A Data-Driven Model for the Energy and Economic Assessment of Building Renovations
Abstract
1. Introduction
1.1. State of the Art
1.2. Research Objective
2. Materials and Methods
2.1. Data Sources and Preprocessing
- -
- Heating dominates, accounting for approximately 60–70% of total energy use.
- -
- DHW and cooling contribute smaller shares.
2.2. Correlation Analysis of Building Characteristics and Energy Consumption
3. Results
3.1. Feature Importance Analysis by Random Forest
3.2. Clustering Analysis for Building Digital Representative Building
3.3. Economic Analysis of Retrofit Interventions
| Algorithm 1: Economic Analysis of Retrofit Interventions |
| Input: B = {b1, b2, …, bn}: Set of buildings with characteristics and energy consumption data M = {m1, m2, …, mk}: Set of retrofit measures with associated parameters E = {r, p}: Economic parameters where r is discount rate and p is energy price Output: R: Economic indicators (NPV, ROI, payback period) for each measure by cluster Procedure: 1: function CalculateRetrofitEconomics(B, M, E) 2: R ← ∅ ▶ Initialize empty results collection 3: r ← E.discount_rate ▶ Extract discount rate 4: p ← E.energy_price ▶ Extract energy price 5: C ← ClusterBuildings(B) ▶ Group buildings into clusters 6: for each cluster c in C do 7: Ec = mean(energy_consumption(c)) ▶ Average energy consumption 8: Ac = mean(building_area(c)) ▶ Average building area 9: Rc ← ∅ ▶ Initialize results for this cluster 10: for each measure m in M do 11: id ← m.identifier 12: cost0 = m.cost_per_m2 × Ac ▶ Initial investment cost 13: η = m.energy_saving_percentage / 100 ▶ Energy saving efficiency 14: s_energy ← Ec × η × Ac ▶ Annual energy savings (kWh) 15: s_annual = s_energy × p ▶ Annual monetary savings (€) 16: L = m.expected_lifespan ▶ Lifespan in years 17: NPV = −cost0 ▶ Begin with negative investment 18: for t ← 1 to L do 19: NPV = NPV + s_annual / (1 + r)t ▶ Add discounted annual savings 20: end for 21: ROI = NPV / cost0 ▶ Return on investment ratio 22: PP = cost0 / s_annual ▶ Payback period in years 23: Rc[id] = (NPV, ROI, PP, cost0, s_annual, L) 24: end for 25: R[c] = Rc 26: end for 27: return R 28: end function 29: function RankInterventionsByMetric(R, metric) 30: T ← ∅ ▶ Initialize ranking result 31: for each cluster c in R do 32: Rc = R[c] 33: if metric ∈ {NPV, ROI} then 34: Tc = sort(Rc, metric, descending) ▶ Higher values are better 35: else 36: Tc = sort(Rc, metric, ascending) ▶ Lower values are better 37: end if 38: T[c] = Tc 39: end for 40: return T 41: end function |
- NPV: The sum of discounted annual energy savings over the expected lifespan of the intervention minus the initial investment, using a discount rate of 4%. This metric accounts for the time value of money and provides a comprehensive measure of economic benefit.
- ROI: The ratio of NPV to total cost, representing economic efficiency and enabling direct comparison between interventions regardless of scale. This dimensionless metric indicates how many euros are returned for each euro invested.
- Payback Period: The number of years required to recover the initial investment through annual energy savings, representing a straightforward measure of temporal economic viability.
3.4. Building Cluster Characteristics and Energy Performance
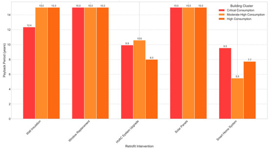
3.5. Payback Period Analysis by Building Cluster
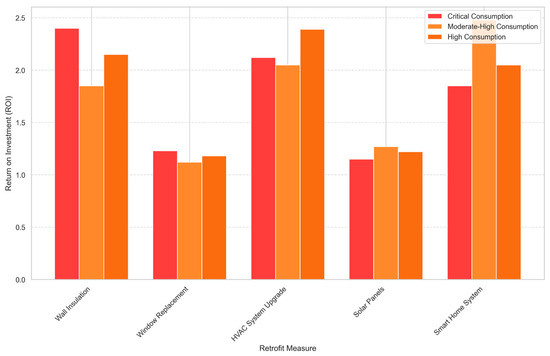
3.6. Economic Performance and Sensitivity Analysis of Retrofit Measures
- ▪
- Robustness to Financial Assumptions
- ▪
- Savingt = Annual energy saving in year t.
