Itararé Group Sandstone as a Sustainable Alternative Material for Photon Radiation Shielding
Abstract
1. Introduction
2. Materials and Methods
2.1. Study Area, Site Selection, and Rocky Sampling
2.2. Chemical Composition of the Samples
2.3. Radiation Shielding Parameters
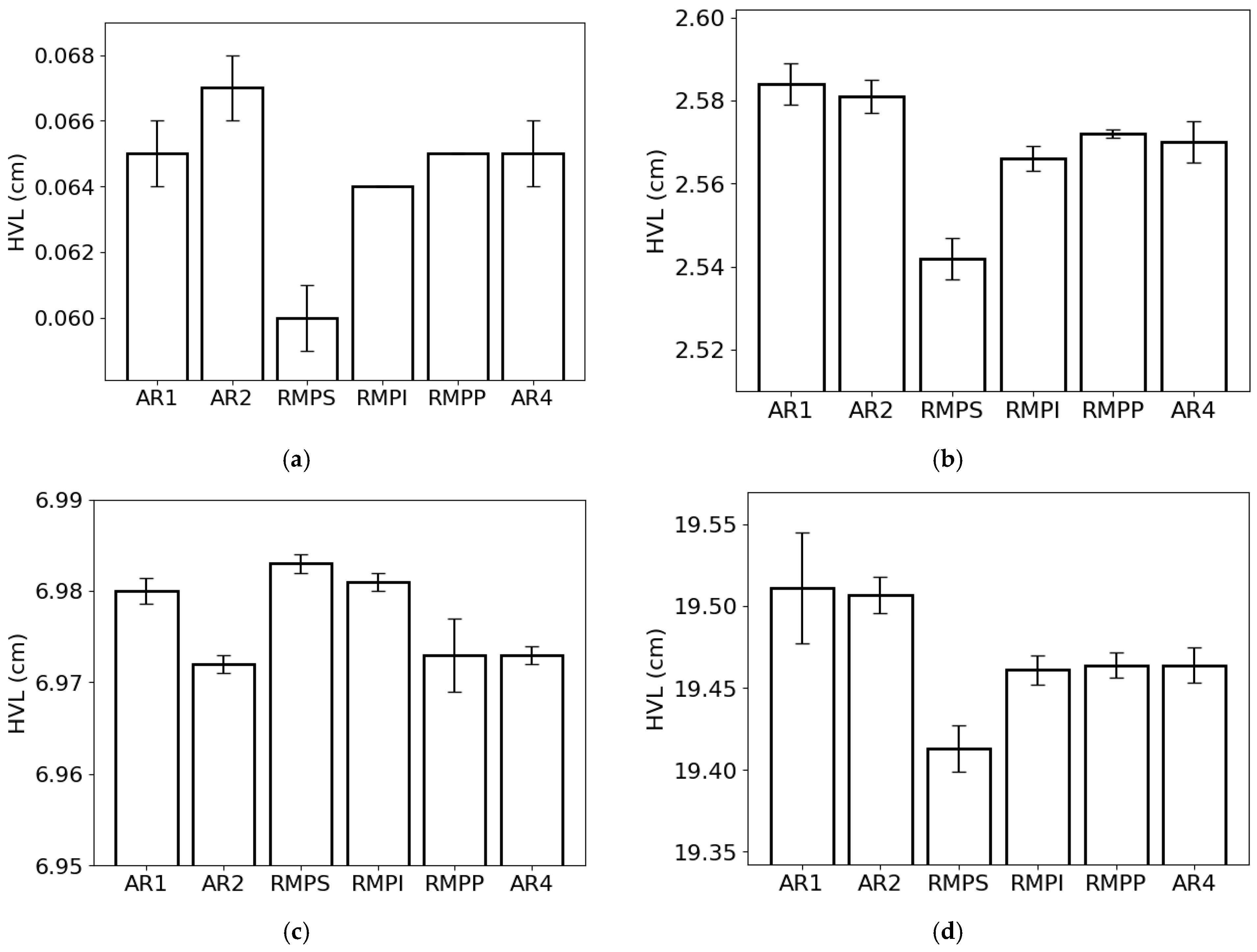
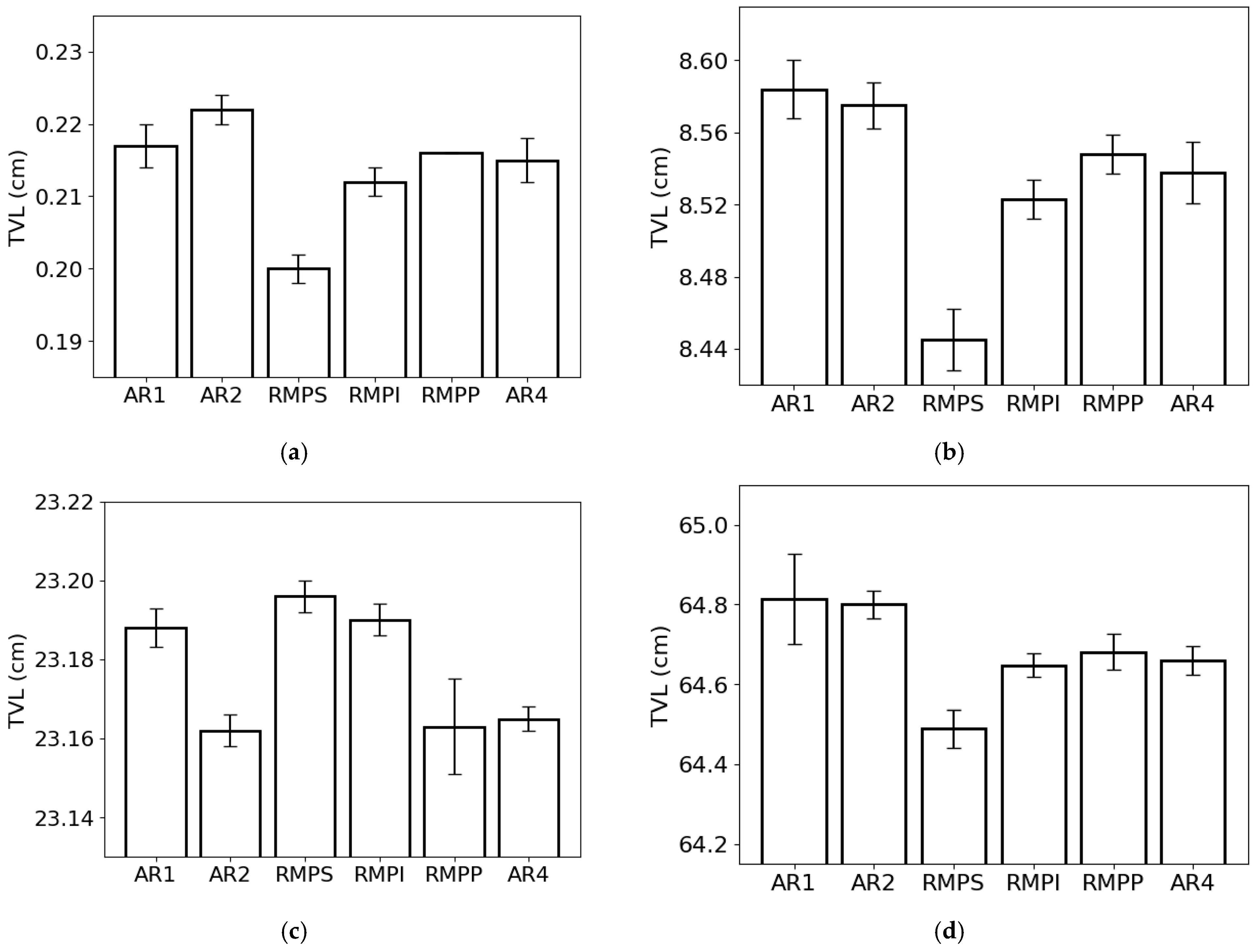
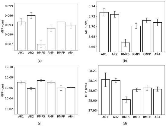
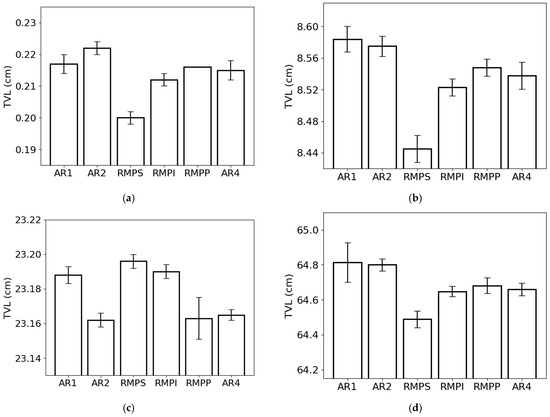
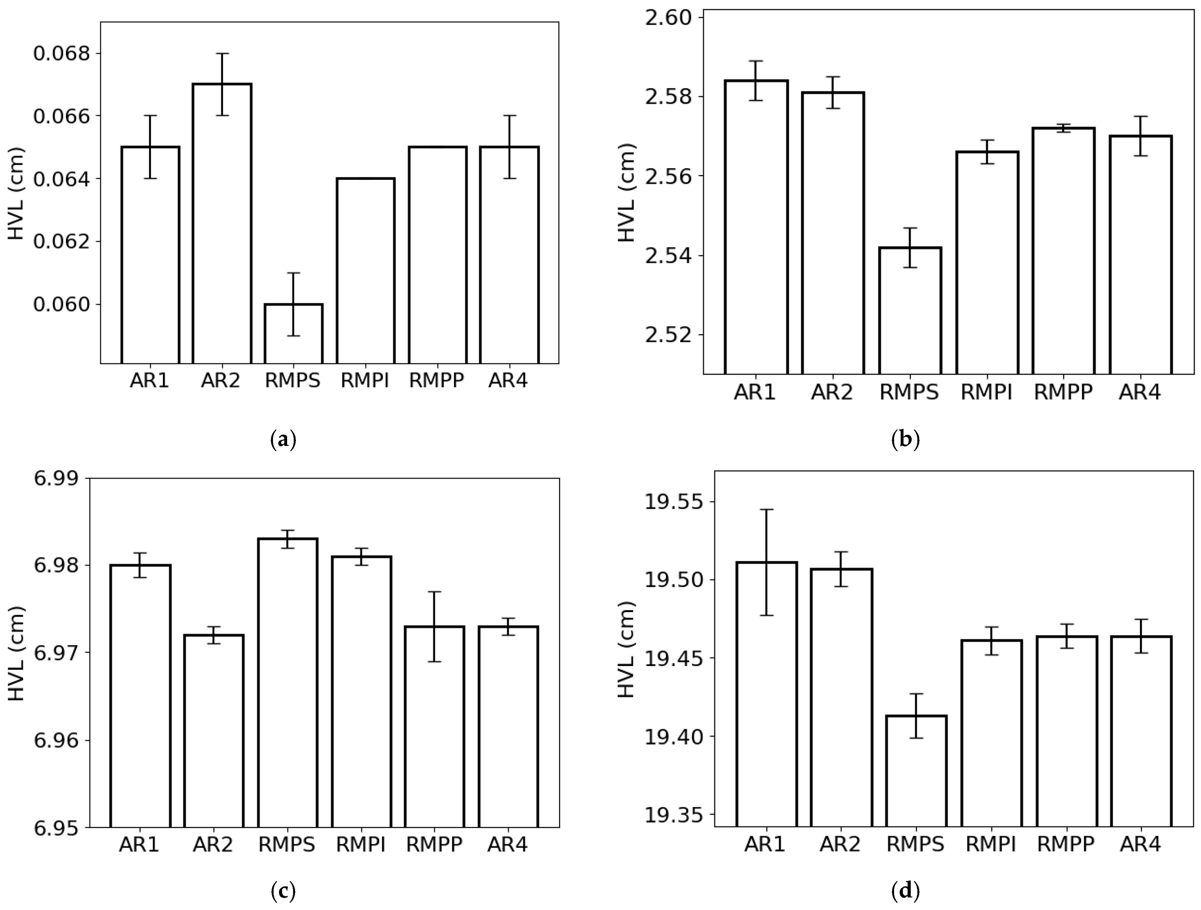
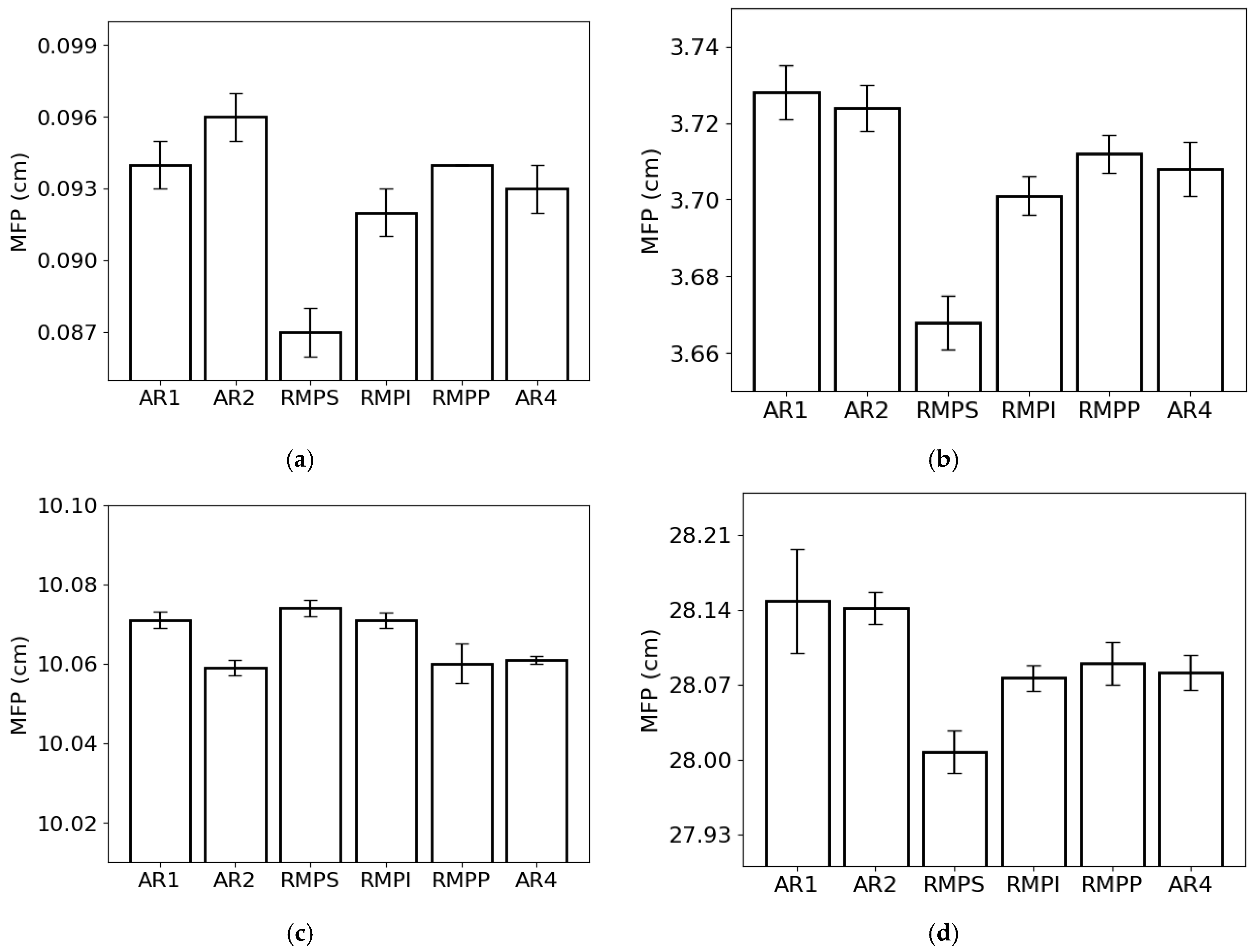
3. Results
4. Discussion
5. Conclusions
Author Contributions
Funding
Institutional Review Board Statement
Informed Consent Statement
Data Availability Statement
Acknowledgments
Conflicts of Interest
References
- Arif Sazali, M.; Alang Md Rashid, N.K.; Hamzah, K. A Review on Multilayer Radiation Shielding. IOP Conf. Ser. Mater. Sci. Eng. 2019, 555, 012008. [Google Scholar] [CrossRef]
- More, C.V.; Alsayed, Z.; Badawi, M.S.; Thabet, A.A.; Pawar, P.P. Polymeric composite materials for radiation shielding: A review. Environ. Chem. Lett. 2021, 19, 2057–2090. [Google Scholar] [CrossRef] [PubMed]
- Onaizi, A.M.; Amran, M.; Tang, W.; Betoush, N.; Alhassan, M.; Rashid, R.S.; Onaizi, S.A. Radiation-shielding concrete: A review of materials, performance, and the impact of radiation on concrete properties. J. Build. Eng. 2024, 97, 110800. [Google Scholar] [CrossRef]
- Abdo, A.E.S.; Ali, M.A.M.; Ismail, M.R. Natural fibre high-density polyethylene and lead oxide composites for radiation shielding. Radiat. Phys. Chem. 2003, 66, 185–195. [Google Scholar] [CrossRef]
- Pioro, L.S.; Sadovskiy, B.F.; Pioro, I.L. Research and development of a high-efficiency one-stage melting converter-burial-bunker method for vitrification of high-level radioactive wastes. Nucl. Eng. Des. 2001, 205, 133–144. [Google Scholar] [CrossRef]
- Al-Buriahi, M.S.; Sayyed, M.I.; Bantan, R.A.R.; Al-Hadeethi, Y. Nuclear radiation shielding characteristics of some natural rocks by using EPICS2017 library. Materials 2021, 14, 4669. [Google Scholar] [CrossRef]
- Masoud, M.A.; El-Khayatt, A.M.; Shahien, M.G.; Bakhit, B.R.; Suliman, I.I.; Zayed, A.M. Radiation Attenuation Assessment of Serpentinite Rocks from a Geological Perspective. Toxics 2022, 10, 697. [Google Scholar] [CrossRef]
