You are currently viewing a new version of our website. To view the old version click .
Applied Sciences
  • Article
  • Open Access

10 January 2025

Removal of Zn(II), Cu(II) and Pb(II) from Rainwater by White Bean Peel: Optimization by Response Surface Methodology

,
and
1
Department of Chemistry, University of Aveiro, Campus Universitário de Santiago, 3810-193 Aveiro, Portugal
2
CICECO & Department of Chemistry, University of Aveiro, Campus Universitário de Santiago, 3810-193 Aveiro, Portugal
3
CESAM & Department of Chemistry, University of Aveiro, Campus Universitário de Santiago, 3810-193 Aveiro, Portugal
*
Author to whom correspondence should be addressed.
This article belongs to the Special Issue New Approaches to Water Treatment: Challenges and Trends

Abstract

Potentially toxic elements (PTEs) have been found in high levels in rainwater, highlighting the importance of removing them when the water is intended for domestic use. In this work, white bean peel was evaluated as sorbent for the removal of a mixture of PTEs from rainwater, namely Zn(II), Cu(II) and Pb(II). A uniform experimental design was used to evaluate the sorption and to optimize the removal process by response surface methodology. The biosorbent reduced the PTEs concentration in the solution, and their removal increased with the increase of the initial concentration and with time. The removal of Cu(II) and Pb(II) was affected by the pH of the solution since, at pH 7.0 for Cu(II), and at pH 5.6 and 7.0 for Pb(II), a decrease occurred in the removal. The optimal conditions for removal, 6 h of contact time between the sorbent and the solution, were applied to rainwater samples spiked with the mixture of PTEs and resulted in removals of 30–90% for Zn(II), 11–78% for Cu(II), and 11–97% for Pb(II), generally lower than those expected by the models, 91% for Zn(II) and 52% for Cu(II), highlighting that the rainwater matrix interferes with the removal of PTEs by peel. However, the white bean peel may be an alternative as sorbent to reduce Zn(II), Cu(II), and Pb(II) concentrations in rainwater, since it is a natural and sustainable material.

1. Introduction

Fresh water is vital for human health, for nature, and for the functioning of economies and societies. Because freshwater resources are threatened by various pressures, such as higher water consumption, urban development, and climate change, it becomes important to consider rainwater as an alternative resource. Furthermore, rainwater harvesting can be potentiated in adaptation to climate change [1], since the occurrence of episodes of high precipitation are becoming frequent all over the world [1].
Several potentially toxic elements (PTEs) have been found in rainwater, such as chromium, copper, lead, mercury, nickel, cadmium, and zinc [2,3,4]. Some of those have been found in high concentrations, such as copper, lead, and zinc. These PTEs can pass through the human food chain, increasing the probability of health problems when in high concentrations: copper can cause headache, nausea, and gastrointestinal illness [5]; lead influences the reproductive, nervous, cardiovascular, and renal systems [6]; and zinc can cause nausea, headaches, loss of appetite, and low copper levels in the body [7]. Table 1 shows the values of Zn(II), Cu(II), and Pb(II) concentrations found in rainwater events in different locales of the world, reported since 2015, and presents the maximum admissible concentrations for the same elements in accordance with European [8] legislation for drinking water. Such legislation can be considered a reference point for rainwater since there is no legislation for this type of water, and in some parts of the world, it is used as drinking water. In accordance with the European standard, Cu(II) and Pb(II) are subjected to maximum allowable concentrations of 2000 μg/L and 5.0 μg/L, respectively [8], while Zn(II) does not possess a specific limit value under this directive. However, the maximum admissible value of 5.0 μg/L for Zn(II), indicated previously in Portuguese legislation for drinking water, may be used as a reference [9]. Given that the concentrations of Cu(II), Pb(II), and Zn(II) in rainwater exceed the maximum admissible values for drinking water many times (e.g., [10,11]), to ensure water quality and to mitigate potential health risks, it becomes necessary to remove them from the water before using it, namely when it is intended to use rainwater for domestic purposes.
Table 1. Concentrations of Zn(II), Cu(II), and Pb(II) in rainwater events reported in the literature since 2015, presenting the mean value, interval of values, and maximum allowable values in accordance with European and Portuguese standards.
Several processes have been used to remove PTEs from water sources, including chemical precipitation, ion exchange, electrochemical remediation, sedimentation and flocculation, membrane separation, and sorption [27]. However, except for sorption, they present some limitations in their effectiveness when dealing with low concentrations of elements, besides being costly and complex [27]. Sorption has gained significant attention in recent years for water treatment, and biosorption is a subfield of sorption that has attracted considerable attention as an eco-friendly and sustainable approach to water treatment [28]. Biosorption is based on the inherent affinity between the biomaterial (either deceased or living biomass—biosorbent) and the target species [29] through different mechanisms, such as ion exchange, precipitation, reduction, electrostatic attraction, and complexation [29,30]. Considering the advantages of biosorption, becomes important to explore it in rainwater treatment, mainly with natural biomaterials, which are not chemically modified and, thus, more sustainable.
To the best of our knowledge, only one study has evaluated the use of natural biomaterials as biosorbents for rainwater treatment [31]. Ferreira et al. [31] evaluated the use of the whole white bean (Phaseolus vulgaris L.) as sorbent for the removal of zinc from rainwater, having shown it is a viable solution for the removal of more than 60% of Zn(II) from rainwater. However, besides white bean sorbent being cheap, eco-friendly, environmentally sustainable, and easily separated from water after treatment (allowing for its use as a homemade method for rainwater treatment), it can be used as food, which should be considered when hunger exists in different parts of the world. Therefore, it becomes important to assess only the use of bean peel (without the core and with both sides of the peel available for removal) for rainwater treatment while preserving the bean core for food consumption.
The main aim of this work was to assess the sorption efficiency of the peel of white bean (Phaseolus vulgaris L.) on the removal of a mixture of PTEs, namely Zn(II), Cu(II) and Pb(II), from rainwater, under realistic conditions and concentrations. The effects of the initial concentration of the elements in water, the initial pH of the solution, and the contact time between the sorbent and water-containing elements were evaluated. The experimental uniform design was applied for the evaluation of the previously mentioned effects and to assess the possibility of optimization of the sorption process using response surface methodology. The removal of PTEs was evaluated for model water solutions and for real rainwater samples. The variation of elements concentration in the water was assessed using Inductively Coupled Plasma Mass Spectrometry. Chemical, structural, and morphological features of the white bean peel along the process of sorption were assessed by Fourier transform infrared (FTIR-ATR) spectroscopy, scanning electron microscopy (SEM), and electron dispersive spectroscopy (EDX).

2. Materials and Methods

2.1. Biosorbent Preparation

The white beans Phaseolus vulgaris L. used in this work were acquired from a large commercial retailer. They were washed with ultrapure water all together two times, and then, one by one, to remove any impurities present on their surface, followed by soaking the beans for a period between 6 and 7 h. Then, the bean peels were removed using a bistoury, ensuring complete separation from the core. The obtained peels were dried in an oven at 30 °C for 24 h [31] and then placed in a desiccator until their use for the adsorption experiments. For the experiments, the bean peels were first weighed, and then, according to the masses obtained for them, three masses were chosen to perform this work: 0.044 g, 0.090 g, and 0.240 g, corresponding to 1, 2, and 5 peels, respectively. Therefore, the sorbent used in this work, white bean peel, has a natural composition (it is not synthetic or chemically modified) and is environmentally friendly.