- ▪
- MaintenanceCostt = Annual maintenance cost in year t.
- ▪
- r = Discount rate.
- ▪
- t = Year number (e.g., 1, 2, …, n).
- ▪
- n = Total lifetime of the retrofit (in years).
- ▪
- Sensitivity-Based NPV Formulation
- = Percentage change in energy prices (e.g., ±20%).
- = Change in maintenance or retrofit costs.
- = Adjustment to the discount rate.
- r = Baseline discount rate.
3.7. HVAC Upgrade Analysis Across Building Clusters
3.8. HVAC Upgrade ROI vs. System Age Relationship
4. Discussion
- High generalizability, thanks to the use of a large, representative dataset of real buildings.
- Cross-validation with clustering, which has made it possible to define energy digital representative buildings and support targeted, non-uniform retrofit strategies.
- Economic integration, with a quantitative assessment of ROI and payback times for each intervention measure.
4.1. Limitations
4.2. Future Directions
5. Conclusions
Author Contributions
Funding
Institutional Review Board Statement
Informed Consent Statement
Data Availability Statement
Conflicts of Interest
References
- European Concilium. Green Deal “Fit to 55”. Available online: https://www.consilium.europa.eu/en/policies/fit-for-55/ (accessed on 15 April 2025).
- IEA. Energy Efficiency 2023; IEA: Paris, France, 2023; Available online: https://www.iea.org/reports/energy-efficiency-2023 (accessed on 11 April 2025).
- IEA. Building Consumption. Available online: https://www.iea.org/energy-system/buildings (accessed on 20 April 2025).
- Italian Parliament. Ordinary Law of Parliament n. 373/76: Standards for the Reduction of Energy Consumption for Heating in Buildings; Italian Parliament: Rome, Italy, 1976. [Google Scholar]
- ISTAT. Inventory of the Built Heritage. Available online: http://dati-censimentopopolazione.istat.it/Index.aspx?DataSetCode=DICA_EDIFICI1 (accessed on 16 April 2025).
- Kylili, A.; Fokaides, P.A.; Lopez Jimenez, P.A. Key Performance Indicators (KPIs) Approach in Buildings Renovation for the Sustainability of the Built Environment: A Review. Renew. Sustain. Energy Rev. 2016, 56, 906–915. [Google Scholar] [CrossRef]
- Piras, G.; Muzi, F. BIM for Sustainable Redevelopment of a Major Office Building in Rome. Buildings 2025, 15, 824. [Google Scholar] [CrossRef]
- Du, Q.; Yang, M.; Wang, Y.; Wang, X.; Dong, Y. Dynamic Simulation for Carbon Emission Reduction Effects of the Prefabricated Building Supply Chain under Environmental Policies. Sustain. Cities Soc. 2024, 100, 105027. [Google Scholar] [CrossRef]
- Brozovsky, J.; Labonnote, N.; Vigren, O. Digital Technologies in Architecture, Engineering and Construction. Autom. Constr. 2024, 158, 105212. [Google Scholar] [CrossRef]
- Aghili, S.A.; Haji Mohammad Rezaei, A.; Tafazzoli, M.; Khanzadi, M.; Rahbar, M. Artificial Intelligence Approaches to Energy Management in HVAC Systems: A Systematic Review. Buildings 2025, 15, 1008. [Google Scholar] [CrossRef]
- Ngarambe, J.; Yun, G.Y.; Santamouris, M. The Use of Artificial Intelligence (AI) Methods in the Prediction of Thermal Comfort in Buildings: Energy Implications of AI-Based Thermal Comfort Controls. Energy Build. 2020, 211, 109807. [Google Scholar] [CrossRef]
- Almazam, K.; Humaidan, O.; Shannan, N.M.; Bashir, F.M.; Gammoudi, T.; Dodo, Y.A. Innovative Energy Efficiency in HVAC Systems with an Integrated Machine Learning and Model Predictive Control Technique: A Prospective Toward Sustainable Buildings. Sustainability 2025, 17, 2916. [Google Scholar] [CrossRef]
- Mazzetto, S. Hybrid Predictive Maintenance for Building Systems: Integrating Rule-Based and Machine Learning Models for Fault Detection Using a High-Resolution Danish Dataset. Buildings 2025, 15, 630. [Google Scholar] [CrossRef]
