Next Article in Journal
Dual Production of Full-Fat Soy and Expanded Soybean Cake from Non-GMO Soybeans: Agronomic and Nutritional Insights Under Semi-Organic Cultivation
Previous Article in Journal
Parallelization of Rainbow Tables Generation Using Message Passing Interface: A Study on NTLMv2, MD5, SHA-256 and SHA-512 Cryptographic Hash Functions
 
 
Font Type:
Arial Georgia Verdana
Font Size:
Aa Aa Aa
Line Spacing:
Column Width:
Background:
Article

Intra-Domain Routing Protection Scheme Based on the Minimum Cross-Degree Between the Shortest Path and Backup Path

by
Haijun Geng
1,
Xuemiao Liu
1,
Wei Hou
2,
Lei Xu
1 and
Ling Wang
1,*
1
School of Automation and Software Engineering, Shanxi University, Taiyuan 030031, China
2
China Astronautics Standards Institute, Beijing 100071, China
*
Author to whom correspondence should be addressed.
Appl. Sci. 2025, 15(15), 8151; https://doi.org/10.3390/app15158151
Submission received: 24 June 2025 / Revised: 14 July 2025 / Accepted: 17 July 2025 / Published: 22 July 2025

Abstract

With the continuous development of the Internet, people have put forward higher requirements for the stability and availability of the network. Although we constantly strive to take measures to avoid network failures, it is undeniable that network failures are unavoidable. Therefore, in this situation, enhancing the stability and reliability of the network to cope with possible network failures has become particularly crucial. Therefore, researching and developing high fault protection rate intra-domain routing protection schemes has become an important topic and is the subject of this study. This study aims to enhance the resilience and service continuity of networks in the event of failures by proposing innovative routing protection strategies. The existing methods, such as Loop Free Alternative (LFA) and Equal Cost Multiple Paths (ECMP), have some shortcomings in terms of fast fault detection, fault response, and fault recovery processes, such as long fault recovery time, limitations of routing protection strategies, and requirements for network topology. In response to these issues, this article proposes a new routing protection scheme, which is an intra-domain routing protection scheme based on the minimum cross-degree backup path. The core idea of this plan is to find the backup path with the minimum degree of intersection with the optimal path, in order to avoid potential fault areas and minimize the impact of faults on other parts of the network. Through comparative analysis and performance evaluation, this scheme can provide a higher fault protection rate and more reliable routing protection in the network. Especially in complex networks, this scheme has more performance and protection advantages than traditional routing protection methods. The proposed scheme in this paper exhibits a high rate of fault protection across multiple topologies, demonstrating a fault protection rate of 1 in the context of real topology. It performs commendably in terms of path stretch, evidenced by a figure of 1.06 in the case of real topology Ans, suggesting robust path length control capabilities. The mean intersection value is 0 in the majority of the topologies, implying virtually no common edge between the backup and optimal paths. This effectively mitigates the risk of single-point failure.

1. Introduction

In the digital era, the Internet serves as the foundational infrastructure for societal operations. Its stability and availability are intrinsically linked to the normal functioning of various sectors including the economy, healthcare, and education. Large-scale network failures have thus transformed into systemic risks in this digitized era. In [1], empirical studies suggest that the vulnerability of critical infrastructure surpasses previous assumptions, as follows: a mere 4% failure of core nodes can trigger a cascade leading to the complete collapse of the Internet’s performance. In real-world scenarios, a singular point of failure, such as the 2025 Egypt telecommunications hub fire, can precipitate a sharp 44% decline in national network connectivity. This, in turn, leads to financial transaction disruptions, loss of emergency communications, and subsequent chain reactions. In [2], this paper highlights that an analysis of the CENIC backbone’s 5-year fault log reveals that 5% of high-risk links were responsible for over 50% of outage events. Furthermore, the median annual downtime in the access layer (CPE network) reached 72 min. In [3], simulation experiments demonstrate that a single router failure would result in 54% of core routing buffer overflows, impacting 31% of end-users with unacceptable transmission rates of less than 70 Kbps. If key routing pairs fail concurrently, 82% of client services would be entirely disrupted. These findings underscore the persistent threat that network failures pose to the resilience of the digital society through service degradation. Similarly, studies [4,5] also assert that network failure is largely unavoidable and presents significant challenges. Consequently, bolstering network resilience against failures and ensuring uninterrupted service have emerged as pressing concerns in network research [6,7].
While existing network failure protection methods such as Loop-Free Alternates (LFA) [8,9,10] and Equal-Cost Multi-Path (ECMP) [11] routing have somewhat enhanced network reliability, they possess significant limitations. LFA fails to provide effective backup paths in certain network topologies, and ECMP only offers shortest paths of equivalent costs, demonstrating a lack of flexibility in responding to diverse failure scenarios. These methods exhibit protracted recovery times in complex network environments and necessitate specific network topologies, making it challenging to fulfill the high-availability requirements of contemporary networks. Traditional routing algorithms, including Open Shortest Path First (OSPF) [12] and Intermediate System to Intermediate System (IS-IS) [13], primarily concern themselves with identifying the shortest path to each destination, and thus, they cannot ensure robust connectivity during frequent network failures. Upon detecting a failure, these algorithms initiate global link-state advertisements and subsequently recalculate routes, invariably leading to network interruption [14,15].
This paper addresses the shortcomings of current methodologies by making the following contributions:
  • This paper introduces an intra-domain routing protection strategy that hinges on the Minimum Crossover Degree Backup Path (MCD-BP). The proposed approach entails identifying a backup path characterized by the lowest degree of crossover to the optimal path. It effectively circumvents potential fault zones, thereby mitigating the impact of network faults on other segments.
  • We have developed a link deletion rule (where the “deletion” of an edge is more of a logical operation than an actual deletion) and iterative optimization process to compute the backup path. This is designed to minimize crossover with the optimal path, while guaranteeing the connectivity of the network topology throughout the computation of the backup path.
  • This scheme exhibits substantial performance enhancements over traditional methods, especially in complex network environments. It provides a superior fault protection rate, thereby ensuring a more reliable and stable network operation. Further details are elaborated in Section 5.
The rest of this paper is structured as follows. Section 2 introduces the related work. Section 3 presents the related network model and gives the description of specific problems;l Section 4 analyzes the steps required in the algorithm in detail. Section 5 presents the MCD-BP. Section 6 evaluates some experimental results of this algorithm, Finally, Section 7 concludes the paper.

2. Related Works

In contemporary times, the Internet is integral to people’s daily lives, and network failures are a frequent occurrence. As a result, a multitude of solutions have been proposed to address these issues. This paper will discuss some of the routing protection algorithms that have been proposed to date.
Routing protection algorithms [16,17,18] can be classified into two major types based on whether an auxiliary forwarding mechanism is required or not. In the category that does not require an auxiliary forwarding mechanism, there are various algorithms, such as Equal-Cost Multi-Path (ECMP) routing, Loop-Free Alternates (LFA), Node Protection Condition (NPC), U-turn, Downstream Rule (DC), JNHOR-SP, ESCAP, and Multi-path Routing with Available Paths (MARA). On the other hand, in the category that requires an auxiliary forwarding mechanism, there are Not-Via, tunnel-based routing protection algorithms, Segment Routing (SR), Multi-Configuration Routing (MRC), and Failure-carrying packet (FCP). These algorithms often necessitate additional mechanisms or devices to assist in forwarding traffic, ensuring a quick switch to backup paths in case of failure on the primary path.
The primary objective of the routing protection algorithm is to compute a loop-free backup path for each node within the network. This ensures that communication can be swiftly rerouted to the backup path if the optimal path fails, thereby guaranteeing uninterrupted communication. The Downstream Criterion (DC) [19] is a prevalent loop-free calculation method employed in network protection. This approach enhances fault recovery efficiency by ensuring that the backup path is as close as possible to the main path in terms of physical location within the network.
The MARA algorithm [20] fundamentally transforms the network topology into a directed acyclic graph (DAG). This transformation ensures that each link in the network has a unidirectional orientation. A notable characteristic of the DAG is the unidirectionality of its links, which impacts the node’s ability to compute loop-free backup next hops by limiting their possibilities. Furthermore, the efficiency of the MARA algorithm is intrinsically tied to the network topology, influencing its failure protection rate. In contrast, the bidirectional nature of the Joker link [21] enables more effective traffic rerouting upon failure. Yet, the JNHOR-SP algorithm’s average failure protection rate is only approximately 95%, suggesting potential for enhancement despite leveraging the Joker link. The LFID (loop-free import-dependent) algorithm [22] offers a different approach, focusing on loop-free routing based on packet incoming port. This strategy augments redundant paths in the DAG, bolstering the network’s failure recovery capability. However, akin to the JNHOR-SP algorithm, its failure protection rate remains suboptimal, fluctuating between 88.9% and 98.2%.
The literature [23] leverages Not-Via addresses to facilitate swift responses to network failures. In the presence of faulty nodes or links, the Not-Via address directs packets to circumvent these problematic areas. This approach enhances rerouting efficiency by using address selection to guide packet forwarding. The ESCAP [24] algorithm is specifically designed to safeguard against single node failures in the network. However, a notable limitation of this algorithm is its disregard for the cost of the path when calculating backup nodes. This oversight can lead to an increased Path Stretching Degree for the algorithm; in the event of a failure, packets may be rerouted along longer, potentially non-optimal paths. This issue with the Path Stretching Degree can significantly impact the performance of the network, particularly in congested networks or applications that necessitate low latency communication. The Multi Routing Config (MRC) [25] algorithm is adept at computing multiple configuration graphs by dynamically adjusting link costs within the network. However, MRC’s significant deployment overhead, potentially due to the necessity of maintaining and updating multiple configuration graphs and associated routing information, is a major drawback. The FCP (free routing using failure-carrying packets) [26] algorithm’s defining feature is its ability to denote failure information in the packet header. Utilizing this failure information, the FCP algorithm can dynamically update the network topology to accurately reflect the current state of the network. However, an inherent shortcoming of the FCP method is its requirement for modifications to the existing routing protocol. This could escalate the complexity of the actual deployment process due to the need for alterations and resets of network equipment and protocol stacks. Table 1 summarizes the advantages and disadvantages of the relevant algorithms.
The following four articles each present innovative breakthroughs and notable limitations within the realm of IP Fast Reroute (FRR) [27]: Ref. [28] integrates centralized control with local rerouting to facilitate IP network load balancing and achieve 100% single-failure survivability. However, its dependence on false nodes and scalability issues due to ILP size pose considerable constraints. Ref. [15] introduces a novel DLCP graph sequence decomposition method that leverages local connectivity to construct efficient routing trees, thereby overcoming the limitation of global connectivity. However, the use of heuristic rules may result in the sacrifice of some path quality. Ref. [29] focuses on enhancing the performance and resilience of existing routing trees through the post-processing of arc exchange, providing support for SRLG isolation. Despite these improvements, it only serves as an auxiliary measure and fails to address the initial decomposition defects. Finally, Ref. [30] presents the development of the SYREP, which employs BDD to enable rapid routing table repair and achieve k-resilience synthesis. This results in a speed increase of three orders of magnitude. However, its applicability is limited by complex network scale and computational bottlenecks in scenarios involving more than three failures.