2.2. Release of Organic Matter by the Biosorbent

The release of organic matter from the biosorbent to ultrapure water was evaluated for 1, 2, and 5 bean peels. This evaluation was made to determine the adsorbent dosage that can be used without introducing a significant amount of organic matter into the solution. Therefore, the different number of peels (1, 2, or 5) were put in contact with 50 mL of ultrapure water into Erlenmeyer flasks for 1 h, 2 h, 4 h, and 6 h, and for similar experimental conditions to those chosen to perform this work. After each time of contact, aliquots of water were taken to be analyzed by UV-Vis spectroscopy. Considering absorbance values lower than 0.05 A.U. as the admissible value for the introduction of organic matter into the water [31], it was found that only the experiments using one peel, corresponding to a mass of 0.044 g of biosorbent, in contact with 50 mL of water, attained such requisite (see Supplementary Materials Figure S1). When the number of peels increased to 2 or 5, absorbance levels significantly exceeded the 0.050 A.U. target, indicating a significant and undesirable increase in the organic matter release. The extension of the contact time between the biomaterial and the solution did not result in significant changes in the absorbance values obtained. This suggests that the critical factor influencing the organic matter release is primarily the mass of the biosorbent rather than the duration of contact. Therefore, in this work, the adsorbent dosage was fixed at a mass corresponding to one peel (0.044 g) in 50 mL of water for all experiments, ensuring that the biosorption process consistently operated with low organic matter release.

2.3. Sorption Experiments

The sorption experiments were performed in model solutions freshly prepared and containing a mixture of three elements, namely Cu(II), Zn(II) and Pb(II), with equal concentrations of the elements: 100 μg/L (level close to those found in rainwater), 250 μg/L (high level), and 500 μg/L (very high level). These solutions were prepared on a daily basis by dilution in ultrapure water of stock solutions of Cu(NO3)2.6H2O, Zn(NO3)2.6H2O, and Pb(NO3)2, containing each one 1000 mg/L (in 1% of HNO3 (65% suprapure)). Since the pH value of water directly affects metal solubility and the functional groups located on the surface of the biosorbent, the effect of pH on the removal of PTEs from water by the bean peels was evaluated for three initial pH values: 4.0 (acid pH value for atmospheric waters), 5.6 (neutral pH for atmospheric waters), and 7.0 (basic pH value for atmospheric waters) [32]. The pH of solutions was adjusted with nitric acid (0.1 M) and sodium hydrogen carbonate (0.1 M) solutions.
Experiments started when the peel was placed in 100 mL Erlenmeyer flasks filled with 50 mL of a mixed solution containing Cu(II), Zn(II) and Pb(II) at 100 μg/L, 250 μg/L, or 500 μg/L, and when the flasks were inserted in an incubator at 22 °C with agitation at 150 rpm, in the dark, for 2 h, 4 h, and 6 h. After the completion of the contact time of each assay, aliquots of 20 mL were collected and acidified to pH < 2 with HNO3 (65% suprapure), to posterior analysis of the PTEs by ICP-MS. Controls of the procedure were carried out for the contact times of 2 h, 4 h, and 6 h, where the biomaterial under study was not added to the mixed solution containing the PTEs. The initial concentration of PTEs in solution at 0 h was also determined. The bean peels used in each trial were placed in a desiccator to facilitate drying and to maintain their composition for chemical and morphological analyses.
All glass material was washed before use by immersion for 30 min in a solution of NaOH 0.1 M, followed by rinsing with distilled water, then immersion for 24 h in an aqueous solution of HNO3 4 M, finishing with rinsing first with distilled water and then with ultrapure water.

2.4. Optimization of Sorption of Cu(II), Zn(II) and Pb(II) by Biosorbent Using Uniform Design

With the purpose of the optimization of the removal of elements from water, the experimental uniform design was used, incorporating 3 factors, each with 3 levels. The factors considered for this study included the initial concentration of PTEs, the contact time (between the bean peel and solution), and the initial pH of the solutions. Each factor comprised the following 3 levels: 100 μg/L, 250 μg/L, and 500 μg/L for the initial metal concentration; 2 h, 4 h, and 6 h for the contact time; and 4.0, 5.6, and 7.0, for the initial pH of the solutions. The response variable was the removal percentage of the elements (Rt), calculated as follows:
R t   % = C 0 C t C 0 × 100
where C0 is the initial concentration of the element and Ct is the concentration of the element after the contact time (t).
A U12(33) design was applied, as shown in Table 2, and three replicates of the design were performed on different days. The uniform design was used due to its capacity to efficiently explore the interrelationships between the factors and the corresponding response variable while conducting a reasonable number of experiments [33]. This type of design has the advantage of simultaneously achieving efficiency and robustness in experimentation [34]. Furthermore, it facilitates the identification of factors that do not influence the response obtained [35]. Being considered a robust design indicates that it can be applied and is able to deliver good performance, even in cases where the exact regression form of the model is unknown [35]. In addition, it stands out for its ability to use values belonging to the experimental factors systematically, that is, uniformly distributed throughout the experimental domain, managing to obtain a high response area using a reduced number of experimental runs without loss of important information [34,35].
Table 2. Results from the experimental design, expressed as a percentage of removal (%) of the elements Zn(II), Cu(II) (corrected percentages) and Pb(II) (corrected percentages), considering the different levels for the factors, initial concentration, contact time, and pH.
The experimental data were analyzed using the best subsets regression analysis to derive the most suitable models for the different predictors used in this study. The predictors are considered the independent variables, which in this work correspond to the initial concentration, contact time, and pH, and they were used to determine the removal percentage, that is, the response or the dependent variable. For each model obtained, the regression analysis was performed to determine the significance level of each predictor included in that model, thus allowing the selection of the most appropriate model for the acquired data. Subsequently, through the regression analysis of the chosen model, a second-order polynomial equation was obtained to describe the interaction between the various variables under investigation. The generalized form of this equation is described as follows:
Y = β 0 + i = 1 K β i x 1 + i = 1 K β i i x i i 2 + i j K j K β i j x i x j + ε
where β is the regression coefficient, K is the number of factors varied and optimized in the experiments, i is the linear coefficient, j is the quadratic coefficient, and ε is the random error [36]. MINITAB (version 21.3) trial version was used for the best subsets regression, regression analyses, and the identification of optimal conditions.
The amount of PTEs sorbed by the biosorbent for the optimal conditions at a given time t (qt, mg/g) was inferred using the mass balance between the initial concentration of PTEs in solution (C0, mg/L) and the concentration remaining after the time of contact t (Ct, mg/L) with the biosorbent, as follows [31]:
q t = C 0 C t V m
where V (L) is the volume of the solution and m (g) is the mass of dried biosorbent.

2.5. Sorption of Cu(II), Zn(II) and Pb(II) by the Biosorbent in Rainwater

The adsorption capacity of the biosorbent was also evaluated in real rainwater samples, in which there are diverse interferents that can influence the removal of the elements under study. Six rainwater samples (1–6) were collected in an industrial zone in the town of Estarreja, Portugal, in September 2022 and March 2023. The collection of the samples was carried out at 70 cm above ground, resorting to glass funnels with a 30 cm diameter and glass bottles with 5 L of volume for a period of 24 h [37]. After collection, the samples were transported to the laboratory, where they were immediately filtered through mixed cellulose esters filters (Millipore, Darmstadt, Germany) of 0.45 µm pore size, and were then frozen until the experiments. Those were performed at rainwater’s natural pH for the defined optimal conditions. For such, the six samples were fortified with 100 μg/L (close to concentrations in rainwater samples) and/or 500 μg/L (the highest concentration studied in this work) of the mixture of Zn(II), Cu(II) and Pb(II) elements, depending on the volume of sample available.