- Ding, B.; Zhang, L.; Liu, J. Study on Shielding and Radiation Resistance of Basalt Fiber to Gamma Ray. Materials 2022, 15, 2522. [Google Scholar] [CrossRef]
- Abdullah, M.A.H.; Rashid, R.S.M.; Amran, M.; Hejazii, F.; Azreen, N.M.; Fediuk, R.; Voo, Y.L.; Vatin, N.I.; Idris, M.I. Recent Trends in Advanced Radiation Shielding Concrete for Construction of Facilities: Materials and Properties. Polymers 2022, 14, 2830. [Google Scholar] [CrossRef]
- Badarloo, B.; Lehner, P.; Bakhtiari Doost, R. Mechanical Properties and Gamma Radiation Transmission Rate of Heavyweight Concrete Containing Barite Aggregates. Materials 2022, 15, 2173. [Google Scholar] [CrossRef]
- Mansouri, E.; Mesbahi, A.; Malekzadeh, R.; Mansouri, A. Shielding Characteristics of Nanocomposites for Protection against X- and Gamma Rays in Medical Applications: Effect of Particle Size, Photon Energy and Nano-Particle Concentration. Radiat. Environ. Biophys. 2020, 59, 583–600. [Google Scholar] [CrossRef] [PubMed]
- Çelen, Y.Y.; Akkurt, I.; Ceylan, Y.; Atçeken, H. Application of Experiment and Simulation to Estimate Radiation Shielding Capacity of Various Rocks. Arab. J. Geosci. 2021, 14, 1471. [Google Scholar] [CrossRef]
- Medhat, M.E.; Demir, N.; Akar Tarim, U.; Gurler, O. Calculation of Gamma-Ray Mass Attenuation Coefficients of Some Egyptian Soil Samples Using Monte Carlo Methods. Radiat. Eff. Defects Solids 2014, 169, 706–714. [Google Scholar] [CrossRef]
- Akman, F.; Kaçal, M.R.; Sayyed, M.I.; Karataş, H.A. Study of Gamma Radiation Attenuation Properties of Some Selected Ternary Alloys. J. Alloys Compd. 2019, 782, 315–322. [Google Scholar] [CrossRef]
- Sayyed, M.I.; AlZaatreh, M.Y.; Dong, M.G.; Zaid, M.H.M.; Matori, K.A.; Tekin, H.O. A Comprehensive Study of the Energy Absorption and Exposure Buildup Factors of Different Bricks for Gamma-Rays Shielding. Results Phys. 2017, 7, 2528–2533. [Google Scholar] [CrossRef]
- Maruyama, I.; Meawad, A.; Kondo, T.; Sawada, S.; Halodova, P.; Fedorikova, A.; Ohkubo, T.; Murakami, K.; Igari, T.; Rodriguez, E.T.; et al. Radiation-Induced Alteration of Sandstone Concrete Aggregate. J. Nucl. Mater. 2023, 583, 154547. [Google Scholar] [CrossRef]