3. Network Models and Problem Description

3.1. Network Models

Given a network topological graph G = ( V , E , W ) , where V represents the set of network nodes, E represents the set of edges between nodes, and W represents the weights on the edges. Network topology models can be applied to simulate various complex real-world systems, such as social networks, logistics networks, power systems, and information networks. Assuming that node d is the destination node and node s is the source node in the topology, the Dijkstra algorithm, also known as the shortest path algorithm, s p ( s , d ) is used in this paper to calculate the path, denoted by the symbol shortest path, abbreviated as s p . According to the shortest path algorithm, it represents the optimal path with the minimum cost from node s to node d, where the path s p ( s , d ) is a sequence s = s 1 , s 2 s m = d , and there exists an edge ( s i , s i + 1 ) E between any two nodes s i and s i + 1 . s p ( s , d ) represents the backup path from node s to node d, and where the path s p ( s , d ) is a sequence s = d 1 , d 2 d n = d and there exists an edge ( d i , d i + 1 ) E between any two nodes d i and d i + 1 , then the following definition applies:
Definition 1
(Independent Paths). In paths s p ( s , d ) and s p ( s , d ) , except source node s and destination node d, s p ( s , d ) and s p ( s , d ) do not share any node with each other, s p ( s , d ) and s p ( s , d ) occur at the same time, and s p ( s , d ) and s p ( s , d ) do not have any shared edges, in this case, s p ( s , d ) and s p ( s , d ) are said to be two independent paths.
In a topology G, if any two paths from node s to node d do not satisfy the definition of independent paths, we define these two paths as intersecting, meaning there is an overlap between them. The cross-degree is defined as follows.
Definition 2
(Cross-Degree). Given a topological graph G = ( V , E , W ) , with source node s and destination node d, there are two paths s p ( s , d ) and s p ( s , d ) . The set of edges shared by these two paths is defined as the crossing number, which can be expressed as follows:
K ( s p ( s , d ) , s p ( s , d ) ) = { s p ( s , d ) s p ( s , d ) }
In this Equation (1), s p ( s , d ) s p ( s , d ) denotes the intersection of s p ( s , d ) and s p ( s , d ) , while | K ( s p ( s , d ) , s p ( s , d ) ) | represents the value of the cross-degree, which is defined as the number of common edges in the two paths. This is expressed in Equation (2) as follows:
| K ( s p ( s , d ) , s p ( s , d ) ) | = i = 1 i = w ( v i , v i + 1 ) s p ( s , d ) s p ( s , d ) w = m 1 0 s p ( s , d ) s p ( s , d ) =
In Equation (2), m 1 denotes the penultimate node number in the optimal path s p ( s , d ) . That is, iterating over all the edges on the best path to find the edges that are common to the backup path s p ( s , d ) yields the number of common edges, which represents the value of the crossover degree. The following example illustrates this definition.
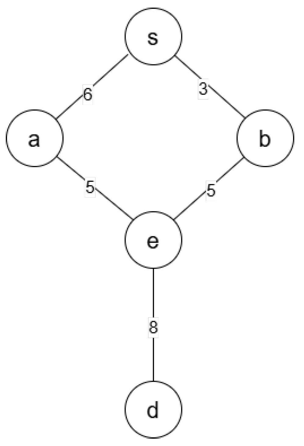
Figure 1 shows five nodes and five edges in the topology graph G = ( V , E , W ) , and the number on each edge is the cost of the edge. Assuming that node s is the source node and node d is the destination node, calculating the cost on the path from node s to node d yields two paths. A sequence of paths s p ( s , d ) = { s , b , e , d } with a path cost of 16, and a sequence of paths s p ( s , d ) = { s , a , e , d } with a path cost of 19. The two paths are compared, and since 16 is less than 19, the best path is s p ( s , d ) , and the backup path is s p ( s , d ) . The cross-degree of these two paths is K ( s p ( s , d ) , s p ( s , d ) ) = { ( e , d ) } , | K ( s p ( s , d ) , s p ( s , d ) ) | = 1 , i.e., the cross-degree is 1. Assuming that the source node is the s node and the e node is the destination node, the path s a e and the path s b e do not share any node or any edge other than the source and the destination nodes, and hence, these are two independent paths.

3.2. Problem Description

In the process of solving the problem of this scheme, the backup paths of the nodes are subjected to constant search, and therefore, the connectivity of the graph needs to be ensured, i.e., it has the following definition.
Definition 3
(Connectivity of a graph). If a topological graph G = ( V , E , W ) is connected, i.e., for any two nodes s , d V , there exists a path whose sequence of nodes connects s and d, it can be expressed by Equation (3), as follows:
( G ) = { s , d V v 1 , v 2 v k | v 1 = s , v k = d }
Furthermore, for any 1 i k , there is ( v i , v i + 1 ) E , which satisfies the above condition, and then the topological graph is connected [14]. Connectivity is the basis for determining whether a path exists from the start point to the end point.
The main aim of this paper is to solve a central problem in intra-domain route protection as follows: in a given undirected graph topology, using the shortest path algorithm, determine one backup path for each pair of source node s and destination node d. This backup path should satisfy the minimum cross-degree with the best path, where s p ( s , d ) is denoted as the best path from node s to node d, s p ( s , d ) is denoted as the backup path, and  s p ( s , d ) s p ( s , d ) denotes that the cross-degree of the two paths is denoted by the symbol C. At this point, the problem can be simplified and expressed as min K ( C ) . The minimum cross-degree is beneficial for reducing the risk of a single point of failure in the network, while improving the stability of the network in the face of failure. Therefore, the scheme needs to fulfill the following conditions:
(1)
The optimal path has minimum cross-degree with the backup path, or the backup path and the optimal path are two independent paths.
(2)
According to the shortest path algorithm (Dijkstra’s algorithm), the source node forwards the packet to the destination node via the best path or backup path.
(3)
The connectivity of the topology needs to be maintained during the computation of backup paths.
The solution to the problem proposed in this paper must consistently satisfy the aforementioned three conditions, while simultaneously minimizing the intersection between the backup path and the optimal path during the backup path search process. Therefore, the problem can be formulated as a Linear Programming (LP) problem, namely,
min K ( C ) = min { s p ( s , d ) s p ( s , d ) }
s.t.
G = ( V , E , M ) U G
G { ( G ) | 1 i k , ( v i , v i + 1 ) E }
s p ( s , d ) & s p ( s , d ) = D i j k s t r a ( G , s , d )
s p ( s , d ) = s , s 1 , s 2 d
K ( C ) = { s p ( s , d ) s p ( s , d ) }
s p ( s , d ) = { ( d i , d i + 1 ) E / C }
In the aforementioned LP model, the objective function is defined by Equation (4), where the cross-degree must be minimized under the constraints imposed by Equations (5)–(10). The term U G in Equation (5) denotes an undirected graph, confirming that the initial topology of this scheme adopts an undirected graph structure. Equation (6) uses ( G ) to represent graph connectivity, fulfilling one of the essential requirements—preserving the connectivity of the topology graph. Both the optimal path and the backup path in this study are derived using Dijkstra’s shortest path algorithm (Equation (7)). Equation (8) specifies the optimal path sequence between s node and d node. The intersection sequence of the optimal path s p ( s , d ) and the backup path s p ( s , d ) is characterized by Equation (9), which quantifies their overlapping path segments. Equation (10) imposes constraints on the backup path, ensuring that the backup path from node s to node d remains mutually independent from its corresponding optimal path.

3.3. Theoretical and Complexity Analysis

This section provides theoretical guarantees for the existence and properties of minimum cross-degree backup paths, along with an analysis of the problem’s computational complexity.
Theorem 1
(Existence of a Feasible Solution). For any connected undirected graph G = ( V , E , W ) and any source-destination pair ( s , d ) , there exists a backup path s p ( s , d ) that minimizes the cross-degree K ( s p ( s , d ) , s p ( s , d ) ) .
Proof. 
Let s p ( s , d ) be the optimal path computed via Dijkstra’s algorithm. The set of all possible s d paths, P , is finite and nonempty (since G is connected according to Definition 3). The cross-degree K for any path p P is bounded by 0 | K ( p ) | | s p ( s , d ) | . Thus, the set of cross-degree values { | K ( p ) | : p P } is a finite set of non-negative integers. By the well-ordering principle, this set has a minimum value k min . Any path p * P achieving | K ( p * ) | = k min is a valid backup path with minimum cross-degree.    □
Theorem 2
(Optimality Condition). A backup path s p ( s , d ) attains minimum cross-degree k min if and only if it shares no edges with s p ( s , d ) that could be avoided while maintaining connectivity.
Proof. 
Suppose s p ( s , d ) achieves k min but shares an avoidable edge e s p ( s , d ) . Removing e from the graph and recomputing the backup path would yield a new path s p ( s , d ) with | K ( s p ( s , d ) , s p ( s , d ) ) | < k min , contradicting minimality.
Let s p ( s , d ) share no avoidable edges. If a path p exists with strictly smaller cross-degree, s p ( s , d ) must include at least one edge that could have been excluded without disconnecting s and d, violating the “no avoidable edges” condition. Thus, s p ( s , d ) minimizes cross-degree.    □
Theorem 3
(Computational Complexity). Finding a minimum cross-degree backup path for a given s p ( s , d ) is NP-hard.
Proof. 
We reduce the Minimum Shared Edges (MSE) problem, known to be NP-hard [31], to our problem. The MSE problem is given as follows: given a graph G = ( V , E ) , nodes s , d , a path P, and integer k, does there exist an s d path sharing k edges with P?
Reduction: For any MSE instance, assign unit weights W 1 . Compute s p ( s , d ) using Dijkstra. The MSE instance is equivalent to decide whether a backup path s p ( s , d ) exists with | K ( s p ( s , d ) , s p ( s , d ) ) | k . A polynomial-time algorithm for our problem would solve MSE in polynomial time, contradicting its NP-hardness. Thus, our problem is NP-hard.    □

