Next Article in Journal
Model Test on the Behaviors of Deep Excavation with Lateral Confined Water
Previous Article in Journal
Regolith-Rich PEEK Composite Bricks: Steps Towards Space-Ready Lunar Construction Materials
 
 
Font Type:
Arial Georgia Verdana
Font Size:
Aa Aa Aa
Line Spacing:
Column Width:
Background:
Article

A Polynomial-Time Algorithm for Detection of Uncovered Transitions in a Petri Net-Based Concurrent System

1
Institute of Control and Computation Engineering, University of Zielona Góra, ul. prof. Z. Szafrana 2, 65-516 Zielona Góra, Poland
2
Doctoral School of Exact and Technical Sciences, University of Zielona Góra, al. Wojska Polskiego 69, 65-762 Zielona Góra, Poland
3
Institute of Systems Engineering, University of Science and Technology, Taipa, Macau, China
4
Computer Centre, University of Zielona Góra, ul. Podgórna 50a, 65-246 Zielona Góra, Poland
*
Author to whom correspondence should be addressed.
Appl. Sci. 2025, 15(2), 680; https://doi.org/10.3390/app15020680
Submission received: 3 December 2024 / Revised: 8 January 2025 / Accepted: 9 January 2025 / Published: 11 January 2025

Abstract

This paper introduces a novel algorithm for the efficient verification of a Petri net-based concurrent control system. The proposed method is based on the computation of transition invariant coverage to detect possible errors in the modelled system. Transition invariants play a crucial role in ensuring the correctness and reliability of such systems; however, existing methods often struggle with high computational demand, especially in the case of large and complex systems. The proposed approach addresses this challenge by performing a fast polynomial-time analysis to identify uncovered transitions, thereby streamlining the verification process. The effectiveness and efficiency of the proposed technique is verified experimentally with a set of 386 test modules (benchmarks) and compared against two well-known established methods: the classical method proposed by Martínez–Silva (as a reference algorithm) and PIPE (Platform Independent Petri Net Editor) tool. The results of the experiments confirm high performance of the presented algorithm, which was able to compute results for all the tested cases. In contrast, both the reference algorithm as well as the PIPE tool failed to deliver results for all examined models within one hour. The proposed algorithm is especially useful in early design stages, offering system designers timely insights into potential issues.

1. Introduction

Petri nets are a valuable formalism used for modelling and analysis of concurrent systems [1]. Due to their nature and the possibility of graphical representation, they are specialized in capturing the behaviour of concurrent processes [2]. Such processes naturally appear widely in recent complex systems such as cyber–physical systems [3,4], control systems [5], and manufacturing systems [6]. The application of Petri nets to concurrent systems allows for rigorous verification and validation processes, ensuring the reliability and efficiency of system operations [7]. Through their inherent properties and formal foundations, Petri nets enable the precise modelling of interactions within concurrent systems [8], offering a robust framework [9] for both theoretical exploration and practical implementation [10].
Petri nets are widely applied in the practical applications of concurrent systems. For example, they can be found in systems engineering in the organization of computer access to common resources [1]. Real-life examples of Petri net-based concurrent control systems can be found in [5], including among others beverage machine production, a smart home system, a traffic light controller, and a milling machine. It should be underlined that the last two case studies are oriented towards implementation within field programmable gate arrays (FPGA), with the further possibility of dynamic partial reconfiguration of the device [5]. Another example can be found in a study [11] where a power wheelchair is specified by a Petri net using a digital twin approach. The next case study of a control system presented in a research paper [12] details the design, simulation, and implementation of a supervision system for an industrial pumping system using Petri nets. What is more, a semiconductor fabrication control system is proposed in a paper [13].
Verification of concurrent systems described by Petri nets is an essential aspect of understanding and a key step in design [14]. Concurrent systems, characterized by multiple interacting components operating simultaneously, present unique challenges in terms of synchronization, communication, and resource management [15,16]. Petri nets, with their mathematical formalism, provide a structured approach to verify these systems [17], enabling the possibility of indicating potential fault areas in the model [18,19]. By means of Petri nets, it is possible to identify and analyse crucial properties such as liveness or boundedness which are vital for ensuring system reliability and robustness [20,21]. This paper aims to delve into advanced methods for analysing Petri net-based systems, highlighting an approach based on transition invariants. By leveraging Petri nets for the detailed analysis of concurrent systems, we can achieve more robust designs, ultimately contributing to the development of high-performance and reliable distributed systems [22].
The verification procedures of concurrent systems specified by Petri nets can be divided into two main groups [23]. The first one is based on state space exploration and reachability graph analysis, while the other one utilizes linear algebra techniques e.g., computation of invariants [24]. Let us describe them in detail, with special focus on the second group, since it is the background of the technique shown in this paper.
Analysis of a reachability graph provides valuable insights into the state space of concurrent systems; however, it is often hindered by several significant limitations [5,25,26]. One of the primary challenges refers to the state explosion problem in the analysed Petri net-based concurrent system. Since the number of reachable states grows exponentially with the size of the system [27,28], the analysis time may be very long or it may even not be finished within the assumed time. This makes the construction and analysis of the reachability graph computationally infeasible, especially for large-scale systems [25]. Moreover, such exponential growth increases the memory requirements, which, together with the extremely long computation time, renders the approach impractical for complex large-scale systems. It should be also noted that due to the size, reachability graphs may become overly complex and difficult to interpret, especially when dealing with systems with high concurrency and interaction. Finally, this method does not inherently support the analysis of certain qualitative properties, such as fairness or performance metrics, without extensive modifications or additional tools. These limitations necessitate the development of more scalable and efficient techniques, such as initial verification, to enhance the practical applicability of Petri net analysis for concurrent systems.
Moving on to the linear algebra techniques, invariants are usually applied to examine properties such as boundedness and conservativeness [29]. Moreover, it is possible to perform the examination of deadlock-freeness and even liveness [30]. In general, there are two invariant types in the system specified by a Petri net. The first one, place invariants (p-invariants), formalizes invariant properties of places. The second type, transition invariants (t-invariants), corresponds to cyclic behaviour and properties regarding possible firing sequences of a Petri net [31]. Analysis of a system using both p-invariants and t-invariants has important restrictions [21,31,32]. The first limitation is similar to the drawbacks of reachability graph construction, since the number of invariants may grow exponentially [5,21,33]. Furthermore, invariants permit analysis of the structure of the system, and thus the obtained result may not always be accurate, and additional investigations may be required [30]. Let us describe the most popular techniques of invariant computation by exposing their benefits and weak points.
There are several invariant computation techniques for a Petri net. Common methods usually compute a superset of reachable states while using forward propagation with widening until a fixed point is reached. One technique is based on the Farkas algorithm to solve a set of linear equations. The main logic of this method is based on creating and rewriting graphs with consideration of neighbours. It creates and deletes places while preserving a set of invariants [34]. While the original method works sequentially, there are other algorithms that implement parallel computation by sharing columns and rows of computed matrices between different processes [34]. Note, in the algorithms that as an input use the incidence matrix of a given Petri net, we can transpose the matrix according to our needs, to computer transition invariants instead of place invariants.
Let us present the well-known algorithm for computing t-invariants in Petri nets, initially shown in [35]. The results are generated by a solution of a homogeneous linear equation system over nonnegative integers. This task involves significant mathematical challenges due to the lack of a closed formula for solutions. A solution requires techniques—specifically, a class of algorithms—that systematically generate the solution space by considering all possible candidates. Such a process involves the consequent transformation of the incidence matrix of the Petri net into a zero matrix through appropriate matrix operations. Let us present the algorithm in more detail.
The method starts by augmentation of the incidence matrix with an auxiliary matrix to log the performed operations. This auxiliary matrix is initialized as an identity matrix and is appended to the right of the incidence matrix for computing place invariants or below it for t-invariants, ensuring that the matrix operations apply to the composite structure. The algorithm concludes once all columns of the incidence matrix are zeroed, requiring at the most as many iterations as there are transitions since each iteration zeroes one column. Let us underline that implementation of the algorithm presents two major challenges. Firstly, efficiently eliminating all non-minimal invariants is crucial. Secondly, the necessity to consider all possible linear combinations results in a rapid increase in the number of rows in the intermediate data structure, potentially reaching millions before being reduced to a manageable number. Heuristics, such as selecting columns that yield fewer new rows, are employed to mitigate this effect, although they are not universally effective. This algorithm can be straightforwardly adapted for t-invariants either by directly applying it or by transposing the incidence matrix, as p-invariants of the transposed net correspond to t-invariants of the original net.
To summarize the above, let us underline crucial problems related to the verification of Petri net-based concurrent systems. The main drawback of such an examination is that it relies on the computational complexity of existing methods. Although such techniques are usually effective (that is, they return proper results), they can be highly inefficient (in terms of computation time), especially in the case of complex systems. This means that the verification process may not be completed within the assumed time. Therefore, in practical applications, this may impact the design process. During the development of control systems, it is often necessary to analyse and refine the specification multiple times before arriving at the final specification. When existing methods require excessive computation time, the iterative design process becomes inefficient or infeasible, which can delay or compromise the system’s development. To address these problems, a novel fast verification algorithm is proposed in this paper. The main benefit of the presented method is its polynomial computational complexity, which means that the results can be obtained even for complex concurrent systems. The main contributions of this work are as follows:
  • Proposition of a novel preliminary verification algorithm of Petri net-based concurrent systems. The main advantage of the method is its polynomial computational complexity.
  • Experimental verification of the efficiency (run-time) and effectiveness (proper results) of the proposed algorithm with a set of 386 Petri net-based concurrent systems (including real-life concurrent systems, cyber–physical systems, and manufacturing systems).
  • A case study verification example of a real-life Petri net-based concurrent system. In particular, a home area network (HAN) modelled by a Petri net is verified and used to demonstrate the efficiency of the proposed method.
  • Detailed discussion about the verification techniques of Petri net-based concurrent systems, including detailed analysis of the advantages and limitations of the proposed method.
The paper is structured as follows: the introduction provides an overview of the challenges in verifying Petri net-based concurrent control systems and the motivation for the proposed algorithm. The next section presents the application of t-invariants to the verification of Petri net-based concurrent systems and details the proposed algorithm’s approach to computing transition invariant coverage and identifying uncovered transitions. The experimental setup section presents the evaluation of the proposition using 386 test benchmarks and compares its performance against the reference method and the PIPE tool. Finally, the conclusion summarizes the findings, highlighting the algorithm’s efficiency and practicality in early design stages, and discusses future research directions.

