Acute Biomechanical and Physiological Responses with Concurrent Aerobic and Anaerobic Swimming Training
Abstract
1. Introduction
2. Materials and Methods
2.1. Participants
2.2. Preliminary Tests
2.3. Study Design
2.4. Measurements
2.5. Statistical Analysis
3. Results
3.1. Swimming Speed and Biomechanical Variables
3.2. Blood Lactate Concentration and RPE
3.3. Correlations
4. Discussion
5. Conclusions
Author Contributions
Funding
Institutional Review Board Statement
Informed Consent Statement
Data Availability Statement
Acknowledgments
Conflicts of Interest
Abbreviations
| SR | Stroke rate |
| SL | Stroke length |
| SI | Stroke index |
| LT | Lactate threshold |
| MAS | Maximal aerobic speed |
| SPR | Repeated sprints |
| BL | Blood lactate |
| RPE | Rate of perceived exertion |
References
- Hermosilla, F.; González-Rave, J.M.; Del Castillo, J.A.; Pyne, D.B. Periodization and Programming for Individual 400 m Medley Swimmers. Int. J. Environ. Res. Public Health 2021, 18, 6474. [Google Scholar] [CrossRef] [PubMed]
- Almeida, T.A.F.; Espada, M.C.; Massini, D.A.; Macedo, A.G.; Castro, E.A.; Ferreira, C.C.; Reis, J.F.; Pessôa Filho, D.M. Stroke and Physiological Relationships during the Incremental Front Crawl Test: Outcomes for Planning and Pacing Aerobic Training. Front. Physiol. 2023, 14, 1241948. [Google Scholar] [CrossRef] [PubMed]
- Bartolomeu, R.F.; Costa, M.J.; Barbosa, T.M. Contribution of Limbs’ Actions to the Four Competitive Swimming Strokes: A Nonlinear Approach. J. Sports Sci. 2018, 36, 1836–1845. [Google Scholar] [CrossRef] [PubMed]
- Costa, R.J.; Bragada, A.; Marinho, D.A.; Silva, N.J.; Barbosa, T.M. Longitudinal Interventions in Elite Swimming: A Systematic Review Based on Energetics, Biomechanics, and Performance. J. Strength Cond. Res. 2012, 26, 2006–2016. [Google Scholar] [CrossRef]
- Barbosa, T.M.; Bragada, J.A.; Reis, V.M.; Marinho, D.A.; Carvalho, C.; Silva, A.J. Energetics and Biomechanics as Determining Factors of Swimming Performance: Updating the State of the Art. J. Sci. Med. Sport 2010, 13, 262–269. [Google Scholar] [CrossRef]
- Dekerle, J.; Nesi, X.; Lefevre, T.; Depretz, S.; Sidney, M.; Huot Marchand, F.; Pelayo, P. Stroking Parameters in Front Crawl Swimming and Maximal Lactate Steady State Speed. Int. J. Sports Med. 2005, 26, 53–58. [Google Scholar] [CrossRef]
- Pelarigo, J.G.; Greco, C.C.; Denadai, B.S.; Fernandes, R.J.; Vilas-Boas, J.P.; Pendergast, D.R. Do 5% Changes around Maximal Lactate Steady State Lead to Swimming Biophysical Modifications? Hum. Mov. Sci. 2016, 49, 258–266. [Google Scholar] [CrossRef]