4. Algorithm Analysis

In the intra-domain routing protection scheme proposed in this paper, which is based on minimal cross-degree backup path, the backup path discovery process involves link removal and path recomputation. This procedure aims to minimize the cross-degree between the backup path and the optimal path, thereby mitigating the impact of single-point failures on routing protection. The link removal rules are formally defined below.
Theorem 4
(link deletion rule). In the topology graph G = ( V , E , W ) , s p ( s , d ) represents the optimal path from the source node s to the destination node d, and the backup path is denoted as s p ( s , d ) . Let K ( s p ( s , d ) , s p ( s , d ) ) = { ( s , s 1 ) , ( s 1 , s 2 ) , ( s 2 , s 3 ) } be the cross-degree between the optimal path and the backup path. When deleting links, sequentially remove the links closer to the source node s and re-plan the backup path.
Proof. 
(Reversal method). Assume the optimal path is s p ( s , d ) = { s , s 1 , s 2 , s 3 , d } , and according to Dijkstra’s algorithm, the backup path obtained is s p ( s , d ) = { s , s 1 , s 2 , s 3 , s 5 , d } , and the cross-degree between them is K ( s p ( s , d ) , s p ( s , d ) ) = { ( s , s 1 ) , ( s 1 , s 2 ) , ( s 2 , s 3 ) } . Assuming that the links in the cross-degree are sorted in order, starting with the removal of the link closest to the destination node, such as removing the ( s 2 , s 3 ) link. The backup path is then recalculated, resulting in a sequence s p ( s , d ) = { s , s 1 , s 2 , s 4 , s 5 , d } . At this point, the cross-degree between the two paths remains K ( s p ( s , d ) , s p ( s , d ) ) = { ( s , s 1 ) , ( s 1 , s 2 ) } . Next, again starting with the removal of the link closest to the destination node, the  ( s 1 , s 2 ) link is deleted; assume that the recalculated backup path at this point is s p ( s , d ) = { s , s 1 , s 6 , s 7 , s 2 , s 3 , s 5 , d } , K ( s p ( s , d ) , s p ( s , d ) ) = { ( s , s 1 ) , ( s 2 , s 3 ) } represents the current cross-degree, and link ( s 2 , s 3 ) reappears in the backup path, which fails to ensure that the backup path and the optimal path have the minimum cross-degree. Therefore, we choose to remove links from the source node within the cross-degree and recalculate the backup path. The subsequent pseudocode (Algorithm 1) elucidates the method of proof by contradiction:
Algorithm 1: Reverse link delete explanation
Applsci 15 08151 i001
   □
Under the established link deletion rules, the following key steps are used to search for a backup path.
Step 1: Initialize the best path and possible backup paths. First, Dijkstra’s algorithm is utilized to compute the best path s p ( s , d ) from the source node s to the destination node d. The advantage of this algorithm is that it gives preference to the path with the minimum cumulative weight, which results in the path with the lowest cost. Then, the computed best path s p ( s , d ) is initially assigned to the initial backup path s p ( s , d ) .
Step 2: Determine the cross-degrees between the backup and optimal paths. Remove the links within this intersection set from the topology graph. Compute K ( s p ( s , d ) , s p ( s , d ) ) = { s p ( s , d ) s p ( s , d ) } , which identifies shared links between the two paths, referred to as common edges. Subsequently, eliminate these shared links from the topology graph.
Step 3: Determine the backup path for the node. Within the topology, excluding the link removed in Step 2, ascertain if a backup path exists from the source node s to the destination node d. If such a path is identified, denote it as the final backup path b p ( s , d ) . If not, proceed to Step 4.
Step 4: Conduct a secondary search for backup paths utilizing the link deletion rule. Within the cross-degree set, identify and remove the edge nearest to the source node s, taking precautions to avoid any disconnections post-deletion. Subsequently, employ the shortest path algorithm to determine a potential backup path s p ( s , d ) from the source node to the destination node. Repeat Steps 2 through 4 until no further links can be removed within the cross-degree, signifying the discovery of the backup path b p ( s , d ) with the minimal cross degree.
By following the aforementioned steps, one can ensure that the backup path has minimal intersection with the optimal path during the search process for a backup path between two nodes. This subsequently augments the network’s availability in the event of node or link failures. Consider the following topology, which comprises 11 nodes and 13 edges, as an illustration. The specific calculation process is elucidated below, using the source node b and the destination node k as an example.
In Figure 2, the optimal backup path s p ( b , k ) = { b , d , e , h , g , j , k } from node b to node k is calculated according to Dijkstra’s algorithm. As described in Step 1 above, this path is then assigned to the previously initialized backup path s p ( b , k ) = { b , d , e , h , g , j , k } . Subsequently, the cross-degree, denoted as K ( s p ( b , k ) , s p ( b , k ) ) = { ( b , d ) , ( d , e ) , ( e , h ) , ( h , g ) , ( g , j ) , ( j , k ) } , is determined, representing a sequence of links. Then, delete links in the cross-degree. As per the guidelines outlined in Step 3, there is no backup path from node b to node k. Therefore, transition to Step 4 as previously mentioned. Delete link ( b , d ) from the original topology diagram, and the corresponding backup path s p ( s , d ) can be obtained as { b , a , d , e , h , g , j , k } . Subsequently, revisit and execute Steps 2 to 4. As per Step 2, recalculate the crossing degree K ( s p ( b , k ) , s p ( b , k ) ) = { ( d , e ) , ( e , h ) , ( h , g ) , ( g , j ) , ( j , k ) } . Then, eliminate the set of links in the crossing degree from the original topology diagram; it can be seen that node b cannot reach the destination node k. In the subsequent phase, pursuant to Step 4, it is imperative to eliminate edge ( d , e ) . Upon this elimination, utilization of the shortest path algorithm will ascertain that node b cannot establish a connection with the target node k, thereby inducing a network disconnection. Consequently, we persist in our search for links within the intersection set that are proximate to the source point and can be removed without causing a disconnection. Upon the removal of link ( e , h ) , s p ( s , d ) is updated to { b , a , d , e , f , j , k } . Upon recalculating the cross-degree of the backup path with the optimal path, we obtain K ( s p ( b , k ) , s p ( b , k ) ) = { ( d , e ) } . Given that there is now only one link ( d , e ) in the cross-degree set and its removal would render the destination node k unreachable, the algorithm concludes. The final backup path is denoted as b p ( b , k ) = { b , a , d , e , f , i , k } , having a cross-degree of K ( s p ( b , k ) , s p ( b , k ) ) = { ( d , e ) } with a corresponding value of 1.

5. MCD-BP

The Minimum Crossover Degree Backup Path (MCD-BP) algorithm is an intra-domain routing protection mechanism that leverages the Minimum Cross-Degree Backup Path principle. The primary function of this algorithm is to compute and establish a backup path in advance, thereby enabling a swift response to failures [17]. This approach significantly reduces the duration and consequence of data transmission interruptions. The fundamental premise of the algorithm is to choose a backup path that exhibits minimal cross-degree with the optimal path. In an ideal optimal state, the backup path should not share any nodes or links with the optimal path. This ensures that in the event of optimal path failure, the integrity of the backup path remains unaffected.

5.1. Introduction to the Algorithm

In the topology graph G = ( V , E , W ) , where s represents the source node and d denotes the destination node, the MCD-BP algorithm is implemented through the following steps: (1) Determine the most optimal path, denoted as s p ( s , d ) , from the source node s to the destination node d. (2) Assign the optimal path to the backup path, denoted as s p ( s , d ) = s p ( s , d ) . Check for any intersections between s p ( s , d ) and s p ( s , d ) . If no intersection is found, then s p ( s , d ) is the definitive backup path. However, if an intersection exists, move on to the subsequent step. (3) Employ the link deletion rules stated above to remove the links at the intersection, then recalculate the backup path. Continue this iterative process of deletion until a backup path with the lowest degree of intersection is ultimately achieved.
The theorems inherent to the algorithm are detailed as follows:
Theorem 5.
(Connectivity Iteration Guarantee of the MCD-BP Algorithm). Within the network framework of the MCD-BP algorithm, it is imperative that any backup path, tracing from any source node to any destination node, be iteratively expunged in accordance with the link deletion rule. This is to ensure the uninterrupted connectivity of the path.
The MCD-BP algorithm necessitates an understanding of a key function—the Del_edge function. This function plays a pivotal role in iteratively deleting links within the intersection degree set K while concurrently adhering to the aforementioned theorem. The following presents the pseudocode segment of this particular function.
The Del_edge function Algorithm 2 takes as input the set K and the possible backup path s p ( s , d ) , and it outputs the potential backup paths. On line 2 of the function, a preliminary variable i is initialized to 0. We next impose a condition on s p ( s , d ) , leading to the invocation of a loop algorithm when the backup path s p ( s , d ) is null. This loop algorithm yields a new graph G , derived by removing the edge proximate to the source point within cross-degree K of the initial graph G. Utilizing the newly constructed graph G , compute the shortest path from node s to node d, designated as the backup path s p ( s , d ) . In the event that the set K is found to be vacant, proceed by returning the extant backup path s p ( s , d ) and subsequently terminate the function. Upon completion of the function, the last computed backup path s p ( s , d ) will be returned. Conversely, if the set K is not devoid of elements, repeat  execution.
Algorithm 2: Del_edge function
Applsci 15 08151 i002
Next, we will introduce the MCD-BP algorithm as follows:
In the pseudocode for MCD-BP Algorithm 3, the destination node is denoted as d, the input topology graph as G = ( V , E , W ) , and the output backup path as b p ( s , d ) . Initially, the algorithm creates an empty set K to store the intersection degree (lines 1–2). It then computes the shortest path s p ( s , d ) using the Dijkstra algorithm. Concurrently, it initializes a potential backup path s p ( s , d ) as an empty set. The algorithm initiates the loop at line 3, where it assigns the most optimal path s p ( s , d ) to s p ( s , d ) . Subsequently, the cross-degree of s p ( s , d ) and s p ( s , d ) is computed, and the set K is updated (line 5). If the set K is not vacant, the algorithm proceeds into the loop (lines 6–16). A new graph G is subsequently constructed by eliminating all links within set K from the original graph G (lines 7–8). Within this new graph G , an alternative backup path, denoted as s p ( s , d ) , from the source s to the destination d is recomputed (line 9). If this recalculated backup path s p ( s , d ) is not vacuous, it is designated as the final backup path b p ( s , d ) , prompting an exit from the loop (lines 10–12). In the absence of a backup path, the algorithm calls the Del_edge function to iteratively remove edges in K and recalculate the backup path (line 13). The loop is exited if an edge deletion results in the nonexistence of a backup path. If a backup path is available, the set K should be updated with the intersection of s p ( s , d ) and s p ( s , d ) (lines 13–15). Upon exiting the while loop, if the set of potential backup paths remains nonempty, the algorithm assigns the backup path s p ( s , d ) to the backup path b p ( s , d ) (lines 17–18).
Algorithm 3: MCD-BP Algorithm
Applsci 15 08151 i003

5.2. Algorithm Discussion

Theorem 6.
The time complexity of the MCD-BP algorithm is as follows:
O ( | V | 1 ) × O ( log   | E | + log | E | log | K | )
Proof. 
The algorithm consists of the following two primary phases: topological node traversal and iterative cross-degree computation between link sets.
  • Phase 1: Topological Node Traversal
In the first phase, the algorithm traverses all nodes in the topology except the destination node, resulting in a straightforward time complexity of O ( | V | 1 ) , where | V | represents the total number of nodes in the network. This phase ensures that each relevant node is processed for potential path computations.
  • Phase 2: Iterative Cross-Degree Computation
The second phase, which constitutes the core of the algorithm, involves an iterative process to compute the cross-degree between link sets. Before the iterative cycle begins, potential backup paths are pre-computed, contributing a logarithmic factor of O ( log   | E | ) , where | E | denotes the number of edges in the network. The efficiency of this phase depends on the number of iterations required to determine the optimal backup path. In the best case scenario, the algorithm identifies the desired path in the first iteration, minimizing computational overhead. However, in the worst case, it must examine all links in the cross set, leading to an additional logarithmic term O ( log   | E | log | K | ) , where | K | represents the size of the cross set. Consequently, the average time complexity of this phase is expressed as O ( | V | 1 ) × O ( log   | E | + log | E | log | K | ) .
Combining both phases, the overall time complexity of the MCD-BP algorithm remains dominated by the second phase due to its iterative and logarithmic dependencies. This analysis highlights the algorithm’s efficiency in typical scenarios while acknowledging its worst-case behavior when extensive link evaluations are required. The logarithmic terms suggest that the algorithm scales well with increasing network size. □

6. Evaluation

This study employs the MCD-BP algorithm in experiments with both real and simulated topologies. The real topology comprises 12 distinct topology diagrams, each depicting varying scales of network structures. Conversely, the simulated topology consists of 11 real topologies [32], generated using the Brite topology tool (https://www.cs.bu.edu/brite/download.html). The model settings for this generator include Waxman as the configuration, along-side alpha values of 0.15 and beta values of 0.2. This generator produced five topologies with a degree of 4 and node counts of 20, 40, 60, 80, and 100. It also created six topologies with node counts of 200 and degrees of 2, 4, 6, 8, 10, and 12. The following Table 2 present the performance outcomes of the scheme across these diverse topologies.