2.6. Analytical Instrumentation

For the evaluation of organic matter release by the biosorbent, the UV-Vis spectroscopy technique was used, and spectra in the range of 200–500 nm were recorded using a Shimadzu (Dusseldorf, Germany) Model UV 210PC spectrophotometer, with quartz cells of 1 cm path length and ultrapure water as the reference for the baseline.
The quantification of the metals zinc, copper, and lead was carried out with the Agilent 7700 ICP-MS equipment (Santa Clara, CA, USA) (with a collision cell), using the elements germanium, rhodium, and iridium as internal standards. The calibration was established with standard solutions using an independent standard. Quantification limits, corresponding to ten times the residual standard deviation of the linear regression divided by the sensitivity of the method, were 1.0 µg/L for zinc, 0.10 µg/L for copper, and 0.10 µg/L for lead.
To evaluate the morphological and chemical characteristics of the white bean peels before and after the sorption experiments, the techniques of FTIR-ATR, SEM, and EDX were applied to both sides of the biomaterial. The FTIR-ATR analyses were performed using a PerkinElmer (Waltham, MA, USA) Spectrum BX FTIR instrument, and to acquire transmittance spectra in a range of 4000–550 cm−1, 64 scans were averaged with a resolution of 4 cm−1 using air for the background spectrum. For the SEM and EDS analyses, a scanning electron microscope Hitachi SU-70 (Tokyo, Japan) operating at an accelerating voltage of 15 kV and an EDS Bruker (Berlin, Germany) were utilized, respectively. For these latest analyses, the peels used resulted from the maximum contact time with the solution (6 h) for each pH evaluated (4.0, 5.6, and 7.0) and for the higher initial concentration tested (500 μg/L), in order to amplify the sorption behavior of elements on the peel.

3. Results and Discussion

3.1. Sorption of Zn(II), Cu(II), and Pb(II) by the Bean Peel

Figure 1 shows the variation of the normalized concentration (Ct/C0) of Zn(II), Cu(II) and Pb(II) in the mixed aqueous solutions with time (h), either for the experiments with the experimental design used or for the controls.
Figure 1. (a) Variation of the normalized concentration (Ct/C0) of Zn(II) (upper line graphics), Cu(II) (middle line graphics), and Pb(II) (bottom line graphics) as function of time (0–6 h), with the respective standard deviation, for initial concentrations of 100 µg/L (left column), 250 µg/L (middle column), and 500 µg/L (right column) and for different pH values (4.0, 5.6, 7.0). (b) Variation of the corrected, normalized concentration (Ct/C0) of Cu(II) as function of time (h), with the respective standard deviation, for initial concentrations of 100 µg/L, 250 µg/L and 500 µg/L and for different pH values (4.0, 5.6, 7.0).
As shown in Figure 1a, the concentration of controls for Zn(II) remained stable over time (variations lower than 7.5%, except for 100 μg/L at pH 7.0 with variations up to 14%) for the three studied pH values. Regarding the controls of Cu(II), they showed high stability at pH 4.0 and 5.6 (variation lower than 8.4%), while at pH 7.0, the Cu(II) concentration decreased with time, having been more notorious for the concentration of 100 μg/L (up to 40%). This decrease may be explained by the formation of copper carbonate (CuCO3) but also of copper hydroxide (CuOH+), whose concentration increases from about a pH value of 5.0 up to 8.0 [38]. Concerning the controls of Pb(II), only those at pH 4.0 remained at stable concentrations over time (variation lower than 4.7%), while at higher pH values, their concentrations decreased a lot (up to 87% at pH 5.6 and up to 98% at pH 7.0). These findings may be explained by the formation of species of lead carbonate (PbCO3) and lead hydroxide (PbOH+) from pH values of 4.5 and 4.0, respectively, and up to about a pH value of 8.0 [38], which may have contributed to their precipitation, decreasing the Pb(II) ion concentration in the aqueous solution. In addition, Figure 1a also shows that the normalized concentration of Pb(II) for pH 5.6 and 7.0 was generally lower for the controls than for the experiments, evidencing that the removal was not due to the adsorption by the bean peel but due to the decreased number of Pb(II) ions in the solution. Therefore, in the case of copper and lead, since the controls at pH 7.0 for Cu(II) and at pH 5.6 and 7.0 for Pb(II) presented variations of concentration systematically above 15%, it was necessary to correct the concentration values obtained on the removal experiments to obtain the values of removal, effectively referring to the interaction between the metals and the bean peel. Table 2 shows the removal percentages of the biomaterial white bean peel upon removing the Zn(II), Cu(II), and Pb(II) elements by application of the experimental design. As highlighted in Figure 1, generally, the removal of elements increased with the increase of the contact time, thus indicating the uptake of the elements by the white bean peel. This can be clearly seen, for example, at the initial concentration of 100 μg/L for Zn(II) and Cu(II) at pH 5.6, where an increase in time of contact from 2 h to 6 h leads to an increase in the adsorption from 54% to 91% and 37% to 68%, respectively, and at the initial concentration of 250 μg/L for Pb(II) at pH 4.0, where with the increase of contact time from 2 h to 6 h, the removal increased from 55% to 94%. Concerning the increase of the initial concentration of the elements in the solution, it was verified that the higher the concentration, the greater the removal of the metals from the solution. A more efficient sorption at higher metal concentrations can be attributed to boosting the driving force and accelerating the mass transfer [39]. These findings can be observed, for example, for Zn(II) and Cu(II) for the contact time of 6 h and at pH 5.6, when initial concentrations increased from 100 μg/L to 500 μg/L, and the removals increased from 91% to 95% and 68% to 77%, respectively. For the Pb(II), it can also be observed that at pH 4.0 and after 4 h of contact time with the peel, the removal increased from 74% to 90% from 100 μg/L to 500 μg/L, respectively. Regarding the influence of pH on the removal, the results show that for Zn(II), the increase of pH from 4.0 to 7.0 did not affect the removal, while for Cu(II), the increase of pH decreased its removal (e.g., for Cu(II) with an initial concentration of 250 μg/L, the removal decreased from 51% to 23% and from 90% to 53%, in relation to a contact time of 2 h and 6 h, respectively; Figure 1b). Moreover, the results highlight that at pH of 5.6 and 7.0, higher removal percentages were obtained for Zn(II) than for Cu(II) (p < 0.05), which suggests a greater affinity of the biomaterial for sorption of Zn(II), possibly due to Cu(II) being able to precipitate as carbonate (CuCO3) or form weaker complexes (CuOH+) reducing the sorption.