- Masoud, M.A.; El-Khayatt, A.M.; Marashdeh, M.W.; Shahien, M.G.; Bakhit, B.R.; Abdelwahab, W.; Abdel Rafea, M.; Zayed, A.M. Deep insights into the radiation shielding features of heavy minerals in their native status: Implications for their physical, mineralogical, geochemical, and morphological properties. Sustainability 2022, 14, 16225. [Google Scholar] [CrossRef]
- Zhou, Z.; Cai, X.; Chen, L.; Cao, W.; Zhao, Y.; Wei, L. Influence of Cyclic Wetting and Drying on Physical and Dynamic Compressive Properties of Sandstone. Eng. Geol. 2017, 220, 1–12. [Google Scholar] [CrossRef]
- He, W.; Chen, K.; Hayatdavoudi, A.; Sawant, K.; Lomas, M. Effects of Clay Content, Cement and Mineral Composition Characteristics on Sandstone Rock Strength and Deformability Behaviors. J. Pet. Sci. Eng. 2019, 176, 962–969. [Google Scholar] [CrossRef]
- Sérgio de Melo, M.; César Fonseca Giannini, P. Sandstone Dissolution Landforms in the Furnas Formation, Southern Brazil. Earth Surf. Process. Landf. 2007, 32, 2149–2164. [Google Scholar] [CrossRef]
- Vesely, F.F.; Delgado, D.; Spisila, A.L.; Brumatti, M. Divisão Litoestratigráfica Do Grupo Itararé No Estado Do Paraná. Bol. Parana. Geociênc. 2021, 78, 3–23. [Google Scholar] [CrossRef]
- Meneguzzo, I.S.; Pontes, H.S.; Ribeiro, A.G. Classificação e fatores condicionantes dos movimentos de massa em taludes de corte na BR 277- Balsa Nova, Paraná. Rev. SODEBRAS 2023, 18, 39–45. [Google Scholar] [CrossRef]
- A750 Standard; X-Ray Fluorescence (XRF) Standard Operating Procedure; Shimadzu EDX-720 X-Ray Fluorescence. SHIMADZU: Kyoto, Japan, 2006.
- Şakar, E.; Özpolat, Ö.F.; Alım, B.; Sayyed, M.I.; Kurudirek, M. Phy-X/PSD: Development of a User Friendly Online Software for Calculation of Parameters Relevant to Radiation Shielding and Dosimetry. Radiat. Phys. Chem. 2020, 166, 108496. [Google Scholar] [CrossRef]
- Oluwaseun Azeez, M.; Ahmad, S.; Al-Dulaijan, S.U.; Maslehuddin, M.; Abbas Naqvi, A. Radiation Shielding Performance of Heavy-Weight Concrete Mixtures. Constr. Build. Mater. 2019, 224, 284–291. [Google Scholar] [CrossRef]