- Psycharakis, S.G.; Cooke, C.B.; Paradisis, G.P.; O’Hara, J.; Phillips, G. Analysis of Selected Kinematic and Physiological Performance Determinants During Incremental Testing in Elite Swimmers. J. Strength Cond. Res. 2008, 22, 951–957. [Google Scholar] [CrossRef]
- Keskinen, K.L.; Komi, P.V. Stroking Characteristics of Front Crawl Swimming during Exercise. J. Appl. Biomech. 1993, 9, 219–226. [Google Scholar] [CrossRef]
- Carvalho, D.D.; Soares, S.; Zacca, R.; Sousa, J.; Marinho, D.A.; Silva, A.J.; Vilas-Boas, J.P.; Fernandes, R.J. Anaerobic Threshold Biophysical Characterisation of the Four Swimming Techniques. Int. J. Sports Med. 2020, 41, 318–327. [Google Scholar] [CrossRef]
- Fernandes, R.J.; Carvalho, D.D.; Figueiredo, P. Training Zones in Competitive Swimming: A Biophysical Approach. Front. Sports Act. Living 2024, 6, 1363730. [Google Scholar] [CrossRef] [PubMed]
- Figueiredo, P.; Morais, P.; Vilas-Boas, J.P.; Fernandes, R.J. Changes in Arm Coordination and Stroke Parameters on Transition through the Lactate Threshold. Eur. J. Appl. Physiol. 2013, 113, 1957–1964. [Google Scholar] [CrossRef] [PubMed]
- Komar, J.; Leprêtre, P.M.; Alberty, M.; Vantorre, J.; Fernandes, R.J.; Hellard, P.; Chollet, D.; Seifert, L. Effect of Increasing Energy Cost on Arm Coordination in Elite Sprint Swimmers. Hum. Mov. Sci. 2012, 31, 620–629. [Google Scholar] [CrossRef]
- Pelarigo, J.G.; Denadai, B.S.; Greco, C.C. Stroke Phases Responses around Maximal Lactate Steady State in Front Crawl. J. Sci. Med. Sport 2011, 14, 168.e1–168.e5. [Google Scholar] [CrossRef]
- Figueiredo, P.; Nazario, R.; Sousa, M.; Pelarigo, J.G.; Vilas, J.P.; Fernandes, R. Kinematical Analysis along Maximal Lactate Steady State Swimming Intensity. J. Sports Sci. Med. 2014, 13, 610. [Google Scholar]
- Nikitakis, I.S.; Bogdanis, G.C.; Paradisis, G.P.; Toubekis, A.G. Physiological Responses and Swimming-Performance Changes Induced by Altering the Sequence of Training Sets. Int. J. Sports Physiol. Perform. 2023, 19, 53–61. [Google Scholar] [CrossRef]
- Nikitakis, I.S.; Bogdanis, G.C.; Paradisis, G.P.; Toubekis, A.G. Effects of Training Sets Sequence on Swimming Performance, Training Load and Physiological Responses. Sports 2023, 11, 240. [Google Scholar] [CrossRef]
- Amann, M. Central and Peripheral Fatigue: Interaction during Cycling Exercise in Humans. Med. Sci. Sports Exerc. 2011, 43, 2039–2045. [Google Scholar] [CrossRef]