2. Application of T-Invariants to the Verification of Petri Net-Based Concurrent Systems

This section deals with the merit of the paper. Firstly, basic definitions [2,5,24,33,36,37,38,39,40] related to Petri nets are presented. Subsequently, a discussion related to the usefulness of transition invariants in the verification and analysis of Petri net-based systems is presented. Based on the above, the polynomial-time verification algorithm is introduced. Finally, estimation of the computational complexity of the algorithm is shown.

2.1. Definitions and Notations

Graphically, a Petri net is represented by circles (places) and rectangles (transitions), connected by directed arcs. The dynamic behaviour of the modelled system is described by a sequence of transition firings. As a transition, it consumes tokens from input places and produces new ones in its output places [41]. The number of tokens needed to fire a given transition and the placement of the new ones is determined by the direction of input and output arcs [42]. The distribution of the tokens is called marking and symbolizes the state of the modelled system [43]. Let N denote the set of nonnegative integers.
Definition 1. 
A Petri net graph (Petri net structure) is a 3-tuple  ( P , T , F )  , where  P  and  T  are finite, non-empty, and disjoint sets of places and transitions, respectively.  F P × T ( T × P )  is called a flow relation of the net, represented by arcs with arrows from places to transitions or from transitions to places.
Definition 2. 
A marking (a system state) of a Petri net graph  ( P , T , F )  is a mapping  M : P N .  M ( p )  denotes the number of tokens in place  p P .
Definition 3. 
A Petri net (marked Petri net) is a 4-tuple:  N = ( P , T , F , M 0 )  such that  ( P , T , F )  is a Petri net graph, and  M 0  is its initial marking.
Definition 4. 
A transition of a Petri net  N  is enabled if all its input places are marked (holding at least one token). The firing of an enabled transition removes a token from each of its input places and adds a token to each of its output places. A marking  M  is reachable if it can be obtained from the initial marking  M 0  by a sequence of transition firings.
Definition 5. 
A place  p P  of a Petri net  N  is bounded ( k -bounded) if for every reachable marking  M ,  M p k , where  k N . A Petri net  N  is bounded if every place  p P  is bounded. A Petri net  N  is safe if each of its places is 1-bounded.
Definition 6. 
An incidence matrix  A | T | × | P | =  [ a i j ]  (or just  A ) of a Petri net  N  is a matrix of integers, given by  a i j = 1   i f   p j ,   t i F ;   a i j = 1   i f   t i , p j F ;   a i j = 0 ,   otherwise .
Definition 7. 
A transition invariant (t-invariant) is a vector  y : T N  such that  A T y = 0 , where  A T  is the transposed incidence matrix of the Petri net  N . The set of transitions corresponding to non-zero entries in a t-invariant  y  is called a support of a transition invariant.
Definition 8. 
A Petri net  N  is covered by t-invariants if every transition  t T  belongs to at least one support of a t-invariant.
Definition 9. 
A deadlock is a marking such that no transition can be fired. A Petri net  N  is deadlock-free if no reachable marking  M  is a deadlock.
Definition 10. 
A transition  t T  of a Petri net  N  is live for an initial marking  M 0  if for every reachable marking  M  a firing sequence from  M 0  exists, which contains transition  t . A Petri net  N  is live if all its transitions are live for  M 0 .
Liveness is a much stricter property than deadlock-freeness. Indeed, a system may be deadlock-free, but not live. However, if the system is live, it is deadlock-free [33].
Definition 11. 
A matrix  A  is in the reduced row echelon form (RREF) [44], if (1) any rows consisting entirely of zeros are grouped together at the bottom; otherwise, the first non-zero number in the row is 1 (leading one); (2) each column containing a leading one has zeros everywhere else; (3) in any two successive non-zero rows, the leading one in the lower row occurs farther to the right than the leading one in the higher row.
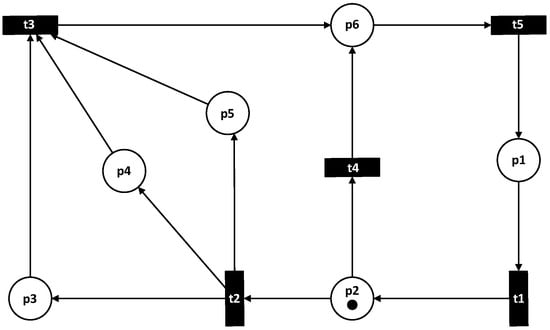
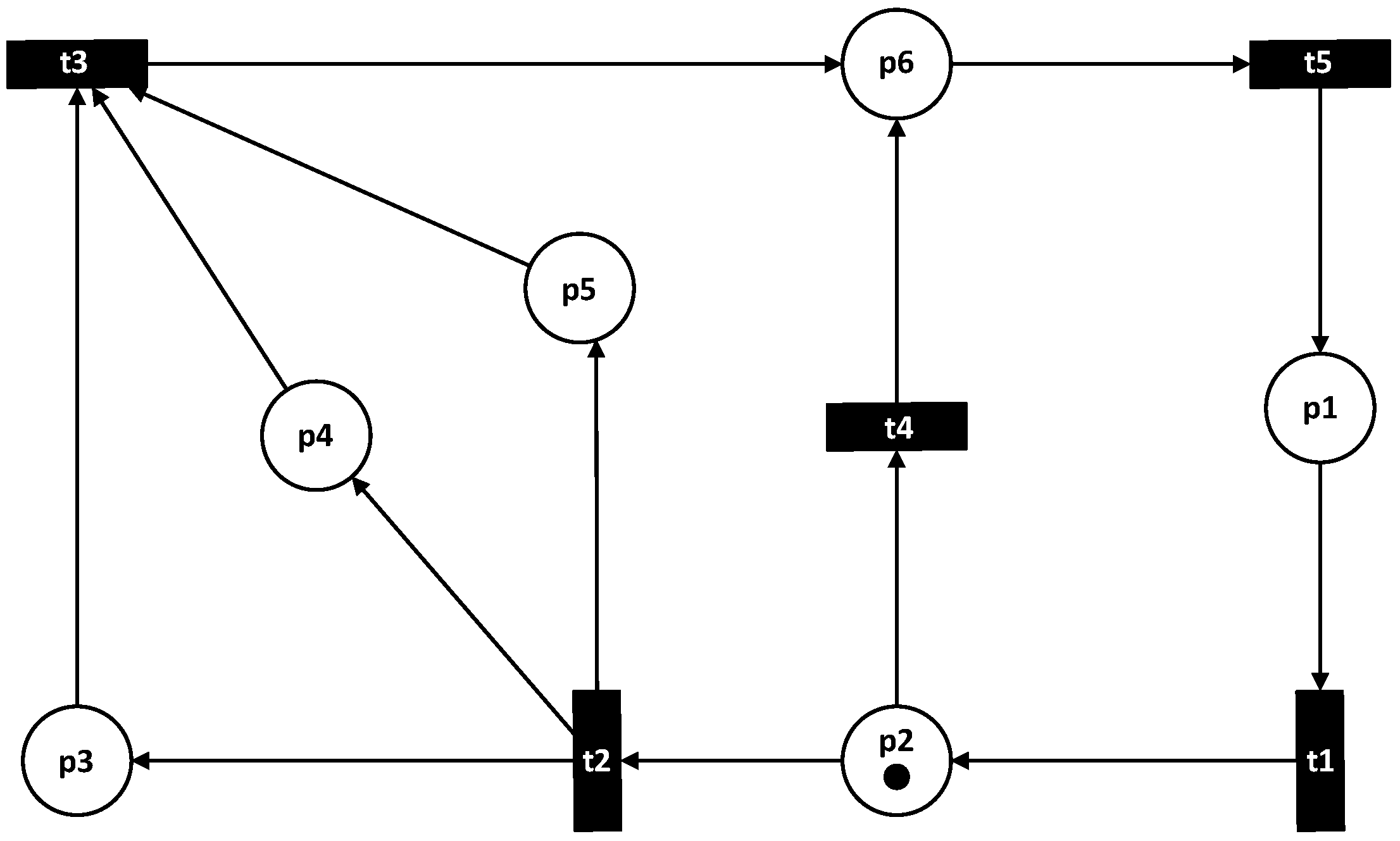
An exemplary Petri net N 1 is shown in Figure 1. There are six places: P = p 1 , , p 6 , and five transitions: T = { t 1 , , t 5 } in the Petri net. The initial marking consists of places: p 2 (formally M 0 p 2 = 1 ). Firing of transition t 2 consumes a token in place p 2 and moves it to places p 3 , p 4 , and p 5 Such a firing changes the state (marking) of the system in which places p 3 , p 4 , and p 5 are marked. Moving on to the properties of the system represented by Petri net N 1 , there are two t-invariants in the system: y 1 =   11101 (with a support t 1 , t 2 , t 3 , t 5 ), y 2 = 10011 (with a support t 1 , t 4 , t 5 ). Note that these two minimal t-invariants determine two cycles in the Petri net, i.e., exactly two different possible scenarios of transition firings from the initial state back to the initially marked places. Since each transition belongs to at least one support, the Petri net is covered by transition invariants. Hence, each transition is a part of a cycle of firings back to the same state. Furthermore, at any marking at least one transition is enabled, which means that the system is deadlock-free. What is more, it is possible to fire any transition at any state of the system (through a sequence of firings), and therefore the system is live. Finally, there is no more than one token in any place at any reachable marking. This means that the analysed Petri net is safe (and consequently bounded).

