Next Article in Journal
UAV–Ground Vehicle Collaborative Delivery in Emergency Response: A Review of Key Technologies and Future Trends
Previous Article in Journal
Resilience Assessment of Safety System in EPB Construction Based on Analytic Network Process and Extension Cloud Model
 
 
Font Type:
Arial Georgia Verdana
Font Size:
Aa Aa Aa
Line Spacing:
Column Width:
Background:
Article

A New Plant Growth Regulator: An In Silico Evaluation

by
Giovanny Hernández Montaño
1,
Silvia P. Paredes-Carrera
2,
José J. Chanona Pérez
3,
Darío Iker Téllez Medina
4,
Tomás A. Fregoso Aguilar
5,
Jorge A. Mendoza-Pérez
1,* and
Dulce Estefanía Nicolás Álvarez
5,*
1
Departamento de Energías Renovables, Escuela Nacional de Ciencia Biológicas, Instituto Politécnico Nacional S/N, Unidad Profesional Adolfo López Mateos, Mexico City 07738, Mexico
2
Laboratorio de Nanomateriales Sustentables, Escuela Superior de Ingeniería Química e Industrias Extractivas, Instituto Politécnico Nacional S/N, Unidad Profesional Adolfo López Mateos, Mexico City 07708, Mexico
3
Departamento de Ingeniería Bioquímica, Escuela Nacional de Ciencias Biologicas, Instituto Politécnico Nacional, Av. Wilfrido Massieu Esq. Cda. Miguel Stampa S/N, Gustavo A. Madero, Ciudad de México 07738, Mexico
4
Departamento de Ingeniería Bioquímica, Laboratorio de Ingeniería en Alimentos ENCB, Instituto Politécnico Nacional, Av. Wilfrido Massieu Esq. Cda. Miguel Stampa S/N, Gustavo A. Madero, Ciudad de México 07738, Mexico
5
Departamento de Fisiología, Escuela Nacional de Ciencias Biologicas, Instituto Politécnico Nacional, Av. Wilfrido Massieu Esq. Cda. Miguel Stampa S/N, Gustavo A. Madero, Ciudad de México 07738, Mexico
*
Authors to whom correspondence should be addressed.
Appl. Sci. 2025, 15(17), 9797; https://doi.org/10.3390/app15179797
Submission received: 2 August 2025 / Revised: 1 September 2025 / Accepted: 3 September 2025 / Published: 6 September 2025
(This article belongs to the Special Issue Advanced Analytical Methods for Natural Products and Plant Chemistry)

Abstract

The increasing demand for sustainable alternatives to synthetic agrochemicals underscores the need for novel, naturally derived plant growth regulators (PGRs) with high specificity and minimal environmental impact. In this study, we propose agavenin (AG), a steroidal saponin from Agave species, as a promising candidate and evaluate its potential role in plant growth regulation through a comprehensive in silico approach. Using molecular docking, molecular dynamics simulations, ADME profiling, and FTIR spectroscopy, we analyzed the interaction of AG with three key protein receptors (KPRs) that regulate major hormonal pathways: GA3Ox2 (gibberellin), IAA7 (auxin), and BRI1 (brassinosteroid). AG showed strong and stable binding to GA3Ox2 and IAA7, with affinities comparable to their endogenous ligands, while exhibiting low interaction with BRI1—suggesting receptor selectivity. Molecular dynamics confirmed the stability of AG–GA3Ox2 and AG–IAA7 complexes over 100 ns, and ADME profiling highlighted favorable properties for bioavailability and transport. Collectively, these findings indicate that AG could function as a selective, receptor-targeted modulator of gibberellin and auxin signaling pathways. Beyond demonstrating the molecular basis of AG’s bioactivity, this work establishes a computational foundation for its future experimental validation and potential development as a sustainable, naturally derived growth regulator for plant biotechnology and agriculture.

1. Introduction

With the global population projected to reach 9.7 billion by 2050 [1], a significant increase in global food demand is anticipated. This challenge necessitates improvements in agricultural productivity, which requires the optimization of plant growth directly linked to crop yield through sustainable practices to ensure food security [2]. In this context, sustainable agriculture has gained prominence, as it aims to maximize crop performance while minimizing environmental impact through practices such as crop rotation, efficient resource management, and the selection of stress-resistant plant varieties [3].
A key component for achieving sustainable management of plant growth (an essential biological process for agricultural productivity) is the strategic use of plant growth regulators (PGRs) [4]. PGRs are organic compounds naturally produced by plants that function at very low concentrations to regulate physiological processes [5]. These regulators act on cellular receptors, commonly referred to as Key Protein Receptors (KPRs), facilitating intercellular communication and influencing developmental pathways [3,6]. Despite their potential, current methods for developing and applying PGRs face significant challenges, including limited specificity leading to unintended physiological effects, prolonged and costly development cycles [7], environmental contamination risks [8], and potential resistance in both target and non-target organisms [9].
These challenges are further compounded by increasing environmental pressures driven by climate change, including erratic rainfall patterns, rising soil salinity, and elevated temperatures that exacerbate crop stress [10]. Such conditions intensify abiotic stress in plants and underscore the urgent need for the development of novel regulators that not only promote growth and productivity but also enhance the physiological resilience of crops under adverse environmental conditions [11].
In response to this scenario, in silico methods have emerged as a promising technological alternative [12]. These computational techniques, which include molecular simulations [13], mathematical modeling [14], and predictive algorithms [15], enable the analysis of interactions between compounds (PGRs) and receptors (KPRs) at the atomic level [13]. This accelerates the discovery process of new PGRs, reduces costs, and minimizes the environmental impact associated with traditional experimental approaches [11,16]. In plant science, in silico approaches are increasingly used to identify novel PGRs predict their pharmacokinetic profiles, binding specificity, and structural dynamics.
In this context, the present study applied computational tools (docking and molecular dynamics) to investigate the potential of a saponin derived from species of the Agave genus as a novel plant growth regulator. Agave species are notable for their remarkable adaptability to arid environments, making them promising candidates for the development of bioactive compounds applicable to sustainable agriculture. In addition to their economic value, these species have applications in various sectors, including food, health, and biofuels [17,18,19].
Despite its biochemical richness, the role of Agave in plant physiology remains largely unexplored, particularly considering that the gene is present in more than 400 different species growing in arid and semi-arid climates [17]. Specifically, agavenin (a saponin with a steroidal structure like that of brassinosteroids) is of particular interest as a candidate for receptor-level interaction studies within growth-regulatory signaling pathways due to its potential capacity to interact with plant hormone signaling routes.
In this study, the potential of agavenin as a plant growth regulator (PGR) was analyzed in comparison with three Key Protein Receptors (KPRs) involved in plant growth regulation: GA3Ox2 (gibberellin pathway), IAA7 (auxin pathway), and BRI1 (brassinosteroid pathway). These hormonal signaling pathways are crucial for regulating plant physiology, vascular differentiation, and stress response [20], making them ideal targets for evaluating and comparing plant growth-promoting compounds such as agavenin against endogenous KPR stimulants: Gibberellic Acid (GA3), Brassinolide (BL), and Indole-3-Acetic Acid (IAA). Additionally, this approach allows for the prediction of binding affinity energy and chemical stability for each compound-receptor interaction. Considering challenges and opportunities, this study aimed to evaluate the potential of agavenin (AG) as a novel plant growth regulator. To achieve this, we employed an integrative in silico strategy combining molecular docking, molecular dynamics simulations, ADME profiling, and FTIR spectroscopy to characterize AG’s interaction with three key protein receptors (KPRs): GA3Ox2 (gibberellin-related), IAA7 (auxin-related), and BRI1 (brassinosteroid-related). By assessing binding affinity, structural stability, physicochemical suitability, and functional group composition, the purpose of this research was to establish a computational foundation for understanding AG’s receptor-specific activity and to highlight its potential as a sustainable, naturally derived alternative for plant growth regulation in modern agriculture.