- McKay, A.K.A.; Stellingwerff, T.; Smith, E.S.; Martin, D.T.; Mujika, I.; Goosey-Tolfrey, V.L.; Sheppard, J.; Burke, L.M. Defining Training and Performance Caliber: A Participant Classification Framework. Int. J. Sports Physiol. Perform. 2022, 17, 317–331. [Google Scholar] [CrossRef]
- Faul, F.; Erdfelder, E.; Lang, A.-G.; Buchner, A. G*Power 3: A Flexible Statistical Power Analysis Program for the Social, Behavioral, and Biomedical Sciences. Behav. Res. Methods 2007, 39, 175–191. [Google Scholar] [CrossRef]
- Zacca, R.; Azevedo, R.; Peterson Silveira, R.; Vilas-Boas, J.P.; Pyne, D.B.; Castro, F.A.D.S.; Fernandes, R.J. Comparison of Incremental Intermittent and Time Trial Testing in Age-Group Swimmers. J. Strength Cond. Res. 2019, 33, 801–810. [Google Scholar] [CrossRef] [PubMed]
- Nikitakis, I.S.; Toubekis, A.G. Lactate Threshold Evaluation in Swimmers: The Importance of Age and Method. Int. J. Sports Med. 2021, 42, 818–824. [Google Scholar] [CrossRef] [PubMed]
- Skorski, S.; Faude, O.; Urhausen, A.; Kindermann, W.; Meyer, T. Intensity Control in Swim Training by Means of the Individual Anaerobic Threshold. J. Strength Cond. Res. 2012, 26, 3304–3311. [Google Scholar] [CrossRef]
- Libicz, S.; Roels, B.; Millet, G.P. Responses to Intermittent Swimming Sets at Velocity Associated With Max. Can. J. Appl. Physiol. 2005, 30, 543–553. [Google Scholar] [CrossRef]
- Toubekis, A.G.; Douda, H.T.; Tokmakidis, S.P. Influence of Different Rest Intervals during Active or Passive Recovery on Repeated Sprint Swimming Performance. Eur. J. Appl. Physiol. 2005, 93, 694–700. [Google Scholar] [CrossRef]
- Toubekis, A.G.; Tokmakidis, S.P. Metabolic Responses at Various Intensities Relative to Critical Swimming Velocity. J. Strength Cond. Res. 2013, 27, 1731–1741. [Google Scholar] [CrossRef]
- Bogdanis, G.C.; Nevill, M.E.; Lakomy, H.K.A.; Boobis, L.H. Power Output and Muscle Metabolism during and Following Recovery from 10 and 20 s of Maximal Sprint Exercise in Humans. Acta Physiol. Scand. 1998, 163, 261–272. [Google Scholar] [CrossRef]
- Shimoyama, Y.; Tomikawa, M.; Nomura, T. The Effect of Rest Periods on Energy System Contribution during Interval Swimming. Eur. J. Sport Sci. 2003, 3, 1–11. [Google Scholar] [CrossRef]
- Monteiro, A.S.; Carvalho, D.D.; Elói, A.; Silva, F.; Vilas-Boas, J.P.; Buzzachera, C.F.; Fernandes, R.J. Repeatability of Ventilatory, Metabolic and Biomechanical Responses to an Intermittent Incremental Swimming Protocol. Physiol. Meas. 2022, 43, 075009. [Google Scholar] [CrossRef]