2.2. Application of T-Invariant Cover in the Verification and Analysis of Petri Net-Based Systems

Broadly speaking, invariant coverage examination is widely used in the analysis of Petri net-based concurrent systems. Invariants have been fundamental concepts in Petri net theory since its inception. Examination of invariant coverage provides insights into the structure of the system modelled by the Petri net [29]. Also, t-invariant coverage proves that the given net is strongly connected, which means that from every marking there is a possible firing sequence to reach every other marking [45]. It is worth noticing that if a bounded system is live, then it is covered by transition invariants [45]. This is an especially important property that we will use in our divagations later. Since invariants represent the cyclic behaviour of the system, lack of coverage of a given transition means that this transition does not participate in a closed cycle [29]. While there is a possibility that it may be fired eventually, tokens produced by it will never recreate the original initial marking of the given Petri net.
In systems biology, analogous concepts include chemical moieties and conservation relations, as well as elementary modes and extreme pathways, which are explored within the context of biochemical networks. To streamline the generating system of the solution space, particularly in the presence of numerous reversible reactions, the concept of generic pathways (representing minimal metabolic behaviour) has been proposed. This approach is especially useful for simplifying complex biochemical networks. For biochemical systems that lack reversible reactions, the concepts of t-invariants, elementary modes, extreme pathways, and generic pathways are effectively equivalent [46].
In manufacturing systems, t-invariants help in identifying invariant properties of workflows, ensuring that certain tasks can be repeated indefinitely without leading to deadlocks or resource contention. In communication networks, they are used to analyse and verify the consistency and reliability of data transmission processes, ensuring that messages can circulate within the network without loss or bottlenecking. Additionally, their application extends to software engineering as well, particularly in the verification of concurrent and parallel programs, where t-invariants help in proving the correctness and reliability of software systems by ensuring that all possible execution paths are accounted for and managed effectively [47,48].
It is worth noticing that if a given transition is not part of any invariant, then it may potentially increase or decrease the number of tokens in the circuit if it fires. This may indicate that the net is unbounded or decreasing the number of tokens [49]. On the other hand, the liveness property in a Petri net means that from any possible marking the net may reach any other marking after several firings [29]. Following this trail, any transition included in any support is fireable. But the ones that are not covered may be permanently disabled [50], thus impacting the liveness property [51].
Transition invariants represent linearly independent solutions of the linear equations from the incidence matrix of a given Petri net. Therefore, they describe the basic system structure, and positive linear combinations of t-invariants can be used to describe the system behaviour in all possible cases (i.e., for any initial marking).
Moreover, invariants are associated with home spaces and semi-flows [52]. A home space in a Petri net is a set of markings (states) that can be reached from any reachable marking in the net. Invariants can be deduced from minimal semi-flows and relate to smaller footprints, which are likely to have an impact on optimization of the analysis. In turn, home spaces are used to prove the liveness of the model [52].
Finally, let us discuss limitations of the methods that are based on transition invariants. The main bottleneck of such techniques is the exponential computational complexity (in the general case). This means that the result may be computed for an exceptionally long time, or never even obtained in the case of extremely complex cases. Furthermore, linear algebra operates on the structure of the Petri net; thus the obtained result is not always sufficient for the exact determination of all properties of the system, and sometimes additional examination is needed.
In conclusion, the lack of t-invariant coverage has the potential to indicate that certain transitions may never fire, which is likely to affect the deadlock-freeness and liveness of a given concurrent system modelled by a Petri net [53]. Moreover, the lack of t-invariant coverage may also influence the other properties of the system, such as boundedness (safeness) [45]. On the other hand, the main limitation of existing methods is the exponential computational complexity [30,35]. Therefore, in this work a novel fast verification algorithm is proposed. The main advantage of the presented technique is its polynomial computational complexity.

2.3. The Proposed Algorithm for Computation of Uncovered Transitions in a Petri Net-Based System

Let us introduce a novel algorithm for computation of uncovered transitions in a Petri net-based concurrent system. The main advantage of the method is its computational complexity, while the results are computed in cubic polynomial time, which we prove later (in Section 2.4).
Algorithm 1 shows the idea of the proposed method. It is assumed that, as the input, an incidence matrix of a Petri net-based concurrent system is provided, and the algorithm results in a set of detected uncovered transitions.
Algorithm 1: Computation of uncovered transitions in a Petri net-based concurrent system.
1:  Input: incidence matrix of concurrent system specified by a Petri net N = P , T , F , M 0
2:  Output: the set of uncovered transitions in a Petri net-based concurrent system
//initialization:
3:  read incidence matrix  A | T | × | P | of N ;
4:  set  u n c o v e r e d T r a n s i t i o n s = ;
//transposition of the incidence matrix:
5:  transpose A | T | × | P | into A | P | × | T | ;
//transformation of the matrix  A | P | × | T | into RREF A | R | × | T | :
6:  for each row  i in P :
7:     find row j  in P such that it contains the leftmost non-zero entry e ;
8:     swap rows i and j ;
9:     divide row i by e ;
10:      for each row  k in P − { i }:
11:       for each column  l in T :
12:          set j = j k A [ i ] [ l ] ;
13:       end for
14:      end for
15:   end for
//computation of uncovered transitions within the matrix  A | R | × | T | :
16:   for each row i  in R [such that i contains only nonnegative entries]:
17:      set e = [the first non-zero entry of for each row i ];
18:      for each column k  in T [such that k is equal to or greater than e ]:
19:       set u = t r u e ;
20:       for each row  j in R :
21:          if A j k < 0  then u = f a l s e ;
22:       end for
23:       if u = t r u e  then u n c o v e r e d T r a n s i t i o n s = u n c o v e r e d T r a n s i t i o n s k ;
24:      end for
25:   end for
//print and return results:
26:   if u n c o v e r e d T r a n s i t i o n s  then
27:      print “Uncovered transitions found in the system.”;
28:      return  u n c o v e r e d T r a n s i t i o n s
29:   else
30:      print “No uncovered transitions found in the system.”;
31:      return [empty set]
32:   end if
From the general point of view, the algorithm consists of two main stages. The first one (lines 6–15) involves transformation of the incidence matrix into the reduced row echelon form (RREF). This operation is performed by basic algebraic transformations, such as multiplication, division, and subtraction. After obtaining the reduced matrix, the algorithm identifies uncovered transitions in the Petri net (lines 16–25). This process is executed in a completely different manner from existing solutions. Instead of searching for the coverage of t-invariants, the algorithm searches for the transitions that cannot form a proper t-invariant. According to Definition 7, an invariant corresponds to a vector that fulfils the equation A T y = 0 . The proposed technique searches for transitions that violate this condition. In particular, the method examines rows (places) holding nonnegative values in order to detect columns (transitions) that contains only nonnegative entries. If there exists such a transition (or transitions), it cannot form a proper t-invariant, since there is no entry that annuls its positive value. Hence, equation A T y = 0 cannot be fulfilled for this particular transition. In order to improve the functionality and run-time, additional properties of the RREF are also taken into account (e.g., leading one, etc.).

2.4. Estimation of Computational Complexity

Let us now estimate the computational complexity of the proposed algorithm. We omit basic operations (such as the reading of the matrix, transposition, and printing of outputs) since they do not influence the complexity of the algorithm. There are two main for…each loops in the algorithm. The first one (lines 6–15) is executed at the most | P | times, and additionally contains a further nested for…each loop. This loop (lines 10–14) also operates on | P | places and involves one more nested for…each loop, this time executed on | T | transitions. Therefore, this part of the algorithm is bounded by O ( P 2 | T | ) .
Moving on to the second part of the algorithm (lines 16–25), there are also three nested foreach loops. The outer loop runs at the most | P | times (note that the number of rows | R | in the reduced matrix is at most equal to the number of rows | P | in the initial matrix). Furthermore, the first inner loop (lines 18–24) is executed for the set of transitions, and it runs at the most | T | times. Finally, the second inner loop (lines 20–22) is executed for rows (places) at the most | P | times. This means that the computational complexity of this part of the algorithm is bounded by O ( P 2 | T | ) .
Concluding, the overall computational complexity of the presented algorithm is bounded by O ( P 2 | T | ) . Therefore, Algorithm 1 operates in cubic polynomial time.

