Stiffness and Strength of Scots Pine Wood Under Compression Perpendicular to the Grain and Rolling Shear Loading
Abstract
1. Introduction
2. Materials and Methods
2.1. Materials and Test Specimens
2.2. Test Setup and Testing Procedure
2.3. Data Evaluation
3. Results and Discussion
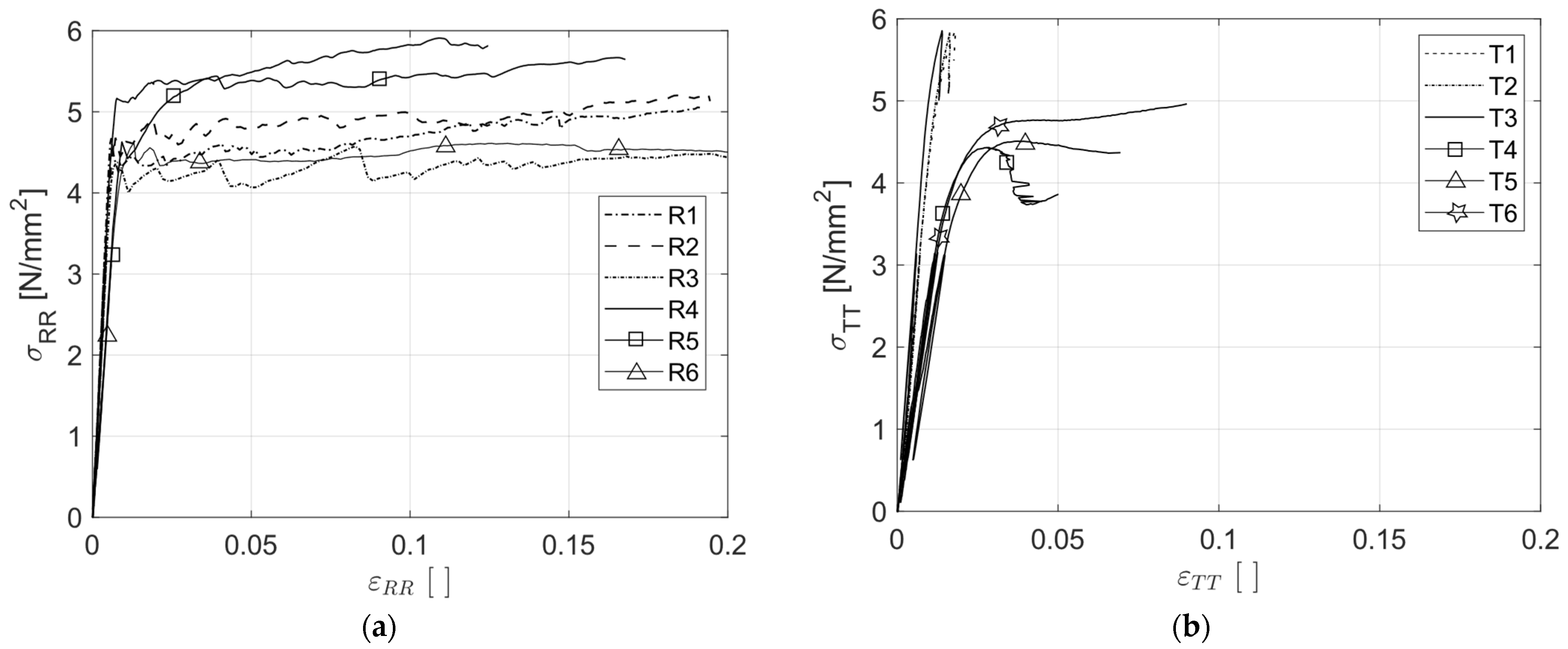
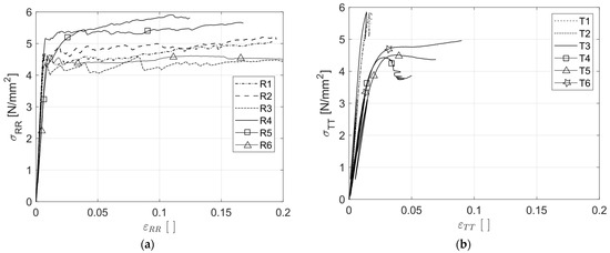
3.1. Stress–Strain Relationship
3.2. Stiffness and Strength
3.3. Influence of Density on and
3.4. Influence of Pith Location on and
3.5. Comparison with Effective Rolling Shear Modulus from CLT Bending Tests
4. Conclusions
Author Contributions
Funding
Data Availability Statement
Conflicts of Interest
References
- Mishnaevsky, L., Jr.; Qing, H. Micromechanical modelling of mechanical behaviour and strength of wood: State-of-the-art review. Comput. Mater. Sci. 2008, 44, 363–370. [Google Scholar] [CrossRef]
- Niemz, P.; Sonderegger, W.; Gorbacheva, G. Elastic and Inelastic Properties of Wood and Wood-Based Materials. In Handbook of Wood Science and Technology; Niemz, P., Teischinger, A., Sandberg, D., Eds.; Springer: Cham, Switzerland, 2023. [Google Scholar] [CrossRef]
- Clauß, S.; Pescatore, C.; Niemz, P. Anisotropic elastic properties of common ash (Fraxinus excelsior L.). Holzforschung 2014, 68, 941–949. [Google Scholar] [CrossRef]
- Niemz, P.; Sonderegger, W.; Gustafsson, P.J.; Kasal, B.; Polocoşer, T. Strength Properties of Wood and Wood-Based Materials. In Handbook of Wood Science and Technology; Niemz, P., Teischinger, A., Sandberg, D., Eds.; Springer: Cham, Switzerland, 2023. [Google Scholar] [CrossRef]
- Pedersen, M.U.; Clorius, C.O.; Damkilde, L.; Hoffmeyer, P. A simple size effect model for tension perpendicular to the grain. Wood Sci. Technol. 2003, 37, 125–140. [Google Scholar] [CrossRef]
- Bleron, L.; Denaud, L.; Collet, R.; Marchal, R. Experimental study of locally loaded timber in compression perpendicular to the grain. Eur. J. Environ. Civil. Eng. 2011, 15, 357–366. [Google Scholar] [CrossRef]
- Bodig, J. The Peculiarity of Compression of Conifers in Radial Direction. For. Prod. J. 1963, 13, 438. [Google Scholar]
- Bodig, J. The effect of Anatomy on the Initial Stress Strain Relationship in Transverse Compression. For. Prod. J. 1965, 15, 197–202. [Google Scholar]
- Kennedy, R. Wood in transverse compression: Influence of some anatmical variables and density on behavior. For. Prod. J. 1968, 18, 36–40. [Google Scholar]
