293. [Google Scholar] [CrossRef]
- Pelliciari, M.; Marano, G.C.; Cuoghi, T.; Briseghella, B.; Lavorato, D.; Tarantino, A.M. Parameter identification of degrading and pinched hysteretic systems using a modified Bouc–Wen model. Struct. Infrastruct. Eng. 2018, 14, 1573–1585. [Google Scholar] [CrossRef]
- Imbeault, F.A.; Nielsen, N.N. Effect of degrading stiffness on the response of multistory frames subjected to earthquakes. In Proceedings of the Fifth World Conference on Earthquake Engineering, Rome, Italy, 25–29 June 1973; pp. 1756–1765. [Google Scholar]
- Sengupta, P.; Li, B. Hysteresis Modeling of Reinforced Concrete Structures: State of the Art. ACI Struct. J. 2017, 114. [Google Scholar] [CrossRef]
- Dong, C.-Z.; Catbas, F.N. A review of computer vision–based structural health monitoring at local and global levels. Struct. Health Monit. 2021, 20, 692–743. [Google Scholar] [CrossRef]
- Li, L.; Liu, G.; Zhang, L.; Li, Q. Sensor fault detection with generalized likelihood ratio and correlation coefficient for bridge SHM. J. Sound Vib. 2019, 442, 445–458. [Google Scholar] [CrossRef]
- Fisher, R.A. Statistical methods for research workers. In Breakthroughs in Statistics: Methodology and Distribution; Springer: Berlin/Heidelberg, Germany, 1970; pp. 66–70. [Google Scholar]
- Wadoux, A.M.J.C.; Minasny, B. Some limitations of the concordance correlation coefficient to characterise model accuracy. Ecol. Inform. 2024, 83, 102820. [Google Scholar] [CrossRef]
- Paultre, P.; Légeron, F.; Mongeau, D. Influence of concrete strength and transverse reinforcement yield strength on behavior of high-strength concrete columns. Struct. J. 2001, 98, 490–501. [Google Scholar]
- Ghee, A.B.; Priestley, M.N.; Paulay, T. Seismic shear strength of circular reinforced concrete columns. Struct. J. 1989, 86, 45–59. [Google Scholar]
- Hamilton, C.; Pardoen, G.; Kazanjy, R. Experimental testing of bridge columns subjected to reversed-cyclic and pulse-type loading histories. Rep. No, 2001-03. In Civil Engineering Technical Report Series; University of California: Irvine, CA, USA, 2002. [Google Scholar]
- Chandramohan, R.; Wotherspoon, L.M.; Bradley, B.A.; Nayyerloo, M.; Uma, S.; Stephens, M.T. Response of instrumented buildings under the 2016 Kaikoura earthquake. Bull. New Zealand Soc. Earthq. Eng. 2017, 50, 237–252. [Google Scholar] [CrossRef]
- Fitzjohn, J.; Zhou, C.; Chase, J.G. A combined SHM/IDA method for assessing collapse capacity and risk in subsequent ground motions. J. Civ. Struct. Health Monit. 2020, 10, 17–28. [Google Scholar] [CrossRef]









| Event | Parameter | Description | Control Type |
|---|---|---|---|
| 1 | Ratio of linear to nonlinear response | Basic shape | |
| 2 | Yielding sharpness | ||
| 3 | Basic hysteresis shape control | ||
| 4 | Basic hysteresis shape control | ||
| 5 | Stiffness degradation | Stiffness | |
| 6 | Strength degradation | Strength | |
| 7 | Measure of total slip | Pinching | |
| 8 | Pinching initiation | ||
| 9 | Pinching slope | ||
| 10 | Pinching magnitude | ||
| 11 | Pinching rate | ||
| 12 | Pinching severity |
| Test | Author | Specimen | Failure Type |
|---|---|---|---|
| 1 | Paultre et al., 2001 [63] | No. 806040 | Flexural |
| 2 | Ang et al., 1985 [64] | No. 18 | Shear |