3. Experimental Verification

The experimental verification of the proposed algorithm was performed in terms of efficiency (run-time of the algorithm) and effectiveness (correctness of the obtained results). The results obtained by the proposed method were compared with the results gained by the reference method and by the widely used Petri net analysis tool (both are described in detail later). The evaluation was conducted with a set of benchmarks comprising 386 different classes and complexities of Petri net models, including real-life concurrent systems, cyber–physical systems, and manufacturing systems. To ensure transparency and reproducibility, all benchmarks are publicly available online at https://hippo.uz.zgora.pl/ (accessed on 8 January 2025) [51]. The experiments were performed on a machine with the following equipment: processor with Intel(R) Core(TM) i7-9750H CPU with clock, 2.60 GHz per core, 16 GB of system memory, and Windows 64-bit architecture.
Moving on to the reference method to which the proposed algorithm was compared, a classical and commonly used algorithm of invariant computation was used. The method denoted as the “Martínez–Silva” algorithm [35] is a classical approach widely recognized [46] in Petri net analysis for computing all minimal invariants (that is, not including other invariants). This method is still one of the fundamental solutions for transition computation of invariants in a Petri net-based system [46]. It involves algebraic techniques to derive the t-invariants of a Petri net.
Additionally, the proposed algorithm was compared to one of the most popular modelling and analysis tools, Platform Independent Petri Net Editor 2 (PIPE) [54,55]. This tool is a common platform independent Petri net editor designed for modelling, simulation, and analysis of Petri nets. PIPE provides several built-in functionalities, including invariant computation, state space analysis, as well as simulation, making it a comprehensive tool for Petri net researchers in practice. In order to perform experiments, the proposed technique was compared to the built-in technique of invariant computation implemented within PIPE.
Table 1 presents result of experiments achieved for the selected concurrent systems modelled by Petri nets. The particular columns are as follows. The first column, benchmark, denotes the name of a Petri net-based system. The subsequent two columns include information about the number of places and transitions of the particular benchmark. The fourth column includes results obtained by the reference method (Martínez–Silva algorithm), where the subcolumn result denotes whether the system is covered by t-invariants, and the subcolumn time presents the run-time (in milliseconds) of the algorithm. Similarly, the fifth column contains the results achieved by the PIPE tool, while the last column includes the results obtained by the method proposed in this paper.
To clarify the comparison, “true” denotes that no uncovered transitions are found—the Petri net is covered, while “false” means that uncovered transitions are found. Moreover, timeout indicates that the particular method or tool is not able to compute the results within one hour owing to its computational complexity (denoted as “n/a” in the result). Finally, let us note that although the results of selected (representative) benchmarks are presented, the experiments were conducted for all 386 benchmarks (for all three compared methods, that is, the Martínez–Silva algorithm, PIPE tool, and the proposed algorithm).
Let us analyse the results of the experiments. Looking from the point of view of efficiency (computation time), the proposed method successfully computes the results for all 386 tested cases. However, neither the reference Martínez–Silva algorithm nor the PIPE tool could compute the results for all networks within the target time of one hour. In particular, the Martínez–Silva algorithm was not able to obtain results for 7 benchmarks (1.81% of all tested cases), while the PIPE tool failed to compute results for 47 Petri net-based systems (12.17% of all tested cases). This is an effect of the exponential complexity of those techniques.
Moving on to the effectiveness analysis, the proposed method returned all uncovered transitions for 384 benchmarks (99.84% of all tested concurrent systems). This means that for only for two benchmarks (~0.5%) the algorithm could not find errors in the analysed system. This is an extremely high (and even surprising) value, since the aim of the method was preliminary verification, and it was expected that the proposed method would not be so accurate.
Let us now analyse the selected representative benchmarks in more detail. It can be seen that for relatively small Petri nets (such as bause1) which consists of eleven places and eleven transitions, the run-time of the proposed analysis algorithm is even more than eight times longer than Martínez–Silva method. Nevertheless, let us underline that here we are dealing with fractions of milliseconds. A comparable situation can be found in the case of benchmarks with a dozen or so places and transitions, e.g., bridge, credit_procedure, and 47_two_vehicles. For those benchmarks, the reference algorithm is slightly faster compared to the reference method and PIPE tool. Remarkably interesting results can be seen for systems that contain two hundred places (SHA_decoder, cn_crr25). Although those systems are relatively huge, both the Martínez–Silva algorithm and PIPE tool are faster than the proposed method. This can be explained due to the low level of complexity of such systems, and thus the small number of transition invariants. However, the efficiency of the analysed algorithms changes in the case of more complex systems. For example, for benchmark RSA_v2 (49 places, 58 transitions) the proposed algorithm returns the results within 6.34 ms in contrast to 22.05 ms (almost 250% higher run-time) for the reference algorithm (note that PIPE was not able to compute the results).
The advantage increases for the systems such as manufacturing_AM_deadlock and decision_making_system_v2, where the proposed algorithm is over 73 times faster than the traditional Martínez–Silva method. Finally, the highest profit can be noticed for the systems where the reference algorithm was not able to give a result within an hour, for instance for photovoltaics_single_module (a real-life photovoltaic system, described in [16]). For this benchmark, both reference techniques (the Martínez–Silva algorithm and the PIPE tool) were not able to compute the results, while the proposed algorithm returned the results in just 1.93 ms. Another interesting example is crossroadSM_FPGA (a description of a real-life traffic light controller [19]). This system contains a very large number of reachable states, although it is of relatively average size (32 places, 12 transitions). In this system, the reference method (as well as the proposed one) was able to compute the results, but PIPE failed.
Furthermore, the benchmark airplane_flight_procedure (with just 28 places, 17 transitions) caused problems for both the Martínez–Silva algorithm and PIPE. Neither of them was able complete the analysis within an hour, while the proposed method was able to compute the results in less than one millisecond. This may be highly surprising; however, let us underline that the computational complexity of the proposed algorithm is strongly related to the number of places and transitions (which was proved in the previous subsection), while this system consists of just 28 places and 17 transitions.
In conclusion, let us point out that the performed experiments confirmed theoretical assumptions, since the proposed method computed results for all 386 benchmarks. In contrast, the reference Martínez–Silva algorithm, as well as PIPE, was not able to finish the computation for all the tested cases due to the exponential computational complexity of those methods. Moreover, the proposed algorithm obtained the proper results for 384 (out of 386) tested cases, which, in addition, indicates its very high effectiveness. Let us now explain the functionality of the algorithm in a real-life example of a concurrent system.

4. Case Study

Let us now illustrate the proposed algorithm using a real-life example of a concurrent system. The case study shown in this paper presents a Home Area Network (HAN) that was initially proposed by one of the authors in a study [56]. The system is designed to manage digital devices that are commonly used in the home [57,58,59]. The HAN system enables smart management of digital devices typically found in homes, such as lights, alarms, and appliances, with the main objectives of ensuring resident safety, improving convenience, and reducing electricity demand on the grid. It controls various sensors and devices in a small apartment, including hall, bedroom, bathroom, living room (with an open kitchen), and balcony. Let us describe the system in more detail, and then we will move on to the Petri net model and its verification.