- Lakens, D. Calculating and Reporting Effect Sizes to Facilitate Cumulative Science: A Practical Primer for t-Tests and ANOVAs. Front. Psychol. 2013, 4, 863. [Google Scholar] [CrossRef]
- Schober, P.; Boer, C.; Schwarte, L.A. Correlation Coefficients: Appropriate Use and Interpretation. Anesth. Analg. 2018, 126, 1763–1768. [Google Scholar] [CrossRef] [PubMed]
- Arsoniadis, G.G.; Botonis, P.G.; Bogdanis, G.C.; Terzis, G.; Toubekis, A.G. Acute Effects of Dryland Muscular Endurance and Maximum Strength Training on Sprint Swimming Performance in Young Swimmers. J. Sports Sci. 2024, 42, 938–946. [Google Scholar] [CrossRef] [PubMed]
- Williamson, D.; McCarthy, E.; Ditroilo, M. Acute Physiological Responses to Ultra Short Race-Pace Training in Competitive Swimmers. J. Hum. Kinet. 2020, 75, 95–102. [Google Scholar] [CrossRef] [PubMed]
- Barbosa, T.M.; Fernandes, R.J.; Keskinen, K.L.; Vilas-Boas, J.P. The Influence of Stroke Mechanics into Energy Cost of Elite Swimmers. Eur. J. Appl. Physiol. 2008, 103, 139–149. [Google Scholar] [CrossRef]
- Alberty, M.; Sidney, M.; Pelayo, P.; Toussaint, H.M. Stroking Characteristics during Time to Exhaustion Tests. Med. Sci. Sports Exerc. 2009, 41, 637–644. [Google Scholar] [CrossRef]
- Brooks, G.A. The Science and Translation of Lactate Shuttle Theory. Cell Metab. 2018, 27, 757–785. [Google Scholar] [CrossRef]
- Toubekis, A.G.; Peyrebrune, M.C.; Lakomy, H.K.A.; Nevill, M.E. Effects of Active and Passive Recovery on Performance during Repeated-Sprint Swimming. J. Sports Sci. 2008, 26, 1497–1505. [Google Scholar] [CrossRef]
- Dekerle, J.; Paterson, J. Muscle Fatigue When Swimming Intermittently Above and Below Critical Speed. Int. J. Sports Physiol. Perform. 2016, 11, 602–607. [Google Scholar] [CrossRef]
- Massini, D.A.; Almeida, T.A.F.; Vasconcelos, C.M.T.; Macedo, A.G.; Espada, M.A.C.; Reis, J.F.; Alves, F.J.B.; Fernandes, R.J.P.; Pessôa Filho, D.M. Are Young Swimmers Short and Middle Distances Energy Cost Sex-Specific? Front. Physiol. 2021, 12, 796886. [Google Scholar] [CrossRef]
- González-Ravé, J.M.; Hermosilla, F.; González-Mohíno, F.; Casado, A.; Pyne, D.B. Training Intensity Distribution, Training Volume, and Periodization Models in Elite Swimmers: A Systematic Review. Int. J. Sports Physiol. Perform. 2021, 16, 913–926. [Google Scholar] [CrossRef]
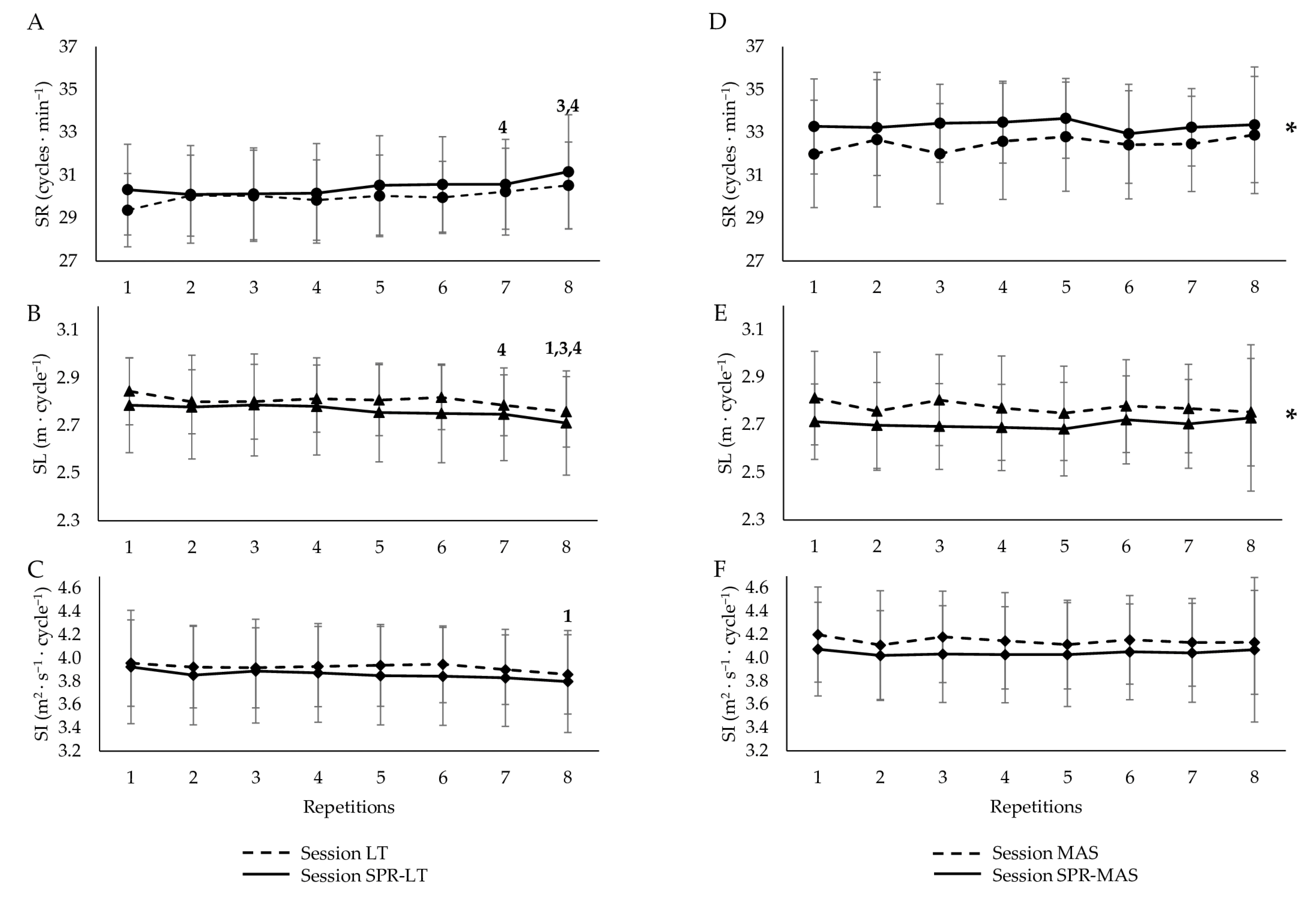
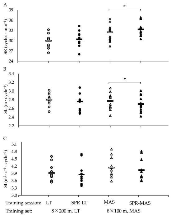
), rate of perceived exertion (RPE), stroke rate, stroke length, and stroke index were measured during each set, while blood lactate was measured before and after each set.