2. Materials and Methods

The present study was conducted using an in silico computational approach aimed at evaluating the molecular interactions and conformational stability of agavenin (AG) in comparison with three endogenous plant growth regulators (PGRs): gibberellic acid (GA3), indole-3-acetic acid (IAA), and brassinolide (BL). These compounds were assessed against three key protein receptors (KPRs) involved in plant growth regulation: GA3Ox2, IAA7, and BRI1. The methodological strategy included structural preparation of ligands and receptors, molecular docking studies, molecular dynamics simulations, ADME pharmacokinetic analysis, and functional group characterization through Fourier-transform infrared (FTIR) spectroscopy.

2.1. Molecular Docking

Molecular docking was carried out following standard computational protocols established for protein-ligand interaction studies [21]. The crystal structures of the key protein receptors (KPRs) were retrieved from the Protein Data Bank (PDB) [22]: GA3Ox2 (PDB ID: 7EKD), IAA7 (PDB ID: 2P1N), and BRI1 (PDB ID: 4OH4) [23]. Each receptor structure was prepared by removing crystallographic water molecules, co-crystallized ligands, and heteroatoms to avoid steric interferences using UCSF Chimera v.1.14 [24]. The structures of the plant growth regulators (PGRs): GA3 (CID: 6466), BL (CID: 25202517), and IAA (CID: 802) were downloaded from the PubChem database [25]. The molecular structure of agavenin (AG) was constructed using ChemDraw 20.1 (PerkinElmer, Waltham, Massachusetts, United States), based on the structural information reported [17]). All ligand structures were energy-minimized to their ground state using Avogadro v.2.0 and the MMFF94 force field [26].
Molecular docking simulations were performed using AutoDock Vina v.1.1.2 [27]. This is a widely used tool that applies a stochastic global search algorithm coupled with a scoring function to predict binding conformations and estimate binding free energies [27,28]. Ligands and receptors were converted to the PDBQT format using AutoDockTools v.1.5.6, with rotatable bonds and Gasteiger charges assigned. Grid boxes were centered on the known active sites of each receptor to restrict the conformational search to biologically relevant regions. For GA3Ox2, the grid center was defined based on the coordinates of the co-crystallized ligand, with a grid box size of 56.63 × 58.96 × 42.90 Å and a spacing of 1.0 Å. For IAA7, the grid was centered at −27.46 × 21.33 × −34.24 Å with the same spacing. For BRI1, the grid center was set at 37.50 × −3.97 × 31.22 Å, also with a spacing of 1.0 Å [29]. For each ligand-receptor pair, multiple docking runs were conducted to ensure reproducibility, and the best-ranked poses were selected based on binding energy and interaction profiles, including hydrogen bonding and hydrophobic contacts. This protocol has been extensively applied in plant hormone receptor studies and provides a reliable approximation of receptor–ligand affinity at the atomic level [13,16].

2.2. Molecular Dynamics

Molecular dynamics (MD) simulations were conducted to assess the conformational stability and dynamic behavior of the receptor–ligand complexes under near-physiological conditions. All-atom simulations were performed using GROMACS v.2022.4 [30]. This software applies Newton’s equations of motion to predict atomic trajectories over time [31,32].
Ligand topologies were generated using the CHARMM-GUI Ligand Reader & Modeler [33], ensuring compatibility with the CHARMM36m force field for both protein and ligand parameterization [33,34]. The protein–ligand complexes were solvated in a TIP3P water-filled cubic box and neutralized with Na+ and Cl ions to achieve a final salt concentration of 0.15 M.
Energy minimization was performed using the steepest descent algorithm. Two equilibration phases were conducted: 100 ps under NVT conditions, followed by 100 ps under NPT conditions, employing a velocity rescaling thermostat and a Parrinello–Rahman barostat to maintain a temperature of 300 K and a pressure of 1 atm, respectively. Production MD simulations were run for 100 ns with a 2 fs time step. Root-mean-square deviation (RMSD) values and hydrogen bond profiles were extracted using the integrated GROMACS analysis tools. Complexes were considered structurally stable if RMSD values remained below 3.5 Å throughout the simulation. This workflow follows validated methodologies for biomolecular dynamics and has been widely applied in the study of protein–ligand interactions in plant hormone signaling [13,31,35].

2.3. ADME Pharmacokinetic

Canonical SMILES strings for each ligand were obtained from PubChem and processed through SwissADME [36] to calculate pharmacokinetic properties and drug-likeness scores. This platform integrates multiple computational models to estimate absorption, distribution, metabolism, and excretion (ADME) characteristics. Key physicochemical descriptors were calculated, including molecular weight, topological polar surface area (TPSA), lipophilicity (iLOGP), hydrogen bond donors and acceptors, and rotatable bonds. These properties were assessed in accordance with Lipinski’s Rule of Five and Veber’s criteria, which are widely used guidelines to estimate membrane permeability and oral bioavailability of small molecules [37,38].
Pharmacokinetic predictions included gastrointestinal (GI) absorption, blood–brain barrier (BBB) permeability, water solubility, and bioavailability scores, which are inferred from machine-learning models validated against experimental datasets. The drug-likeness index (D) was also calculated as a composite score reflecting the likelihood of the compound to behave as a bioactive molecule.
Although ADME analyses are typically employed in drug discovery, their application in plant science and agrochemical development has gained traction, as they provide valuable insights into the potential systemic transport, tissue penetration, and bioavailability of plant growth regulators [12,36]. This integrative approach complements molecular docking and dynamics by predicting whether the physicochemical profile of agavenin (AG) is compatible with effective in-plant activity.

2.4. Characterization of Materials/GA3, IAA, BL and AG

Fourier-transform infrared (FTIR) spectroscopy was employed to confirm the molecular identity and functional group composition of the evaluated compounds (GA3, IAA, BL, and AG). Solid-state samples were analyzed without the addition of a KBr matrix to avoid dilution effects and ensure direct detection of characteristic vibrations. Spectra were recorded using a PerkinElmer Frontier spectrometer in transmission mode, with a spectral range of 4000–400 cm−1, following established protocols for plant-derived biomolecules [39,40]. Each spectrum was acquired by averaging 32 scans to improve the signal-to-noise ratio, and baseline corrections were applied to minimize instrumental artifacts. Characteristic vibrational bands, such as hydroxyl (O–H, ~3400 cm−1), carbonyl (C=O, ~1700–1750 cm−1), aliphatic C–H (~2950–2850 cm−1), and C–O stretching (~1200–1000 cm−1), were analyzed to identify functional groups relevant for hydrogen bonding and receptor interaction [41].
FTIR analysis thus provided complementary evidence for the chemical structure of agavenin and its comparability with endogenous plant growth regulators, reinforcing the molecular basis for its potential bioactivity. This approach has been widely applied in the characterization of phytohormones, secondary metabolites, and natural saponins [18,42].

