Upgoing and Downgoing Wavefield Separation in Vertical Seismic Profiling Guided by Signal Knowledge Representation
Abstract
1. Introduction
2. Knowledge Representation for VSP Wavefield Separation
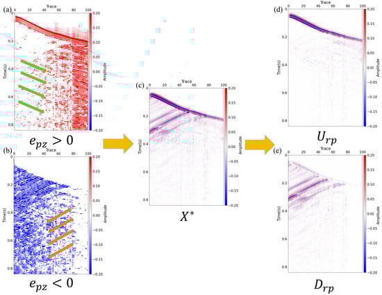
2.1. Physical Knowledge Representation Based on Energy Flow
2.2. Morphological Knowledge Representation
2.3. Directional Difference Knowledge Representation
3. Methodology
3.1. Modeling of Upgoing and Downgoing Wave Separation Problem
3.2. Network Structure
3.3. Loss Function
3.3.1. Reconstruction Loss
3.3.2. Morphological Knowledge Representation Loss
3.3.3. Physical Knowledge Representation Loss
3.3.4. Directional Difference Knowledge Representation Loss
4. Numerical Examples
4.1. Validation on Homogeneous Layered Velocity Model
4.1.1. Ablation Experiments on the Homogeneous Layered Model
- Application of reconstruction loss and physical knowledge representation loss;
- Application of reconstruction loss, Physical Knowledge Representation Loss, and Morphological Knowledge Representation Loss;
- Application of reconstruction loss, Physical Knowledge Representation Loss, Morphological Knowledge Representation Loss, and Directional Difference Knowledge Representation Loss.
4.1.2. Comparative Experiments on the Homogeneous Layered Model
4.2. Validation on Marmousi Model
Comparative Experiments on the Marmousi Model
5. Conclusions
Author Contributions
Funding
Institutional Review Board Statement
Informed Consent Statement
Data Availability Statement
Acknowledgments
Conflicts of Interest
Abbreviations
| CNN | Convolutional Neural Network |
| GAN | Generative Adversarial Network |
| FWI | Full Waveform Inversion |
| KGCAE | Knowledge-Guided Convolution Autoencoder |
| ReLU | Rectified Linear Unit |
| SVD | Singular Value Decomposition |
| VSP | vertical seismic profiling |
References
- Stewart, R.R.; Huddleston, P.D.; Kan, T.K. Seismic versus sonic velocities: A vertical seismic profiling study. Geophysics 1984, 49, 1153–1168. [Google Scholar] [CrossRef]
- Hinds, R.C.; Anderson, N.L.; Kuzmiski, R.D. VSP Interpretive Processing: Theory and Practice; Society of Exploration Geophysicists: Houston, TX, USA, 1996; Volume 1, p. 214. [Google Scholar] [CrossRef]
- Blias, E. VSP wavefield separation: Wave-by-wave optimization approach. Geophysics 2007, 72, T47–T55. [Google Scholar] [CrossRef]
- Suprajitno, M.; Greenhalgh, S.A. Separation of upgoing and downgoing waves in vertical seismic profiling by contour-slice filtering. Geophysics 1985, 50, 950–962. [Google Scholar] [CrossRef]
- Aminzadeh, F. A recursive method for the separation of upgoing and downgoing waves of vertical seismic profiling data. Geophysics 1986, 51, 2206–2218. [Google Scholar] [CrossRef]
- Tao, B.; Yang, Y.; Zhou, H.; Wang, Y.; Lyu, F.; Li, W. Deep learning-based upgoing and downgoing wavefield separation for vertical seismic profile data. Geophysics 2023, 88, D339–D355. [Google Scholar] [CrossRef]
- Freire, S.L.M.; Ulrych, T.J. Application of singular value decomposition to vertical seismic profiling. Geophysics 1988, 53, 778–785. [Google Scholar] [CrossRef]
- Stewart, R.R. Median filtering: Review and a new F/K analogue design. J. Can. Soc. Explor. Geophys. 1985, 21, 54–63. [Google Scholar]
- Treitel, S.; Shanks, J.L.; Frasier, C.W. Some aspects of fan filtering. Geophysics 1967, 32, 789–800. [Google Scholar] [CrossRef]