- Madsen, B.; Hooley, R.; Hall, C. A design method for bearing stresses in wood. Can. J. Civil. Eng. 1982, 9, 338–349. [Google Scholar] [CrossRef]
- Gehri, E. Timber in compression perpendicular to the grain. In Proceedings of the IUFRO 502 Timber Engineering conference, Copenhagen, Denmark, 18–20 June 1997; pp. 355–374. [Google Scholar]
- Blass, H.; Görlacher, R. Compression perpendicular to the grain. In Proceedings of the 8th World Conference on Timber Engineering (WCTE), Lahti, Finland, 14–17 June 2004; Volume 2, pp. 435–440. [Google Scholar]
- Basta, C.T. Characterizing Perpendicular to Grain Compression in Wood Construction. Master’s Thesis, Oregon State University, Corvallis, OR, USA, 2005. [Google Scholar]
- Leijten, A.J.M.; Larsen, H.J.; Van der Put, T.A.C.M. Structural design for compression strength perpendicular to the grain of timber beams. Constr. Build. Mater. 2010, 24, 252–257. [Google Scholar] [CrossRef]
- Akter, S.T. Experimental Characterization and Numerical Modeling of Compression Perpendicular to the Grain in Wood and Cross-Laminated Timber. Ph.D. Thesis, Linnaeus University, Växjö, Sweden, 2022. [Google Scholar]
- Hassel, B.I.; Berard, P.; Modén, C.S.; Berglund, L.A. The single cube apparatus for shear testing—Full-field strain data and finite element analysis of wood in transverse shear. Comp. Sci. Tech. 2009, 69, 877–882. [Google Scholar] [CrossRef]
- Olsson, A.; Schirén, W.; Hu, M. Dynamic and quasi-static evaluation of stiffness properties of CLT: Longitudinal MoE and effective rolling shear modulus. Eur. J. Wood Wood Prod 2025, 83, 16. [Google Scholar] [CrossRef]
- Ehrhart, T.; Brandner, R. Rolling shear: Test configurations and properties of some European soft- and hardwood species. Eng. Struct. 2018, 272, 554–572. [Google Scholar] [CrossRef]
- Aicher, S.; Dill-Langer, G. Basic considerations to rolling shear modulus in wooden boards. Otto-Graf-J. 2000, 11, 157–165. [Google Scholar]
- Glasner, D.; Ringhofer, A.; Brandner, R.; Schickhofer, G. Rolling Shear Strength of Cross Laminated Timber (CLT)—Testing, Evaluation and Design. Buildings 2023, 13, 2831. [Google Scholar] [CrossRef]
- Swedish Wood, The Forest and Sustainable Forestry. Available online: https://www.swedishwood.com/wood-facts/about-wood/wood-and-sustainability/the-forest-and-sustainable-forestry/ (accessed on 10 April 2025).