- Ramos, P.F.O.; Stael, G.C.; Azeredo, R.B.; Ade, M.V.B.; Bergamaschi, S.; Lourenço, J.; Bermudez, S.L.B. Petrographic and Petrophysical Characterization of Sandstones from Rio Bonito Formation, Paraná Basin (Southern Brazil). An. Acad. Bras. Ciênc. 2024, 96, e20240365. [Google Scholar] [CrossRef]
- Hurst, A.; Archer, J.S. Sandstone Reservoir Description: An Overview of the Role of Geology and Mineralogy. Clay Miner. 1986, 21, 791–809. [Google Scholar] [CrossRef]
- Corrêa, J.C.; Cavallaro, F.A.; Garcia, R.H.; Santos, R.S.; Amade, R.A.; da Silva Bernardes, T.L.; Hamada, M.M. Chemical and physical analysis of sandstone rock from Botucatu formation. Braz. J. Radiat. Sci. 2021, 9, 1–19. [Google Scholar] [CrossRef]
- Montibeller, C.C.; Rafael, G.; Zanardo, A.; Rohn, R.; Roveri, C.D. Geochemistry of Siltstones from the Permian Corumbataí Formation from the Paraná Basin (State of São Paulo, Brazil): Insights of Provenance, Tectonic and Climatic Settings. J. S. Am. Earth Sci. 2020, 102, 102582. [Google Scholar] [CrossRef]
- Marszałek, M.; Alexandrowicz, Z.; Rzepa, G. Composition of Weathering Crusts on Sandstones from Natural Outcrops and Architectonic Elements in an Urban Environment. Environ. Sci. Pollut. Res. Int. 2014, 21, 14023–14036. [Google Scholar] [CrossRef]
- Shao, L.; Stattegger, K.; Garbe-Schoenberg, C.-D. Sandstone Petrology and Geochemistry of the Turpan Basin (NW China): Implications for the Tectonic Evolution of a Continental Basin. J. Sediment. Res. 2001, 71, 37–49. [Google Scholar] [CrossRef]
- Akkurt, I.; Mavi, B.; Akkurt, A.; Basyigit, C.; Kilincarslan, S.; Yalim, H.A. Study on Dependence of Partial and Total Mass Attenuation Coefficients. J. Quant. Spectrosc. Radiat. Transf. 2005, 94, 379–385. [Google Scholar] [CrossRef]
- Angelone, M.; Bubba, T.A.; Esposito, A. Measurement of the Mass Attenuation Coefficient for Elemental Materials in the Range 6 ≤ Z ≤ 82 Using X-Rays from 13 up to 50 Kev. Appl. Radiat. Isot. 2001, 55, 505–511. [Google Scholar] [CrossRef]
- Han, I.; Demir, L.; Şahin, M. Determination of Mass Attenuation Coefficients, Effective Atomic and Electron Numbers for Some Natural Minerals. Radiat. Phys. Chem. 2009, 78, 760–764. [Google Scholar] [CrossRef]
