Influence of Thigh and Shank Lengths and Ratios on Kinematic and Kinetic Characteristics of the Knee Joint During Barbell Back Squat
Abstract
1. Introduction
2. Materials and Methods
2.1. Participants
2.2. Procedures
2.3. Barbell Back Squat Exercise
2.4. Thigh and Shank Length Variables
2.5. Data Processing
2.6. Statistical Analysis
3. Results
3.1. Thigh and Shank Length Measurements and Reliability
3.2. Kinematic and Kinetic Variables of the Knee Joint During the Barbell Back Squat
3.3. Correlation Between Thigh and Shank Length Variables and Knee Joint Kinematic and Kinetic Variables
3.4. Simple Regression Analysis Between Thigh and Shank Length Variables and Knee Joint Kinematic and Kinetic Variables
4. Discussion
5. Conclusions
Author Contributions
Funding
Institutional Review Board Statement
Informed Consent Statement
Data Availability Statement
Acknowledgments
Conflicts of Interest
Abbreviations
| ACL | Anterior cruciate ligament |
| ICC | Intraclass correlation coefficient |
| ROM | Range of motion |
| STLR | Shank-to-thigh length ratio |
References
- Glassbrook, D.J.; Helms, E.R.; Brown, S.R.; Storey, A.G. A review of the biomechanical differences between the high-bar and low-bar back-squat. J. Strength Cond. Res. 2017, 31, 2618–2634. [Google Scholar] [CrossRef] [PubMed]
- Park, J.H.; Lee, S.J.; Shin, H.J.; Cho, H.Y. Influence of loads and loading position on the muscle activity of the trunk and lower extremity during squat exercise. Int. J. Environ. Res. Public Health 2022, 19, 13480. [Google Scholar] [CrossRef] [PubMed]
- Clark, D.R.; Lambert, M.I.; Hunter, A.M. Muscle activation in the loaded free barbell squat: A brief review. J. Strength Cond. Res. 2012, 26, 1169–1178. [Google Scholar] [CrossRef] [PubMed]
- Yule, S. The back squat. Prof. Strength Cond. 2007, 8, 20–23. [Google Scholar]
- Ronai, P.; Gendron, K. The barbell back squat exercise. ACSM’s Health Fit. J. 2023, 27, 65–73. [Google Scholar] [CrossRef]
- Escamilla, R.F.; Fleisig, G.S.; Zheng, N.; Barrentine, S.W.; Wilk, K.E.; Andrews, J.R. Biomechanics of the knee during closed kinetic chain and open kinetic chain exercises. Med. Sci. Sports Exerc. 1998, 30, 556–569. [Google Scholar] [CrossRef]
- Stone, M.H.; Hornsby, W.G.; Mizuguchi, S.; Sato, K.; Gahreman, D.; Duca, M.; Carroll, K.M.; Ramsey, M.W.; Stone, M.E.; Pierce, K.C. The use of free weight squats in sports: A narrative review—Terminology and biomechanics. Appl. Sci. 2024, 14, 1977. [Google Scholar] [CrossRef]
- Neitzel, J.A.; Davies, G.J. The benefits and controversy of the parallel squat in strength training and rehabilitation. Strength Cond. J. 2000, 22, 30. [Google Scholar] [CrossRef]
- Kritz, M.; Cronin, J.; Hume, P. The bodyweight squat: A movement screen for the squat pattern. Strength Cond. J. 2009, 31, 76–85. [Google Scholar] [CrossRef]
- Escamilla, R.F. Knee biomechanics of the dynamic squat exercise. Med. Sci. Sports Exerc. 2001, 33, 127–141. [Google Scholar] [CrossRef]
- Comfort, P.; McMahon, J.J.; Suchomel, T.J. Optimizing squat technique—Revisited. Strength Cond. J. 2018, 40, 68–74. [Google Scholar] [CrossRef]
- Xu, D.; Zhou, H.; Quan, W.; Ma, X.; Chon, T.; Fernandez, J.; Gusztav, F.; Kovács, A.; Baker, J.S.; Gu, Y. New insights optimize landing strategies to reduce lower limb injury risk. Cyborg Bionic Syst. 2024, 5, 0126. [Google Scholar] [CrossRef]
- Schoenfeld, B.J. Squatting kinematics and kinetics and their application to exercise performance. J. Strength Cond. Res. 2010, 24, 3497–3506. [Google Scholar] [CrossRef]