3.2. Optimization of the Sorption Process of Zn(II), Cu(II) and Pb(II) by the Bean Peel

The results of the application of the Uniform Design are shown in Table 2 and were used to optimize the sorption process of Zn(II) and Cu(II) by the bean peel and to find the best mathematical equation to describe the data. The optimization for Pb(II) was not possible to realize by a similar means due to the decrease of the control concentration for pH 5.6 and 7.0 and the lack of some data points, as discussed above and evidenced in Figure 1 and Table 2. Therefore, for Zn(II) and Cu(II), the best subsets regression was applied to the data of the average of the removal percentages of each element, since this method compares all possible models that can be created based on a set of predictors (independent variables). For such, the predictors used were three first-order effects, namely the initial concentration of the element (Ci), contact time (t), and pH; three interaction effects, between the initial concentration and pH (Ci × pH), between the initial concentration and contact time (Ci × t), and between the pH and contact time (pH × t); and three second-order effects, specifically Ci2, pH2, and t2. The regression analyses determined that the predictor pH2 could not be estimated, and, therefore, it was not used for the regression analysis. By using the remaining predictors, it was possible to obtain the best model with up to eight predictors, considering statistical parameters, such as the p-value, coefficient of determination (R2), adjusted R2 (R2adj), and Cp Mallow’s for each model, and the p-value for the predictors in the model ([40]; see Supplementary Materials Tables S1 and S2). Results showed that all the models are significant at a 95% confidence level, with the exception of model 8 for the Cu(II), since p-values are lower than 0.05. On the other hand, the p-values of the predictors indicate that only models 1, 2, and 4 for the Zn(II) and 1, 2, and 3 for the Cu(II) include predictors that are significant in the model. The results of the R2 parameter were higher than 0.8, except for model 1, which indicates a good fit of the models. However, R2 is not the most suitable parameter for determining the best model since it increases with the increase of the number of predictors in the model and has stabilized from models composed of four factors. Regarding the R2adj, it only increases if the added predictor improves the model, and its value closest to 1 is the most appropriate [41]. The Cp Mallow’s parameter is also relevant in the decision of the best model, presenting the predicted error, and it is desirable to be as low as possible [42]. Considering the aforementioned parameters, for Zn(II), the model constituted by four predictors was chosen as the best (model 4; R2adj = 0.900 and Cp Mallow’s = 1.7), while for Cu(II), the model composed of three predictors was chosen as the best (model 3; R2adj = 0.923 and Cp Mallow’s = 1.2).
Regarding the best model chosen for Zn(II) removal, only the predictors of initial concentration, contact time, interaction between them, and the quadratic form of the time are present. These findings highlight, as expected, that the initial pH of the solution is not significant for the removal of zinc by the bean peel. On the other hand, the best model found for Cu(II) removal includes the predictors of contact time, pH, and the quadratic form of initial concentration.
Table 3 shows a summary of the models found for Zn(II) and Cu(II) removals, with information relating to the predictors, sum of squares (SS), mean square (MS), degrees of freedom (DF), F and p-values, R2, and R2adj.
Table 3. Summary of the models with 4 predictors for Zn(II) and 3 predictors for Cu(II), presenting the SS, DF, MS, coefficients, F and p-values, R2, and R2adj.
As shown in Table 3 for Zn(II), R2adj indicates that 90.0% of the experimental results can be explained by the model. In addition, the model has high significance since Fcrit (3.36) < F(4,11) (25.69) and p-value < 0.05. The results also show that the predictors considered in the model have high significance due to presenting p-values lower than 0.05, except Ci × t, which has slightly more (0.052). The coefficient values highlight that an increase in the initial concentration and contact time leads to a higher Zn(II) removal. Therefore, the equation that explains the relationship between the removal percentage of Zn(II) and the predictors is as follows:
Zn(II) removal (%) = − 3.7 + 0.0718Ci + 33.83t − 2.890t2 − 0.01331Ci × t
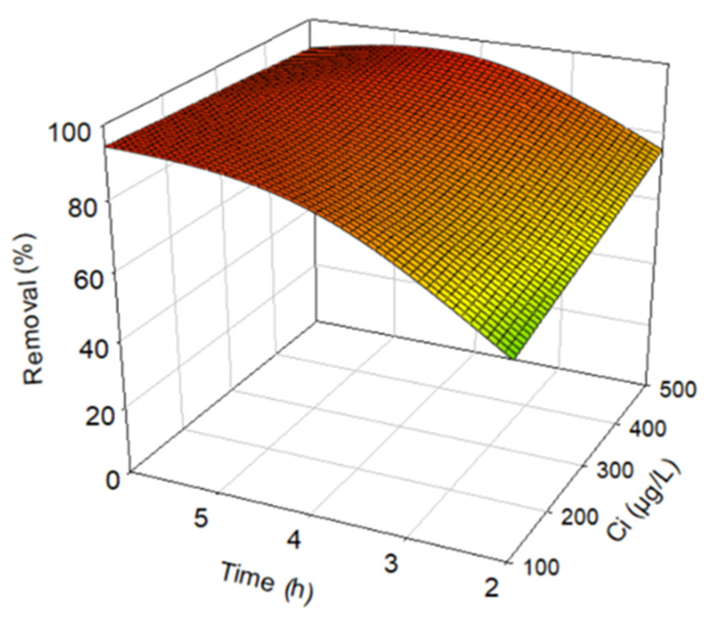
where Ci is the initial zinc concentration (μg/L) and t is the contact time (h). Figure 2 shows the response surface model obtained for Zn(II) removal. The relationship between the predicted removal percentages and the experimental data showed to be linear with a high correlation (R2 = 0.9362; see Supplementary Materials Figure S2), confirming that the chosen model is adequate to estimate the zinc removal from an aqueous solution by contact with the biomaterial.
Figure 2. Response surface model obtained for Zn(II) removal (%) as a function of time (h) and initial concentration (μg/L), accordingly with Equation (4).
Table 3 also shows that the chosen model for copper is representative of the copper experimental data, since R2adj indicates that 92.3% of the results obtained can be explained by the model. In addition, Fcrit (4.07) < F(3,8) (44.71), and the p-value of the model is lower than 0.05, as well as the p-values of the predictors, indicating that the model has high significance. Through the coefficients in the equation, it is possible to observe that an increase in the contact time and concentration leads to a higher removal, while an increase in pH leads to a decrease in the copper biosorption capacity. Therefore, the relationship between the Cu(II) removal and the predictors is given by the following equation:
Cu(II) removal (%) = 87.80 + 7.56t − 11.62pH + 0.000058Ci2
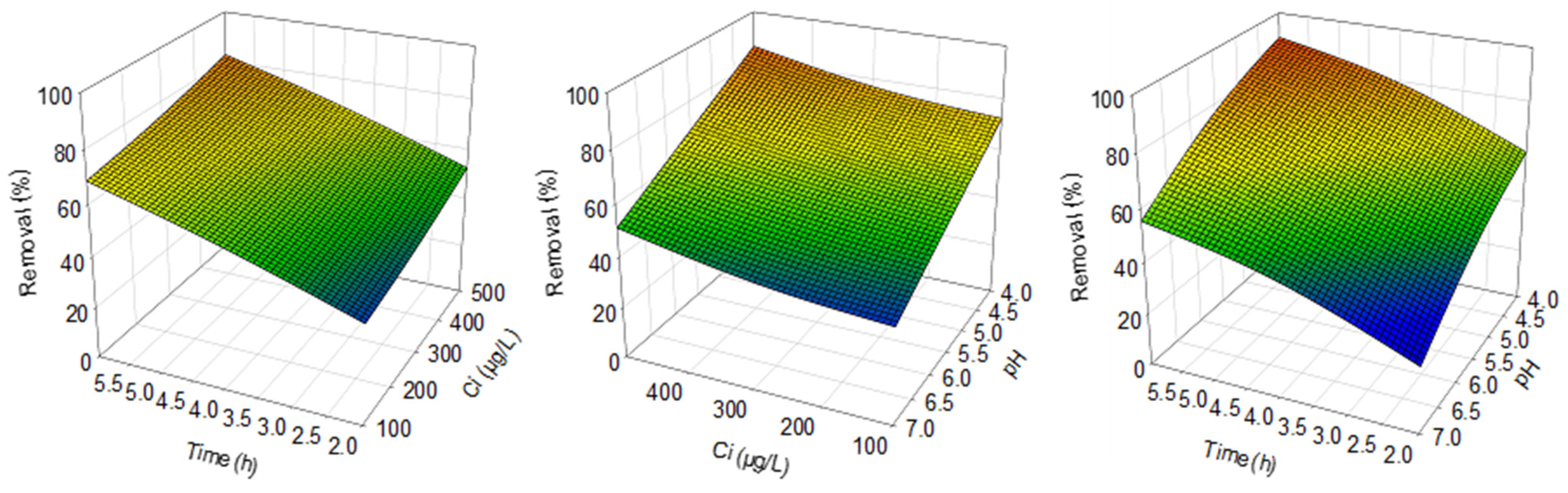
where t is the contact time (h), pH is the initial pH of the solution, and Ci is the initial concentration of Cu(II). Figure 3 shows the response surfaces obtained from Equation (5) for Cu(II) removal (%), showing the interaction between the removal percentage, time (h), pH, and initial concentration (μg/L). The relationship between the predicted and experimental values of removal percentages was shown to be linear with a strong correlation (R2 = 0.9437; see Supplementary Materials Figure S3), confirming that the chosen model is appropriate for estimating copper removal.
Figure 3. Response surfaces obtained from Equation (5) for Cu(II) removal (%), showing the interaction between the removal percentage, time (h), pH, and initial concentration (μg/L).
After identification of the best models to predict the removal percentages of Zn(II) and Cu(II), and based on their equations, the optimal conditions under which the greatest removal of these elements by the biomaterial is attained were determined. Concerning Zn(II), it was determined that the optimal conditions are obtained when a contact time of 5 h 18 m is applied for all initial concentrations studied, achieving a removal percentage higher than 95%. Regarding the optimal conditions for Cu(II), with a contact time of 6 h, it was determined that it is possible to achieve a removal of between 52% and 87% for the initial concentration of 100 μg/L, between 55% and 90% for the initial concentration of 250 μg/L, and between 66% and 100% for the initial concentration of 500 μg/L, with the lowest removal percentages obtained for the pH value of 7.0. As shown in Figure 3, a decrease in pH value leads to an increase in the copper adsorption capacity of the bean peel, and at a neutral pH for rainwater (pH 5.6), it is possible to remove percentages up to 69%. Considering that the solutions used contain a mixture of Zn(II), Cu(II), and Pb(II) metals, it was necessary to find optimal conditions that could be applied simultaneously to them. In fact, when using mixed solutions, competition of elements for the available sites may occur at the surface of the biomaterial white bean peel. The greater affinity of the bean peel for adsorbing Zn(II) when compared with Cu(II) at a higher pH was highlighted by the higher values of removal. Therefore, to obtain the highest removal percentage for Cu(II) for all pH values evaluated, the optimal conditions consist of a contact time of 6 h, estimating removal percentages higher than 52% in the range of concentrations evaluated. On the other hand, at 6 h of contact time, the removal of zinc is higher than 91% for all concentrations and pHs evaluated, slightly lower than estimated for 5 h 18 m. Concerning the Pb(II), it is expected that at 6 h for pH 4.0, the removal will be higher than 74% for 100 μg/L and higher than 90%, on average, for the concentrations of 250 μg/L and 500 μg/L (Figure 1), while for the remaining pH values, it is not possible to estimate the removal due to the loss of Pb(II) by precipitation.
For the optimal conditions defined, namely 6 h of contact time between the white been peel and the PTE solution, and at the neutral pH for atmospheric water (5.6), the amount of PTEs sorbed by gram of sorbent (qt) was, for Zn(II), 0.10 mg/g for 100 μg/L and 0.55 mg/g for 500 μg/L; for Cu(II), 0.081 mg/g for 100 μg/L and 0.48 mg/g for 500 μg/L; and for Pb(II), 0.41 mg/g for 500 μg/L. Comparing the amount of Zn(II) sorbed per gram of white bean peel for 6 h at pH 5.6 with that obtained for the whole white bean (1 bean) in the study of Ferreira et al. [31], which was 0.0057 mg/g for 100 μg/L and 0.033 mg/g for 500 μg/L, the results show that in an ultrapure water solution, the amount sorbed by gram of biosorbent was higher with the bean peel than with the whole bean, which highlights the advantage of using only the peel instead of the whole bean.