- Górska, M.; Piermattei, A.; Rufnatto, F.; Crivellaro, A. Wood mechanical properties scale with distance to tree tip in the outermost growth ring of a Scots pine. Trees 2025, 39, 31. [Google Scholar] [CrossRef]
- Olsson, A.; Schirén, W.; Segerholm, K.; Bader, T.K. Relationships between stiffness of material, lamellas and CLT elements with respect to out of plane bending and rolling shear. Eur. J. Wood Wood Prod. 2023, 81, 871–886. [Google Scholar] [CrossRef]
- Bondsman, B.; Peplow, A. Inverse parameter identification and model updating for Cross-laminated Timber substructures. J. Build. Eng. 2024, 95, 110209. [Google Scholar] [CrossRef]
- Akter, S.T.; Bader, T.K. Experimental assessment of failure criteria for the interaction of normal stress perpendicular to the grain with rolling shear stress in Norway spruce clear wood. Eur. J. Wood Wood Prod. 2020, 78, 1105–1123. [Google Scholar] [CrossRef]
- EN 13183-1; Moisture Content of a Piece of Sawn Timber–Part 1: Determination by Oven Dry Method. European Committee for Standardization (CEN): Brussels, Belgium, 2002.
- EN 408; Structural Timber and Glued Laminated Timber. Determination of Some Physical and Mechanical Properties. European Committee for Standardization (CEN): Brussels, Belgium, 2010.
- Narin, J.A. Numerical Simulations of Transverse Compression and Densification in Wood. Wood Fiber Sci. 2006, 38, 576–591. [Google Scholar]
- Tabarsa, T. Compression Perpendicular-to-Grain Behaviour of Wood. Ph.D. Thesis, Forestry and Environmental Management, The University of New Brunswick, Fredericton, NB, Canada, 2001. [Google Scholar]
- Akter, S.T.; Serrano, E.; Bader, T.K. Numerical modelling of wood under combined loading of compression perpendicular to the grain and rolling shear. Eng. Struct. 2021, 244, 112800. [Google Scholar] [CrossRef]
- Aira, J.A.; Arriaga, F.; Gonzalez, G.I. Determination of the elastic constants of Scots pine (Pinus sylvestris L.) wood by means of compression tests. Biosyst. Eng. 2014, 126, 12–22. [Google Scholar] [CrossRef]
- Forest Product Laboratory. Wood Handbook: Wood as an Engineering Material; General Technical Report FPL-GTR-190; USDA Forest Service, Forest Products Laboratory: Madison, WI, USA, 2010.