- Reece, M.B.; Arnold, G.P.; Nasir, S.; Wang, W.W.; Abboud, R. Barbell back squat: How do resistance bands affect muscle activation and knee kinematics? BMJ Open Sport Exerc. Med. 2020, 6, e000610. [Google Scholar] [CrossRef]
- Trulsson, A.; Miller, M.; Hansson, G.Å.; Gummesson, C.; Garwicz, M. Altered movement patterns and muscular activity during single and double leg squats in individuals with anterior cruciate ligament injury. BMC Musculoskelet. Disord. 2015, 16, 28. [Google Scholar] [CrossRef]
- Shimokochi, Y.; Shultz, S.J. Mechanisms of noncontact anterior cruciate ligament injury. J. Athl. Train. 2008, 43, 396–408. [Google Scholar] [CrossRef]
- Boden, B.P.; Sheehan, F.T. Mechanism of non-contact ACL injury: OREF Clinical Research Award 2021. J. Orthop. Res. 2022, 40, 531–540. [Google Scholar] [CrossRef] [PubMed]
- Slater, L.V.; Hart, J.M. The influence of knee alignment on lower extremity kinetics during squats. J. Electromyogr. Kinesiol. 2016, 31, 96–103. [Google Scholar] [CrossRef] [PubMed]
- Wilczyński, B.; Zorena, K.; Ślęzak, D. Dynamic knee valgus in single-leg movement tasks. Potentially modifiable factors and exercise training options. A Literature Review. Int. J. Environ. Res. Public Health 2020, 17, 8208. [Google Scholar] [CrossRef] [PubMed]
- Cooke, D.M.; Haischer, M.H.; Carzoli, J.P.; Bazyler, C.D.; Johnson, T.K.; Varieur, R.; Zoeller, R.F.; Whitehurst, M.; Zourdos, M.C. Body mass and femur length are inversely related to repetitions performed in the back squat in well-trained lifters. J. Strength Cond. Res. 2019, 33, 890–895. [Google Scholar] [CrossRef]
- Kim, S.; Miller, M.; Tallarico, A.; Helder, S.; Liu, Y.; Lee, S. Relationships between physical characteristics and biomechanics of lower extremity during the squat. J. Exerc. Sci. Fit. 2021, 19, 269–277. [Google Scholar] [CrossRef]
- McKean, M.; Burkett, B.J. Does segment length influence the hip, knee and ankle coordination during the squat movement? J. Fit. Res. 2012, 1, 23–30. [Google Scholar]
- Demers, E.; Pendenza, J.; Radevich, V.; Preuss, R. The effect of stance width and anthropometrics on joint range of motion in the lower extremities during a back squat. Int. J. Exerc. Sci. 2018, 11, 764–775. [Google Scholar] [CrossRef] [PubMed]
- Park, S.H.; Jang, E.M. Effects of the ankle joint position on the kinematic characteristics of the lower extremities between individuals with normal and high Q-angles during bilateral squat. Korean Soc. Phys. Med. 2024, 19, 11–20. [Google Scholar] [CrossRef]
- Vigotsky, A.D.; Bryanton, M.A.; Nuckols, G.; Beardsley, C.; Contreras, B.; Evans, J.; Schoenfeld, B.J. Biomechanical, anthropometric, and psychological determinants of barbell back squat strength. J. Strength Cond. Res. 2019, 33 (Suppl. S1), S26–S35. [Google Scholar] [CrossRef]
- Faul, F.; Erdfelder, E.; Buchner, A.; Lang, A.G. Statistical power analyses using G* Power 3.1: Tests for correlation and regression analyses. Behav. Res. Methods 2009, 41, 1149–1160. [Google Scholar] [CrossRef]
- Sheppard, J.M.; Triplett, N.T. Program Design for Resistance Training. In Essentials of Strength Training and Conditioning, 4th ed.; Haff, G.G., Triplett, N.T., Eds.; Human Kinetics Publishers: Champaign, IL, USA, 2015; pp. 439–470. [Google Scholar]
- Vicon Motion Systems. Plug-In Gait Reference Guide—Vicon Documentation. 2022. Available online: https://help.vicon.com/download/attachments/11378719/Plug-in%20Gait%20Reference%20Guide.pdf (accessed on 15 August 2025).