6.1. Failure Protection Rate

The Failure Protection Rate (FPR) quantifies the likelihood that data can be successfully transmitted to the destination node in the event of a network failure. This metric serves as an index of the reliability of the routing protection scheme. Let N p r o t e c t e d denote the quantity of nodes that can be transmitted via the backup path in the event of network failure. Let N t o t a l refer to the total count of nodes, excluding the destination node. The fault protection rate ranges from 0 to 1, where a value closer to 1 indicates superior fault protection capabilities. The FPR formula is expressed as follows:
F P R = N p r o t e c t e d N t o t a l
The subsequent figure illustrates the FPR as encapsulated by the MCD-BP algorithm, compared with other algorithms across various topologies.
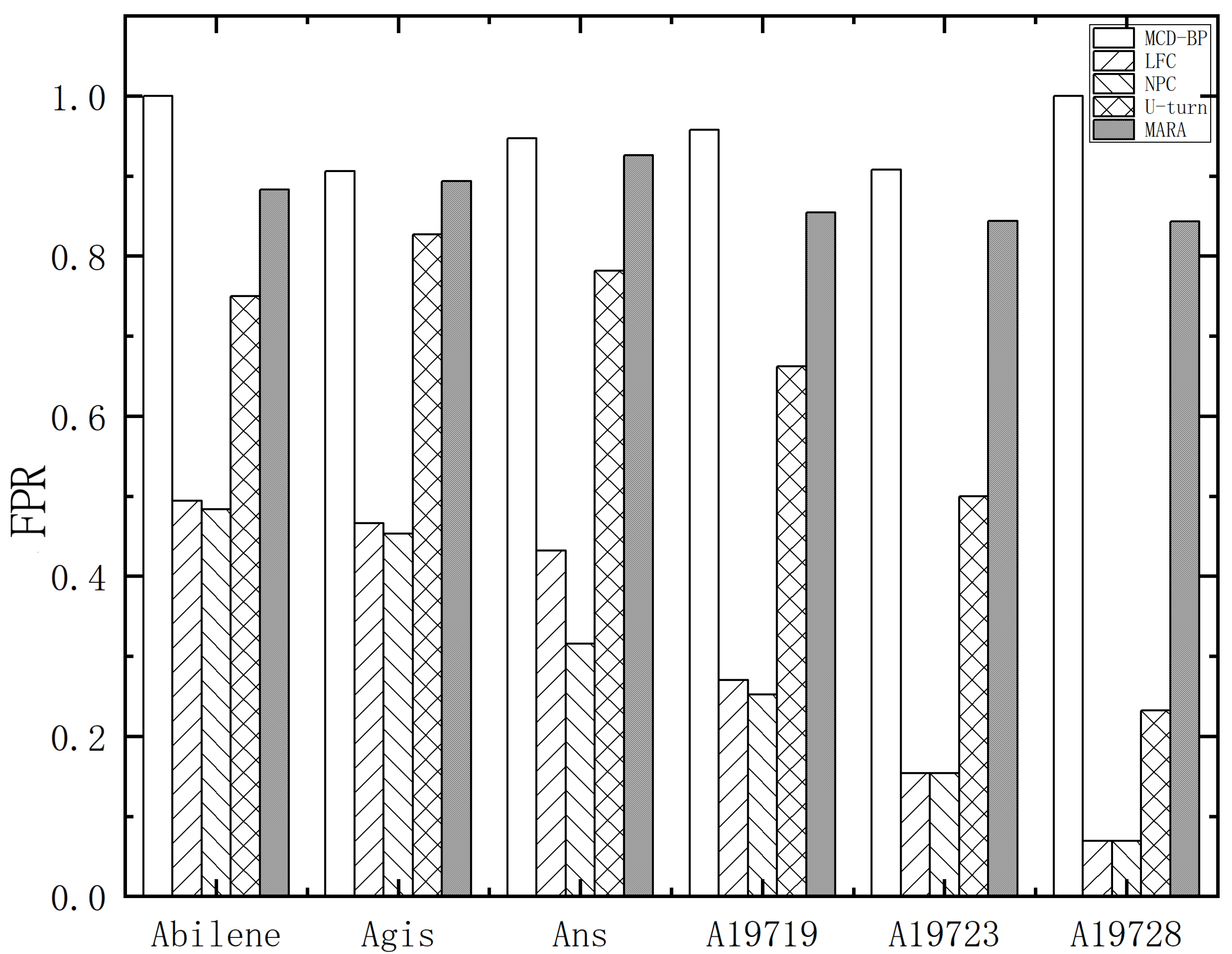
Figure 3 and Figure 4 illustrate that the proposed MCD-BP method outperforms other algorithms in terms of FPR in real topologies. Specifically, Figure 3 shows that in real topology Abilene, the MCD-BP algorithm achieves a superior FPR of 1, significantly exceeding the rates of other algorithms. The FPR for the MARA, U-turn, LFC, and NPC algorithms are 0.88, 0.75, 0.49, and 0.48, respectively. The data presented clearly illustrate the substantial impact of the MCD-BP algorithm on fault recovery. This effect is markedly pronounced in the real topology A19728, where the MCD-BP algorithm demonstrates a FPR of 1. This rate noticeably surpasses those of the MARA algorithm (0.84), the U-turn algorithm (0.23), the LFC algorithm (0.069), and the NPC algorithm (0.069).
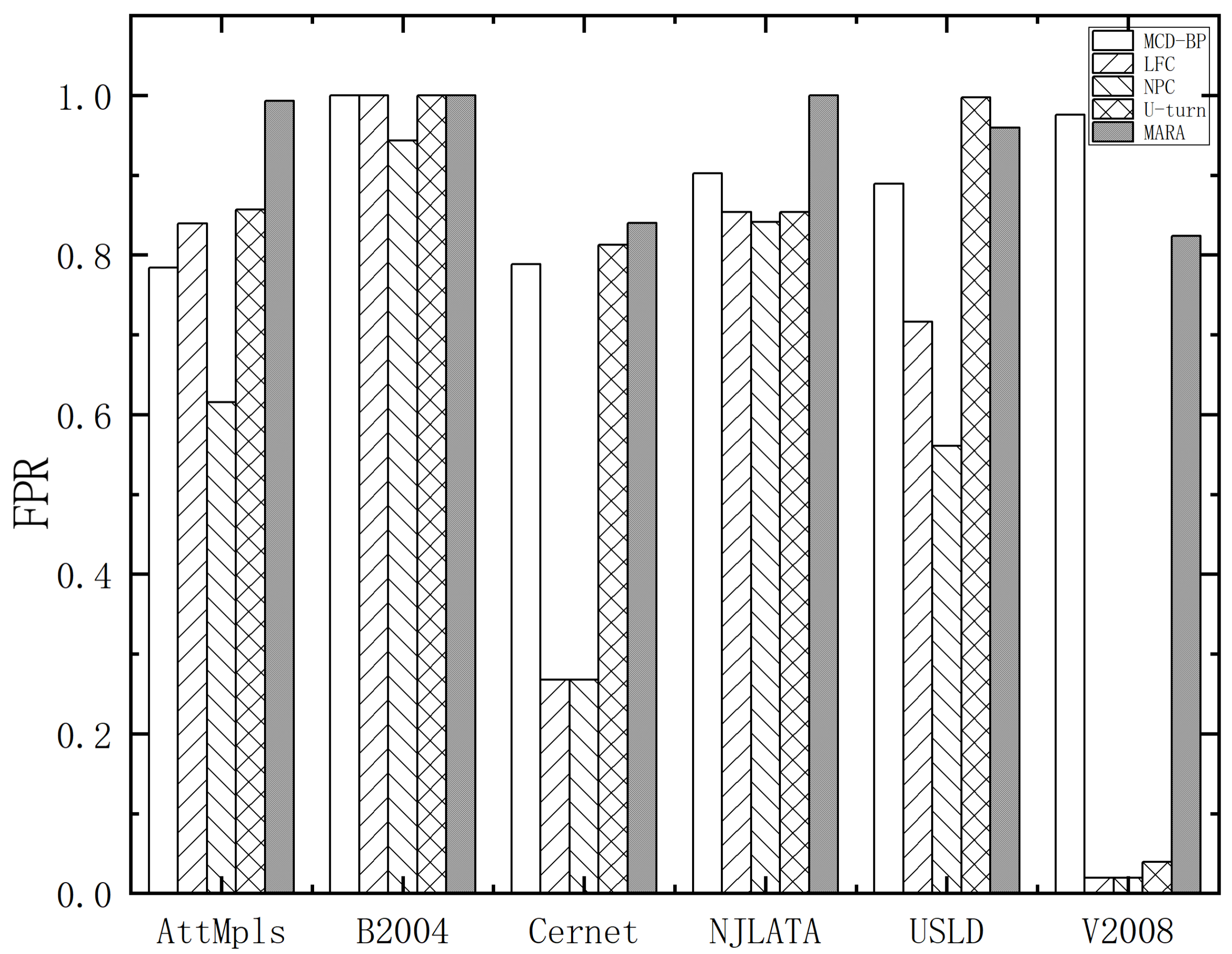
Figure 4 present experimental data from the real topology V2008, demonstrating that the FPR of LFC, NPC, and U-turn are markedly lower than that of the MCD-BP algorithm. Specifically, the FPR of LFC and NPC, both 0.01926, are significantly below the rate achieved by the MCD-BP algorithm.
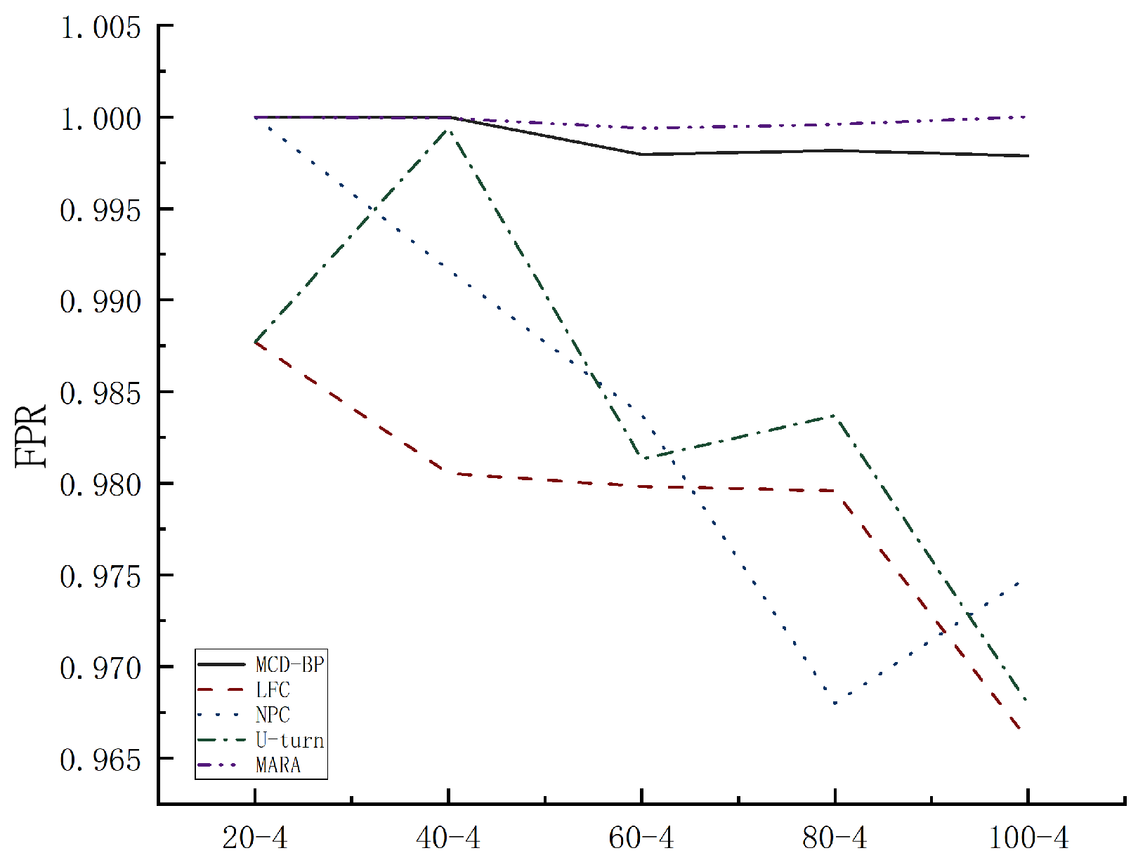
The subsequent figure illustrates the FPR of various algorithms on a simulated topology. Through Figure 5, it is apparent that the proposed MCD-BP algorithm consistently exhibits a superior FPR within the simulated topology in comparison to its counterparts, maintaining stability. While the MARA algorithm’s performance in the figure bears some resemblance to that of the MCD-BP algorithm, it surpasses MCD-BP slightly from the 60-4 virtual topology onwards. The LFC, NPC, and U-turn algorithms exhibit a decreasing trend in FPR as the node degree in the topology incrementally rises, as observed in the 40-4 and 60-4 topologies. In the 100-4 topology, MCD-BP yields a result of 0.9979, while MARA achieves a performance of 1; both outcomes are proximate and can provide fundamental routing protection. The NPC algorithm, U-turn algorithm, and LFC algorithm follows with results of 0.9749, 0.96796, and 0.96599, respectively.
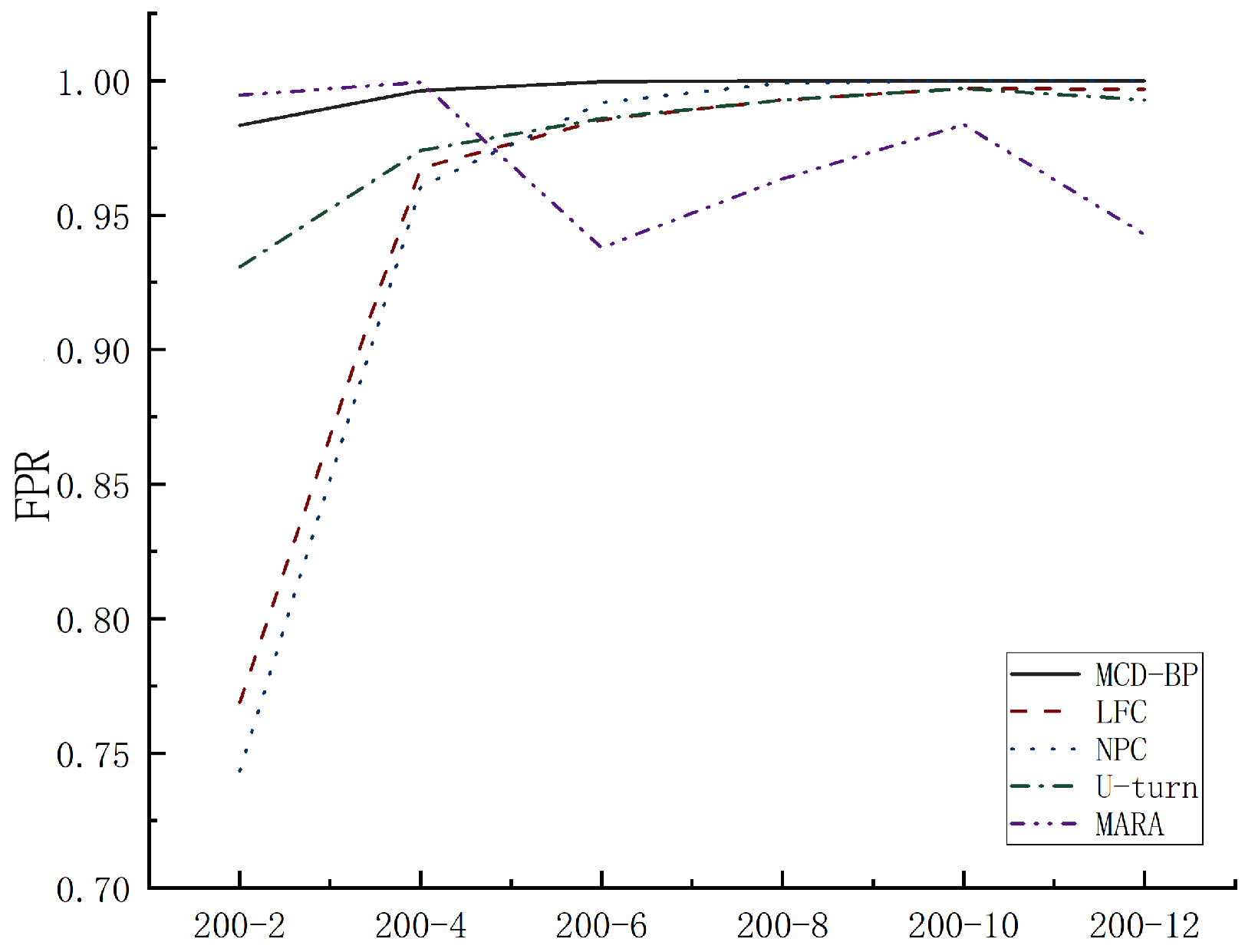
Figure 6 illustrate the FPR of various topologies, with node degrees ranging from 2 to 12, under different algorithms. These figures demonstrate that the MCD-BP algorithm maintains a relatively consistent performance in comparison to other algorithms. This is particularly evident in the topologies of 200-8, 200-10, and 200-12, where the FPR of the MCD-BP algorithm reaches 1. However, for the 200-6 topology, the performance of different algorithms varies. Notably, the MARA algorithm displays the lowest FPR of 0.94 in this 200-6 topology, which is less than the 0.994 in the 200-4 topology. Furthermore, the MARA algorithm exhibits an inconsistent trend in the subsequent two topologies.
The subsequent Table 3 presents the specific experimental data pertaining to FPR.