3. Results and Discussion

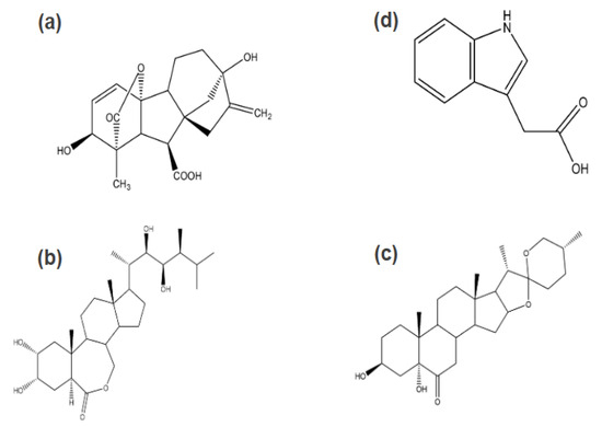
The evaluation of agavenin (AG) as a candidate plant growth regulator (PGR) was performed through an integrative in silico strategy combining molecular docking, molecular dynamics, ADME profiling, and FTIR spectroscopy. This multiparametric approach allowed not only the identification of favorable binding interactions with key protein receptors (KPRs) but also the assessment of stability and pharmacokinetic suitability. Similar computational workflows have been widely adopted in plant biotechnology to accelerate the discovery of novel bioactive compounds with hormone-like activity [12,13]. In the following subsections, docking results are presented and subsequently analyzed in the context of receptor specificity and potential physiological relevance. The plant growth regulators (PGRs) evaluated in this study included gibberellic acid (GA3), brassinolide (BL), agavenin (AG) and indoleacetic acid (IAA). The molecular structures of these compounds are shown in Figure 1.

3.1. Molecular Docking Evaluation

Molecular docking simulations provided an initial approximation of the binding affinity and interaction patterns between agavenin and three key plant receptors: GA3Ox2, IAA7, and BRI1. Docking is recognized as a reliable tool to predict ligand–receptor complementarity and has been extensively used to study phytohormone perception at the molecular level [27,28]. In this study, docking scores revealed that AG exhibited favorable binding energies with GA3Ox2 and IAA7, comparable to their endogenous ligands, while its interaction with BRI1 was considerably weaker. These results suggest that AG may act selectively on gibberellin- and auxin-related pathways, a feature that is particularly valuable since lack of receptor specificity is a common limitation of synthetic PGRs [3,7].

3.1.1. Docking Between KPR GA3Ox2 and PGRs GA3 and AG

GA3 displayed a binding energy of −7.90 kcal/mol with GA3Ox2, interacting with GLY320, LYS26, PHE27, PHE238, SER116, TYR35, and TYR127. Otherwise, AG showed slightly better affinity with the same KPR (−7.97 kcal/mol), with interactions involving ARG35, ASN32, PRO37, and SER58. The 2D interaction diagrams illustrate hydrogen bonding with ILE119A and hydrophobic interactions with PRO118A, PHE341A, THR206A, PHE301A, and TRP330A (Figure 2).
The interaction profile of AG included critical residues such as ARG35 and SER58, overlapping spatially with several contacts formed by GA3, such as TYR35 and SER116. These shared residues suggest that AG can occupy the same or closely adjacent binding sites as the natural ligand, which may be functionally relevant in competitive or mimetic interactions.
Comparable docking studies have reported that natural compounds, including saponins and triterpenes, can display hormone-like activity by anchoring to gibberellin-related receptors with affinities in the range of −6.5 to −8.0 kcal/mol [12,13]. The fact that AG falls within this range (and in some cases slightly surpasses the endogenous ligand) highlights its potential relevance as a bioactive regulator. This observation is particularly noteworthy given that gibberellins are critical in controlling stem elongation, seed germination, and flowering [43].
The capacity of AG to stably interact with GA3Ox2 suggests that its steroidal backbone provides structural compatibility with the receptor environment, an aspect also observed in other studies where brassinosteroid analogs or steroidal saponins demonstrated cross-affinity with gibberellin-related proteins [7,17]. Unlike many synthetic PGRs that often lack receptor selectivity, the observed interaction profile indicates that AG may exert a targeted effect, opening possibilities for its application as a sustainable regulator in agriculture.

3.1.2. Docking Between KPR BRI1 and PGRs BL and AG

BL, the endogenous ligand of BRI1, exhibited a strong binding affinity of −9.06 kcal/mol, forming interactions with ALA315, GLY369, LEU295, LEU423, LYS317, MET366, TYR365, and VAL303. AG, in contrast, displayed a lower binding affinity of −4.50 kcal/mol and interacted with residues ALA367, ARG287, ASN368, GLY369, LEU295, MET351, PRO379, and VAL290 (Figure 3).
This difference aligns with previous structural studies of brassinosteroid signaling, which emphasize the high degree of ligand–receptor complementarity required for BRI1 activation [44,45]. Brassinosteroids possess a polyhydroxylated steroid backbone that establishes a dense hydrogen-bond network with BRI1, a feature that AG (despite also being steroidal) appears to lack. Such divergence underscores that AG does not mimic BL at the molecular level, highlighting its receptor selectivity.
Interestingly, this selective behavior may represent an advantage. Synthetic and natural PGRs often face limitations due to off-target interactions and pleiotropic effects [7]. The weak affinity of AG for BRI1 suggests that its action is unlikely to interfere with brassinosteroid signaling, potentially reducing unintended physiological effects. Instead, AG may act more specifically on gibberellin- and auxin-related pathways, as supported by its stronger interaction with GA3Ox2 and IAA7.
Taken together, these findings not only confirm the structural exclusivity of the BRI1–BL interaction, as reported in crystallographic studies [46,47], but also emphasize AG’s selective binding profile. This receptor discrimination could be advantageous in agricultural applications where pathway-specific regulation is preferred over broad-spectrum hormonal modulation.