- Obaid, S.S.; Sayyed, M.I.; Gaikwad, D.K.; Pawar, P.P. Attenuation Coefficients and Exposure Buildup Factor of Some Rocks for Gamma Ray Shielding Applications. Radiat. Phys. Chem. 2018, 148, 86–94. [Google Scholar] [CrossRef]
- Sayyed, M.I.; Issa, S.A.M.; Auda, S.H. Assessment of Radio-Protective Properties of Some Anti-Inflammatory Drugs. Prog. Nucl. Energy 2017, 100, 297–308. [Google Scholar] [CrossRef]
- Abd El-Azeem, S.A.; Harpy, N.M. Radioactive Attenuation Using Different Types of Natural Rocks. Materials 2024, 17, 3462. [Google Scholar] [CrossRef] [PubMed]
- Jaha, N.; Islam, G.S.; Kabir, M.F.; Khandaker, M.U.; Chowdhury, F.-U.-Z.; Bhuian, A.S.I. Ionizing Radiation Shielding Efficacy of Common Mortar and Concrete Used in Bangladeshi Dwellings. Case Stud. Constr. Mater. 2022, 17, e01547. [Google Scholar] [CrossRef]
- Khan, A.; Al alhareth, A.; Mobark, S.; Al-Mahri, W.; Sharyah, N.A.; Zmanan, S.A.; Albargi, H.B.; Abdalla, A.M. Experimental and Theoretical Investigations of the γ-Rays Shielding Performance of Rock Samples from Najran Region. Ann. Nucl. Energy 2023, 183, 109676. [Google Scholar] [CrossRef]
- Singh, M.; Mudahar, G.S. Energy Dependence of Total Photon Attenuation Coefficients of Composite Materials. Int. J. Radiat. Appl. Instrum. Part A Appl. Radiat. Isot. 2002, 43, 907–911. [Google Scholar] [CrossRef]
- Appoloni, C.R.; Rios, E.A. Mass Attenuation Coefficients of Brazilian Soils in the Range 10–1450 KeV. Appl. Radiat. Isot. 1994, 45, 287–291. [Google Scholar] [CrossRef]
- Şensoy, A.T.; Gökçe, H.S. Simulation and Optimization of Gamma-Ray Linear Attenuation Coefficients of Barite Concrete Shields. Constr. Build. Mater. 2020, 253, 119218. [Google Scholar] [CrossRef]
- Pires, L.F. Radiation Shielding Properties of Weathered Soils: Influence of the Chemical Composition and Granulometric Fractions. Nucl. Eng. Technol. 2022, 54, 3470–3477. [Google Scholar] [CrossRef]
- Kaky, K.M.; Sayyed, M.I. The Radiation Shielding Parameters of a Standard Silica Glass System. Silicon 2023, 16, 1197–1203. [Google Scholar] [CrossRef]
- Singh, C.; Singh, T.; Kumar, A.; Mudahar, G.S. Energy and Chemical Composition Dependence of Mass Attenuation Coefficients of Building Materials. Ann. Nucl. Energy 2004, 31, 1199–1205. [Google Scholar] [CrossRef]