- Koo, T.K.; Li, M.Y. A guideline of selecting and reporting intraclass correlation coefficients for reliability research. J. Chiropr. Med. 2016, 15, 155–163. [Google Scholar] [CrossRef]
- Neumann, D.A.; Kelly, E.R. Kinesiology of the Musculoskeletal System: Foundations for Rehabilitation; Mosby Elsevier: St. Louis, MO, USA, 2010. [Google Scholar]
- Riegger-Krugh, C.; Keysor, J.J. Skeletal malalignments of the lower quarter: Correlated and compensatory motions and postures. J. Orthop. Sports Phys. Ther. 1996, 23, 164–170. [Google Scholar] [CrossRef]
- Kernozek, T.W.; Gheidi, N.; Zellmer, M.; Hove, J.; Heinert, B.L.; Torry, M.R. Effects of anterior knee displacement during squatting on patellofemoral joint stress. J. Sport Rehabil. 2018, 27, 237–243. [Google Scholar] [CrossRef]
- Ishida, T.; Yamanaka, M.; Takeda, N.; Aoki, Y. Knee rotation associated with dynamic knee valgus and toe direction. Knee 2014, 21, 563–566. [Google Scholar] [CrossRef]
- Wetters, N.; Weber, A.E.; Wuerz, T.H.; Schub, D.L.; Mandelbaum, B.R. Mechanism of injury and risk factors for anterior cruciate ligament injury. Oper. Tech. Sports Med. 2016, 24, 2–6. [Google Scholar] [CrossRef]



| Variables (Unit) | Participants (n = 50) | |||
|---|---|---|---|---|
| Age (y) | Height (cm) | Weight (kg) | SQ 1-RM Weight (kg) | |
| Mean ± SD | 23.88 ± 4.49 | 175.69 ± 4.76 | 73.95 ± 7.77 | 109.78 ± 16.12 |
| Variables (Unit) | Mean ± SD | ICC (2,1) | 95% CI | p-Value |
|---|---|---|---|---|
| Thigh Length (cm) | 42.4 ± 2.5 | 0.996 | 0.993–0.997 | <0.001 |
| Shank Length (cm) | 39.6 ± 2.1 | 0.993 | 0.989–0.996 | <0.001 |
| STLR (%) | 93.7 ± 7.1 | - | - | - |
| Variables (Unit) | Direction | Mean ± SD |
|---|---|---|
| Knee Joint Peak Angle (°) | Flexion (−)/Extension (+) | −130.03 ± 8.37 |
| Abduction (−)/Adduction (+) | 4.35 ± 8.05 | |
| ER (−)/IR (+) | 13.45 ± 11.63 | |
| Knee Joint Peak Displacement (cm) | Anterior (+)/Posterior (−) | 17.25 ± 3.43 |
| Medial (−)/Lateral (+) | 8.87 ± 2.78 |
| Variables (Unit) | Direction | Mean ± SD |
|---|---|---|
| Knee Joint Peak Moment (N/kg) | Flexion (−)/Extension (+) | 0.72 ± 0.28 |