3.1.3. Docking Between KPR IAA7 and PGRs IAA and AG

IAA formed a complex with the IAA7 receptor with a binding energy of −4.21 kcal/mol, involving ASN10, LYS13, PRO6, and TRP5. AG-IAA7 showed similar affinity (−4.50 kcal/mol) and interacted with ARG9, GLY4, LYS13, PRO6, and VAL8. The 2D map revealed a hydrogen bond between AG and TYR11C (Figure 4).
In the auxin receptor IAA7, AG and IAA demonstrated nearly equivalent binding energies and similar binding residues, including LYS13 and PRO6. These results indicate that AG is not just capable but potentially influential in anchoring to key residues involved in auxin perception. What is particularly noteworthy here is that AG, being a relatively larger steroidal saponin than the small IAA, manages to establish comparable interactions. This suggests that agavenin’s conformation and functional groups compensate for its larger size through localized hydrophobic contacts and hydrogen bonding, a property that has already been reported for saponins and triterpenoids that modulate hormonal pathways by interacting with narrow but flexible sites [13,17]. From an applied perspective, such behavior opens the possibility that AG may act as a partial modulator of the auxin signal (for example, as a weak agonist or allosteric modulator), which could allow for regular auxin-dependent responses without causing the wide range of pleiotropic effects associated with strong agonists. However, these findings require validation by dynamic simulations that consider receptor plasticity and, preferably, biochemical/in vitro assays (Aux/IAA binding and degradation assays or reporter plant assays) to determine whether the predicted binding translates into relevant biological activity.
A summary of all docking scores and interacting residues is presented in Table 1. Residues shared between AG and endogenous ligands are highlighted in bold.
AG showed comparable binding energy to the GA3-GA3Ox2 complex and IAA-IAA7 complex, while binding to BRI1 was notably weaker than the endogenous ligand (BL) (Figure 5).
The in silico evaluation of agavenin (AG) as a potential plant growth regulator (PGR) offers new insight into its capacity to interact with well-characterized key protein receptors (KPR) involved in growth and development pathways. Through molecular docking simulations, AG was shown to engage two of the three tested KPRs—GA3Ox2 and IAA7—with affinity and structural stability comparable to those of their respective endogenous ligands. This supports the hypothesis that AG may function as a receptor-specific effector molecule within these phytohormone-related signaling cascades.

3.2. Molecular Dynamics

Molecular dynamics simulations were used to evaluate the conformational stability of ligand-receptor complexes. To complement the docking predictions and assess the temporal stability of the protein–ligand complexes, 100 ns molecular dynamics (MD) simulations were performed on the GA3Ox2–GA3, GA3Ox2–AG, BRI1–BL, BRI1–AG, IAA7–IAA, and IAA7-AG complexes. The simulations, run with GROMACS v2022.4 and the CHARMM36m force field, were designed to reproduce near-physiological conditions (TIP3P, 0.15 M NaCl, T = 300 K, P = 1 atm).

3.2.1. Root Mean Square Deviation (RMSD)

Root Mean Square Deviation (RMSD) values below 3.0 Å were interpreted as indicative of structural stability over time.
In the GA3Ox2 simulations, GA3 exhibited lower fluctuations compared to AG, which lost stability around 70 ns and regained partial stability later. In BRI1 simulations, the BL-BRI1 complex was more stable than the AG-BRI1 complex. In contrast, IAA7 complexes with IAA and AG both maintained stable trajectories with RMSD values below 3 nm throughout the simulation (Figure 6).

3.2.2. Hydrogen Bonds

Hydrogen bond formation was assessed throughout the MD simulation. For GA3Ox2, where GA3 formed more frequent and stable hydrogen bonds than AG. In the BRI1 receptor, BL formed up to six hydrogen bonds in central time windows, while AG formed fewer and more transient bonds. For IAA7, both AG and IAA displayed lower and scattered hydrogen bond frequencies (Figure 7).
The binding free energies between different ligands (GA3, AG, AIB, and BL) and three representative receptors (GA3Ox2, BR11, and 1AA7) were calculated using the MM/PBSA method. The results allow comparing the relative affinity of each ligand for the different receptors.

3.3. ADME Pharmacokinetic Results

The absorption, distribution, metabolism, and excretion (ADME) properties of PGRs: gibberellic acid (GA3), brassinolide (BL), agavenin (AG), and indoleacetic acid (IAA) were analyzed to estimate their pharmacokinetic behavior and potential as bioactive molecules in biotechnological contexts. Pharmacokinetic and physicochemical properties of the four PGRs were obtained using SwissADME.
Table 2 summarizes parameters such as molecular weight, number of hydrogen bond donors and acceptors, topological polar surface area (TPSA), lipophilicity (iLOGP), water solubility, gastrointestinal (GI) absorption, blood–brain barrier (BBB) permeability, and drug-likeness (D).
In terms of molecular weight, GA3 and IAA had lower values (246.37 g/mol and 175.18 g/mol, respectively), which may favor their passive absorption. In contrast, BL (480.68 g/mol) and AG (446.62 g/mol) had higher weights, which may limit their oral bioavailability according to Lipinski’s rule. Regarding conformational rotation, GA3 and BL have a low number of rotatable bonds (#ERot = 1), suggesting greater structural rigidity. AG displayed a highly flexible structure (#ERot = 5), while IAA had an intermediate value (#ERot = 2). These parameters are relevant for interaction with biological targets and membrane permeability.
The TPSA (topological polar surface area) parameter is a molecular property that quantifies the surface area occupied by electronegative atoms (mainly oxygen and nitrogen) and their bonded hydrogens. In this parameter, compounds GA3 and BL presented TPSAs greater than 100 Å2, which generally suggests a limited permeability through lipophilic membranes, such as the blood–brain barrier (BBB), which is consistent with the non-permeability results observed for these hormones. In contrast, AG and IAA presented lower TPSAs (<90 Å2), which is associated with higher cellular permeability and better intestinal absorption, consistent with the BBB permeability predictions for these compounds.
The lipophilicity index (LogP) varied significantly between the molecules: AG and BL were the most lipophilic (3.72 and 3.7, respectively), while IAA and GA3 were more hydrophilic (1.51 and 1.15). These values correlated with water solubility, where GA3 and IAA were soluble, and BL and AG were moderately soluble, which may influence their administration routes.
Regarding gastrointestinal (GI) absorption, all phytohormones showed high oral absorption according to computational predictions. However, important differences were observed in their ability to cross the blood–brain barrier (BBB): GA3 and BL were predicted to be non-permeable, while AG and IAA were found to be BBB-permeable, which may imply a potential action in the central nervous system or broader tissue distribution.
Finally, the drug-likeness values (D) reflect a quantitative estimate of these molecules suitability as drugs based on pharmacokinetic and structural parameters. GA3 (−1.7675) and BL (−0.8799) showed negative values, suggesting less compatibility with typical drug profiles. In contrast, AG (2.2549) and IAA (0.2920) obtained positive values, indicating a better drug-likeness profile, with AG being the most promising compound from this perspective.
ADME profiling indicated that AG possesses physicochemical characteristics associated with high bioavailability and membrane permeability. It exhibited favorable lipophilicity, high gastrointestinal absorption, and the ability to cross the blood–brain barrier (as a proxy for general membrane permeability), while also achieving the highest drug-likeness score among all compounds tested. Although ADME analysis originates from pharmacological screening models, its application in agrochemical development is increasingly accepted for evaluating compound transport, absorption, and distribution in plant systems.
Taken together, these findings highlight AG as a promising compound with selective binding capacity and physicochemical compatibility to function as a plant growth effector through gibberellin- and auxin-related pathways. The absence of intense interaction with BRI1 further emphasizes its potential as a receptor-specific modulator. Its natural origin in Agave species, which are known for their ecological adaptability and metabolic richness, reinforces the relevance of AG as a sustainable bio-derived input for agricultural use.
Nevertheless, this study is based exclusively on computational modeling. Therefore, in vitro and in vivo validation is essential to determine whether AG can elicit transcriptional or phenotypic responses upon receptor interaction. Future research should focus on receptor activation assays, gene expression profiling, and plant bioassays under controlled conditions. Additionally, synthetic modification of AG may enhance its receptor specificity or stability, expanding its potential applications in plant biotechnology.