3.3. Characterization of the Bean Peel in the Sorption Process

Figure 4 shows the SEM images of the outside (a) and inside (b) surfaces of the white bean peel with and without pre-treatment and after 6 h of contact time with the aqueous solution containing the mixture of PTEs (500 μg g/L, the highest concentration evaluated) at pH 4.0, 5.6, and 7.0. As shown in Figure 4a, the outside surface of the bean peel before pre-treatment presented a rough and irregular texture, with slight visible elevations and depressions. After pre-treatment, the outside surface of the bean peel remained rough, but more compact and with an appearance more uniform, possibly due to the removal of water-soluble particles of organic and inorganic species. After the sorption experiments, the outer surface of the pre-treated bean peel showed a more irregular morphology, more notorious at pH 4.0 and 7.0, but without obvious signs of loss of structural integrity. Unlike the outside surface of the bean peel, as shown in Figure 4b, the inner surface of the untreated white bean peel showed a very rough morphology, a flake-like morphology, and after the pre-treatment, the flakes appeared smaller. After the sorption experiments, the inner surface was brighter and more organized. Moreover, the inner surface of the peel became less organized and polished with the pH increase. This fact was coincident with the higher percentages of removal for Cu(II) at a lower pH, namely at pH 4.0 (Figure 1). Nevertheless, no significant changes were observed in the morphology of both sides of the bean peel after 6 h of contact time with the mixture solution. In addition, EDX spectroscopy was used in this work to provide information about the adsorption of Zn(II), Cu(II) and Pb(II) in the surface of the biomaterial, which could confirm the removal of the elements from water. However, the presence of Zn(II), Cu(II) and Pb(II) was not clearly observed in the EDX spectra after the biosorption process (see Supplementary Materials Figure S4), possibly due to the low concentrations of the elements in the experiments.
Figure 4. SEM images of the outside (a) and inside (b) surface of the white bean peel without and with pre-treatment (top images) and with pre-treatment after 6 h of contact with the PTE solution (500 µg/L) at pH 4.0, 5.6, and 7.0 (bottom images of (a,b)).
In order to evaluate structural changes during the sorption process, FTIR-ATR spectra of bean peels were acquired before and after being in contact with a mixed solution of PTEs. Figure 5 shows the FTIR-ATR spectra of outside and inside the bean peel before and after contact with the mixed solution with an initial concentration of 500 μg/L during 2 h, 4 h, and 6 h.
Figure 5. FTIR-ATR spectra of inner (I) and outer (O) sides of bean peel after the contact time of 2 h, 4 h, and 6 h with the mixture solution of PTEs, in concentrations of 500 µg/L at pH 5.6. The t0 is the time before the bean peel came in contact with the solution of PTEs.
The FTIR-ATR spectra of peels before and after use in adsorption tests show the presence of various bands in the region of 3600 and 400 cm−1. Such bands were assigned accordingly their wavenumbers [43,44]. The broad band between 3650–3000 cm−1 can be attributed to O-H stretching from carboxyl and hydroxyl groups and to N-H stretching of amides. The peaks observed between 3000 cm−1 and 2800 cm−1 are associated with C-H stretching of methyl and methylene groups in aliphatic chains. It highlighted a distinct peak at about 1740 cm−1 for the inner white bean peels characteristic of the stretching of C=O of carboxylic groups. Typically, the spectral region spanning between 1700 cm−1 and 1500 cm−1 reflects the presence of functional groups containing C=O and C=C bonds. Furthermore, within this interval, it was observed two additional bands centered at 1650 cm−1 and 1530 cm−1, which are attributed to N-H bending and C-N stretching, respectively. The bands present between 1500 cm−1 and 1200 cm−1 are typically attributed to compounds with carboxylic groups. The peak at 1420 cm−1 refers to the in-plane bending of C-O-H in the carboxylic group, while the peak located at 1250 cm−1 was attributed to the stretching of C-O also in carboxylic groups. Bands present between 1200 cm−1 and 900 cm−1 may be due to the presence of polysaccharides because this region is attributed to carbohydrates. The band at 1150 cm−1 is attributed to the C-O-H bonding, while the remaining bands (1100, 1020, and 900 cm−1) are attributed to C-O-C bonding. In general, there were no observed significant changes in the band positions when comparing the peels before and after contact with the PTE solution, suggesting that the chemical structure of the biomaterial was maintained. However, it was possible to observe a decrease in the intensity of some peaks, namely in the broad band between 3650–3000 cm−1 and in the peak present at about 1740 cm−1. These findings suggest that the hydroxyl and carboxyl groups at the surface of the peel were involved in the removal of PTEs from the water, possibly through mechanisms of ion exchange, electrostatic interaction, and complexation, besides hydrogen bonding and Van der Waal bonds [27].