- Singh, V.; Badiger, N. Investigation on Radiation Shielding Parameters of Ordinary, Heavy and Super Heavy Concretes. Nucl. Technol. Radiat. Prot. 2014, 29, 149–156. [Google Scholar] [CrossRef]
- Issa, S.A.M.; Rashad, M.; Hanafy, T.A.; Saddeek, Y.B. Experimental Investigations on Elastic and Radiation Shielding Parameters of WO3-B2O3-TeO2 Glasses. J. Non-Cryst. Solids 2020, 544, 120207. [Google Scholar] [CrossRef]
- Büyükyıldız, M.; Kılıç, A.D.; Yılmaz, D. White and Some Colored Marbles as Alternative Radiation Shielding Materials for Applications. Radiat. Eff. Defects Solids 2020, 175, 657–671. [Google Scholar] [CrossRef]
- Issa, S.A.M.; Sayyed, M.I.; Kurudirek, M. Study of Gamma Radiation Shielding Properties of TeO2ZnO−TeO2 Glasses. Bull. Mater. Sci. 2017, 40, 841–857. [Google Scholar] [CrossRef]
- Elsafi, M.; Alrashedi, M.F.; Sayyed, M.I.; Al-Hamarneh, I.F.; El-Nahal, M.A.; El-Khatib, M.; Khandaker, M.U.; Osman, H.; Askary, A.E. The Potentials of Egyptian and Indian Granites for Protection of Ionizing Radiation. Materials 2021, 14, 3928. [Google Scholar] [CrossRef]
- Lakshminarayana, G.; Baki, S.O.; Kaky, K.M.; Sayyed, M.I.; Tekin, H.O.; Lira, A.; Kityk, I.V.; Mahdi, M.A. Investigation of Structural, Thermal Properties and Shielding Parameters for Multicomponent Borate Glasses for Gamma and Neutron Radiation Shielding Applications. J. Non-Cryst. Solids 2017, 471, 222–237. [Google Scholar] [CrossRef]
- Sayyed, M.I.; Lakshminarayana, G.; Kityk, I.V.; Mahdi, M.A. Evaluation of Shielding Parameters for Heavy Metal Fluoride Based Tellurite-Rich Glasses for Gamma Ray Shielding Applications. Radiat. Phys. Chem. 2017, 139, 33–39. [Google Scholar] [CrossRef]
- Karabul, Y.; Amon Susam, L.; İçelli, O.; Eyecioğlu, Ö. Computation of EABF and EBF for Basalt Rock Samples. Nucl. Instrum. Methods Phys. Res. Sect. A Accel. Spectrometers Detect. Assoc. Equip. 2015, 797, 29–36. [Google Scholar] [CrossRef]
- Bantan, R.A.R.; Sayyed, M.I.; Mahmoud, K.A.; Al-Hadeethi, Y. Application of Experimental Measurements, Monte Carlo Simulation and Theoretical Calculation to Estimate the Gamma Ray Shielding Capacity of Various Natural Rocks. Prog. Nucl. Energy 2020, 126, 103405. [Google Scholar] [CrossRef]