- Shan, R.; Lai, W.; Tang, H.; Leng, X.; Gu, W. Residential Building Renovation Considering Energy, Carbon Emissions and Cost: An Approach Integrating Machine Learning and Evolutionary Generation. Appl. Sci. 2025, 15, 1830. [Google Scholar] [CrossRef]
- Anan, M.; Kanaan, K.; Benhaddou, D.; Nasser, N.; Qolomany, B.; Talei, H.; Sawalmeh, A. Occupant-Aware Energy Consumption Prediction in Smart Buildings Using a LSTM Model and Time Series Data. Energies 2024, 17, 6451. [Google Scholar] [CrossRef]
- Liu, J.; Chen, J. Applications and Trends of Machine Learning in Building Energy Optimization: A Bibliometric Analysis. Buildings 2025, 15, 994. [Google Scholar] [CrossRef]
- Baset, A.; Jradi, M. Data-Driven Decision Support for Smart and Efficient Building Energy Retrofits: A Review. Appl. Syst. Innov. 2025, 8, 5. [Google Scholar] [CrossRef]
- Imani, E.; Dawood, H.; Williams, S.; Dawood, N. Physics-Based and Data-Driven Retrofitting Solutions for Energy Efficiency and Thermal Comfort in the UK: IoT-Validated Analysis. Buildings 2025, 15, 1050. [Google Scholar] [CrossRef]
- Tavano, D.; Salvo, F.; De Simone, M.; Bilotta, A.; Del Giudice, F.P. Who Can Afford to Decarbonize? Early Insights from a Socioeconomic Model for Energy Retrofit Decision-Making. Real Estate 2025, 2, 6. [Google Scholar] [CrossRef]
- Gholamzadehmir, M.; Pandolfi, A.M.; Del Pero, C.; Leonforte, F.; Sdino, L. Increasing the Market Value of Buildings Through Energy Retrofitting: A Comparison of Actual Retrofit Costs and Perceived Values. Buildings 2025, 15, 376. [Google Scholar] [CrossRef]
- Berti, N.; Arman, A.; Esmaili, P.; Zeynivand, M.; Battini, D.; Bianchini, D.; Cristaldi, L.; De Giuli, L.B.; Galeazzo, A.; Gruosso, G.; et al. Sustainability and Resilience in the MICS SPOKE8 project: The role of the Digital Twin. In Proceedings of the 2024 IEEE International Conference on Metrology for eXtended Reality, Artificial Intelligence and Neural Engineering (MetroXRAINE), St Albans, UK, 21 October 2024; IEEE: Piscataway, NJ, USA; pp. 669–673. [Google Scholar]
- Manfren, M.; James, P.A.B.; Tronchin, L. Data-driven building energy modelling–An analysis of the potential for generalisation through interpretable machine learning. Renew. Sustain. Energy Rev. 2022, 167, 112686. [Google Scholar] [CrossRef]
- Li, D.; Qi, Z.; Zhou, Y.; Elchalakani, M. Machine Learning Applications in Building Energy Systems: Review and Prospects. Buildings 2025, 15, 648. [Google Scholar] [CrossRef]
- di Stefano, A.G.; Ruta, M.; Masera, G.; Hoque, S. Leveraging Machine Learning to Forecast Neighborhood Energy Use in Early Design Stages: A Preliminary Application. Buildings 2024, 14, 3866. [Google Scholar] [CrossRef]
- Piras, G.; Muzi, F.; Ziran, Z. Open Tool for Automated Development of Renewable Energy Communities: Artificial Intelligence and Machine Learning Techniques for Methodological Approach. Energies 2024, 17, 5726. [Google Scholar] [CrossRef]
- Regione Lazio, Prezziario dei Lavori Pubblici. Available online: https://www.regione.lazio.it/cittadini/lavori-pubblici-infrastrutture/tariffa-prezzi-lavori-pubblici (accessed on 18 April 2025).
- Scrucca, F.; Palladino, D. Integration of Energy Simulations and Life Cycle Assessment in Building Refurbishment: An Affordability Comparison of Thermal Insulation Materials through a New Sustainability Index. Sustainability 2023, 15, 1412. [Google Scholar] [CrossRef]
- Roy, A.; Uddala, S.; Saboor, S.; Arıcı, M.; Saxena, K.K. Contemporary Roof Pattern for Energy Efficient Buildings: Air Conditioning Cost Alleviation, CO2 Emission Mitigation Potential and Acceptable Payback Period. J. Build. Eng. 2024, 95, 110250. [Google Scholar] [CrossRef]
- Prezziario Regione Lazio. Available online: https://www.regione.lazio.it/sites/default/files/documentazione/INF-DGR-101-14-04-2023.pdf (accessed on 15 May 2025).