3.4. Sorption of the Mixture of Zn(II), Cu(II) and Pb(II) by Bean Peel in Rainwater

With the purpose of understanding the effect of the rainwater matrix on the removal of Zn(II), Cu(II), and Pb(II) elements by the bean peel, experiments with six rainwater samples spiked with a mixture of elements with concentrations of 100 μg/L and 500 μg/L were performed, at their natural pHs. However, rainwater samples already presented PTEs with concentrations of between 5.3 and 21.9 μg/L, 1.2 and 3.3 μg/L, and 0.4 and 6.1 μg/L for Zn(II), Cu(II), and Pb(II), respectively (see Supplementary Materials Table S3). Rainwater samples were numbered from one to six (1–6), and their natural pHs were 6.1, 5.8, 5.9, 6.0, 6.3, and 6.1, respectively, which are close to the neutral pH for atmospheric water. The optimal conditions for the removal of the elements, 6 h of the contact time between the bean peel and the aqueous solution of PTEs, were applied to the rainwater samples spiked with the mixture of the elements, and the results obtained are displayed in Table 4. This table also presents the data predicted by the models for Zn(II) and Cu(II).
Table 4. Experimental and predicted results from response models for Zn(II), Cu(II) and Pb(II) removal from rainwater samples.
Considering the results achieved for the spike of 100 μg/L, were observed removals for Zn(II) of 83% for sample 1 and between 38% and 53% for the remaining samples. When applying the spike of 500 μg/L, the percentages were similar to those obtained with the spike of 100 μg/L. With the exception of sample 1, the results obtained are substantially inferior to those predicted by the model for Zn(II) removal. Nevertheless, Ferreira et al. [31] removed Zn(II) from rainwater samples spiked with 100 μg/L and 500 μg/L using the whole bean (5 beans in 2 h, to guarantee a low level of organic matter released by the sorbent) having obtained removal percentages higher than 58%, which were generally superior to those obtained with the bean peel in the present study. Therefore, since the Zn(II) sorbed per gram of biosorbent was higher for the bean peel than for the whole bean (presented above), such findings may be due to the usage of only one bean peel in the present study, while in the work of Ferreira et al. [31] five whole beans were used, increasing the available surface area for the interaction with the metals.
Regarding the biosorption of Cu(II) by the bean peel, for the spike of 100 μg/L, the removal percentage was notably inferior to Zn(II) for all samples, with sample 1 removing 48% and the remaining five samples removing between 12% and 27%. For the spike of 500 μg/L, an increase in removal percentages was observed (an increase of ~15%), as expected, since according to the model chosen for Cu(II), an increase in concentration leads to an increase in removal. However, when comparing the experimental results obtained for the samples with the results predicted from the model, lower percentages were obtained experimentally for all the rainwater samples. The model for Cu(II) predicted removal percentages of between 61% and 66% for the spike of 100 μg/L and between 74% and 80% for the spike of 500 μg/L. Sample 1 was the closest to the predicted value for the spike of 500 μg/L since it was able to remove 78% of Cu(II), close to the predicted value by the model (77%).
Concerning Pb(II), for the spike of 100 μg/L, sample 1 revealed a removal of 89%, and samples 2–5 showed removals between 11% and 48%. For the spike of 500 μg/L, the removal was substantially higher than for the spike of 100 μg/L for all samples, between 35% and 97%, with the exception of sample 3, which slightly decreased. For sample 6, it was not possible to obtain the removal percentage due to a high decrease in the concentration of the respective control (39%).
Considering the data obtained for rainwater samples, it was highlighted that the real matrix of rainwater, with the presence of several species (organic and inorganic), reduces the sorption capacity of biomaterial on the removal of PTEs when compared with the predicted values by the models (which were obtained in ultrapure water). However, besides the concentrations obtained in the removal being higher than the levels recommended for drinking water, with the exception of Cu(II), which already was (5 μg/L for Zn(II) [9], and 2000 μg/L and 5 μg/L for Cu and Pb, respectively [8]), they correspond on average to removals of 53% for Zn(II), 23% for Cu(II), and 45% for Pb(II) for the initial concentration of 100 μg/L, and removals of 54% for Zn(II), 41% for Cu(II), and 60% for Pb(II) for the initial concentration of 500 μg/L. Therefore, these findings suggest that the peel of white bean may be used as a sorbent for PTEs removal from rainwater.

4. Conclusions

The white bean peel sorbent was able to reduce the concentration of Zn(II), Cu(II) and Pb(II) in an aqueous solution, and the removal increased with time and with the increase of their initial concentration in water. The Zn(II) removal was not affected by the initial pH value of the solution, but the Cu(II) and Pb(II) removals were, since at pH 7.0 for Cu(II) and at pH 5.6 and 7.0 for Pb(II) occur the formation of carbonates of the elements that precipitate.
It was possible to achieve models that describe the removal of Zn(II) and Cu(II) in mixed solutions of Zn(II), Cu(II) and Pb(II) by response surface methodology, and they are of second-order polynomial surface: for Zn(II) the variables are the initial concentration, time, the quadratic form of time, and the interaction between concentration and time; for Cu(II) the variables are the time, pH, and the quadratic form of the initial concentration. The optimal conditions obtained through the models, being 6 h of contact time between the sorbent and the solution, predict removals higher than 91% for Zn(II) and 52% for Cu(II). When applying the optimal conditions to rainwater samples, the results showed that the rainwater matrix affected the removal of the PTEs since generally were obtained lower removals than predicted by the models.
SEM and FTIR-ATR studies showed that no clear changes occurred in the morphology and in chemical structure of the peel during the sorption process. FTIR-ATR spectra highlighted a decrease in the intensity of some peaks attributed to the stretching of O-H bonds and C=O bonds of carboxylic groups, suggesting that such groups in the surface of the peel were involved in the removal of the PTEs.
This research showed, for the first time, that the peel of the white bean, isolated from the bean core, may be used as a sorbent for the removal of a mixture of PTEs from rainwater. The white bean peel is a natural, low-cost, and sustainable sorbent that can be easily used for rainwater treatment, but more research is needed in order to combine this sorbent with other processes of removal of contaminants/interferents, namely organics that should be previously removed, to guarantee an effective rainwater treatment.

Supplementary Materials

The following supporting information can be downloaded at https://www.mdpi.com/article/10.3390/app15020627/s1, Figure S1: UV-Vis spectra of aqueous solutions from organic matter released by 1, 2, and 5 bean peels to ultrapure water (50 mL) after 2 h, 4 h, and 6 h; Figure S2: Percentage of Zn(II) removal predicted by model in function of the experimental percentage of removal; Figure S3: Percentage of Cu(II) removal predicted by model in function of the experimental percentage of removal; Figure S4: EDX spectra of interior (A) and exterior (B) surface of the white bean peel after 6 h of contact with PTE solution 500 µg/L at pH 4.0; Table S1: Models obtained by application of best subsets regression for Zn(II) removal; Table S2: Models obtained by application of best subsets regression for Cu(II) removal; Table S3: Characterization of rainwater samples regarding pH and concentrations of Zn(II), Cu(II), and Pb(II).