- Rashwan, M.A.; Abdelwahab, W.; Azer, M.K.; Zakaly, H.M.H.; Alarifi, S.S.; Ene, A.; Thabet, I.A. Physico-Mechanical Properties and Shielding Efficiency in Relation to Mineralogical and Geochemical Compositions of Um Had Granitoid, Central Eastern Desert, Egypt. Front. Earth Sci. 2023, 11, 1228489. [Google Scholar] [CrossRef]
- Karpuz, N. Radiation Shielding Properties of Glass Composition. J. Radiat. Res. Appl. Sci. 2023, 16, 100689. [Google Scholar] [CrossRef]
- Camargo, M.A.; Kodum, K.S.; Pires, L.F. How does the soil chemical composition affect the mass attenuation coefficient? A study using computer simulation to understand the radiation-soil interaction processes. Braz. J. Phys. 2021, 51, 1775–1783. [Google Scholar] [CrossRef]
- Costa, J.C.; Borges, J.A.R.; Pires, L.F.; Arthur, R.C.J.; Bacchi, O.O.S. Soil mass attenuation coefficient: Analysis and evaluation. Ann. Nucl. Energy 2014, 64, 206–211. [Google Scholar] [CrossRef]










| Sample | SiO2 | Al2O3 | Fe2O3 | K2O | SO3 | TiO2 | (g/cm3) | (%) | 
|---|---|---|---|---|---|---|---|---|
| AR1 | 67.33 ± 0.01 | 27.77 ± 0.01 | 2.50 ± 0.01 | 1.23 ± 0.01 | 0.62 ± 0.01 | 0.51 ± 0.01 | 1.51 | 40.3 | 
| AR2 | 72.15 ± 0.02 | 24.22 ± 0.01 | 2.48 ± 0.01 | 0.39 ± 0.01 | 0.59 ± 0.01 | 0.65 ± 0.01 | 1.51 | 40.3 | 
| RMPS | 66.56 ± 0.01 | 26.69 ± 0.02 | 3.94 ± 0.01 | 1.75 ± 0.01 | 0.73 ± 0.01 | 0.54 ± 0.01 | 1.52 | 39.9 | 
| RMPI | 67.98 ± 0.01 | 26.95 ± 0.01 | 2.83 ± 0.01 | 1.71 ± 0.01 | - | 0.41 ± 0.01 | 1.64 | 35.2 | 
| RMPP | 68.48 ± 0.01 | 26.30 ± 0.01 | 2.37 ± 0.01 | 1.74 ± 0.01 | 0.64 ± 0.01 | 0.48 ± 0.01 | 1.62 | 36.0 | 
| AR4 | 73.23 ± 0.01 | 22.53 ± 0.01 | 2.60 ± 0.00 | 1.14 ± 0.01 | 0.43 ± 0.01 | 0.48 ± 0.01 | 1.51 | 40.3 | 
| Correlation | Coefficient of Correlation | |||
|---|---|---|---|---|
| 10 | 20 | 30 | 40 | |
| EBF x Fe2O3 | −0.75 | −0.67 | −0.66 | −0.66 | 
| EABF x Fe2O3 | −0.09 | −0.10 | −0.10 | −0.10 | 
| EBF x SiO2 | 0.69 | 0.68 | 0.68 | 0.68 | 
| EABF x SiO2 | 0.27 | 0.28 | 0.28 | 0.28 | 
| EBF x Al2O3 | −0.47 | −0.49 | −0.49 | −0.49 | 
| EABF x Al2O3 | −0.23 | −0.24 | −0.24 | −0.24 | 
| EBF x K2O | −0.81 | −0.83 | −0.83 | −0.83 | 
| EABF x K2O | −0.68 | −0.68 | −0.69 | −0.68 | 
