Fuzzy Adaptive Dynamic Surface Control with Constant Gain for Non-Affine Pure-Feedback Systems
Abstract
1. Introduction
- Significant tracking performance improvements are achieved through the developed control scheme when compared with conventional dynamic surface control methodologies for completely unknown system dynamics [31]. Radial basis function networks are specifically employed to compensate for uncertain disturbances and state estimation errors. This structural simplification enables more efficient parameter adaptation processes while maintaining approximation accuracy.
- In the design process of the controller, the solution to the nonlinear equations of the actual control signal is avoided by employing an adjusting parameter to replace the final gain function, which reduces the computational cost significantly.
- Only one parameter is needed for the updating of the adaptive law, which also alleviates computational cost to a certain extent.
2. Problem Formulation and Preliminaries
2.1. System Description and Transformation
2.2. Lemmas and Assumptions
2.3. Fuzzy Logic System Approximation
3. Controller Design and Stability Analysis
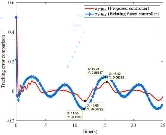
4. Simulation Results
4.1. Simulation Example 1
4.2. Simulation Example 2
5. Conclusions
Author Contributions
Funding
Institutional Review Board Statement
Informed Consent Statement
Data Availability Statement
Conflicts of Interest
References
- Yi, Y.; Chen, D. Disturbance observer-based backstepping sliding mode fault-tolerant control for the hydro-turbine governing system with dead-zone input. ISA Trans. 2019, 88, 127–141. [Google Scholar] [CrossRef] [PubMed]
- Peng, Z.H.; Jiang, Y.; Wang, J. Event-triggered dynamic surface control of an underactuated autonomous surface vehicle for target enclosing. IEEE Trans. Ind. Electron. 2020, 68, 3402–3412. [Google Scholar] [CrossRef]
- Hu, Y.; Yan, H.; Zhang, H.; Wang, M.; Zeng, L. Robust adaptive fixed-time sliding-mode control for uncertain robotic systems with input saturation. IEEE Trans. Cybern. 2022, 53, 2636–2646. [Google Scholar] [CrossRef] [PubMed]
- Liu, K.; Wang, R.J.; Zheng, S.J.; Dong, S.F.; Sun, G.W. Fixed-time disturbance observer-based robust fault-tolerant tracking control for uncertain quadrotor UAV subject to input delay. Nonlinear Dyn. 2022, 107, 2363–2390. [Google Scholar] [CrossRef]
- Zhang, J.X.; Chai, T.Y. Singularity-free continuous adaptive control of uncertain underactuated surface vessels with prescribed performance. IEEE Trans. Syst. Man Cybern. Syst. 2021, 52, 5646–5655. [Google Scholar] [CrossRef]
- Yang, X.W.; Ge, Y.W.; Deng, W.X.; Yao, J.Y. Adaptive dynamic surface tracking control for uncertain full-state constrained nonlinear systems with disturbance compensation. J. Franklin Inst. 2022, 359, 2424–2444. [Google Scholar] [CrossRef]
- Guo, G.X.; Tan, H.R.; Feng, Y.; Wang, Y.N. Event-triggered fixed-time tracking control for uncertain networked autonomous surface vehicle with disturbances. Ocean Eng. 2024, 312, 100–119. [Google Scholar] [CrossRef]
- Sari, N.N.; Jahanshahi, H.; Fakoor, M. Adaptive Fuzzy PID Control Strategy for Spacecraft Attitude Control. Int. J. Fuzzy Syst. 2019, 21, 769–781. [Google Scholar] [CrossRef]
- Zhang, J.; Li, S.; Ahn, C.K.; Xiang, Z.R. Adaptive fuzzy decentralized dynamic surface control for switched large-scale nonlinear systems with full-state constraints. IEEE Trans. Cybern. 2021, 52, 10761–10772. [Google Scholar] [CrossRef]
- Lv, Z.X.; Ma, Y.M.; Liu, J.P.; Yu, J.P. Full-state constrained adaptive fuzzy finite-time dynamic surface control for PMSM drive systems. Int. J. Fuzzy Syst. 2021, 23, 804–815. [Google Scholar] [CrossRef]