| Abduction (−)/Adduction (+) | −0.48 ± 0.15 | |
| ER (−)/IR (+) | −0.11 ± 0.05 | |
| Knee Joint Peak Force (N/kg) | Anterior (+)/Posterior (−) Shear Force | −0.09 ± 0.40 |
| Medial (+)/Lateral (−) Shear Force | −0.21 ± 0.08 | |
| Compressive Force (−) | −5.76 ± 0.51 |
| Variables | Thigh–Shank Length Variables | ||||||
|---|---|---|---|---|---|---|---|
| Thigh Length | Shank Length | STLR | |||||
| r | p-Value | r | p-Value | r | p-Value | ||
| Joint Peak Angle | Flexion | −0.147 | 0.307 | −0.050 | 0.730 | 0.066 | 0.647 |
| Adduction | −0.016 | 0.913 | −0.555 *** | <0.001 | −0.385 ** | 0.006 | |
| IR | −0.250 | 0.080 | 0.327 * | 0.020 | 0.426 ** | 0.002 | |
| Peak Displacement | Anterior | 0.537 *** | <0.001 | 0.215 | 0.134 | −0.262 | 0.066 |
| Medial | −0.093 | 0.520 | −0.104 | 0.473 | 0.005 | 0.975 | |
| Joint Peak Moment | Extension | 0.389 ** | 0.005 | −0.118 | 0.413 | −0.390 ** | 0.005 |
| Abduction | 0.095 | 0.510 | 0.049 | 0.736 | −0.034 | 0.816 | |
| ER | −0.138 | 0.339 | 0.005 | 0.974 | 0.114 | 0.432 | |
| Joint Peak Force | Posterior | 0.172 | 0.231 | −0.059 | 0.686 | −0.182 | 0.207 |
| Lateral | 0.204 | 0.155 | 0.236 | 0.099 | 0.016 | 0.913 | |
| Compressive | 0.186 | 0.195 | 0.243 | 0.090 | 0.040 | 0.783 | |
| Independent Variable | Dependent Variable | Unstandardized Coefficients | Standardized Coefficients | t | p-Value | 95% CI | ||
|---|---|---|---|---|---|---|---|---|
| B | Std. Error | Beta | Lower Bound | Upper Bound | ||||
| Thigh Length | (Constant) | −13.884 | 7.062 | −1.966 | 0.055 | −28.083 | 0.314 | |
| Peak AP Displacement | 0.734 | 0.166 | 0.537 | 4.416 | <0.001 *** | 0.400 | 1.068 | |
| (Constant) | −1.096 | 0.621 | −1.766 | 0.084 | −2.344 | 0.152 | ||
| Peak Extension Moment | 0.043 | 0.015 | 0.389 | 2.926 | 0.005 ** | 0.013 | 0.072 | |
| Shank Length | (Constant) | 87.987 | 18.108 | 4.859 | <0.001 *** | 51.578 | 124.395 | |
| Peak Adduction Angle | −2.111 | 0.456 | −0.555 | −4.625 | <0.001 *** | −3.028 | −1.193 | |
| (Constant) | −57.768 | 29.748 | −1.942 | 0.058 | −117.580 | 2.044 | ||
| Peak IR Angle | 1.797 | 0.750 | 0.327 | 2.397 | 0.020 * | 0.290 | 3.305 | |