Author Contributions

Conceptualization, P.S.M.S.; methodology, G.H.C., A.C.E. and P.S.M.S.; validation, G.H.C., A.C.E. and P.S.M.S.; formal analysis, G.H.C.; investigation, G.H.C., A.C.E. and P.S.M.S.; resources, A.C.E. and P.S.M.S.; writing—original draft preparation, G.H.C. and P.S.M.S.; writing—review and editing, G.H.C., A.C.E. and P.S.M.S.; visualization, P.S.M.S.; supervision, A.C.E. and P.S.M.S.; project administration, P.S.M.S.; funding acquisition, A.C.E. and P.S.M.S. All authors have read and agreed to the published version of the manuscript.

Funding

This research had financial support from Fundação para a Ciência e a Tecnologia (FCT), due to FCT/MCTES (PIDDAC) for the financial support to CESAM (UIDP/50017/2020 + UIDB/50017/2020 + LA/P/0094/2020) and CICECO-Aveiro Institute of Materials (UIDB/50011/2020 (DOI: 10.54499/UIDB/50011/2020), UIDP/50011/2020 (DOI: 10.54499/UIDP/50011/2020) and LA/P/0006/2020 (DOI: 10.54499/LA/P/0006/2020)) through national funds. This research also had financial support provided by CNRS-INEE, LabEx DRIIHM, and OHMI-Estarreja. The research contract of A.C.E. was funded by FCT/National funds (OE) in the scope of the framework contract foreseen in Numbers 4, 5, and 6 of Article 23 of the Decree–Law 57/2016 of 29 August, changed by Law 57/2017 of 19 July (DL 57/2016/CP1482/CT0007; DOI: 10.54499/DL57/2016/CP1482/CT0007). The research contract of P.S.M.S. was funded by the FCT Scientific Employment Stimulus—Individual 2017 (CEECIND/01835/2017; DOI: 10.54499/CEECIND/01835/2017/CP1459/CT0017).

Institutional Review Board Statement

Not applicable.

Data Availability Statement

The data presented in this study will be made available by the authors on request.

Acknowledgments

The authors thank Gabriela Santos for the availability of the rainwater samples.

Conflicts of Interest

The authors declare no conflicts of interest.