- Dinwoodie, J.M. Timber: Its Nature and Behaviour, 2nd ed.; CRC Press: London, UK, 2000. [Google Scholar]









| Board and Specimen Position | Eccentricity, e (mm) | Vertical Dist. d (mm) | (°) | Notations and Pith Groups |
|---|---|---|---|---|
| B1:a (3 specimens) | 50 | 90 | 14–45 | ec-50 |
| B1:b (1 specimen) | 0 | 90 | 0–18 | ec-0 |
| B1:c (2 specimens) | 50 | 90 | 14–45 | ec-50 |
| B2:a (2 specimens) | 75 | 90 | 25–53 | ec-70 |
| B2:b (2 specimens) | 25 | 90 | 0–33 | ec-25 |
| B2:c (2 specimens | 25 | 90 | 0–33 | ec-25 |
| B3:a (2 specimens) | 30 | 90 | 3–36 | ec-25 |
| B3:b (2 specimens) | 20 | 90 | 0–31 | ec-25 |
| B3:c (2 specimens) | 70 | 90 | 23–52 | ec-70 |
| B4:a (1 specimen) | 25 | 90 | 0–33 | ec-25 |
| B4:b (3 specimens) | 25 | 90 | 0–33 | ec-25 |
| B4:c (2 specimens) | 75 | 90 | 25–53 | ec-70 |
| B5:a (2 specimens) | 70 | 90 | 23–52 | ec-70 |
| B5:b (2 specimens) | 20 | 90 | 0–31 | ec-25 |
| B5:c (2 specimens) | 30 | 90 | 3–36 | ec-25 |
| Board | Density (kg/m3) | Mean Density (kg/m3) | Moisture Content (%) |
|---|---|---|---|
| B1 | 494 | ||
| B2 | 472 | ||
| B3 | 534 | 516 (CV 8.0%) | 11.4 (CV 0.22%) |
| B4 | 583 | ||
| B5 | 498 |
| Test Types | (N/mm2) | (N/mm2) | (N/mm2) | (N/mm2) | (N/mm2) | |
|---|---|---|---|---|---|---|
| Radial | R1 | 874 | 865 | 816 | 842 | 776 |
| R2 | 770 | 746 | 778 | 775 | 749 | |
| R3 | 711 | 726 | 765 | 723 | 704 | |
| R4 | 735 | 701 | 719 | 764 | 757 | |
| R5 | 510 | 491 | 449 | 522 | 459 | |
| R6 | 523 | 459 | 475 | 511 | 507 | |
| Mean (CV) | 687 (19.0%) | 665 (21.6%) | 667 (22.1%) | 690 (18.4%) | 659 (19.2%) | |
| T1 | 514 | 457 | 414 | 497 | 470 | |
| T2 | 436 | 388 | 310 | 431 | 361 | |
| T3 | 526 | 412 | 427 | 528 | 531 | |
| T4 | 282 | 291 | 261 | 260 | 235 | |
| T5 | 206 | 223 | 175 | 202 | 175 | |
| T6 | 265 | 256 | 263 | 247 | 243 | |
| Mean (CV) | 372 (33.9%) | 338 (25.4%) | 361 (35.7%) | 308 (28.9%) | 336 (38.7%) |
| Test Specimen | (N/mm2) | (N/mm2) |
|---|---|---|
| Specimens R1 and T1 | 4.36 | 5.90 |
| Specimens R2 and T2 | 4.80 | 5.90 |
| Specimens R3 and T3 | 4.20 | 5.90 |
| Specimens R4 and T4 | 5.32 | 4.40 |
| Specimens R5 and T5 | 4.94 | 4.45 |
| Specimens R6 and T6 | 4.58 | 4.60 |
| Mean | 4.70 | 5.19 |
| CV (%) | 7.92 | 13.70 |
| Board B1 (N/mm2) | Board B2 (N/mm2) | Board B3 (N/mm2) | Board B4 (N/mm2) | Board B5 (N/mm2) | of All Boards (N/mm2) | |
|---|---|---|---|---|---|---|
| (1:2a) 128 | (2:1b) 81 | (3:2a) 130 | (4:1b) 132 | (5:1a) 254 | 135 | |
| (1:1a) 156 | (2:2a) 152 | (3:2b) 99 | (4:2b) 117 | (5:1b) 97 | ||
| (1:2c) 108 | (2:2c) 98 | (3:2c) 191 | (4:2c) 194 | (5:1c) 165 | ||
| (1:3a) 99 | (2:3a) 165 | (3:3a) 123 | (4:3a) 95 | (5:2a) 199 | ||
| (1:3b) 50 | (2:3b) 93 | (3:3b) 76 | (4:3b) 117 | (5:2b) 70 | ||
| (1:3c) 136 | (2:3c) 103 | (3:3c) 220 | (4:3c) 206 | (5:2c) 192 | ||
| Mean 113 | Mean 115 | Mean 140 | Mean 143 | Mean 163 | ||