4.1. HAN Description

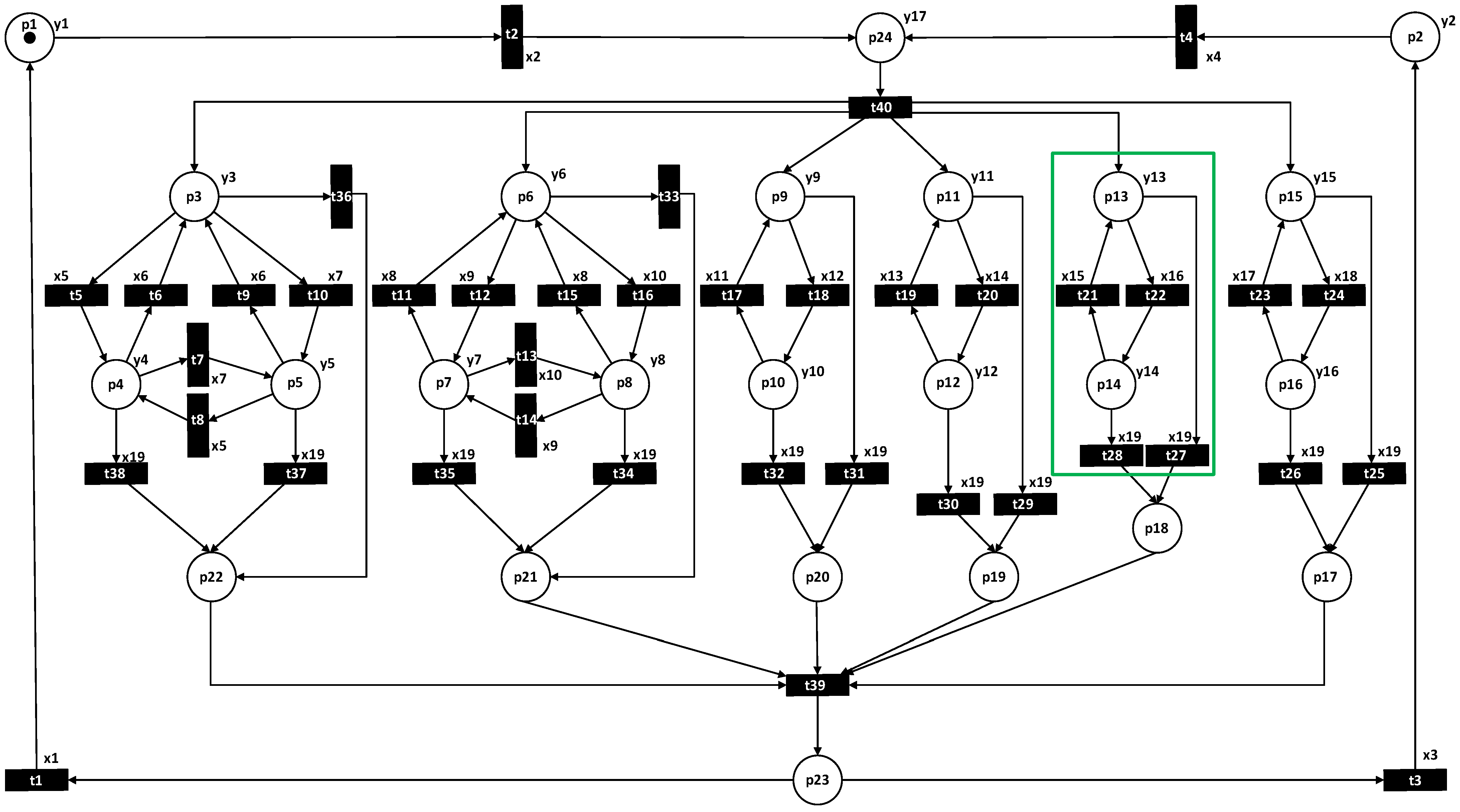
Figure 2 shows a general overview of the presented HAN system. Looking at it from the functional point of view, the HAN system manages 14 binary sensors (e.g., door, window, flood, and motion sensors), and controls various devices such as light switches, an alarm siren, and relay switches connected to appliances such as the fridge, air conditioner, and washing machine. The system may operate in four different modes: “day”, “night”, “guard”, and “alarm”. During the “day” and “night” modes, the system manages lights based on occupancy and outdoor lighting conditions. In the “guard” mode, the system activates security measures, such as alarms and device shut-off, in response to threats like flooding or fire. A key feature of the HAN system is its Demand Side Response (DSR) functionality, where certain appliances are automatically turned off when electricity prices are high, thereby helping to shift demand away from peak periods.
Sensors represent the system’s inputs, detecting changes in the environment and allowing them to enable corresponding transitions in the Petri net. The system manages 14 binary sensors, including door sensors (D1, D2) which detect if the door is opened or closed, window sensors (W1, W2, W3) which detect the state of the windows, flood sensors (F1, F2) which identify potential water leaks in the home, a smoke detector (S1) which detects the presence of smoke or fire, a dusk sensor (U1) which senses outdoor lighting conditions, and motion sensors (M1, M2, M3, M4, M5) located in different rooms to detect movement. Actuators/devices are the outputs of the Petri net model, controlled based on the sensors’ input. The devices managed by the HAN system that are assigned to places include light switches (L1, L2, L3, L4, L5) that control lighting in various rooms. The alarm siren (A1) is activated in case of an emergency such as smoke detection or unauthorized entry. Relay switches (R1–R8) control large household appliances: R1: fridge (kitchen), R2: dishwasher (kitchen), R3: freezer (kitchen), R4: air conditioner (living room), R5: desk lamp (living room), R6, R7: lamps in the bedroom, R8: washing machine (bathroom).
The HAN system operates in different modes. The behaviour of those modes can be described as follows:
  • Day mode: lights are automatically switched on or off based on motion detection and outdoor light levels.
  • Night mode: like day mode, but with more lights activated.
  • Guard mode: used for home security; alarms are activated, and devices are turned off, if necessary, during emergencies like fire or flooding.
  • Alarm mode: triggered by critical events (e.g., fire, intrusions), turning on all lights and the alarm siren, and switching off all high energy-consuming devices to facilitate safe evacuation.

4.2. Petri Net-Based Specification

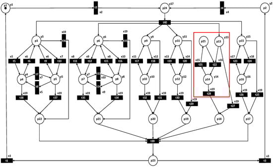
Based on the informal specification, the discussed HAN system is modelled by a Petri net. Figure 3 shows the first version of the formal specification of the system. The key components of the HAN system, such as sensors (e.g., motion, flood, and smoke detectors) and actuators (e.g., alarms, lights, and appliances), were modelled as assignments to places (actuators) and transitions (sensors) in the Petri net, capturing the concurrent behaviours of the system under various operating modes.
The presented Petri net consists of 24 places and 40 transitions. They are associated to 17 output and 19 input signals, respectively. The behaviour of the above-mentioned Petri net-based system is as follows. The initial marked place p 1 refers to the standby mode (state) of the HAN system. The association between the output signals and places as well as the relation between input signals and transitions (together with adequate descriptions) is shown in Table 2. If a logical condition assigned to a signal is fulfilled (logical true), then the associated transition is fired. After firing of the transition, the actions connected to newly marked places are activated (logical high signal).

4.3. T-Invariant Analysis of the Petri Net Model

The presented HAN system was verified in terms of transition invariants. In order to perform this verification, firstly the PIPE tool was used. This tool offers various analytical possibilities. Initially, the basic verification of the system was performed using “State Space Analysis”. This technique did not detect any errors. The PIPE tool returned that the analysed system was bounded, safe, and deadlock-free. However, direct computation of invariants within PIPE failed. The analysis could not be completed due to the long computation time, and the verification was stopped after one hour.
Since PIPE failed to compute invariants, the system was examined using the proposed algorithm. The algorithm computed the results in 4.06 ms and informed us that there were uncovered transitions in the system. In particular, transitions t 21 , t 22 , and t 28 were not covered by t-invariants. This result was quite surprising compared to the information gained by PIPE about boundedness, safeness, and deadlock-freeness. Nevertheless, detailed analysis of the modelled Petri net confirmed errors in the system. Indeed, due to the improper modelling of the system, the detected uncovered transitions never fire. In particular, transition t 22 (marked by red square) cannot be executed since it contains two input arcs, from p 13 and p 25 , but the latter one never becomes marked. Moreover, such a situation means that places p 14 and p 25 are never reachable. In particular, place p 14 is crucial, since it is in response to turning the appliance off in case of high energy prices (activation or deactivation of a DSR). It shows that malfunctioning of the system can expose users to excessive costs.
Although the Petri net model is in line with the assumptions and it is safe and has no deadlocks, the prepared specification clearly does not meet the designer’s expectations. However, verification of the transition invariants allows us to identify potential design errors. Unfortunately, the available method in the PIPE tool, does not allow for efficient verification of this model. PIPE could not accomplish the task in the assumed one hour. This outcome was due to the exponential growth of iterations in the algorithm implemented within PIPE. This exponential complexity made it impossible for the tool to compute all t-invariants within the one-hour time limit. This contrasts with the proposed algorithm, which gave a response in 4.06 ms. The introduced algorithm works in polynomial time, so even for larger Petri nets, the time of operation to obtain a result will be satisfactory.
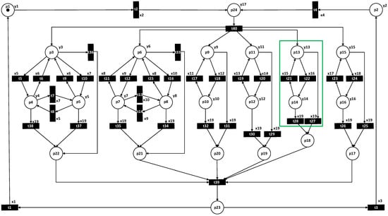
The corrected Petri net model of the HAN system is presented in Figure 4. It can be observed that place p 25 , which was connected to transition t 22 , has been removed (marked by green square). Previously, for transition t 22 to fire, a token was required in both places, p 25 and p 13 , simultaneously. However, it was impossible for tokens to occupy these places concurrently, as a token would have had to arrive at p 25 from p 14 , but p 14 could never receive a token due to being unable to enable the transition t 22 . Consequently, these two places were never marked.
It is important to note that this does not constitute a deadlock, as tokens can still flow through transition t 27 . From a modelling perspective, the Petri net is safe and deadlock-free; however, it does not align with the designer’s intentions, as there are two places with the assigned action y 14 that will never occur. Such issues are common and typical design errors, which are challenging to detect through analysis and particularly tedious to identify through simulation.
The verification of the corrected model was subjected to the same analysis as the previous version, using the PIPE tool. Once again, PIPE was unable to complete the analysis within the assumed time. The proposed algorithm provided a result, confirming that the corrected version is covered by transition invariants, demonstrating its effectiveness; moreover, it achieved this outcome in only 1.26 ms.