References

  1. World Health Organization. Guidelines for Drinking-Water Quality, 4th ed.; Incorporating the 1st Addendum; World Health Organization: Geneva, Switzerland, 2021. [Google Scholar]
  2. Dunea, D.; Iordache, V.; Frasin, L.N.; Neagoe, A.; Predescu, L.; Iordache, S. Monitoring Rainwater Properties and Outdoor Particulate Matter in a Former Steel Manufacturing City in Romania. Atmosphere 2021, 12, 1594. [Google Scholar] [CrossRef]
  3. Mentese, S.; Yayintas, O.T.; Bas, B.; İrkin, L.C.; Yilmaz, S. A Comparative View to Heavy Metal Pollution in Soil and Rainwater in Çanakkale, Turkey. J. Chem. Metrol. 2021, 15, 88–101. [Google Scholar] [CrossRef]
  4. Rawan, B.; Ullah, W.; Ullah, R.; Akbar, T.A.; Ayaz, Z.; Javed, M.F.; Din, I. Assessments of Roof-Harvested Rainwater in Disctrict Dir Lower, Khyber Pakhtunkhwa Pakistan. Water 2022, 14, 3270. [Google Scholar] [CrossRef]
  5. World Health Organization. Copper in Drinking-Water, Background Document for Preparation of WHO Guidelines for Drinking-Water Quality; (WHO/SDE/WSH/03.04/88); World Health Organization: Geneva, Switzerland, 2004. [Google Scholar]
  6. World Health Organization. Lead in Drinking-Water, Background Document for Development of WHO Guidelines for Drinking-Water Quality; (WHO/FWC/WSH/16.53); World Health Organization: Geneva, Switzerland, 2016. [Google Scholar]
  7. World Health Organization. Zinc in Drinking-Water, Background Document for Preparation of WHO Guidelines for Drinking-Water Quality; (WHO/SDE/WSH/03.04/17); World Health Organization: Geneva, Switzerland, 2003. [Google Scholar]
  8. European Union. Directive (EU) 2020/2184 of the European parliament and of the council of 16 December 2020 on the quality of water intended for human consumption. Official Journal of the European Union L 435 23.12. 2020, 1–62. Available online: https://eur-lex.europa.eu/eli/dir/2020/2184/oj/eng (accessed on 6 January 2025).
  9. Decree-Law n.º 236/98, Ministry of the Environment, Diário da República, I SÉRIE-A 176 01.08. 1998, 3676–3722. Available online: https://diariodarepublica.pt/dr/detalhe/decreto-lei/236-1998-430457 (accessed on 6 January 2025).
  10. Vlasov, D.; Kasimov, N.; Eremina, I.; Shinkareva, G.; Chubarova, N. Major ions and potentially toxic elements in atmospheric precipitation during the COVID-19 lockdown in Moscow megacity. Urban Clim. 2023, 48, 101422. [Google Scholar] [CrossRef]
  11. Malekei, R.; Sayadi, M.H.; Behrooz, R.D.; Kaskaoutis, D.G. Toxic heavy metals in rainwater samples of Tehran. J. Atmos. Chem. 2024, 81, 2–24. [Google Scholar] [CrossRef]
  12. Lehmann-Konera, S.; Ruman, M.; Frankowski, M.; Małarzewski, Ł.; Raczyn´ski, K.; Pawlak, F.; Kozioł, K.; Polkowska, Z. Rainwater chemistry composition in Bellsund: Sources of elements and deposition discrepancies in the coastal area (SW Spitsbergen, Svalbard). Chemosphere 2023, 313, 137281. [Google Scholar] [CrossRef]
  13. Pochodyła-Ducka, E.; Glinska-Lewczuk, K.; Jaszczak, A. Changes in Stormwater Quality and Heavy Metals Content along the Rainfall–Runoff Process in an Urban Catchment. Water 2023, 15, 3505. [Google Scholar] [CrossRef]
  14. Rathore, D.S.; Singh, P.; Misra, C.D.; Chandel, C.P.S.; Bugalia, S.; Gupta, K.S. Heavy and less common metals in rainwater and the kinetics of the oxidation of hydrogen sulfide by oxygen in rainwater medium. Environ. Monit. Assess. 2023, 195, 762. [Google Scholar] [CrossRef]
  15. Sharma, A.; Khare, P.; Singh, N.; Tiwari, S.; Chate, D.M.; Kumar, R. Anthropogenic aerosols in precipitation over the Indo-Gangetic basin. Environ. Geochem. Health. 2023, 45, 961–980. [Google Scholar] [CrossRef]
  16. Choi, H.; Lee, H.; Kim, D.-H.; Lee, K.-K.; Kim, Y. Physicochemical and isotopic properties of ambient aerosols and precipitation particles during winter in Seoul, South Korea. Environ. Sci. Pollut. Res. 2022, 29, 11990–12008. [Google Scholar] [CrossRef]
  17. Vlasov, D.; Kasimov, N.; Eremina, I.; Shinkareva, G.; Chubarova, N. Partitioning and solubilities of metals and metalloids in spring rains in Moscow megacity. Atmos. Pollut. Res. 2021, 12, 255–271. [Google Scholar] [CrossRef]
  18. Majumdar, A.; Satpathy, J.; Kayee, J.; Das, R. Trace metal composition of rainwater and aerosol from Kolkata, a megacity in eastern India. SN Appl. Sci. 2020, 2, 2122. [Google Scholar] [CrossRef]
  19. Mehr, M.R.; Keshavarzi, B.; Sorooshian, A. Influence of natural and urban emissions on rainwater chemistry at a southwestern Iran coastal site. Sci. Total Environ. 2019, 668, 1213–1221. [Google Scholar] [CrossRef]
  20. Mirzaei, S.; Hashemi, H.; Hoseini, M. Concentration and potential source identification of trace elements in wet atmospheric precipitation of Shiraz, Iran. J. Environ. Health Sci. Eng. 2018, 16, 229–237. [Google Scholar] [CrossRef] [PubMed]
  21. Orué, M.R.; Gaiero, D.; Paris, M.; Fórmica, S.; Murray, J.; Hoz, M.; López, E.; Kirschbaum, A. Precipitaciones húmedas en el norte de Argentina: Caracterización química de los componentes solubles en el Valle de Lerma, Salta. Andean Geol. 2017, 44, 59–78. [Google Scholar] [CrossRef]
  22. Nadzir, M.S.M.; Lin, C.Y.; Khan, M.F.; Latif, M.T.; Dominick, D.; Hamid, H.H.A.; Mohamad, N.; Maulud, K.N.A.; Wahab, M.I.A.; Kamaludin, N.F.; et al. Characterization of rainwater chemical composition after a Southeast Asia haze event: Insight of transboundary pollutant transport during the northeast monsoon. Environ. Sci. Pollut. Res. 2017, 24, 15278–15290. [Google Scholar] [CrossRef]
  23. Xing, J.; Song, J.; Yuan, H.; Wang, O.; Li, X.; Li, N.; Duan, L.; Qu, B. Atmospheric wet deposition of dissolved trace elements to Jiaozhou Bay, North China: Fluxes, sources and potential effects on aquatic environments. Chemosphere 2017, 174, 428–436. [Google Scholar] [CrossRef]
  24. Cong, Z.; Kang, S.; Zhang, Y.; Gao, S.; Wang, Z.; Liu, B.; Wan, X. New insights into trace element wet deposition in the Himalayas: Amounts, seasonal patterns, and implications. Environ. Sci. Pollut. Res. 2015, 22, 2735–2744. [Google Scholar] [CrossRef]
  25. Chon, K.; Kim, Y.; Bae, D.H.; Cho, J. Confirming anthropogenic influences on the major organic and inorganic constituents of rainwater in an urban area. Drink. Water Eng. Sci. 2015, 8, 35–48. [Google Scholar] [CrossRef]
  26. Ouyang, W.; Guo, B.; Cai, G.; Li, Q.; Han, S.; Liu, B.; Liu, X. The Washing Effect of Precipitation on Particulate Matter and the Pollution Dynamics of Rainwater in Downtown Beijing. Sci. Total Environ. 2015, 505, 306–314. [Google Scholar] [CrossRef]
  27. Bilal, M.; Ihsanullah, I.; Younas, M.; Shah, M.U.H. Recent Advances in Applications of Low-Cost Adsorbents for the Removal of Heavy Metals from Water: A Critical Review. Sep. Purif. Technol. 2021, 278, 119510. [Google Scholar] [CrossRef]
  28. Vijayaraghavan, K.; Balasubramanian, R. Is Biosorption Suitable for Decontamination of Metal-Bearing Wastewaters? A Critical Review on the State-of-the-Art of Biosorption Processes and Future Directions. J. Environ. Manag. 2015, 160, 283–296. [Google Scholar] [CrossRef] [PubMed]
  29. Aguilar-Rosero, J.; Urbina-López, M.E.; Rodríguez-González, B.E.; León-Villegas, S.X.; Luna-Cruz, I.E.; Cárdenas-Chávez, D.L. Development and Characterization of Bioadsorbents Derived from Different Agricultural Wastes for Water Reclamation: A Review. Appl. Sci. 2022, 12, 2740. [Google Scholar] [CrossRef]
  30. Rahman, D.Z.; Vijayaraghavan, J.; Thivya, J.A. Comprehensive Review on Zinc(II) Sequestration from Wastewater Using Various Natural/Modified Low-Cost Agro-Waste Sorbents. Biomass Convers. Bior. 2023, 13, 5469–5499. [Google Scholar] [CrossRef]
  31. Ferreira, M.P.S.; Santos, P.S.M.; Caldeira, M.T.; Estrada, A.C.; da Costa, J.P.; Rocha-Santos, T.; Duarte, A.C. White Bean (Phaseolus vulgaris L.) as a Sorbent for the Removal of Zinc from Rainwater. Water Res. 2019, 162, 170–179. [Google Scholar] [CrossRef]
  32. Seinfeld, J.H.; Pandis, S.N. Atmospheric Chemistry and Physics: From Air Pollution to Climate Change, 1st ed.; John Wiley & Sons Inc: New York, NY, USA, 1998. [Google Scholar]
  33. Fang, K.; Lin, D.K.J. Uniform Experimental Designs and Their Applications in Industry. In Handbook of Statistics; Elsevier: Amsterdam, The Netherlands, 2003; Volume 22, pp. 131–170. [Google Scholar] [CrossRef]
  34. Xu, Q.; Xu, Y.; Li, L.; Fang, K. Uniform Experimental Design in Chemometrics. J. Chemom. 2018, 32, e3020. [Google Scholar] [CrossRef]
  35. Li, R.; Lin, D.K.J.; Chen, Y. Uniform Design: Design, Analysis and Applications. Int. J. Mater. Prod. Technol. 2004, 20, 101–114. [Google Scholar] [CrossRef]
  36. Baş, D.; Boyacı, I.H. Modeling and Optimization I: Usability of Response Surface Methodology. J. Food Eng. 2007, 78, 836–845. [Google Scholar] [CrossRef]
  37. Santos, P.S.M.; Santos, E.B.H.; Duarte, A.C. Dissolved organic and inorganic matter in bulk deposition of a coastal urban area: An integrated approach. J. Environ. Manag. 2014, 145, 71–78. [Google Scholar] [CrossRef]
  38. Stumm, W.; Morgan, J.J. Aquatic Chemistry: Chemical Equilibria and Rates in Natural Waters, 3rd ed.; A Wiley Interscience Publication: Hoboken, NJ, USA, 1996. [Google Scholar]
  39. Filipović, K.; Petrović, M.; Najdanović, S.; Velinov, N.; Hurt, A.; Bojić, A.; Kostić, M. Highly efficient nano sorbent as a superior material for the purification of wastewater contaminated with anthraquinone dye RB19. J. Water Process. Eng. 2024, 67, 106118. [Google Scholar] [CrossRef]
  40. Draper, N.R.; Smith, H. Selecting the Best Regression Equation. In Applied Regression Analysis, 3rd ed.; John Wiley & Sons, Inc.: Hoboken, NJ, USA, 1998; pp. 327–368. [Google Scholar] [CrossRef]
  41. Montegomery, D.C.; Peck, E.A.; Vining, G.G. Introduction to Linear Regression Analysis, 3rd ed.; John Wiley Sons Inc: New York, NY, USA, 2001. [Google Scholar]
  42. Kadane, J.B.; Lazar, N.A. Methods and Criteria for Model Selection. J. Am. Stat. Assoc. 2004, 99, 279–290. [Google Scholar] [CrossRef]
  43. Stuart, B.H. Infrared Spectroscopy: Fundamentals and Applications, 1st ed.; John Wiley & Sons: Hoboken, NJ, USA, 2004. [Google Scholar]
  44. Larkin, P.J. Infrared and Raman Spectroscopy: Principles and Spectral Interpretation, 2nd ed.; Elsevier: Amsterdam, The Netherlands, 2018. [Google Scholar] [CrossRef]
Disclaimer/Publisher’s Note: The statements, opinions and data contained in all publications are solely those of the individual author(s) and contributor(s) and not of MDPI and/or the editor(s). MDPI and/or the editor(s) disclaim responsibility for any injury to people or property resulting from any ideas, methods, instructions or products referred to in the content.

Article Metrics

Citations

Article Access Statistics

Multiple requests from the same IP address are counted as one view.