3.4. Fourier-Transform Infrared Spectroscopy (FTIR)

Fourier transform infrared spectroscopy (FTIR) was performed to characterize the functional groups present in the phytohormones GA3, BL, AG, and IAA (Figure 8). Characteristic bands were observed in all spectra, confirming the presence of functional groups functionally relevant to their biological activity.
In the spectrum of gibberellic acid (Figure 8a), a broad band was identified around ~3400 cm−1 corresponding to the stretching of the hydroxyl group (O–H), in addition to signals at ~2940 cm−1 associated with aliphatic C–H bonds. A prominent band at ~1750 cm−1 is attributed to the stretching of the carbonyl group (C=O) of carboxylic acids, and signals in the range of 1450–1050 cm−1 correspond to C–O vibrations. These results confirm the presence of multiple polar functional groups in the GA3 molecule [48].
The spectrum of the brassinosteroid (Figure 8b) showed a pattern typical of functionalized steroid compounds. A broad band was observed at ~3400 cm−1 corresponding to O–H stretching, as well as signals at ~2950–2850 cm−1 typical of the C–H bonds of the aliphatic backbone. The band at ~1730 cm−1 suggests the presence of a carbonyl group, possibly associated with a lactone, while the signals between 1250 and 1000 cm−1 indicate C–O–C and C–O–H vibrations, compatible with alcohols and ethers [49].
In the case of agavenin (Figure 8c), the spectrum revealed an intense absorption at ~3400 cm−1 (O–H group) and a C–H stretching band at ~2950 cm−1, indicative of the steroid backbone. The signal at ~1725 cm−1 suggests the presence of a carbonyl group, possibly ketone-type, and the bands between ~1100–1000 cm−1 correspond to C–O bonds of secondary or tertiary alcohols [42].
Finally, the spectrum of indoleacetic acid (Figure 8d) showed characteristic bands of aromatic and carboxylic compounds. An O–H stretch was observed at ~3400 cm−1, a strong C=O stretch at ~1700 cm−1 associated with the carboxylic group, and signals at ~1600 cm−1 corresponded to the C=C system of the indole ring. The bands between 1250 and 1000 cm−1 were assigned to C–O bonds [50].

4. Conclusions

This study provides the first integrative in silico evaluation of agavenin (AG), a steroidal saponin derived from Agave species, as a potential plant growth regulator. Through molecular docking, molecular dynamics simulations, pharmacokinetic profiling, and FTIR characterization, we demonstrate that AG establishes stable and energetically favorable interactions with two key plant receptors, GA3Ox2 and IAA7, while showing weak affinity toward BRI1. This selective binding profile suggests that AG could modulate gibberellin- and auxin-related pathways without interfering with brassinosteroid signaling, an advantage over many synthetic PGRs that often lack receptor specificity.
The molecular dynamics analyses further validated the stability of AG–GA3Ox2 and AG–IAA7 complexes, highlighting the adaptability of AG’s steroidal scaffold to plant receptor environments. ADME predictions supported the physicochemical suitability of AG for systemic transport, while FTIR confirmed its structural features relevant for receptor interaction. Taken together, these findings propose AG as a promising candidate for sustainable agricultural applications.
From a scientific perspective, this research contributes by expanding the chemical space of natural molecules with hormone-like potential, applying a multiparametric computational framework to assess plant growth regulators at the atomic level, and providing a comparative basis for future studies on receptor selectivity of natural products. While further experimental validation is required, the study establishes a methodological and conceptual foundation for the rational discovery of bioactive compounds from underexplored plant sources.

Author Contributions

G.H.M.: Conceptualization, methodology, data curation, formal analysis, visualization, investigation, writing—original draft preparation, writing—reviewing and editing, conceptualization, methodology, writing—reviewing and editing, and supervision. D.E.N.Á.: Methodology, data curation, formal analysis, visualization, and investigation. J.A.M.-P.: Methodology and funding acquisition. Sip-20231298, 20240315, 20250539. S.P.P.-C.: reviewing and supervision. J.J.C.P.: reviewing and supervision. D.I.T.M.: reviewing and supervision. T.A.F.A.: reviewing and supervision. All authors have read and agreed to the published version of the manuscript.

Funding

This research was made possible with the support of the Consejo Nacional de Humanidades, the Ciencias y Tecnologias (SECIHTI), the IPN-ENCB.ESIQIE. UPIBI (Instituto Politecnico Nacional—Escuela Nacional de Ciencias Biologicas-Escuela Superior de Ingeniería Química e Insdustrias Extractivas-Unidad Profesional Interdisciplinaria de Biotecnologia), and the doctoral scholarship grant no. A210331. Sip-20231298, 20240315, 20250539, 20231107, 20242839, 20250319.

Institutional Review Board Statement

Not applicable.

Informed Consent Statement

Not applicable.

Data Availability Statement

The original contributions presented in the study are included in the article, further inquiries can be directed to the corresponding authors.

Conflicts of Interest

The authors declare no conflicts of interest.

Abbreviations

The following abbreviations are used in this manuscript:
AGAgavenin
PGRPlant Growth Regulator
KPRKey Protein Receptor
ADMEAbsorption, Distribution, Metabolism, and Excretion
FTIRFourier Transform Infrared
GA3Gibberelic Acid
BLBrassinolide
IAAIndole-3-Acetic Acid
PDBProtein Data Bank
MDMolecular Dynamics