5. Conclusions and Discussion About Advantages and Limitations of the Proposed Method

This section summarizes the paper by exposing the main advantages but also limitations of the proposed algorithm. Moreover, plans are presented and briefly discussed.
In this work, a novel fast verification algorithm for Petri net-based concurrent systems is proposed. The technique is based on the analysis of the system by searching for transitions that are not covered by t-invariants. Such uncovered transitions usually refer to critical issues in the system, such as deadlocks, lack of liveness, or unboundedness. The existing methods may be inefficient due to exponential computational complexity. This means that the Petri net-based concurrent system can be examined for an exceptionally long time, or never even properly verified (the results are not obtained within the assumed time).
The main advantage of the proposed technique definitely relates to the polynomial computational complexity. As is shown in Section 2.4, the run-time of the algorithm is cubic polynomial O ( P 2 | T | ) , where | P | denotes the number of places and T denotes the number of transitions in the system. Furthermore, the experimental setup confirmed the high efficiency and effectiveness of the proposed algorithm. The method is able to compute the results for all tested cases. In contrast, the reference Martínez–Silva algorithm, as well as the PIPE tool could not obtain the results for all benchmarks. Furthermore, the results of the experiments indicated that for only two benchmarks the proposed method did not find the proper solution (we will discuss this later in detail). This means that the proposed algorithm computed the correct results for 384 tested cases. What is important is that the method clearly points out the possible incorrect transitions in the system. This is extremely important for the designers since they can immediately check their systems without additional time-consuming analysis and verification. Finally, let us underline that the verification of uncovered transitions performed using the proposed method permits the detection of errors in a system which is bounded, safe, and even deadlock-free. The presented case study example indicates that there exist systems for which techniques or tools (e.g., PIPE) do not show any errors in the system, although particular transitions and places are not reachable. Such a situation may be crucial from the functional point of view, since required operations (such as turning off demand of high energy, or even more crucial operations, like turning on an alarm system) are never executed.
Besides the above listed benefits, the presented technique also has certain limitations. The first relates to the improper results of the analysis. Since the technique is based on linear algebra, it analyses the pure structure of the system (e.g., without taking the initial state into account). Moreover, the method searches for uncovered transitions in the system by examination of the transformed incidence matrix (c.f. Section 2.3) and identifies rows containing only a leading one. A leading one in a row indicates that the corresponding transition (linked to the column) cannot be covered by any t-invariant, as t i = 0 . Once the algorithm finishes computation, it provides a list of transitions that are definitively uncovered. This means that in some cases not all uncovered transitions may be detected. Indeed, the results of the experiments show that there are two benchmarks (out of 386) where the proposed method could not find all the uncovered transitions. On the other hand, such tests (~0.5%) seem to be extremely few, since the vast majority of the benchmarks analysed identified all the uncovered transitions. It is also important to emphasize that our method is not intended to replace exact analysis but to serve as a tool for the initial verification of Petri net models. This approach is particularly beneficial during the early stages of system design, where quick feedback is essential for iterative refinement. While exact analysis can detect all uncovered transitions, it is exponentially time-bounded, making it impractical for rapid verification, especially when the system’s complexity increases.
Another limitation is the need for the use a Petri net as a modelling tool. This can be considered either as an advantage (for designers familiar with this technique) or a limitation (for people unfamiliar with Petri nets). Nevertheless, in our consideration we assumed that Petri nets are relatively easy to use. Moreover, the growing popularity of Petri net-based tools and algorithms among the designers of concurrent systems, cyber–physical systems, and (especially) manufacturing systems (as well as in related companies) encouraged us to follow this direction.
Plans include further development of the proposed algorithm. The results obtained are very promising; thus, we are considering enhancing the technique. In particular, a detailed analysis of the improperly analysed benchmarks will be conducted. Although there are only two such benchmarks, this examination may help us understand why the proposed method is not able to find uncovered transitions. To overcome this limitation and further improve the algorithm, future research is being pursued to identify additional conditions under which a transition can be confirmed as uncovered. One promising direction is the reordering of columns in the matrix during the RREF computation. By exploring alternative column orders, we aim to improve the algorithm’s ability to detect more or even all of the uncovered transitions. Furthermore, it is planned to combine the proposed method with place invariant analysis. It seems that such a conjunction may benefit the synergy of the analysis of both place and transitions in the Petri net-based system.

Author Contributions

Conceptualization, M.W. and R.W.; methodology, R.W. and M.W.; software, M.M., R.W., M.W. and D.K.; validation, R.W. and M.W.; formal analysis, R.W., M.W., Z.L. and A.O.; investigation, M.W., R.W. and M.M.; resources, M.W., R.W. and M.M.; data curation, M.M.; writing—original draft preparation, M.W. and M.M.; writing—review and editing, R.W., Z.L., A.O. and M.W.; visualization, M.M.; supervision, R.W., M.W. and Z.L.; project administration, M.W.; funding acquisition, R.W. All authors have read and agreed to the published version of the manuscript.

Funding

This research received no external funding.

Institutional Review Board Statement

Not applicable.

Informed Consent Statement

Not applicable.

Data Availability Statement

Dataset available on request from the authors.

Conflicts of Interest

The authors declare no conflicts of interest.