6.2. Path Stretching Degree

The Path Stretching Degree (PSD) refers to the proportional increase in the length of a backup path when compared to the optimal one. This measure directly impacts data transfer latency, making it particularly significant for applications that are sensitive to latency. PSD is defined as the ratio of the average backup path length of nodes to the optimal path length [20]. In an ideal scenario, the PSD value is 1. However, in most instances, the backup path length of nodes exceeds the optimal path length. A smaller path stretch indicates less overhead associated with the scheme.
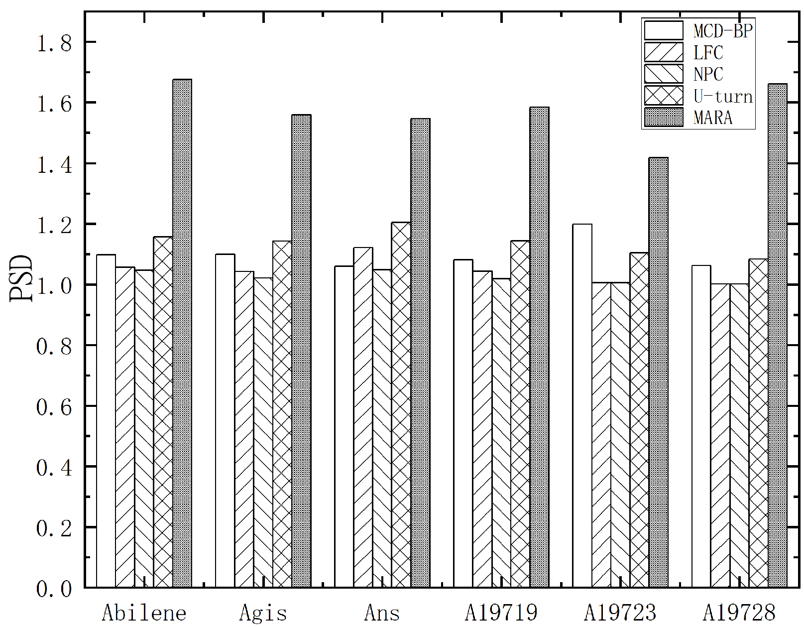
We conducted an examination of the PSD of various algorithms in both real and virtual topology. As evidenced by Figure 7, within the real topology, the PSD is lowest under the NPC algorithm, registering a value of 1.01. This is followed by the LFC algorithm at 1.01, the MCD-BP algorithm with a value of 1.06, the U-turn algorithm at 1.12, and finally, the MARA algorithm, which has the highest path stretch index of 1.45. As illustrated in Figure 8, in real topology AttMpls, the NPC algorithm exhibits a distinct advantage in the path stretch metric, recording the minimal path stretch of 1.07 compared to its counterparts. The MCD-BP algorithm follows suit with a path stretch of 1.09, while the U-turn algorithm presents a significantly higher stretch of 1.39. Notably, the experiment reveals that the MARA algorithm yields the highest path stretch, indicating a substantial additional computational overhead introduced to the network by this algorithm.
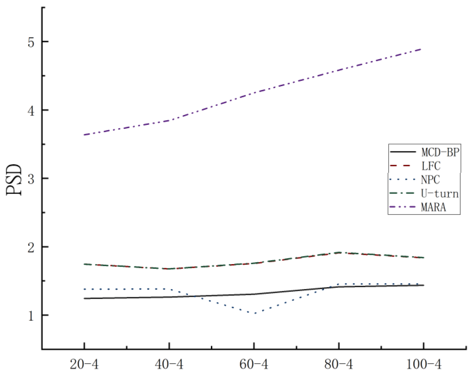
In Figure 9, we note that PSD of the MARA algorithm escalates in direct proportion to the size of the topology graph. Conversely, the performance of the remaining algorithms remains comparatively stable and lower as the topology graph increases in size. The PSD values obtained using the LFC algorithm closely resemble those derived from the U-turn algorithm. For instance, in the 20-4 topology, both algorithms yield a PSD value of 1.75. However, in the 60-4 topology, the PSD for the NPC algorithm is notably lower at 1.02, which is lower than that of other algorithms.
In Figure 10, the PSD of the MARA algorithm is still higher than that of other algorithms and increases with the expansion of the topological scale. In the 200-2 topology, the differences among the five algorithms are more pronounced, with the highest PSD being 2.16 for the MARA algorithm. This is followed by 1.44 for the U-turn algorithm, 1.35 for the MCD-BP algorithm, 1.33 for the LFC algorithm, and the smallest PSD of 1.24 for the NPC algorithm. Through the above experimental data, it can be concluded that the MCD-BP algorithm proposed in this paper has a lower PSD.
The subsequent Table 4 presents the specific experimental data pertaining to PSD.