References

  1. Sands, R.D.; Meade, B.; Seale, J.L.; Robinson, S.; Seeger, R. Economic Research Service Economic Research Report Number 323 Scenarios of Global Food Consumption: Implications for Agriculture. 2023. Available online: www.ers.usda.gov (accessed on 28 May 2025).
  2. Holt-Giménez, E. One Billion Hungry: Can We Feed the World? by Gordon Conway. Agroecol. Sustain. Food Syst. 2013, 37, 968–971. [Google Scholar] [CrossRef]
  3. Zhumanova, N.; Akimbayeva, N.; Myrzakhmetova, N.; Dzhiembaev, B.; Kuandykova, A.; Diyarova, B.; Seilkhanov, O.; Kishibayev, K.; Amangeldi Meldeshov; Saparbekova, I.; et al. A Comprehensive Review of New Generation Plant Growth Regulators. ES Food Agrofor. 2024, 17, 1190. [Google Scholar] [CrossRef]
  4. Gupta, S.; Bhattacharyya, P.; Kulkarni, M.G.; Doležal, K. Editorial: Growth regulators and biostimulants: Upcoming opportunities. Front. Media S.A. 2023, 14, 1209499. [Google Scholar] [CrossRef] [PubMed]
  5. Singh, V.; Patel, R.; Kumar, S.K.; Sahu, M.P. Plant Growth Regulators and Their Use in Plant Growth and Development. 2021. Available online: https://www.researchgate.net/publication/350546132 (accessed on 28 May 2025).
  6. Sebastian, K.; Arya, M.; Reshma, U.; Anaswara, S.; Thampi, S.S. Impact of Plant Growth Regulators on Fruit Production. Int. J. Curr. Microbiol. Appl. Sci. 2019, 8, 800–814. [Google Scholar] [CrossRef]
  7. Arteca, R.N. Plant Growth Substances: Principles and Applications; Springer: Berlin/Heidelberg, Germany, 2011. [Google Scholar]
  8. Pimentel, D. Environmental and economic costs of the application of pesticides primarily in the United States. Environ. Dev. Sustain. 2005, 7, 229–252. [Google Scholar] [CrossRef]
  9. Ashraf, M.; Foolad, M.R. Roles of glycine betaine and proline in improving plant abiotic stress resistance. Environ. Exp. Bot. 2007, 59, 206–216. [Google Scholar] [CrossRef]
  10. Campos, E.V.; Pereira, A.D.E.; Aleksieienko, I.; Carmo, G.C.D.; Gohari, G.; Santaella, C.; Fraceto, L.F.; Oliveira, H.C. Encapsulated plant growth regulators and associative microorganisms: Nature-based solutions to mitigate the effects of climate change on plants. Plant Sci. 2023, 331, 111688. [Google Scholar] [CrossRef]
  11. Sandhu, K.; Tengli, M.B.; Desai, R.; Regatipally, D. Assessing Farmer Perceptions and Adaptive Responses to Climate Change in Crop Production. Indian Res. J. Ext. Edu. 2025, 25, 3. [Google Scholar] [CrossRef]
  12. Bushkov, N.A.; Veselov, M.S.; Chuprov-Netochin, R.N.; Marusich, E.I.; Majouga, A.G.; Volynchuk, P.B.; Shumilina, D.V.; Leonov, S.V.; Ivanenkov, Y.A. Computational insight into the chemical space of plant growth regulators. Phytochemistry 2016, 122, 254–264. [Google Scholar] [CrossRef]
  13. Zhao, C.; Kleiman, D.E.; Shukla, D. Resolving binding pathways and solvation thermodynamics of plant hormone receptors. J. Biol. Chem. 2023, 299, 105456. [Google Scholar] [CrossRef]
  14. Wu, F.T.H.; Stefanini, M.O.; Gabhann, F.M.; Popel, A.S. Chapter 18 Modeling of Growth Factor-Receptor Systems. From Molecular-Level Protein Interaction Networks to Whole-Body Compartment Models. Methods Enzymol. 2009, 467, 461–497. [Google Scholar] [CrossRef]
  15. Jafari, M.; Daneshvar, M.H. Prediction and optimization of indirect shoot regeneration of Passiflora caerulea using machine learning and optimization algorithms. BMC Biotechnol. 2023, 23, 27. [Google Scholar] [CrossRef]
  16. Holtje, H.-D.; Folkers, G. Molecular Modeling; Wiley: Hoboken, NJ, USA, 1996; pp. 177–187. [Google Scholar] [CrossRef]
  17. Sidana, J.; Singh, B.; Sharma, O.P. Saponins of Agave: Chemistry and bioactivity. Phytochemistry 2016, 130, 22–46. [Google Scholar] [CrossRef] [PubMed]
  18. Mellado-Mojica, E.; López, M.G. Identification, classification, and discrimination of agave syrups from natural sweeteners by infrared spectroscopy and HPAEC-PAD. Food Chem. 2015, 167, 349–357. [Google Scholar] [CrossRef] [PubMed]
  19. Xiong, T.; Leveque, T.; Shahid, M.; Foucault, Y.; Mombo, S.; Dumat, C. Lead and Cadmium Phytoavailability and Human Bioaccessibility for Vegetables Exposed to Soil or Atmospheric Pollution by Process Ultrafine Particles. J. Environ. Qual. 2014, 43, 1593–1600. [Google Scholar] [CrossRef] [PubMed]
  20. Torrez, G.; Enrique, R. Ballón Paucara, Wendy Guadalupe; Revista Con-Ciencia; SciELO: Santiago, Chile, 2019; Volume 7, pp. 55–72. [Google Scholar]
  21. Lengauer, T.; Rareyt, M. Computational methods for biomolecular docking. Curr. Opin. Struct. Biol. 1996, 6, 402–406. [Google Scholar] [CrossRef]
  22. Berman, H.M.; Westbrook, J.; Feng, Z.; Gilliland, G.; Bhat, T.N.; Weissig, H.; Shindyalov, I.N.; Bourne, P.E. The Protein Data Bank. Nucleic Acids Res. 2000, 28, 235–242. [Google Scholar] [CrossRef]
  23. Westbrook, J.; Feng, Z.; Jain, S.; Bhat, T.N.; Thanki, N.; Ravichandran, V.; Gilliland, G.L.; Bluhm, W.; Weissig, H.; Greer, D.S.; et al. The protein data bank: Unifying the archive. Nucleic Acids Res. 2002, 30, 245–248. [Google Scholar] [CrossRef]
  24. Pettersen, E.F.; Goddard, T.D.; Huang, C.C.; Couch, G.S.; Greenblatt, D.M.; Meng, E.C.; Ferrin, T.E. UCSF Chimera—A visualization system for exploratory research and analysis. J. Comput. Chem. 2004, 25, 1605–1612. [Google Scholar] [CrossRef]
  25. Kim, S.; Thiessen, P.A.; Bolton, E.E.; Chen, J.; Fu, G.; Gindulyte, A.; Han, L.; He, J.; He, S.; Shoemaker, B.A.; et al. PubChem substance and compound databases. Nucleic Acids Res. 2016, 44, D1202–D1213. [Google Scholar] [CrossRef]
  26. Hanwell, M.D.; Curtis, D.E.; Lonie, D.C.; Vandermeersch, T.; Zurek, E.; Hutchison, G.R. Avogadro: An advanced semantic chemical editor, visualization, and analysis platform. J. Cheminform. 2012, 4, 17. [Google Scholar] [CrossRef]
  27. Morris, G.M.; Huey, R.; Lindstrom, W.; Sanner, M.F.; Belew, R.K.; Goodsell, D.S.; Olson, A.J. Software news and updates AutoDock4 and AutoDockTools4: Automated docking with selective receptor flexibility. J. Comput. Chem. 2009, 30, 2785–2791. [Google Scholar] [CrossRef]
  28. Trott, O.; Olson, A.J. AutoDock Vina: Improving the speed and accuracy of docking with a new scoring function, efficient optimization, and multithreading. J. Comput. Chem. 2010, 31, 455–461. [Google Scholar] [CrossRef]
  29. Schöning-Stierand, K.; Diedrich, K.; Ehrt, C.; Flachsenberg, F.; Graef, J.; Sieg, J.; Penner, P.; Poppinga, M.; Ungethüm, A.; Rarey, M. ProteinsPlus: A comprehensive collection of web-based molecular modeling tools. Nucleic Acids Res. 2022, 50, W611–W615. [Google Scholar] [CrossRef] [PubMed]
  30. Bekker, H.; Berendsen, H.J.C.; Van Der Spoel, D. Gromacs: A Parallel Computer for Molecular Dynamics Simulations; World Scientific Publishing: Singapore, 1993. [Google Scholar]
  31. Van Der Spoel, D.; Lindahl, E.; Hess, B.; Groenhof, G.; Mark, A.E.; Berendsen, H.J.C. GROMACS: Fast, flexible, and free. J. Comput. Chem. 2005, 26, 1701–1718. [Google Scholar] [CrossRef] [PubMed]
  32. Abraham, M.J.; Murtola, T.; Schulz, R.; Páll, S.; Smith, J.C.; Hess, B.; Lindahl, E. Gromacs: High performance molecular simulations through multi-level parallelism from laptops to supercomputers. SoftwareX 2015, 1–2, 19–25. [Google Scholar] [CrossRef]
  33. Jo, S.; Kim, T.; Iyer, V.G.; Im, W. CHARMM-GUI: A web-based graphical user interface for CHARMM. J. Comput. Chem. 2008, 29, 1859–1865. [Google Scholar] [CrossRef]
  34. Huang, J.; Rauscher, S.; Nawrocki, G.; Ran, T.; Feig, M.; de Groot, B.L.; Grubmüller, H.; MacKerell, A.D., Jr. CHARMM36m: An improved force field for folded and intrinsically disordered proteins. Nat. Methods 2016, 14, 71–73. [Google Scholar] [CrossRef]
  35. Hollingsworth, S.A.; Dror, R.O. Molecular Dynamics Simulation for All. Neuron 2018, 99, 1129–1143. [Google Scholar] [CrossRef]
  36. Daina, A.; Michielin, O.; Zoete, V. SwissADME: A free web tool to evaluate pharmacokinetics, drug-likeness and medicinal chemistry friendliness of small molecules. Sci. Rep. 2017, 7, 42717. [Google Scholar] [CrossRef]
  37. Lipinski, C.A.; Lombardo, F.; Dominy, B.W.; Feeney, P.J. Experimental and Computational Approaches to Estimate Solubility and Permeability in Drug Discovery and Development Q Settings. 2001. Available online: https://pubmed.ncbi.nlm.nih.gov/11259830/ (accessed on 28 May 2025).