References

  1. Girault, C.; Valk, R. Petri Nets for Systems Engineering: A Guide to Modeling, Verification, and Applications; Springer: Berlin/Heidelberg, Germany, 2003; ISBN 978-3-540-41217-5. [Google Scholar]
  2. Peterson, J.L. Petri Net Theory and the Modeling of Systems; Prentice Hall PTR: Upper Saddle River, NJ, USA, 1981; ISBN 978-0-13-661983-3. [Google Scholar]
  3. Lee, E.A.; Seshia, S.A. Introduction to Embedded Systems: A Cyber-Physical Systems Approach, 2nd ed.; MIT Press: Cambridge, MA, USA, 2016; ISBN 978-0-262-53381-2. [Google Scholar]
  4. Bhattacharjya, A. A Holistic Study on the Use of Blockchain Technology in CPS and IoT Architectures Maintaining the CIA Triad in Data Communication. Int. J. Appl. Math. Comput. Sci. 2022, 32, 403–413. [Google Scholar] [CrossRef]
  5. Wiśniewski, R. Prototyping of Concurrent Control Systems Implemented in FPGA Devices. In Advances in Industrial Control; Springer International Publishing: Cham, Switzerland, 2017; ISBN 978-3-319-45810-6. [Google Scholar]
  6. Barkalov, A.; Titarenko, L.; Mielcarek, K. Improving Characteristics of LUT-Based Mealy FSMs. Int. J. Appl. Math. Comput. Sci. 2020, 30, 745–759. [Google Scholar] [CrossRef]
  7. Cortés, L.A.; Eles, P.; Peng, Z. Modeling and Formal Verification of Embedded Systems Based on a Petri Net Representation. J. Syst. Archit. 2003, 49, 571–598. [Google Scholar] [CrossRef]
  8. Gomes, L.; Natário, D.; Costa, A.; Barros, J.-P.; Campos-Rebelo, R. Event-Based Modeling of Input Signal Behaviors for Discrete-Event Controllers. Appl. Sci. 2024, 14, 5289. [Google Scholar] [CrossRef]
  9. Fettke, P.; Reisig, W. Understanding the Digital World: Modeling with HERAKLIT; Springer Nature: Cham, Switzerland, 2024; ISBN 978-3-031-61897-0. [Google Scholar]
  10. van der Aalst, W.M.P.; van Hee, K.M.; ter Hofstede, A.H.M.; Sidorova, N.; Verbeek, H.M.W.; Voorhoeve, M.; Wynn, M.T. Soundness of workflow nets: Classification, decidability, and analysis. Form. Asp. Comput. 2011, 23, 333–363. [Google Scholar] [CrossRef]
  11. Lagartinho-Oliveira, C.; Moutinho, F.; Gomes, L. Extending IOPT-Nets with High-Level Features: A Power Wheelchair Digital Twin Case Study. In Proceedings of the 2024 8th International Young Engineers Forum on Electrical and Computer Engineering (YEF-ECE), Caparica/Lisbon, Portugal, 5 July 2024; pp. 76–81. [Google Scholar]
  12. Villafruela, L.; Nuñez-Alvarez, J.R. Design of an Integrated Automation and Control System Using Petri Nets: Case Study. J. Appl. Res. Technol. 2023, 21, 169–180. [Google Scholar]
  13. Zhou, M.; Li, H.-X.; Weijnen, M. Modeling, Analysis, Scheduling, and Control of Cluster Tools in Semiconductor Fabrication. In Contemporary Issues in Systems Science and Engineering; IEEE: New York, NY, USA, 2015; pp. 289–315. ISBN 978-1-119-03696-8. [Google Scholar]
  14. Zhu, Q.; Zhou, M.; Qiao, Y.; Wu, N. Petri Net Modeling and Scheduling of a Close-Down Process for Time-Constrained Single-Arm Cluster Tools. IEEE Trans. Syst. Man Cybern. Syst. 2018, 48, 389–400. [Google Scholar] [CrossRef]
  15. Lee, E.A. Cyber Physical Systems: Design Challenges. In Proceedings of the 2008 11th IEEE International Symposium on Object and Component-Oriented Real-Time Distributed Computing (ISORC), Orlando, FL, USA, 5–7 May 2008; pp. 363–369. [Google Scholar]
  16. Wiśniewski, R.; Opara, A.; Wojnakowski, M. Design and Optimization of a Petri Net-Based Concurrent Control System toward a Reduction in the Resources in a Field-Programmable Gate Array. Appl. Sci. 2024, 14, 5212. [Google Scholar] [CrossRef]
  17. Huang, B.; Zhou, M.; Wang, C.; Abusorrah, A.; Al-Turki, Y. Deadlock-Free Supervisor Design for Robotic Manufacturing Cells With Uncontrollable and Unobservable Events. IEEE/CAA J. Autom. Sin. 2021, 8, 597–605. [Google Scholar] [CrossRef]
  18. Jasiul, B.; Szpyrka, M.; Śliwa, J. Formal Specification of Malware Models in the Form of Colored Petri Nets. In Computer Science and Its Applications: Ubiquitous Information Technologies; Park, J.J., Jong, H., Stojmenovic, I., Jeong, H.Y., Yi, G., Eds.; Springer: Berlin/Heidelberg, Germany, 2015; pp. 475–482. [Google Scholar]
  19. Wiśniewski, R.; Wojnakowski, M.; Li, Z. Design and Verification of Petri-Net-Based Cyber-Physical Systems Oriented toward Implementation in Field-Programmable Gate Arrays—A Case Study Example. Energies 2023, 16, 67. [Google Scholar] [CrossRef]
  20. Rocha, J.-I.; Gomes, L.; Dias, O.P. Petri Net Verification Techniques on Synchronous Dataflow Models. In Proceedings of the IECON 2011—37th Annual Conference of the IEEE Industrial Electronics Society, Melbourne, Australia, 7–10 November 2011; pp. 3792–3797. [Google Scholar]
  21. Wojnakowski, M.; Wiśniewski, R.; Bazydło, G.; Popławski, M. Analysis of Safeness in a Petri Net-Based Specification of the Control Part of Cyber-Physical Systems. Appl. Math. Comput. Sci. 2021, 31, 647–657. [Google Scholar] [CrossRef]
  22. Uzam, M.; Zhou, M. An Iterative Synthesis Approach to Petri Net-Based Deadlock Prevention Policy for Flexible Manufacturing Systems. IEEE Trans. Syst. Man Cybern. Part A Syst. Hum. 2007, 37, 362–371. [Google Scholar] [CrossRef]
  23. Wiśniewski, R.; Patalas-Maliszewska, J.; Wojnakowski, M.; Topczak, M. Modeling and Analysis of a Petri Net-Based System Supporting Implementation of Additive Manufacturing Technologies. IEEE Trans. Autom. Sci. Eng. 2023, 1–11. [Google Scholar] [CrossRef]
  24. Best, E.; Devillers, R.; Koutny, M. Petri Net Algebra. In Monographs in Theoretical Computer Science; An EATCS Series; Springer: Berlin/Heidelberg, Germany, 2001; ISBN 978-3-540-67398-9. [Google Scholar]
  25. Lipton, R.J. The Reachability Problem Requires Exponential Space. In Technical Report 62; Yale University: New Haven, CT, USA, 1976. [Google Scholar]
  26. Wojnakowski, M.; Wiśniewski, R.; Popławski, M. A Polynomial-Time Algorithm for Detecting Potentially Unbounded Places in a Petri Net-Based Concurrent System. In Euro-Par 2023: Parallel Processing Workshops; Zeinalipour, D., Blanco Heras, D., Pallis, G., Herodotou, H., Trihinas, D., Balouek, D., Diehl, P., Cojean, T., Fürlinger, K., Kirkeby, M.H., et al., Eds.; Springer Nature: Cham, Switzerland, 2024; pp. 277–283. [Google Scholar]
  27. Li, J.; Yu, X.; Zhou, M. Lean Reachability Tree for Petri Net Analysis. In Proceedings of the 2016 IEEE 13th International Conference on Networking, Sensing, and Control (ICNSC), Mexico City, Mexico, 28–30 April 2016; pp. 1–6. [Google Scholar]
  28. Lu, F.; Zeng, Q.; Zhou, M.; Bao, Y.; Duan, H. Complex Reachability Trees and Their Application to Deadlock Detection for Unbounded Petri Nets. IEEE Trans. Syst. Man Cybern. Syst. 2019, 49, 1164–1174. [Google Scholar] [CrossRef]
  29. Sankaranarayanan, S.; Sipma, H.; Manna, Z. Petri Net Analysis Using Invariant Generation. In Verification: Theory and Practice: Essays Dedicated to Zohar Manna on the Occasion of His 64th Birthday; Dershowitz, N., Ed.; Lecture Notes in Computer Science; Springer: Berlin/Heidelberg, Germany, 2003; pp. 682–701. ISBN 978-3-540-39910-0. [Google Scholar]
  30. Wiśniewski, R.; Patalas-Maliszewska, J.; Wojnakowski, M.; Topczak, M.; Zhou, M. Fast Verification of Petri Net-Based Model of Industrial Decision-Making Systems: A Case Study. In Proceedings of the 2023 IEEE International Conference on Systems, Man, and Cybernetics (SMC), Honolulu, HI, USA, 1–4 October 2023; pp. 3316–3322. [Google Scholar]
  31. Cayir, S.; Ucer, M. An Algorithm to Compute a Basis of Petri Net Invariants. In Proceedings of the 4th ELECO International Conference on Electrical and Electronics Engineering, Bursa, Turkey, 7–11 December 2005. [Google Scholar]
  32. Xiong, P.; Zhou, M.; Pu, C. A Petri Net Siphon Based Solution to Protocol-Level Service Composition Mismatches. In Proceedings of the 2009 IEEE International Conference on Web Services, Washington, DC, USA, 6–10 July 2009; pp. 952–958. [Google Scholar]
  33. Murata, T. Petri Nets: Properties, Analysis and Applications. Proc. IEEE 1989, 77, 541–580. [Google Scholar] [CrossRef]
  34. Marinescu, D.C.; Beaven, M.; Stansifer, R. A Parallel Algorithm for Computing Invariants of Petri Net Models. In Proceedings of the Fourth International Workshop on Petri Nets and Performance Models PNPM91, Melbourne, Australia, 2–5 December 1991; pp. 136–143. [Google Scholar]
  35. Martínez, J.; Silva, M. A Simple and Fast Algorithm to Obtain All Invariants of a Generalised Petri Net. In Application and Theory of Petri Nets; Girault, C., Reisig, W., Eds.; Springer: Berlin/Heidelberg, Germany, 1982; pp. 301–310. [Google Scholar]
  36. Karatkevich, A. Dynamic Analysis of Petri Net-Based Discrete Systems. In Lecture Notes in Control and Information Sciences; Springer: Berlin/Heidelberg, Germany, 2007; ISBN 978-3-540-71464-4. [Google Scholar]
  37. Li, Z.; Zhou, M. Deadlock Resolution in Automated Manufacturing Systems. In Advances in Industrial Control; Springer: London, UK, 2009; ISBN 978-1-84882-243-6. [Google Scholar]
  38. David, R.; Alla, H. Discrete, Continuous, and Hybrid Petri Nets, 2nd ed.; Springer: Berlin/Heidelberg, Germany, 2010; ISBN 978-3-642-10668-2. [Google Scholar]
  39. Fishwick, P.A. (Ed.) Handbook of Dynamic System Modeling; Chapman and Hall/CRC: New York, NY, USA, 2007; ISBN 978-0-429-13904-8. [Google Scholar]
  40. Hu, S.; Li, Z.; Wisniewski, R. Optimal Sensor Selection for Diagnosability Enforcement in Labeled Petri Nets. IEEE Trans. Syst. Man Cybern. Syst. 2024, 54, 2965–2977. [Google Scholar] [CrossRef]
  41. Best, E. Structure Theory of Petri Nets: The Free Choice Hiatus. In Petri Nets: Central Models and Their Properties; Brauer, W., Reisig, W., Rozenberg, G., Eds.; Springer: Berlin/Heidelberg, Germany, 1987; pp. 168–205. [Google Scholar]
  42. Reisig, W. Nets Consisting of Places and Transistions. In Petri Nets: An Introduction; Reisig, W., Ed.; EATCS Monographs on Theoretical Computer Science; Springer: Berlin/Heidelberg, Germany, 1985; pp. 62–76. ISBN 978-3-642-69968-9. [Google Scholar]
  43. Reisig, W. Net Invariants. In Petri Nets: An Introduction; Reisig, W., Ed.; Springer: Berlin/Heidelberg, Germany, 1985; ISBN 978-3-642-69970-2. [Google Scholar]
  44. Yuster, A.T.; Yuster, T. The Reduced Row Echelon Form of a Matrix Is Unique: A Simple Proof. Math. Mag. 1984, 57, 93–94. [Google Scholar] [CrossRef]
  45. Desel, J.; Esparza, J. Free Choice Petri Nets. In Cambridge Tracts in Theoretical Computer Science; Cambridge University Press: Cambridge, UK, 1995; ISBN 978-0-521-01945-3. [Google Scholar]
  46. Heiner, M. Understanding Network Behavior by Structured Representations of Transition Invariants. In Algorithmic Bioprocesses; Condon, A., Harel, D., Kok, J.N., Salomaa, A., Winfree, E., Eds.; Springer: Berlin/Heidelberg, Germany, 2009; pp. 367–389. ISBN 978-3-540-88869-7. [Google Scholar]
  47. Zhang, Y.; Qiu, M.; Tsai, C.-W.; Hassan, M.M.; Alamri, A. Health-CPS: Healthcare Cyber-Physical System Assisted by Cloud and Big Data. IEEE Syst. J. 2017, 11, 88–95. [Google Scholar] [CrossRef]
  48. Suraj, Z.; Grochowalski, P. PNeS in Modelling, Control and Analysis of Concurrent Systems. In Rough Sets; Ramanna, S., Cornelis, C., Ciucci, D., Eds.; Springer International Publishing: Cham, Switzerland, 2021; pp. 279–293. [Google Scholar]
  49. Chini, P.; Furbach, F. Petri Net Invariant Synthesis. In Networked Systems; Echihabi, K., Meyer, R., Eds.; Springer International Publishing: Cham, Switzerland, 2021; pp. 187–205. [Google Scholar]
  50. Jančar, P.; Purser, D. Structural Liveness of Petri Nets Is ExpSpace-Hard and Decidable. Acta Inform. 2019, 56, 537–552. [Google Scholar] [CrossRef]
  51. Wiśniewski, R.; Bazydło, G.; Wojnakowski, M.; Popławski, M. Hippo-CPS: A Tool for Verification and Analysis of Petri Net-Based Cyber-Physical Systems. In Application and Theory of Petri Nets and Concurrency; Gomes, L., Lorenz, R., Eds.; Lecture Notes in Computer Science; Springer Nature: Cham, Switzerland, 2023; Volume 13929, pp. 191–204. ISBN 978-3-031-33619-5. [Google Scholar]
  52. Memmi, G. Home Spaces and Invariants to Analyze Parameterized Petri Nets. arXiv 2024. [Google Scholar] [CrossRef]
  53. Kovalyov, A.; Esparza, J. A Polynomial Algorithm to Compute the Concurrency Relation of Free-Choice Signal Transition Graphs; Technische Universität München: München, Germany, 1995. [Google Scholar]
  54. Knottenbelt, W. PIPE v2.5: A Petri Net Tool for Performance Modelling. In Proceedings of the 23rd Latin American Conference on Informatics (CLEI 2007), San Jose, Costa Rica, 9–12 October 2007; Faculty of Law, Josip Juraj Strossmayer University in Osijek: Osijek, Croatia, 2007; Volume 12. [Google Scholar]
  55. Dingle, N.J.; Knottenbelt, W.J.; Suto, T. PIPE2: A Tool for the Performance Evaluation of Generalised Stochastic Petri Nets. ACM Sigmetrics Perform. Eval. Rev. 2009, 36, 34–39. [Google Scholar] [CrossRef]
  56. Wiśniewski, R.; Bazydło, G.; Gomes, L.; Costa, A. Dynamic Partial Reconfiguration of Concurrent Control Systems Implemented in FPGA Devices. IEEE Trans. Ind. Inform. 2017, 13, 1734–1741. [Google Scholar] [CrossRef]
  57. Bazydło, G. Designing Reconfigurable Cyber-Physical Systems Using Unified Modeling Language. Energies 2023, 16, 1273. [Google Scholar] [CrossRef]
  58. Bazydło, G.; Wermiński, S. Demand Side Management through Home Area Network Systems. Int. J. Electr. Power Energy Syst. 2018, 97, 174–185. [Google Scholar] [CrossRef]
  59. Bhattacharjya, A.; Zhong, X.; Wang, J.; Li, X. Chapter 13—Secure IoT Structural Design for Smart Homes. In Smart Cities Cybersecurity and Privacy; Rawat, D.B., Ghafoor, K.Z., Eds.; Elsevier: Amsterdam, The Netherlands, 2019; pp. 187–201. ISBN 978-0-12-815032-0. [Google Scholar]
Figure 1. An exemplary Petri net with two minimal t-invariants.
Figure 1. An exemplary Petri net with two minimal t-invariants.
Applsci 15 00680 g001
Figure 2. General overview of the HAN system.
Figure 2. General overview of the HAN system.
Applsci 15 00680 g002
Figure 3. HAN Petri net-based specification.
Figure 3. HAN Petri net-based specification.
Applsci 15 00680 g003
Figure 4. The corrected HAN Petri net-based specification.
Figure 4. The corrected HAN Petri net-based specification.
Applsci 15 00680 g004
Table 1. Sample of experimental research.
Table 1. Sample of experimental research.
BenchmarkPlacesTransitionsReference MethodPIPE ToolProposed Method
ResultTime [ms]ResultTime [ms]ResultTime [ms]
SHA_decoder200170true10.06true65,385true150.35
cn_crr2520051true1.42true34.00true16.00
photovoltaics_single_module139162n/atimeoutn/atimeouttrue69.06
manufacturing_AM_deadlock7573false854.1false29,131false11.97
decision_making_system_v27573false899.8false9697false12.21
lnet_p8n15140false0.53n/atimeoutfalse5.59
RSA_v14958n/atimeoutn/atimeouttrue5.79
RSA_v24958true22.05n/atimeouttrue6.34
effectiveness_AM_v2_unsafe4852n/atimeoutn/atimeoutfalse5.64
state_space484848true0.67true3282true3.20
zuberek54131true0.80true2.00true2.12
five_food_preparation_lines3733true0.38true1153true2.48
crossroadSM_FPGA3212true0.12n/atimeouttrue0.50
airplane_flight_procedure2817n/atimeoutn/atimeouttrue0.80
HAN2440true255,822n/atimeouttrue1.26
two_lanes_long2140n/atimeoutn/atimeouttrue1.93
66_greenhouse_automation1722true8.36true859.00true0.70
automation31716false0.206false277.000true0.831
bause11111false0.10false134.00false0.87
esparza11110false0.064false261.000true0.397
credit_procedure108false0.16false93.00false0.90
bridge86true0.03true309.00true0.23
47_two_vehicles76true0.03true406.00true0.24
Table 2. Assignment of signals to places and transitions.
Table 2. Assignment of signals to places and transitions.
Output SignalPlaceActionInput
Signal
TransitionLogical Condition
y 1 p 1 Standby x 4 t 4 AOFF
y 2 p 2 Alarm on A1, L1, L2, L3, L4, L5 x 5 t 5   t 8 U 1 M 5 n i g h t
y 3 p 3 Bedroom light off x 6 t 6   t 9 ¬ M 5
y 4 p 4 Table lamps on R6, R7 x 7 t 7   t 10 U 1 M 5 ( d a y g u a r d )
y 5 p 5 Bedroom light on L5 x 8 t 11   t 15 ¬ M 4
y 6 p 6 Living room light off x 9 t 12   t 14 U 1 M 4 n i g h t
y 7 p 7 Desk lamp on R5 x 10 t 13   t 16 U 1 M 4 ( d a y g u a r d )
y 8 p 8 Living room light on L4 x 11 t 17 ¬ M 3
y 9 p 9 Kitchen light off x 12 t 18 U 1 M 3
y 10 p 10 Kitchen light on L3 x 13 t 19 ¬ M 2
y 11 p 11 Bathroom light off x 14 t 20 M 2
y 12 p 12 Bathroom light on L2 x 15 t 21 ¬ D S R
y 13 p 13 Low price of energy on R1, R2, R3, R4, R8 x 16 t 22 D S R
y 14 p 14 High price of energy x 17 t 23 ¬ M 1
y 15 p 15 Hall light off x 18 t 24 U 1 M 1
y 16 p 16 Hall light on L1 x 19 t 25   t 26
t 27   t 28
t 29   t 30  
t 31   t 32
t 33   t 34
t 35   t 36
t 37   t 38
[ ( ( g u a r d ( M 1 M 2 M 3 M 4 M 5
D 1 D 2 W 1 W 2 W 3 ) F 1
F 2 S 1 ) ¬ A O F F A L A R M ] O F F  
y 17 p 24 System on
Input
signal
TransitionLogical condition
x 1 t 1 OFF
x 2 t 2 d a y n i g h t g u a r d
x 3 t 3   ( ( g u a r d ( M 1 M 2 M 3
M 4 M 5 D 1 D 2 W 1
W 2 W 3 ) F 1 F 2
S 1 ) ¬ A O F F A L A R M
Disclaimer/Publisher’s Note: The statements, opinions and data contained in all publications are solely those of the individual author(s) and contributor(s) and not of MDPI and/or the editor(s). MDPI and/or the editor(s) disclaim responsibility for any injury to people or property resulting from any ideas, methods, instructions or products referred to in the content.