6.3. Cross-Degree Means

The cross-degree mean refers to the average quantity of shared edges between the primary and backup paths of all nodes within a given topology. A lower cross-degree mean indicates a reduced number of common edges between the two paths, thereby enhancing the prevention of multiple path failures that could result from a single point of fault.
The cross-degree mean correlates with algorithm performance; a lower cross-degree mean indicates superior algorithm performance, which is advantageous for improving network robustness. This can be observed in Figure 11 and Figure 12. Notably, the cross-degree mean, as calculated by the MCD-BP algorithm, is predominantly 0 across various topologies, illustrating its exceptional performance relative to other algorithms. In Figure 11, the cross-degree means for the Agis topology by algorithms MCD-BP, LFC, NPC, U-turn, and MARA are 0, 2.40, 2.41, 2.34 and 3.39, respectively. Upon examining topologies A19719, A19723, and A19728, a discernible fluctuation in the cross-degree means of the algorithm becomes evident. This suggests that the intricacy of the network topology exerts a notable influence on algorithm efficiency.
As illustrated in Figure 12, the topology AttMpls, B2004, Cernet consistently presents a notably low cross-degree mean across various algorithms. However, the MCD-BP algorithm emerges as the most optimal, registering a cross-degree mean of precisely 0. In the context of topology V2008, several algorithms, namely, LFC, NPC, U-turn, and MARA, exhibit a relatively elevated cross-degree mean. Nevertheless, the MCD-BP algorithm distinctly stands out by displaying the lowest cross-degree mean, markedly differing from the others with a value of 0.16. For perspective, the corresponding cross-degree means for LFC, NPC, U-turn, and MARA are 12.33, 12.33, 12.31, and 15.29, respectively.
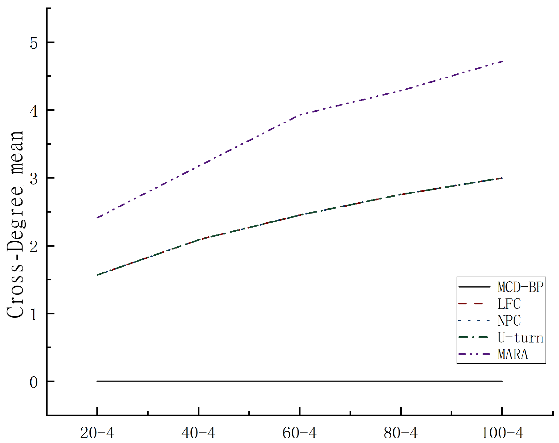
Upon examination of the experimental results depicted in Figure 13 and Figure 14, it is clear that the MCD-BP algorithm exhibits a significant advantage with respect to minimal cross-degree means, as evidenced by results consistently showing 0 across all simulated topologies. Consequently, in the event of a network fault, this algorithm demonstrates its effectiveness in circumventing it. Figure 13 illustrate that as the topology graph transitions from 20 to 4 to 100-4, the cross-degree mean calculated by the MARA algorithm consistently increases. In contrast, the cross-degree means produced by the other three algorithms remain remarkably similar. For example, in the 80-4 topology, the MCD-BP result is 0, while the values for the LFC, NPC, U-turn, and MARA algorithms are 2.76, 2.75, 2.75, and 4.29, respectively. As illustrated in Figure 14, the MCD-BP algorithm consistently maintains the minimum cross-degree mean, even as the size of the topology increases from 200 to 2 to 200-12. For example, in the 200-2 topology, the MCD-BP algorithm yields a cross-degree mean value of 0, compared to the values of 0, 4.42, 4.42, 4.41, and 6.11 obtained by LFC, NPC, U-turn, and MARA, respectively.
The subsequent Table 5 presents the specific experimental data pertaining to FPR.

6.4. Robustness

Considering that the network topology and parameter configuration remain unaltered in this experiment, and given the fully deterministic nature of the algorithm execution process, the experimental environment effectively eliminates the impact of random factors. Therefore, it can be concluded that under these fixed experimental conditions, the performance outcomes exhibited by this algorithm are reflective of the system’s inherent attributes, thus demonstrating its robustness.

7. Discussion

The experimental results detailed in Section 4 demonstrate that the MCD-BP algorithm offers substantial benefits in terms of the FPR. Notably, it consistently achieves superior FPR across various real and simulated topologies, including notable real topologies like Abilene and A19728, as well as simulated topologies such as 200-8, 200-10, and 200-12. In these scenarios, FPR attains a value of 1, signifying that the algorithm is adept at providing reliable backup paths for data transmission, thereby significantly mitigating the consequences of network failure. This achievement is primarily attributable to the core principle of the MCD-BP algorithm—identifying the backup path with the minimal intersection degree relative to the optimal path. This strategic approach maximizes the bypassing of potential failure zones, consequently diminishing the susceptibility of the network to single points of failure.
In terms of PSD, the MCD-BP algorithm consistently demonstrates a minimal PSD. This suggests that the algorithm effectively balances the relationship between path length and fault protection capability when selecting backup paths. Notably, it does not introduce unnecessarily long backup paths in its pursuit of fault protection, thus mitigating any substantial impact on data transmission latency. For example, in real topology Ans, the PSD of the MCD-BP algorithm is 1.05976, which is only surpassed by the NPC algorithm’s 1.04754 and significantly lower than the MARA algorithm’s 1.54651. This underscores the MCD-BP algorithm’s commendable performance in PSD.
Furthermore, the MCD-BP algorithm demonstrates a significant advantage in terms of cross-degree means. In the majority of topologies, the cross-degree mean of the MCD-BP algorithm is typically 0, suggesting that there are virtually no common edges between its backup path and the optimal path. This feature substantially reduces the risk of multipath failure due to a single fault point, thereby enhancing network robustness. These findings further confirm the effectiveness and reliability of the MCD-BP algorithm in identifying backup paths.
Despite the remarkable performance of the MCD-BP algorithm across various experiments, results indicate that network topology complexity can influence its efficiency. For instance, in real topology Agis, the MCD-BP algorithm’s cross-degree mean is 0. However, in topologies A19719, A19723, and A19728, there is noticeable variation in this metric. This likely stems from the inherent complexity of these structures, characterized by a larger number of nodes and links. Such complexity requires the algorithm to account for more factors when identifying backup paths, subsequently impacting the cross-degree mean. In simulated topologies, as the scale increases (e.g., from 20 to 4 to 100-4), the MARA algorithm’s cross-degree mean exhibits a consistent increase. Meanwhile, although the MCD-BP algorithm consistently maintains the lowest cross-degree mean, its computational complexity may also escalate with increased topology scale. Thus, for practical deployments, it is imperative to evaluate both the network topology’s complexity and the algorithm’s computational complexity to ascertain that the optimal backup path can be identified within a reasonable timeframe. Every link failure triggers a fresh Dijkstra search, delaying convergence from milliseconds to seconds. For backbone networks that must react within micro-seconds, this is prohibitive. Consequently, scalability beyond a few hundred nodes remains questionable without approximations, caching, or distributed pre-computation.

8. Conclusions

This paper provides a comprehensive overview of the intra-domain routing protection scheme, which is predicated on the minimum cross-degree backup path. We focus on the crucial index of the cross-degree between two paths and establish link deletion rules to generate a backup path that shares the fewest common edges with the original path. Through rigorous testing across diverse network topologies, we ascertain that the proposed MCD-BP algorithm exhibits a high fault protection rate, minimal path stretch, and a low average crossing degree. These findings suggest that the routing protection mechanism performs well, thereby mitigating the impact of network failures and bolstering the overall stability of the network.
While the MCD-BP algorithm enhances network failure protection and stability, it encounters challenges in real-world implementations. Its time complexity is O ( | V | 1 ) × O ( log   | E | + log | E | log | K | ) , potentially resulting in significant computational overhead in expansive networks. Consequently, the execution duration might impede fault recovery efficiency. Furthermore, the intricacy of network topologies can influence the MCD-BP algorithm’s performance. In specific topological configurations, the algorithm’s crossover mean displays fluctuations, suggesting its optimization effects might differ across various network contexts. Though the MCD-BP algorithm surpasses many contemporary routing protection strategies, it might necessitate integration with other methods, such as LFA or ECMP, to leverage their strengths comprehensively. Given the dynamic nature of real-world networks—characterized by evolving topologies, link additions or deletions, and node failures and recoveries—the relevance of pre-computed backup paths may be questioned. Additionally, deploying the algorithm entails addressing the performance constraints of network devices and ensuring protocol compatibility.
Future research can be pursued in several directions, outlined as follows: Firstly, the time complexity of the algorithm can be reduced either by enhancing the computational methods inherent in the algorithm or by introducing heuristic strategies. This would particularly improve its applicability in large-scale networks. Secondly, it is worth exploring how to dynamically adjust the algorithm’s strategy according to the characteristics of network topology in order to achieve superior performance optimization. Lastly, investigating the integration of the MCD-BP algorithm with other routing protection schemes could lead to a more efficient fault recovery mechanism.
In conclusion, while the MCD-BP algorithm has demonstrated commendable enhancements in network fault protection rate and stability, it is not without certain challenges in real-world implementation. Through continued research and refinement, this algorithm can offer a more robust assurance for the high availability of the network.

Author Contributions

Conceptualization, H.G. and X.L.; methodology, H.G., X.L., W.H., L.X., and L.W.; software, X.L., W.H., and L.W.; validation, X.L.; formal analysis, X.L. and L.X.; investigation, X.L., W.H., and L.X.; resources, X.L.; data curation, X.L.; writing—original draft preparation, H.G., X.L., and L.W.; writing—review and editing, H.G., X.L., W.H., L.X., and L.W.; visualization, X.L.; supervision, H.G. and L.W.; project administration, H.G.; funding acquisition, H.G. All authors have read and agreed to the published version of the manuscript.

Funding

This research was funded, in part, by the National Natural Science Foundation of China (NSFC) under Grant No. 62472267 and by the Postdoctoral Fellowship Program and China Postdoctoral Science Foundation under Grant Number 2025M774384.

Institutional Review Board Statement

Not applicable.

Informed Consent Statement

Not applicable.

Data Availability Statement

The raw data supporting the conclusions of this article will be made available by the authors on request.

Conflicts of Interest

The authors declare no conflicts of interest.