- Ziran, Z.; Mecella, M.; Leotta, F. A Simplified and Sustainable Approach for Energy Prediction. In Proceedings of the Intelligent Environments 2024: Combined Proceedings of Workshops and Demos & Videos Session, Ljubljana, Slovenia, 17–20 June 2024; IOS Press: Amsterdam, The Netherlands, 2024; pp. 104–113. [Google Scholar] [CrossRef]
- Breiman, L. Random Forests. Mach. Learn. 2001, 45, 5–32. [Google Scholar] [CrossRef]
- Halkidi, M.; Batistakis, Y.; Vazirgiannis, M. On clustering validation techniques. J. Intell. Inf. Syst. 2001, 17, 107–145. [Google Scholar] [CrossRef]
- Tardioli, G.; Kerrigan, R.; Oates, M.; O’Donnell, J.; Finn, D.P. Identification of representative buildings and building groups in urban datasets using a novel pre-processing, classification, clustering and predictive modelling approach. Build. Environ. 2018, 140, 90–106. [Google Scholar] [CrossRef]
- Hsu, D. Comparison of integrated clustering methods for accurate and stable prediction of building energy consumption data. Appl. Energy 2015, 160, 153–163. [Google Scholar] [CrossRef]
- Deng, X.; Tan, Z.; Tan, M.; Chen, W. A clustering-based climatic zoning method for office buildings in China. J. Build. Eng. 2021, 42, 102778. [Google Scholar] [CrossRef]
- Borges, P.; Travesset-Baro, O.; Pages-Ramon, A. Hybrid approach to representative building digital representative building development for urban models–A case study in Andorra. Build. Environ. 2022, 215, 108958. [Google Scholar] [CrossRef]
- Yilmaz, S.; Chambers, J.; Patel, M.K. Comparison of clustering approaches for domestic electricity load profile characterisation-Implications for demand side management. Energy 2019, 180, 665–677. [Google Scholar] [CrossRef]








| Retrofit Measure | Building Cluster | ROI | Payback Period (Years) | Most Effective Cluster |
|---|---|---|---|---|
| Wall Insulation | Critical | 2.40 | ~10.2 | Critical-Consumption Buildings |
| Window Replacement | All Clusters | ~1.20 | >15.0 | Not Recommended as Primary Intervention |
| HVAC System Upgrades | High | 2.39 | 8.0 | High-Consumption Buildings |
| Smart Home Systems | Moderate–High | 2.48 | 5.5 | Moderate–High-Consumption Buildings |
| Solar Panel Installation | All Clusters | 1.15–1.27 | 13–15+ | Less Economically Competitive |
Disclaimer/Publisher’s Note: The statements, opinions and data contained in all publications are solely those of the individual author(s) and contributor(s) and not of MDPI and/or the editor(s). MDPI and/or the editor(s) disclaim responsibility for any injury to people or property resulting from any ideas, methods, instructions or products referred to in the content. |
© 2025 by the authors. Licensee MDPI, Basel, Switzerland. This article is an open access article distributed under the terms and conditions of the Creative Commons Attribution (CC BY) license (https://creativecommons.org/licenses/by/4.0/).
Share and Cite
Piras, G.; Muzi, F.; Ziran, Z. A Data-Driven Model for the Energy and Economic Assessment of Building Renovations. Appl. Sci. 2025, 15, 8117. https://doi.org/10.3390/app15148117
Piras G, Muzi F, Ziran Z. A Data-Driven Model for the Energy and Economic Assessment of Building Renovations. Applied Sciences. 2025; 15(14):8117. https://doi.org/10.3390/app15148117
Chicago/Turabian StylePiras, Giuseppe, Francesco Muzi, and Zahra Ziran. 2025. "A Data-Driven Model for the Energy and Economic Assessment of Building Renovations" Applied Sciences 15, no. 14: 8117. https://doi.org/10.3390/app15148117
APA StylePiras, G., Muzi, F., & Ziran, Z. (2025). A Data-Driven Model for the Energy and Economic Assessment of Building Renovations. Applied Sciences, 15(14), 8117. https://doi.org/10.3390/app15148117