| CV 29.7% | CV 27.0% | CV 36.0% | CV 28.6% | CV 38.3% | CV 31.9% | |
| (1:2a) 131 | (2:1a) 91 | (3:2a) 140 | (4:1b) 142 | (5:1a) 266 | 144 | |
| (1:1a) 168 | (2:2b) 164 | (3:2b) 105 | (4:2b) 121 | (5:1b) 102 | ||
| (1:2c) 112 | (2:2c) 106 | (3:3c) 207 | (4:2c) 218 | (5:1c) 178 | ||
| (1:3a) 107 | (2:3a) 172 | (3:3a) 131 | (4:3a) 106 | (5:2a) 213 | ||
| (1:3b) 53 | (2:3b) 99 | (3:3b) 78 | (4:3b) 122 | (5:2b) 76 | ||
| (1:3c) 142 | (2:3c) 107 | (3:3c) 237 | (4:3c) 216 | (5:2c) 205 | ||
| Mean 119 | Mean 123 | Mean 150 | Mean 154 | Mean 173 | ||
| CV 29.9% | CV 26.2% | CV 37.0% | CV 29.6% | CV 37.8% | CV 32.1% |
| Board B1 (N/mm2) | Board B2 (N/mm2) | Board B3 (N/mm2) | Board B4 (N/mm2) | Board B5 (N/mm2) | Mean of All Boards (N/mm2) |
|---|---|---|---|---|---|
| (1:2a) 3.83 | (2:1b) 3.28 | (3:2a) 3.66 | (4:1b) 3.07 | (5:1a) 4.61 | 3.11 |
| (1:1a) 3.81 | (2:2a) 2.36 | (3:2b) 3.15 | (4:2b) 3.13 | (5:1b) 2.34 | |
| (1:2c) 2.63 | (2:2c) 2.14 | (3:2c) 2.99 | (4:2c) 3.55 | (5:1c) 2.95 | |
| (1:3a) 4.05 | (2:3a) 2.69 | (3:3a) 3.88 | (4:3a) 4.24 | (5:2a) 2.45 | |
| (1:3b) 2.29 | (2:3b) 3.10 | (3:3b) 2.62 | (4:3b) 3.36 | (5:2b) 2.22 | |
| (1:3c) 2.74 | (2:3c) 2.18 | (3:3c) 4.10 | (4:3c) 3.58 | (5:2c) 2.66 | |
| Mean 3.22 | Mean 2.63 | Mean 3.40 | Mean 3.49 | Mean 2.87 | |
| CV 21.4% | CV 6.5% | CV 12.6% | CV 12.1% | CV 28.3% | CV 16.2% |
Disclaimer/Publisher’s Note: The statements, opinions and data contained in all publications are solely those of the individual author(s) and contributor(s) and not of MDPI and/or the editor(s). MDPI and/or the editor(s) disclaim responsibility for any injury to people or property resulting from any ideas, methods, instructions or products referred to in the content. |
© 2025 by the authors. Licensee MDPI, Basel, Switzerland. This article is an open access article distributed under the terms and conditions of the Creative Commons Attribution (CC BY) license (https://creativecommons.org/licenses/by/4.0/).
Share and Cite
Akter, S.T.; Olsson, A.; Bader, T.K. Stiffness and Strength of Scots Pine Wood Under Compression Perpendicular to the Grain and Rolling Shear Loading. Appl. Sci. 2025, 15, 10775. https://doi.org/10.3390/app151910775
Akter ST, Olsson A, Bader TK. Stiffness and Strength of Scots Pine Wood Under Compression Perpendicular to the Grain and Rolling Shear Loading. Applied Sciences. 2025; 15(19):10775. https://doi.org/10.3390/app151910775
Chicago/Turabian StyleAkter, Shaheda T., Anders Olsson, and Thomas K. Bader. 2025. "Stiffness and Strength of Scots Pine Wood Under Compression Perpendicular to the Grain and Rolling Shear Loading" Applied Sciences 15, no. 19: 10775. https://doi.org/10.3390/app151910775
APA StyleAkter, S. T., Olsson, A., & Bader, T. K. (2025). Stiffness and Strength of Scots Pine Wood Under Compression Perpendicular to the Grain and Rolling Shear Loading. Applied Sciences, 15(19), 10775. https://doi.org/10.3390/app151910775