References

  1. Albert, R.; Jeong, H.; Barabási, A.-L. Error and attack tolerance of complex networks. Nature 2000, 406, 378–382. [Google Scholar] [CrossRef]
  2. Turner, D.; Levchenko, K.; Snoeren, A.C.; Savage, S. California fault lines: Understanding the causes and impact of network failures. In Proceedings of the ACM SIGCOMM 2010 Conference, New Delhi, India, 30 August–3 September 2010; pp. 315–326. [Google Scholar]
  3. Hariri, S.; Qu, G.; Dharmagadda, T.; Ramkishore, M.; Raghavendra, C.S. Impact analysis of faults and attacks in large-scale networks. IEEE Secur. Priv. 2003, 1, 49–54. [Google Scholar] [CrossRef]
  4. Suzuki, K. An efficient calculation for TI-LFA rerouting path. IEICE Trans. Commun. 2022, 105, 196–204. [Google Scholar] [CrossRef]
  5. van Duijn, I.; Jensen, P.G.; Jensen, J.S.; Krøgh, T.B.; Madsen, J.S.; Schmid, S.; Srba, J.; Thorgersen, M.T. Automata-theoretic approach to verification of MPLS networks under link failures. IEEE/ACM Trans. Netw. 2021, 30, 766–781. [Google Scholar] [CrossRef]
  6. Nleya, B.; Mutsvangwa, A. A node-regulated deflection routing framework for contention minimization. J. Comput. Netw. Commun. 2020, 2020, 2708357. [Google Scholar] [CrossRef]
  7. Jia, X.; Li, D.; Zhu, J.; Jiang, Y. Metro: An efficient traffic fast rerouting scheme with low overhead. IEEE/ACM Trans. Netw. 2019, 27, 2015–2027. [Google Scholar] [CrossRef]
  8. Hartmann, M.; Hock, D.; Menth, M. Routing optimization for IP networks with loop-free alternates. Comput. Netw. 2016, 95, 35–50. [Google Scholar] [CrossRef]
  9. Csikor, L.; Tapolcai, J.; Rétvári, G. Optimizing IGP link costs for improving IP-level resilience with Loop-Free Alternates. Comput. Commun. 2013, 36, 645–655. [Google Scholar] [CrossRef]
  10. Rétvári, G.; Tapolcai, J.; Enyedi, G.; Császár, A. IP fast reroute: Loop free alternates revisited. In Proceedings of the 2011 Proceedings IEEE INFOCOM, Shanghai, China, 10–15 April 2011; pp. 2948–2956. [Google Scholar]
  11. Kwong, K.-W.; Gao, L.; Guérin, R.; Zhang, Z.-L. On the feasibility and efficacy of protection routing in IP networks. IEEE/ACM Trans. Netw. 2011, 19, 1543–1556. [Google Scholar] [CrossRef]
  12. Moy, J. RFC2328: OSPF Version 2. RFC Editor. 1998. Available online: https://www.ietf.org/rfc/rfc2328 (accessed on 6 September 2022).
  13. Oran, D. RFC1142: Osi Is-Is Intra-Domain Routing Protocol. The Internet Engineering Task Force. 1990. Available online: https://www.ietf.org/rfc/rfc1142 (accessed on 12 August 2022).
  14. Geng, H.; Zhang, H.; Shi, X.; Wang, Z.; Yin, X.; Zhang, J.; Hu, Z.; Wu, Y. A hybrid link protection scheme for ensuring network service availability in link-state routing networks. J. Commun. Netw. 2020, 22, 46–60. [Google Scholar] [CrossRef]
  15. Tapolcai, J.; Babarczi, P.; Brányi, B.; Ho, P.-H.; Rónyai, L. Connectivity preserving graph sequences for routing arborescence construction. IEEE J. Sel. Areas Commun. 2025, 43, 484–494. [Google Scholar] [CrossRef]
  16. Chiesa, M.; Kamiński, A.; Rak, J.; Rétvári, G.; Schmid, S. A survey of fast-recovery mechanisms in packet-switched networks. IEEE Commun. Surv. Tutor. 2021, 23, 1253–1301. [Google Scholar] [CrossRef]
  17. Li, J.; Qi, X.; Ma, W.; Liu, L. Path selection for link failure protection in hybrid SDNs. Future Gener. Comput. Syst. 2022, 137, 201–215. [Google Scholar] [CrossRef]
  18. Menaceur, A.; Drid, H.; Rahouti, M. Fault tolerance and failure recovery techniques in software-defined networking: A comprehensive approach. J. Netw. Syst. Manag. 2023, 31, 83. [Google Scholar] [CrossRef]
  19. Yang, X.; Wetherall, D. Source selectable path diversity via routing deflections. ACM SIGCOMM Comput. Commun. Rev. 2006, 36, 159–170. [Google Scholar] [CrossRef]
  20. Ohara, Y.; Imahori, S.; Meter, R.V. Mara: Maximum alternative routing algorithm. In Proceedings of the IEEE INFOCOM 2009, Rio De Janeiro, Brazil, 19–25 April 2009; pp. 298–306. [Google Scholar]
  21. Vo, H.Q.; Lysne, O.; Kvalbein, A. Routing with joker links for maximized robustness. In Proceedings of the 2013 IFIP Networking Conference, Brooklyn, NY, USA, 22–24 May 2013; pp. 1–9. [Google Scholar]
  22. Schneider, K.; Zhang, B.; Benmohamed, L. Hop-by-hop multipath routing: Choosing the right nexthop set. In Proceedings of the IEEE INFOCOM 2020—IEEE Conference on Computer Communications, Toronto, ON, Canada, 6–9 July 2020; pp. 2273–2282. [Google Scholar]
  23. Menth, M.; Hartmann, M.; Martin, R.; Čičić, T.; Kvalbein, A. Loop-free alternates and not-via addresses: A proper combination for IP fast reroute? Comput. Netw. 2010, 54, 1300–1315. [Google Scholar] [CrossRef]
  24. Xi, K.; Chao, H.J. IP fast rerouting for single-link/node failure recovery. In Proceedings of the Fourth International Conference on Broadband Communications, Networks and Systems (BROADNETS’07), Raleigh, NC, USA, 10–14 September 2007; pp. 142–151. [Google Scholar]
  25. Kvalbein, A.; Hansen, A.F.; Čičić, T.; Gjessing, S.; Lysne, O. Multiple routing configurations for fast IP network recovery. IEEE/ACM Trans. Netw. 2008, 17, 473–486. [Google Scholar] [CrossRef]
  26. Lakshminarayanan, K.; Caesar, M.; Rangan, M.; Anderson, T.; Shenker, S.; Stoica, I. Achieving convergence-free routing using failure-carrying packets. ACM SIGCOMM Comput. Commun. Rev. 2007, 37, 241–252. [Google Scholar] [CrossRef]
  27. Papán, J.; Segeč, P.; Moravčík, M.; Kontšek, M.; Mikuš, Ľ.; Uramová, J. Overview of IP fast reroute solutions. In Proceedings of the 2018 16th International Conference on Emerging eLearning Technologies and Applications (ICETA), Stary Smokovec, Slovakia, 15–16 November 2018; pp. 417–424. [Google Scholar]
  28. Ashraf, T.; Lee, S.S.W.; Iqbal, M.; Pan, J.-Y. Routing path assignment for joint load balancing and fast failure recovery in IP network. Appl. Sci. 2021, 11, 10504. [Google Scholar] [CrossRef]
  29. Foerster, K.-T.; Kamiński, A.; Pignolet, Y.-A.; Schmid, S.; Tredan, G. Improved fast rerouting using postprocessing. IEEE Trans. Dependable Secur. Comput. 2020, 19, 537–550. [Google Scholar] [CrossRef]
  30. Györgyi, C.; Larsen, K.G.; Schmid, S.; Srba, J. SyRep: Efficient synthesis and repair of fast re-route forwarding tables for resilient networks. In Proceedings of the 2024 54th Annual IEEE/IFIP International Conference on Dependable Systems and Networks (DSN), Brisbane, Australia, 24–27 June 2024; pp. 483–494. [Google Scholar]
  31. Yang, Y.; Xu, M.; Li, Q. Fast rerouting against multi-link failures without topology constraint. IEEE/ACM Trans. Netw. 2018, 26, 384–397. [Google Scholar] [CrossRef]
  32. University of Adelaide. The Internet Topology Zoo. Available online: http://www.topology-zoo.org/ (accessed on 7 September 2022).
Figure 1. Topological map.
Figure 1. Topological map.
Applsci 15 08151 g001
Figure 2. Example of a topology diagram.
Figure 2. Example of a topology diagram.
Applsci 15 08151 g002
Figure 3. Experimental results of the failure protection rate. The X-axis delineates the names of the actual topologies, while the Y-axis corresponds to FPR values. A larger FPR value indicates superior performance. This figure compares the FPR performance of MCD-BP algorithm with that of LFC, NPC, U-turn, and MARA algorithms across real-world topologies such as Abilene, Agis, Ans, A19719, A19723, and A19728.
Figure 3. Experimental results of the failure protection rate. The X-axis delineates the names of the actual topologies, while the Y-axis corresponds to FPR values. A larger FPR value indicates superior performance. This figure compares the FPR performance of MCD-BP algorithm with that of LFC, NPC, U-turn, and MARA algorithms across real-world topologies such as Abilene, Agis, Ans, A19719, A19723, and A19728.
Applsci 15 08151 g003
Figure 4. Experimental results of the failure protection rate. The X-axis delineates the names of the actual topologies, while the Y-axis corresponds to FPR values. A larger FPR value signifies superior performance. This figure illustrates a comparative analysis of the FPR between the MCD-BP and other algorithms such as LFC, NPC, U-turn, and MARA applied to real-world topologies, namely, AttMpls, B2004, Cernet, NJLATA, USLD, and V2008.
Figure 4. Experimental results of the failure protection rate. The X-axis delineates the names of the actual topologies, while the Y-axis corresponds to FPR values. A larger FPR value signifies superior performance. This figure illustrates a comparative analysis of the FPR between the MCD-BP and other algorithms such as LFC, NPC, U-turn, and MARA applied to real-world topologies, namely, AttMpls, B2004, Cernet, NJLATA, USLD, and V2008.
Applsci 15 08151 g004
Figure 5. Experimental results of the failure protection rate. The X-axis delineates the “node count-node degree” simulated topology, while the Y-axis showcases the FPR values. A larger FPR value signifies superior performance. This figure provides a comparative analysis of the FPR between the MCD-BP and other algorithms such as LFC, NPC, U-turn, and MARA, specifically within simulated topologies with a small number of nodes.
Figure 5. Experimental results of the failure protection rate. The X-axis delineates the “node count-node degree” simulated topology, while the Y-axis showcases the FPR values. A larger FPR value signifies superior performance. This figure provides a comparative analysis of the FPR between the MCD-BP and other algorithms such as LFC, NPC, U-turn, and MARA, specifically within simulated topologies with a small number of nodes.
Applsci 15 08151 g005
Figure 6. Experimental results of the failure protection rate. The X-axis delineates the “node count-node degree” simulated topology, while the Y-axis showcases the FPR values. A larger FPR value signifies superior performance. This figure illustrates a comparison of FPR among various algorithms, namely, MCD-BP, LFC, NPC, U-turn, and MARA, when applied to simulated topologies predominantly featuring multi-node polygons.
Figure 6. Experimental results of the failure protection rate. The X-axis delineates the “node count-node degree” simulated topology, while the Y-axis showcases the FPR values. A larger FPR value signifies superior performance. This figure illustrates a comparison of FPR among various algorithms, namely, MCD-BP, LFC, NPC, U-turn, and MARA, when applied to simulated topologies predominantly featuring multi-node polygons.
Applsci 15 08151 g006
Figure 7. Comparison of the path stretching degree of the algorithms. The X-axis delineates the names of the actual topologies, while the Y-axis corresponds to PSD values. The proximity of the PSD value to 1 indicates superior performance. This figure illustrates a comparative analysis of the PSD between the MCD-BP and other algorithms, such as LFC, NPC, U-turn, and MARA, applied to real-world topologies, namely, Abilene, Agis, Ans, A19719, A19723 and A19728.
Figure 7. Comparison of the path stretching degree of the algorithms. The X-axis delineates the names of the actual topologies, while the Y-axis corresponds to PSD values. The proximity of the PSD value to 1 indicates superior performance. This figure illustrates a comparative analysis of the PSD between the MCD-BP and other algorithms, such as LFC, NPC, U-turn, and MARA, applied to real-world topologies, namely, Abilene, Agis, Ans, A19719, A19723 and A19728.
Applsci 15 08151 g007
Figure 8. Comparison of the path stretching degree of the algorithms. The X-axis delineates the names of the actual topologies, while the Y-axis corresponds to PSD values. The proximity of the PSD value to 1 indicates superior performance. This figure illustrates a comparative analysis of the PSD between the MCD-BP and other algorithms, such as LFC, NPC, U-turn, and MARA, applied to real-world topologies, namely, AttMpls, B2004, Cernet, NJLATA, USLD and V2008.
Figure 8. Comparison of the path stretching degree of the algorithms. The X-axis delineates the names of the actual topologies, while the Y-axis corresponds to PSD values. The proximity of the PSD value to 1 indicates superior performance. This figure illustrates a comparative analysis of the PSD between the MCD-BP and other algorithms, such as LFC, NPC, U-turn, and MARA, applied to real-world topologies, namely, AttMpls, B2004, Cernet, NJLATA, USLD and V2008.
Applsci 15 08151 g008
Figure 9. Comparison of the path stretching degree of the algorithms. The X-axis delineates the “node count-node degree” simulated topology, while the Y-axis showcases the PSD values. The proximity of the PSD value to 1 indicates superior performance. This figure depicts a comparative analysis of PSD on simulated topologies with a small number of nodes, contrasting the MCD-BP algorithm against the LFC, NPC, U-turn, and MARA algorithms.
Figure 9. Comparison of the path stretching degree of the algorithms. The X-axis delineates the “node count-node degree” simulated topology, while the Y-axis showcases the PSD values. The proximity of the PSD value to 1 indicates superior performance. This figure depicts a comparative analysis of PSD on simulated topologies with a small number of nodes, contrasting the MCD-BP algorithm against the LFC, NPC, U-turn, and MARA algorithms.
Applsci 15 08151 g009
Figure 10. Comparison of the path stretching degree of the algorithms. The X-axis delineates the “node count-node degree” simulated topology, while the Y-axis showcases the PSD values. The proximity of the PSD value to 1 indicates superior performance. This figure depicts a comparative analysis of the PSD of the multi-node polygon simulation topologies, contrasting the MCD-BP algorithm against the LFC, NPC, U-turn, and MARA algorithms.
Figure 10. Comparison of the path stretching degree of the algorithms. The X-axis delineates the “node count-node degree” simulated topology, while the Y-axis showcases the PSD values. The proximity of the PSD value to 1 indicates superior performance. This figure depicts a comparative analysis of the PSD of the multi-node polygon simulation topologies, contrasting the MCD-BP algorithm against the LFC, NPC, U-turn, and MARA algorithms.
Applsci 15 08151 g010
Figure 11. Comparison of the cross-degree means of the algorithms. The X-axis delineates the names of the actual topologies, while the Y-axis corresponds to cross-degree means. A smaller cross-degree mean indicates superior performance. This figure illustrates this comparison of cross-degree means between the MCD-BP and other algorithms such as LFC, NPC, U-turn, and MARA. These algorithms have been tested on real topologies, namely, Agis, Ans, A19719, A19723, and A19728.
Figure 11. Comparison of the cross-degree means of the algorithms. The X-axis delineates the names of the actual topologies, while the Y-axis corresponds to cross-degree means. A smaller cross-degree mean indicates superior performance. This figure illustrates this comparison of cross-degree means between the MCD-BP and other algorithms such as LFC, NPC, U-turn, and MARA. These algorithms have been tested on real topologies, namely, Agis, Ans, A19719, A19723, and A19728.
Applsci 15 08151 g011
Figure 12. Comparison of the cross-degree means of the algorithms. The X-axis delineates the names of the actual topologies, while the Y-axis corresponds to cross-degree means. A smaller cross-degree mean indicates superior performance. This figure illustrates this comparison of cross-degree means between the MCD-BP and other algorithms such as LFC, NPC, U-turn, and MARA. These algorithms have been tested on real topologies, namely, AttMpls, B2004, Cernet, NJLATA, USLD, V2008.
Figure 12. Comparison of the cross-degree means of the algorithms. The X-axis delineates the names of the actual topologies, while the Y-axis corresponds to cross-degree means. A smaller cross-degree mean indicates superior performance. This figure illustrates this comparison of cross-degree means between the MCD-BP and other algorithms such as LFC, NPC, U-turn, and MARA. These algorithms have been tested on real topologies, namely, AttMpls, B2004, Cernet, NJLATA, USLD, V2008.
Applsci 15 08151 g012
Figure 13. Comparison of the cross-degree means of the algorithms. The X-axis delineates the “node count-node degree” simulated topology, while the Y-axis showcases the cross-degree means. A smaller cross-degree mean indicates superior performance. This figure depicts a comparative analysis of cross-degree means on simulated topologies with a small number of nodes, contrasting the MCD-BP algorithm against the LFC, NPC, U-turn, and MARA algorithms.
Figure 13. Comparison of the cross-degree means of the algorithms. The X-axis delineates the “node count-node degree” simulated topology, while the Y-axis showcases the cross-degree means. A smaller cross-degree mean indicates superior performance. This figure depicts a comparative analysis of cross-degree means on simulated topologies with a small number of nodes, contrasting the MCD-BP algorithm against the LFC, NPC, U-turn, and MARA algorithms.
Applsci 15 08151 g013
Figure 14. Comparison of the cross-degree means of the algorithms. The X-axis delineates the “node count-node degree” simulated topology, while the Y-axis showcases the cross-degree means values. A smaller cross-degree mean indicates superior performance. This figure depicts a comparative analysis of cross-degree means of the multi-node polygon simulation topologies, contrasting the MCD-BP algorithm against the LFC, NPC, U-turn, and MARA algorithms.
Figure 14. Comparison of the cross-degree means of the algorithms. The X-axis delineates the “node count-node degree” simulated topology, while the Y-axis showcases the cross-degree means values. A smaller cross-degree mean indicates superior performance. This figure depicts a comparative analysis of cross-degree means of the multi-node polygon simulation topologies, contrasting the MCD-BP algorithm against the LFC, NPC, U-turn, and MARA algorithms.
Applsci 15 08151 g014
Table 1. Summary of advantages and disadvantages of some routing protection algorithms.
Table 1. Summary of advantages and disadvantages of some routing protection algorithms.
AlgorithmAdvantagesDisadvantages
ECMPNo auxiliary mechanism; simple; load balancingRestricted to equal-cost paths; poor flexibility
LFANo extra mechanism; low overheadTopology-limited; modest protection coverage
NPCSimple structure; small path-stretchMediocre protection; low adaptability
U-turnDownstream criterion; scenario-specificVariable protection; topology-dependent
DCDAG-based loop-free backupsNo performance data; unclear applicability
JNHOR-SPUses bi-directional Joker links95% protection rate; needs improvement
LFIDIngress-port redundancyUnstable protection (88.9–98.2%)
ESCAPGuards any single-node failureHigh path-stretch; hurts latency-sensitive traffic
Not-ViaRapid failure reaction via Not-ViaProtocol changes; complex deployment
MRCDynamic link cost adjustment; multi-configHigh maintenance overhead
FCPFailure info carried in packetsProtocol-stack changes; compatibility issues
MARADAG-based multi-path supportTopology-sensitive; high path-stretch
Table 2. Topology information. The following table shows the detailed data of the real topology.
Table 2. Topology information. The following table shows the detailed data of the real topology.
Topology NameNumber of RoutersNumber of Links
Abilene1114
Agis1621
Ans1724
Arpanet197191822
Arpanet197232427
Arpanet197282932
AttMpls2556
Belnet20041834
Cernet1416
NJLATA1123
USLD2845
VtlWavenet20088892
Table 3. Algorithm FPR performance on different topologies. The following table shows the detailed FPR data of different algorithms on various topologies.
Table 3. Algorithm FPR performance on different topologies. The following table shows the detailed FPR data of different algorithms on various topologies.
AlgorithmAbil-eneAgisAnsA19-719A19-723A19-728Att-MplsB20-04Cer-netNJL-ATAUSLDV20-08
MCD-BP1.000.910.950.950.911.000.780.990.780.910.870.96
LFC0.490.470.430.260.160.0690.830.990.260.830.710.02
NPC0.480.450.320.240.160.0690.610.930.260.820.550.02
U-turn0.750.820.780.660.510.230.850.980.810.830.990.06
MARA0.880.890.920.850.840.840.970.980.840.990.950.83
Algorithm20-440-460-480-4100-4200-2200-4200-6200-8200-10200-12
MCD-BP0.9990.9990.9980.9970.99790.9710.9860.9941.0001.0001.000
MARA0.9990.9990.9990.9991.0000.9850.9940.9400.9750.9750.938
NPC0.9990.9910.9830.9670.97490.7450.9480.9830.9970.9980.985
U-turn0.9870.9970.9810.9870.967960.9230.9680.9750.9880.9870.991
LFC0.9870.9810.9780.9780.965990.7630.9580.9750.9860.9860.993
Table 4. Algorithm PSD performance on different topologies. The following table shows the detailed PSD data of different algorithms on various topologies.
Table 4. Algorithm PSD performance on different topologies. The following table shows the detailed PSD data of different algorithms on various topologies.
AlgorithmAbil-eneAgisAnsA19-719A19-723A19-728Att-MplsB20-04Cer-netNJL-ATAUSLDV20-08
MCD-BP1.101.081.061.071.201.061.091.051.261.121.211.27
LFC1.051.071.131.051.091.011.381.141.021.281.121.03
NPC1.051.061.051.051.091.011.071.021.021.111.061.03
U-turn1.161.151.201.151.121.121.391.161.141.281.131.05
MARA1.671.561.531.581.451.621.961.231.781.612.151.64
Algorithm20-440-460-480-4100-4200-2200-4200-6200-8200-10200-12
MCD-BP1.231.361.381.481.461.351.471.481.511.461.38
MARA3.613.734.324.574.772.162.252.513.633.924.25
NPC1.411.391.021.491.461.241.461.521.631.631.64
U-turn1.751.651.761.831.781.441.751.911.981.861.81
LFC1.751.681.751.821.771.331.741.891.961.871.83
Table 5. Algorithm cross-degree means performance on different topologies. The following table shows the detailed cross-degree mean data of different algorithms on various topologies.
Table 5. Algorithm cross-degree means performance on different topologies. The following table shows the detailed cross-degree mean data of different algorithms on various topologies.
AlgorithmAgisAnsA19-719A19-723A19-728Att-MplsB20-04Cer-netNJL-ATAUSLDV20-08
MCD-BP000.080.230.08000.13000.16
LFC2.402.513.094.214.512.211.822.531.733.1612.33
NPC2.412.523.114.194.502.231.842.551.753.1812.33
U-turn2.342.432.984.034.492.201.812.521.733.1312.31
MARA3.393.373.514.765.513.981.983.632.014.9515.29
Algorithm20-440-460-480-4100-4200-2200-4200-6200-8200-10200-12
MCD-BP00000000000
MARA2.423.223.934.294.736.116.326.516.877.347.98
NPC1.562.162.492.753.014.423.623.112.982.762.67
U-turn1.562.152.502.752.984.413.613.122.992.752.64
LFC1.572.172.482.763.014.423.623.092.992.732.66
Disclaimer/Publisher’s Note: The statements, opinions and data contained in all publications are solely those of the individual author(s) and contributor(s) and not of MDPI and/or the editor(s). MDPI and/or the editor(s) disclaim responsibility for any injury to people or property resulting from any ideas, methods, instructions or products referred to in the content.