| EBF x SO3 | −0.02 | 0.05 | 0.06 | 0.06 | 
| EABF x SO3 | 0.80 | 0.80 | 0.80 | 0.80 | 
| EBF x TiO2 | 0.32 | 0.38 | 0.39 | 0.39 | 
| EABF x TiO2 | 0.95 | 0.94 | 0.95 | 0.95 | 
| Parameter | E (MeV) | |||
|---|---|---|---|---|
| 0.015 | 0.1 | 1.0 | 10 | |
| MAC Pb | 112 | 5.6 | 0.07 | 0.05 | 
| MAC PC | 18 | 0.22 | 0.06 | 0.03 | 
| LAC Pb | 1265 | 70 | 0.81 | 0.56 | 
| LAC PC | 58 | 0.68 | 0.20 | 0.08 | 
| MFP Pb | 0.001 | 0.02 | 1.2 | 1.8 | 
| MFP PC | 0.02 | 1.5 | 5.0 | 13 | 
| HVL Pb | 0.001 | 0.01 | 0.86 | 1.2 | 
| HVL PC | 0.01 | 1.0 | 3.5 | 8.8 | 
| TVL Pb | 0.002 | 0.04 | 2.9 | 4.1 | 
| TVL PC | 0.04 | 3.4 | 11.5 | 29.1 | 
| Disclaimer/Publisher’s Note: The statements, opinions and data contained in all publications are solely those of the individual author(s) and contributor(s) and not of MDPI and/or the editor(s). MDPI and/or the editor(s) disclaim responsibility for any injury to people or property resulting from any ideas, methods, instructions or products referred to in the content. | 
© 2025 by the authors. Licensee MDPI, Basel, Switzerland. This article is an open access article distributed under the terms and conditions of the Creative Commons Attribution (CC BY) license (https://creativecommons.org/licenses/by/4.0/).
Share and Cite
Pietralla, G.W.; Meneguzzo, I.S.; Pires, L.F. Itararé Group Sandstone as a Sustainable Alternative Material for Photon Radiation Shielding. Appl. Sci. 2025, 15, 7559. https://doi.org/10.3390/app15137559
Pietralla GW, Meneguzzo IS, Pires LF. Itararé Group Sandstone as a Sustainable Alternative Material for Photon Radiation Shielding. Applied Sciences. 2025; 15(13):7559. https://doi.org/10.3390/app15137559
Chicago/Turabian StylePietralla, Gabrielli W., Isonel S. Meneguzzo, and Luiz F. Pires. 2025. "Itararé Group Sandstone as a Sustainable Alternative Material for Photon Radiation Shielding" Applied Sciences 15, no. 13: 7559. https://doi.org/10.3390/app15137559
APA StylePietralla, G. W., Meneguzzo, I. S., & Pires, L. F. (2025). Itararé Group Sandstone as a Sustainable Alternative Material for Photon Radiation Shielding. Applied Sciences, 15(13), 7559. https://doi.org/10.3390/app15137559
 
        



 
       