- Yang, Y.; Lu, J.; Wang, Y. Vertical seismic profile wavefield separation using median filtering constrained by the linear radon transform. Appl. Sci. 2018, 8, 1494. [Google Scholar] [CrossRef]
- Moon, W.; Carswell, A.; Tang, R.; Dilliston, C. Radon transform wave field separation for vertical seismic profiling data. Geophysics 1986, 51, 940–947. [Google Scholar] [CrossRef]
- Genovese, F.; Palmeri, A. Wavelet-based generation of fully non-stationary random processes with application to seismic ground motions. Mech. Syst. Signal Process. 2025, 223, 111833. [Google Scholar] [CrossRef]
- Seydoux, L.; Balestriero, R.; Poli, P.; Hoop, M.; Campillo, M.; Baraniuk, R. Clustering earthquake signals and background noises in continuous seismic data with unsupervised deep learning. Nat. Commun. 2020, 11, 3972. [Google Scholar] [CrossRef] [PubMed]
- Wang, B.; Zhang, N.; Lu, W.; Wang, J. Deep-learning-based seismic data interpolation: A preliminary result. Geophysics 2019, 84, V11–V20. [Google Scholar] [CrossRef]
- Wei, Y.; Li, Y.E.; Zong, J.; Yang, J.; Fu, H.; Sun, M. Deep learning-based P-and S-wave separation for multicomponent vertical seismic profiling. IEEE Trans. Geosci. Remote Sens. 2021, 60, 5908116. [Google Scholar] [CrossRef]
- Sun, J.; Niu, Z.; Innanen, K.A.; Li, J.; Trad, D.O. A theory-guided deep-learning formulation and optimization of seismic waveform inversion. Geophysics 2020, 85, R87–R99. [Google Scholar] [CrossRef]
- Dong, X.; Lin, J.; Lu, S.; Huang, X.; Wang, H.; Li, Y. Seismic shot gather denoising by using a supervised-deep-learning method with weak dependence on real noise data: A solution to the lack of real noise data. Surv. Geophys. 2022, 43, 1363–1394. [Google Scholar] [CrossRef]
- Cao, D.; Chen, X.; Jia, Y.; Jin, C.; Fu, X. Upgoing and downgoing wavefield separation in VSP data using CGAN based on asymmetric convolution blocks. J. Geophys. Eng. 2024, 21, 1511–1525. [Google Scholar] [CrossRef]
- Margrave, G.F. Stratigraphic Filtering and Q Estimation. CREWES Res. Rep. 2014, 26, 18. [Google Scholar]
- Dalai, B.; Kumar, P.; Srinu, U.; Sen, M.K. De-noising receiver function data using the unsupervised deep learning approach. Geophys. J. Int. 2022, 229, 737–749. [Google Scholar] [CrossRef]
- Lu, C.; Mu, Z.; Zong, J.; Wang, T. Unsupervised VSP up-and downgoing wavefield separation via dual convolutional autoencoders. IEEE Trans. Geosci. Remote Sens. 2023, 62, 5900315. [Google Scholar] [CrossRef]
- Wen, Y.; Qian, F.; Guo, W.; Zong, J.; Peng, D.; Chen, K.; Hu, G. VSP Upgoing and Downgoing Wavefield Separation: A Hybrid Model-Data Driven Approach. IEEE Trans. Geosci. Remote Sens. 2025, 63, 5908014. [Google Scholar] [CrossRef]
- Aki, K.; Richards, P.G. Quantitative Seismology; W. H. Freeman and Company: San Francisco, CA, USA, 2002. [Google Scholar]
- Goodier, J.N.; Timoshenko, S. Theory of Elasticity; McGraw-Hill: New York, NY, USA, 1970. [Google Scholar]
- Ma, D.; Zhu, G. Numerical modeling of P-wave and s-wave separation in elastic wavefield. Oil Geophys. Prospect. 2003, 38, 482–486. [Google Scholar]
- Lu, C.; Wang, Y.; Zou, X.; Zong, J.; Su, Q. Elastic full-waveform inversion via physics-informed recurrent neural network. IEEE Trans. Geosci. Remote Sens. 2024, 62, 4510616. [Google Scholar] [CrossRef]
- Kiselev, A.P. Energy flux of elastic waves. J. Math. Sci. 1982, 19, 1372–1375. [Google Scholar] [CrossRef]
- Tang, H.-G.; He, B.-S.; Mou, H.-B. P-and S-wave energy flux density vectors. Geophysics 2016, 81, T357–T368. [Google Scholar] [CrossRef]