  38. Veber, D.F.; Johnson, S.R.; Cheng, H.-Y.; Smith, B.R.; Ward, K.W.; Kopple, K.D. Molecular properties that influence the oral bioavailability of drug candidates. J. Med. Chem. 2002, 45, 2615–2623. [Google Scholar] [CrossRef]
  39. Silverstein, R.M.; Bassler, G.C. Spectrometric Identification of Organic Compounds; John Wiley & Sons: New York, NY, USA, 1962. [Google Scholar]
  40. Barbara. Stuart, Infrared Spectroscopy: Fundamentals and Applications; Wiley: Hoboken, NJ, USA, 2004. [Google Scholar]
  41. Coates, J. Interpretation of Infrared Spectra, A Practical Approach; Wiley: Hoboken, NJ, USA, 2006. [Google Scholar]
  42. Hinestroza, H.P.; Diaz, J.A.H.; Alfaro, M.E.; Toriz, G.; Rojas, O.J.; Sulbarán-Rangel, B.C. Isolation and Characterization of Nanofibrillar Cellulose from Agave tequilana Weber Bagasse. Adv. Mater. Sci. Eng. 2019, 2019, 1–7. [Google Scholar] [CrossRef]
  43. Hedden, P.; Sponsel, V. A Century of Gibberellin Research. J. Plant Growth Regul. 2015, 34, 740–760. [Google Scholar] [CrossRef] [PubMed]
  44. Hothorn, M.; Belkhadir, Y.; Dreux, M.; Dabi, T.; Noel, J.P.; Wilson, I.A.; Chory, J. Structural basis of steroid hormone perception by the receptor kinase BRI1. Nature 2011, 474, 467–471. [Google Scholar] [CrossRef] [PubMed]
  45. Santiago, J.; Henzler, C.; Hothorn, M. Molecular mechanism for plant steroid receptor activation by somatic embryogenesis co-receptor kinases. Science 2013, 341, 889–892. [Google Scholar] [CrossRef] [PubMed]
  46. She, J.; Han, Z.; Kim, T.-W.; Wang, J.; Cheng, W.; Chang, J.; Shi, S.; Wang, J.; Yang, M.; Wang, Z.-Y.; et al. Structural insight into brassinosteroid perception by BRI1. Nature 2011, 474, 472–476. [Google Scholar] [CrossRef]
  47. Nolan, T.M.; Vukašinović, N.; Liu, D.; Russinova, E.; Yin, Y. Brassinosteroids: Multidimensional regulators of plant growth, development, and stress responses. Plant Cell 2020, 32, 298–318. [Google Scholar] [CrossRef]
  48. Monrroy, M.; García, J.R.; Mafra, I. Gibberellic Acid Production from Corn Cob Residues via Fermentation with Aspergillus niger. J. Chem. 2022, 2022, 1–7. [Google Scholar] [CrossRef]
  49. Borisevich, N.A.; Buslov, D.K. Infrared spectra of brassinolide and castasterone steroid phytohormones and their 24-epi derivatives. J. Appl. Spectrosc. 2010, 77, 491–495. [Google Scholar] [CrossRef]
  50. Wang, H.; Shan, X.; Wen, B.; Owens, G.; Fang, J.; Zhang, S. Effect of indole-3-acetic acid on lead accumulation in maize (Zea mays L.) seedlings and the relevant antioxidant response. Environ. Exp. Bot. 2007, 61, 246–253. [Google Scholar] [CrossRef]
Figure 1. Structures of the ligands evaluated: (a) gibberellic acid (GA3), (b) brassinolide (BL), (c) agavenin (AG), and (d) indoleacetic acid (IAA).
Figure 1. Structures of the ligands evaluated: (a) gibberellic acid (GA3), (b) brassinolide (BL), (c) agavenin (AG), and (d) indoleacetic acid (IAA).
Applsci 15 09797 g001
Figure 2. Molecular Docking with GA3Ox2 receptor and 2D interaction map. (a,b) Gibberellic acid (GA3) and (c,d) agavenin (AG).
Figure 2. Molecular Docking with GA3Ox2 receptor and 2D interaction map. (a,b) Gibberellic acid (GA3) and (c,d) agavenin (AG).
Applsci 15 09797 g002
Figure 3. Molecular Docking with BRI1 receptor and 2D interaction map. (a,b) brassinolide (BL) and (c,d) agavenin (AG).
Figure 3. Molecular Docking with BRI1 receptor and 2D interaction map. (a,b) brassinolide (BL) and (c,d) agavenin (AG).
Applsci 15 09797 g003
Figure 4. Molecular Docking with IAA7 receptor and 2D interaction map. (a,b) Indoleacetic Acid (IAA), (c,d) agavenin (AG).
Figure 4. Molecular Docking with IAA7 receptor and 2D interaction map. (a,b) Indoleacetic Acid (IAA), (c,d) agavenin (AG).
Applsci 15 09797 g004
Figure 5. Binding affinity energies (mean ± SE) of each ligand–receptor interaction obtained from molecular docking simulations. Solid bars represent endogenous ligands (a): gibberellic acid (GA3, red), brassinolide (BL, magenta), and indoleacetic acid (IAA, green). Hatched bars represent agavenin (b) (AG) docked to each corresponding receptor: GA3Ox2 (AG–G), BRI1 (AG–B), and IAA7 (AG–I). More negative values indicate stronger predicted binding affinity.
Figure 5. Binding affinity energies (mean ± SE) of each ligand–receptor interaction obtained from molecular docking simulations. Solid bars represent endogenous ligands (a): gibberellic acid (GA3, red), brassinolide (BL, magenta), and indoleacetic acid (IAA, green). Hatched bars represent agavenin (b) (AG) docked to each corresponding receptor: GA3Ox2 (AG–G), BRI1 (AG–B), and IAA7 (AG–I). More negative values indicate stronger predicted binding affinity.
Applsci 15 09797 g005
Figure 6. RMSD (Root Means Square Deviation) plots for complex ligand-receptor. Endogenous PGRs: (a) gibberellic acid (GA3), (b) brassinolide (BL), (c) indoleacetic acid (IAA). Agavenine (AG) (blue). KPR: Gibberellic (GA3Ox2), auxin (IAA7), and brassinolide (BRI1).
Figure 6. RMSD (Root Means Square Deviation) plots for complex ligand-receptor. Endogenous PGRs: (a) gibberellic acid (GA3), (b) brassinolide (BL), (c) indoleacetic acid (IAA). Agavenine (AG) (blue). KPR: Gibberellic (GA3Ox2), auxin (IAA7), and brassinolide (BRI1).
Applsci 15 09797 g006
Figure 7. Molecular dynamics for hydrogen bonds between endogenous PGRs vs. agavenine (AG, blue) and receptors. (a) GA3Ox2 receptor and gibberellic acid (GA3), (b) BRI1 receptor and brassinolide (BL), (c) IAA7 receptor and indoleacetic acid (IAA).
Figure 7. Molecular dynamics for hydrogen bonds between endogenous PGRs vs. agavenine (AG, blue) and receptors. (a) GA3Ox2 receptor and gibberellic acid (GA3), (b) BRI1 receptor and brassinolide (BL), (c) IAA7 receptor and indoleacetic acid (IAA).
Applsci 15 09797 g007
Figure 8. Fourier transform infrared spectroscopy (FTIR) spectrum: (a) gibberellic acid (GA3), (b) brassinolide (BL), (c) agavenin (AG), and (d) indoleacetic acid (IAA).
Figure 8. Fourier transform infrared spectroscopy (FTIR) spectrum: (a) gibberellic acid (GA3), (b) brassinolide (BL), (c) agavenin (AG), and (d) indoleacetic acid (IAA).
Applsci 15 09797 g008
Table 1. Docking scores and interacting residues for GA3Ox2, BRI1, and IAA7.
Table 1. Docking scores and interacting residues for GA3Ox2, BRI1, and IAA7.
ReceptorLigandDocking ScoreInteraction Aminoacids
GA3OX2GA3−7.90GLY320, LYS26, PHE238, PHE27, SER116, TYR35, TYR35, TYR127
AG−7.97ARG35, ASN32, PRO37, SER58
BRI1BL−9.06ALA315, GLY369, LEU295, LEU423, LYS317, MET366, TYR365, VAL303
AG−8.29ALA367, ARG287, ASN368, GLY369, LEU295, MET351, PRO379, VAL290
IAA7IAA−4.21ASN10, LYS13, PRO6, TRP5
AG−3.34ARG09, GLY4, LYS13, PRO6, VAL8
Endogenous ligands are shown in shading rows. Aminoacids in bold are the same as in endogenous ligands.
Table 2. Adsorption, distribution, metabolism, and excretion (ADME) properties from PGRs.
Table 2. Adsorption, distribution, metabolism, and excretion (ADME) properties from PGRs.
PGRPhysicochemical PropertiesLipophilicityWater SolubilityPharmacokineticsD
GA3246.37 g/mol
#ERot 1
#H-ac 6
#H-d 3
TPSA 104.06
1.15SolubleHigh GI Absorption−1.7675
Non-Permeable to BBB
BL480.68 g/mol
#ERot 5
#H-ac 6
#H-d 4
TPSA 107.22
3.7Moderately
Soluble
High GI Absorption−0.87999
Non-Permeable to BBB
AG446.62 g/mol
#ERot 0
#H-ac 5
#H-d 2
TPSA 75.99
3.72Moderately
Soluble
High GI Absorption2.2549
Permeable to BBB
IAA175.18 g/mol
#ERot 2
#H-ac 2
#H-d 2
TPSA 53.09
1.51SolubleHigh GI Absorption0.29202
Permeable to BBB
Note: #ERot: number of rotable bonds; #H-ac: the number of hydrogen-accepting bonds; #H-d: the number of hydrogen-donating bonds; TPSA: topological polar surface area; iLOGP: molecular weight, add octanol/water partition coefficient; water solubility; in pharmacokinetics, GI: gastrointestinal absorption and BBB: blood–brain barrier permeability; and D: drug-likeness.
Disclaimer/Publisher’s Note: The statements, opinions and data contained in all publications are solely those of the individual author(s) and contributor(s) and not of MDPI and/or the editor(s). MDPI and/or the editor(s) disclaim responsibility for any injury to people or property resulting from any ideas, methods, instructions or products referred to in the content.