: blood lactate;
: stroke rate, stroke length, and stroke index.
), rate of perceived exertion (RPE), stroke rate, stroke length, and stroke index were measured during each set, while blood lactate was measured before and after each set.
: blood lactate;
: stroke rate, stroke length, and stroke index.


| Session LT | Session SPR-LT | Session MAS | Session SPR-MAS | |
|---|---|---|---|---|
| BL start | 1.4 ± 0.5 | 7.8 ± 3.0 * | 1.5 ± 0.6 | 8.0 ± 3.1 # |
| BL end | 4.7 ± 2.7 | 6.3 ± 3.3 | 5.6 ± 2.6 | 8.6 ± 4.5 |
| Mean RPE | 4.5 ± 1.6 | 6.0 ± 1.6 * | 4.4 ± 1.8 | 6.3 ± 1.3 # |
| BL Start | BL End | RPE Mean | |
|---|---|---|---|
| SR | 0.67 * | 0.61 * | 0.74 * |
| SL | −0.56 | −0.35 | −0.42 |
| SI | −0.34 | −0.09 | −0.09 |
| BL Start | BL End | RPE Mean | |
|---|---|---|---|
| SR | 0.16 | 0.43 | 0.34 |
| SL | −0.15 | −0.44 | 0.09 |
| SI | −0.11 | −0.34 | 0.29 |
Disclaimer/Publisher’s Note: The statements, opinions and data contained in all publications are solely those of the individual author(s) and contributor(s) and not of MDPI and/or the editor(s). MDPI and/or the editor(s) disclaim responsibility for any injury to people or property resulting from any ideas, methods, instructions or products referred to in the content. |
© 2025 by the authors. Licensee MDPI, Basel, Switzerland. This article is an open access article distributed under the terms and conditions of the Creative Commons Attribution (CC BY) license (https://creativecommons.org/licenses/by/4.0/).
Share and Cite
Nikitakis, I.S.; Arsoniadis, G.G.; Toubekis, A.G. Acute Biomechanical and Physiological Responses with Concurrent Aerobic and Anaerobic Swimming Training. Appl. Sci. 2025, 15, 6522. https://doi.org/10.3390/app15126522
Nikitakis IS, Arsoniadis GG, Toubekis AG. Acute Biomechanical and Physiological Responses with Concurrent Aerobic and Anaerobic Swimming Training. Applied Sciences. 2025; 15(12):6522. https://doi.org/10.3390/app15126522
Chicago/Turabian StyleNikitakis, Ioannis S., Gavriil G. Arsoniadis, and Argyris G. Toubekis. 2025. "Acute Biomechanical and Physiological Responses with Concurrent Aerobic and Anaerobic Swimming Training" Applied Sciences 15, no. 12: 6522. https://doi.org/10.3390/app15126522
APA StyleNikitakis, I. S., Arsoniadis, G. G., & Toubekis, A. G. (2025). Acute Biomechanical and Physiological Responses with Concurrent Aerobic and Anaerobic Swimming Training. Applied Sciences, 15(12), 6522. https://doi.org/10.3390/app15126522