- Virieux, J.; Etienne, V.; Cruz-Atienza, V.; Brossier, R.; Chaljub, E.; Coutant, O.; Garambois, S.; Mercerat, D.; Prieux, V.; Operto, S.; et al. Modelling seismic wave propagation for geophysical imaging. In Seismic Waves-Research and Analysis; Kanao, M., Ed.; IntechOpen: London, UK, 2012. [Google Scholar]















| Layer | Output Channels | Kernel Size | Stride | Activation | Output Shape | ||
|---|---|---|---|---|---|---|---|
| Input | 1 | - | - | - | 1600 × 100 × 1 | ||
| Encoder Layer | Conv2D | 32 | 3 × 3 | 1 × 1 | tanh | 1600 × 100 × 32 | |
| MaxPool | - | 2 × 2 | 2 × 2 | - | 800 × 50 × 32 | ||
| Conv2D | 64 | 3 × 3 | 1 × 1 | tanh | 800 × 50 × 64 | ||
| Conv2D | 32 | 3 × 3 | 1 × 1 | tanh | 800 × 50 × 32 | ||
| MaxPool | - | 2 × 2 | 2 × 2 | - | 400 × 25 × 32 | ||
| Decoder Layer | Conv2D | 32 | 3 × 3 | 1 × 1 | tanh | 400 × 25 × 32 | |
| UnSampling2D | - | 2 × 2 | - | - | 800 × 50 × 32 | ||
| Conv2D | 64 | 3 × 3 | 1 × 1 | tanh | 800 × 50 × 64 | ||
| Conv2D | 32 | 3 × 3 | 1 × 1 | tanh | 800 × 50 × 32 | ||
| UnSampling2D | - | 2 × 2 | - | - | 1600 × 100 × 32 | ||
| Conv2D | 1 | 3 × 3 | 1 × 1 | tanh | 1600 × 100 × 1 | ||
| Parameters | Forward Modeling |
|---|---|
| Central Frequency of Source | 50 Hz |
| Sampling Time | 4 ms |
| Location of launch point | 50 m below the ground |
| Offset | 12 m |
| Distance between adjacent receivers | 10 m |
| Receivers’ distribution range | Range: from 250 to 4250 m underground |
| Depth of model | 4500 m |
| Width of model | 50 m |
| Parameters | Case 1 | Case 2 | Case 3 |
|---|---|---|---|
| Epoch | 10,000 |
| Parameters | KGCAE | dualCAE |
|---|---|---|
| Parameters | Forward Modeling |
|---|---|
| Central Frequency of Source | |
| Sampling Time | |
| Offset | |
| Distance between adjacent receivers | |
| Receivers’ distribution range | 0 to 500 m underground |
| Depth of model | |
| Width of model |
| Parameters | KGCAE | dualCAE |
|---|---|---|
Disclaimer/Publisher’s Note: The statements, opinions and data contained in all publications are solely those of the individual author(s) and contributor(s) and not of MDPI and/or the editor(s). MDPI and/or the editor(s) disclaim responsibility for any injury to people or property resulting from any ideas, methods, instructions or products referred to in the content. |
© 2025 by the authors. Licensee MDPI, Basel, Switzerland. This article is an open access article distributed under the terms and conditions of the Creative Commons Attribution (CC BY) license (https://creativecommons.org/licenses/by/4.0/).
Share and Cite
Lu, C.; Qu, L.; Liu, J.; Gao, J. Upgoing and Downgoing Wavefield Separation in Vertical Seismic Profiling Guided by Signal Knowledge Representation. Appl. Sci. 2025, 15, 6360. https://doi.org/10.3390/app15116360
Lu C, Qu L, Liu J, Gao J. Upgoing and Downgoing Wavefield Separation in Vertical Seismic Profiling Guided by Signal Knowledge Representation. Applied Sciences. 2025; 15(11):6360. https://doi.org/10.3390/app15116360
Chicago/Turabian StyleLu, Cai, Liyuan Qu, Jijun Liu, and Jianbo Gao. 2025. "Upgoing and Downgoing Wavefield Separation in Vertical Seismic Profiling Guided by Signal Knowledge Representation" Applied Sciences 15, no. 11: 6360. https://doi.org/10.3390/app15116360
APA StyleLu, C., Qu, L., Liu, J., & Gao, J. (2025). Upgoing and Downgoing Wavefield Separation in Vertical Seismic Profiling Guided by Signal Knowledge Representation. Applied Sciences, 15(11), 6360. https://doi.org/10.3390/app15116360