Share and Cite

MDPI and ACS Style

Montaño, G.H.; Paredes-Carrera, S.P.; Chanona Pérez, J.J.; Medina, D.I.T.; Fregoso Aguilar, T.A.; Mendoza-Pérez, J.A.; Nicolás Álvarez, D.E. A New Plant Growth Regulator: An In Silico Evaluation. Appl. Sci. 2025, 15, 9797. https://doi.org/10.3390/app15179797

AMA Style

Montaño GH, Paredes-Carrera SP, Chanona Pérez JJ, Medina DIT, Fregoso Aguilar TA, Mendoza-Pérez JA, Nicolás Álvarez DE. A New Plant Growth Regulator: An In Silico Evaluation. Applied Sciences. 2025; 15(17):9797. https://doi.org/10.3390/app15179797

Chicago/Turabian Style

Montaño, Giovanny Hernández, Silvia P. Paredes-Carrera, José J. Chanona Pérez, Darío Iker Téllez Medina, Tomás A. Fregoso Aguilar, Jorge A. Mendoza-Pérez, and Dulce Estefanía Nicolás Álvarez. 2025. "A New Plant Growth Regulator: An In Silico Evaluation" Applied Sciences 15, no. 17: 9797. https://doi.org/10.3390/app15179797

APA Style

Montaño, G. H., Paredes-Carrera, S. P., Chanona Pérez, J. J., Medina, D. I. T., Fregoso Aguilar, T. A., Mendoza-Pérez, J. A., & Nicolás Álvarez, D. E. (2025). A New Plant Growth Regulator: An In Silico Evaluation. Applied Sciences, 15(17), 9797. https://doi.org/10.3390/app15179797

Note that from the first issue of 2016, this journal uses article numbers instead of page numbers. See further details here.

Article Metrics

Back to TopTop