Share and Cite

MDPI and ACS Style

Geng, H.; Liu, X.; Hou, W.; Xu, L.; Wang, L. Intra-Domain Routing Protection Scheme Based on the Minimum Cross-Degree Between the Shortest Path and Backup Path. Appl. Sci. 2025, 15, 8151. https://doi.org/10.3390/app15158151

AMA Style

Geng H, Liu X, Hou W, Xu L, Wang L. Intra-Domain Routing Protection Scheme Based on the Minimum Cross-Degree Between the Shortest Path and Backup Path. Applied Sciences. 2025; 15(15):8151. https://doi.org/10.3390/app15158151

Chicago/Turabian Style

Geng, Haijun, Xuemiao Liu, Wei Hou, Lei Xu, and Ling Wang. 2025. "Intra-Domain Routing Protection Scheme Based on the Minimum Cross-Degree Between the Shortest Path and Backup Path" Applied Sciences 15, no. 15: 8151. https://doi.org/10.3390/app15158151

APA Style

Geng, H., Liu, X., Hou, W., Xu, L., & Wang, L. (2025). Intra-Domain Routing Protection Scheme Based on the Minimum Cross-Degree Between the Shortest Path and Backup Path. Applied Sciences, 15(15), 8151. https://doi.org/10.3390/app15158151

Note that from the first issue of 2016, this journal uses article numbers instead of page numbers. See further details here.

Article Metrics

Back to TopTop