| 3 | Hamilton, 2002 [65] | UCI5 | Flexural-shear |
| Event | Parameter | Test 1 | Test 2 | Test 3 |
|---|---|---|---|---|
| 1 | 0.02 | 0.10 | 0.05 | |
| 2 | 1 | 1 | 1 | |
| 3 | 0.6 | 0.3 | 0.6 | |
| 4 | −0.4 | −0.1 | −0.5 | |
| 5 | 0.001 | 0.4 | 0.5 | |
| 6 | 0.001 | 0.1 | 0.1 | |
| 7 | 0.1 | 0.1 | 0.1 | |
| 8 | 0 | 0 | 0 | |
| 9 | 0.1 | 0.9 | 0.15 | |
| 10 | 0.1 | 0.1 | 0.1 | |
| 11 | 0.1 | 0.1 | 0.1 | |
| 12 | 0.1 | 0.1 | 0.1 | |
| 13 | (mm) | 10 | 3 | 4 |
| 14 | 0 | 0.5 | 10 | |
| 15 | 0 | −200 | −0.5 | |
| 16 | 1 | 10 | 0.25 | |
| 17 | −0.5 | −0.75 | −0.5 |
| Event | Parameter | Story 1 | Story 2 | Story 3 | Story 4 | Story 5 | Story 6 |
|---|---|---|---|---|---|---|---|
| 1 | 1 | 1 | 1 | 1 | 1 | 1 | |
| 2 | 1 | 1 | 1 | 1 | 1 | 1 | |
| 3 | 1 | 1 | 1 | 1 | 1 | 1 | |
| 4 | −0.01 | −0.01 | −0.01 | −0.01 | −0.01 | −0.01 | |
| 5 | 0.3 | 0.25 | 0.17 | 0.08 | 0.10 | 0.50 | |
| 6 | 0.01 | 0.01 | 0.01 | 0.01 | 0.01 | 0.01 | |
| 7 | 0.1 | 0.1 | 0.1 | 0.1 | 0.1 | 0.1 | |
| 8 | 0 | 0 | 0 | 0 | 0 | 0 | |
| 9 | 0.1 | 0.1 | 0.1 | 0.1 | 0.1 | 0.1 | |
| 10 | 0.1 | 0.1 | 0.1 | 0.1 | 0.1 | 0.1 | |
| 11 | 0.1 | 0.1 | 0.1 | 0.1 | 0.1 | 0.1 | |
| 12 | 0.1 | 0.1 | 0.1 | 0.1 | 0.1 | 0.1 | |
| 13 | (mm) | 2.5 | 2.5 | 2.5 | 2.5 | 2.5 | 2.5 |
| 14 | 10 | 10 | 10 | 10 | 10 | 10 | |
| 15 | −0.28 | −0.27 | −0.27 | −0.27 | −0.26 | −0.25 | |
| 16 | 10 | 10 | 10 | 10 | 10 | 10 | |
| 17 | −0.28 | −0.27 | −0.27 | −0.27 | −0.26 | −0.25 |
| Story | ||||||
|---|---|---|---|---|---|---|
| 1 | 2 | 3 | 4 | 5 | 6 | |
| Measured force (×104 kN) | 1.6 | 1.5 | 1.4 | 1.2 | 0.9 | 0.5 |
| Re-simulated force (×104 kN) | 1.7 | 1.5 | 1.4 | 1.1 | 0.9 | 0.5 |
| Difference (%) | 6 | 0 | 0 | −8 | 0 | 0 |
Disclaimer/Publisher’s Note: The statements, opinions and data contained in all publications are solely those of the individual author(s) and contributor(s) and not of MDPI and/or the editor(s). MDPI and/or the editor(s) disclaim responsibility for any injury to people or property resulting from any ideas, methods, instructions or products referred to in the content. |
© 2025 by the authors. Licensee MDPI, Basel, Switzerland. This article is an open access article distributed under the terms and conditions of the Creative Commons Attribution (CC BY) license (https://creativecommons.org/licenses/by/4.0/).
Share and Cite
Rabiepour, M.; Zhou, C.; Chase, J.G. A Hysteresis Model Incorporating Varying Pinching Stiffness and Spread for Enhanced Structural Damage Simulation. Appl. Sci. 2025, 15, 724. https://doi.org/10.3390/app15020724
Rabiepour M, Zhou C, Chase JG. A Hysteresis Model Incorporating Varying Pinching Stiffness and Spread for Enhanced Structural Damage Simulation. Applied Sciences. 2025; 15(2):724. https://doi.org/10.3390/app15020724
Chicago/Turabian StyleRabiepour, Mohammad, Cong Zhou, and James Geoffrey Chase. 2025. "A Hysteresis Model Incorporating Varying Pinching Stiffness and Spread for Enhanced Structural Damage Simulation" Applied Sciences 15, no. 2: 724. https://doi.org/10.3390/app15020724
APA StyleRabiepour, M., Zhou, C., & Chase, J. G. (2025). A Hysteresis Model Incorporating Varying Pinching Stiffness and Spread for Enhanced Structural Damage Simulation. Applied Sciences, 15(2), 724. https://doi.org/10.3390/app15020724