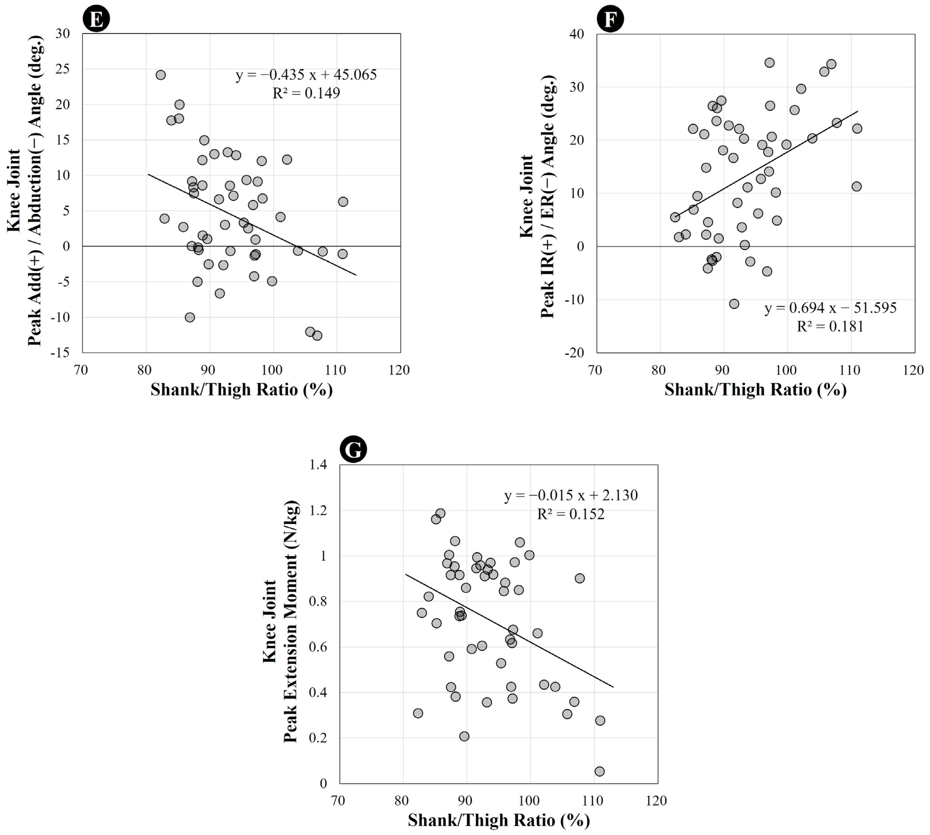
| STLR | (Constant) | 45.065 | 14.109 | 3.194 | 0.002 ** | 16.697 | 73.432 | |
| Peak Adduction Angle | −0.435 | 0.150 | −0.385 | −2.894 | 0.006 ** | −0.737 | −0.133 | |
| (Constant) | −51.595 | 20.001 | −2.580 | 0.013 * | −91.810 | −11.379 | ||
| Peak IR Angle | 0.694 | 0.213 | 0.426 | 3.261 | 0.002 ** | 0.266 | 1.122 | |
| (Constant) | 2.130 | 0.483 | 4.409 | <0.001 *** | 1.159 | 3.102 | ||
| Peak Extension Moment | −0.015 | 0.005 | −0.390 | −2.933 | 0.005 ** | −0.025 | −0.005 | |
Disclaimer/Publisher’s Note: The statements, opinions and data contained in all publications are solely those of the individual author(s) and contributor(s) and not of MDPI and/or the editor(s). MDPI and/or the editor(s) disclaim responsibility for any injury to people or property resulting from any ideas, methods, instructions or products referred to in the content. |
© 2025 by the authors. Licensee MDPI, Basel, Switzerland. This article is an open access article distributed under the terms and conditions of the Creative Commons Attribution (CC BY) license (https://creativecommons.org/licenses/by/4.0/).
Share and Cite
Lee, J.; Kwon, M.; Park, J. Influence of Thigh and Shank Lengths and Ratios on Kinematic and Kinetic Characteristics of the Knee Joint During Barbell Back Squat. Appl. Sci. 2025, 15, 9448. https://doi.org/10.3390/app15179448
Lee J, Kwon M, Park J. Influence of Thigh and Shank Lengths and Ratios on Kinematic and Kinetic Characteristics of the Knee Joint During Barbell Back Squat. Applied Sciences. 2025; 15(17):9448. https://doi.org/10.3390/app15179448
Chicago/Turabian StyleLee, Jaewoo, Moonseok Kwon, and Junsung Park. 2025. "Influence of Thigh and Shank Lengths and Ratios on Kinematic and Kinetic Characteristics of the Knee Joint During Barbell Back Squat" Applied Sciences 15, no. 17: 9448. https://doi.org/10.3390/app15179448
APA StyleLee, J., Kwon, M., & Park, J. (2025). Influence of Thigh and Shank Lengths and Ratios on Kinematic and Kinetic Characteristics of the Knee Joint During Barbell Back Squat. Applied Sciences, 15(17), 9448. https://doi.org/10.3390/app15179448