Share and Cite

MDPI and ACS Style

Wojnakowski, M.; Maliński, M.; Wiśniewski, R.; Obuchowicz, A.; Li, Z.; Konarczak, D. A Polynomial-Time Algorithm for Detection of Uncovered Transitions in a Petri Net-Based Concurrent System. Appl. Sci. 2025, 15, 680. https://doi.org/10.3390/app15020680

AMA Style

Wojnakowski M, Maliński M, Wiśniewski R, Obuchowicz A, Li Z, Konarczak D. A Polynomial-Time Algorithm for Detection of Uncovered Transitions in a Petri Net-Based Concurrent System. Applied Sciences. 2025; 15(2):680. https://doi.org/10.3390/app15020680

Chicago/Turabian Style

Wojnakowski, Marcin, Maxim Maliński, Remigiusz Wiśniewski, Andrzej Obuchowicz, Zhiwu Li, and Dawid Konarczak. 2025. "A Polynomial-Time Algorithm for Detection of Uncovered Transitions in a Petri Net-Based Concurrent System" Applied Sciences 15, no. 2: 680. https://doi.org/10.3390/app15020680

APA Style

Wojnakowski, M., Maliński, M., Wiśniewski, R., Obuchowicz, A., Li, Z., & Konarczak, D. (2025). A Polynomial-Time Algorithm for Detection of Uncovered Transitions in a Petri Net-Based Concurrent System. Applied Sciences, 15(2), 680. https://doi.org/10.3390/app15020680

Note that from the first issue of 2016, this journal uses article numbers instead of page numbers. See further details here.

Article Metrics

Back to TopTop