- Wu, W.; Tong, S.C. Fixed-Time Adaptive Fuzzy Containment Dynamic Surface Control for Nonlinear Multiagent Systems. IEEE Trans. Fuzzy Syst. 2022, 30, 5237–5248. [Google Scholar] [CrossRef]
- Xie, S.Z.; Chen, Q.; Yang, Q.M. Adaptive fuzzy predefined-time dynamic surface control for attitude tracking of spacecraft with state constraints. IEEE Trans. Fuzzy Syst. 2022, 31, 2292–2304. [Google Scholar] [CrossRef]
- Ma, H.X.; Ren, R.N.; Tao, F.Z.; Fu, Z.M.; Wang, N. FTDO-based adaptive fuzzy fixed-time tracking control for uncertain unmanned helicopter with output constraints. Aerosp. Sci. Technol. 2024, 147, 109–116. [Google Scholar] [CrossRef]
- Long, L.J.; Si, T. Small-Gain Technique-Based Adaptive NN Control for Switched Pure-Feedback Nonlinear Systems. IEEE Trans. Cybern. 2019, 49, 1873–1884. [Google Scholar] [CrossRef] [PubMed]
- Xia, M.Z.; Zhang, T.P. Adaptive neural dynamic surface control for full state constrained stochastic nonlinear systems with unmodeled dynamics. J. Franklin Inst. 2019, 356, 129–146. [Google Scholar] [CrossRef]
- Na, J.; Ren, X.M.; Zheng, D.D. Adaptive Control for Nonlinear Pure-Feedback Systems With High-Order Sliding Mode Observer. IEEE Trans. Neural. Netw. Learn. Syst. 2013, 24, 370–382. [Google Scholar]
- Zuo, R.W.; Lv, M.L.; Li, Y.H.; Nie, H.Y. Neural-network-based adaptive tracking control for nonlinear pure-feedback systems subject to periodic disturbance. Int. J. Control 2022, 95, 2554–2564. [Google Scholar] [CrossRef]
- Zhu, Q.Q.; Niu, B.; Zhang, G.J.; Li, S.T.; Duan, P.Y. Adaptive fixed-time tracking control for a class of nonlinear pure-feedback systems: A relative threshold event-triggered strategy. ISA Trans. 2022, 122, 346–356. [Google Scholar] [CrossRef] [PubMed]
- Zhu, J.Y.; Li, S.R. Adaptive output dynamic feedback control for nonaffine pure-feedback time delay system with unknown backlash-like hysteresis. J. Franklin Inst. 2024, 361, 106–113. [Google Scholar] [CrossRef]
- Ling, S.; Wang, H.; Liu, P.X. Adaptive Fuzzy Dynamic Surface Control of Flexible-Joint Robot Systems with Input Saturation. IEEE/CAA J. Autom. Sin. 2019, 6, 97–106. [Google Scholar] [CrossRef]
- Liu, G.L.; Pan, Y.N.; Lam, H.K.; Liang, H.J. Event-triggered fuzzy adaptive quantized control for nonlinear multi-agent systems in nonaffine pure-feedback form. Fuzzy. Sets Syst. 2021, 416, 27–46. [Google Scholar] [CrossRef]
- Jia, F.J. Non-overshooting control of nonlinear pure-feedback systems. Syst. Control Lett. 2024, 185, 105–113. [Google Scholar] [CrossRef]
- Dai, Y.F.; Wang, Y.J.; Wang, C. Finite-time tracking control for time-delayed pure-feedback systems with guaranteed performance. Int. J. Robust Nonlinear Control 2024, 34, 3011–3032. [Google Scholar] [CrossRef]
- Lv, J.X.; Wang, C.H.; Liu, B.; Kao, Y.G.; Jiang, Y.S. Predefined-time output-feedback leader-following consensus of pure-feedback multiagent systems. IEEE Trans. Cybern. 2024, 54, 7754–7766. [Google Scholar] [CrossRef]
- Qi, J.; Zhang, J.; Krstic, M. Neural operators for PDE backstepping control of first-order hyperbolic PIDE with recycle and delay. Syst. Control Lett. 2024, 185, 105–114. [Google Scholar] [CrossRef]
- Chang, Y.; Feng, Z.G.; Zhang, X. Backstepping-based adaptive fuzzy tracking control for pure-feedback nonlinear multi-agent systems. Int. J. Syst. Sci. 2024, 55, 1584–1595. [Google Scholar] [CrossRef]
- He, K.H.; Dong, C.Y.; Wang, Q. Anti-disturbance dynamic inversion backstepping control for uncertain pure-feedback systems via multiple extended state observers. J. Frankl. Inst. 2021, 358, 6385–6407. [Google Scholar] [CrossRef]
- Zhang, T.P.; Ge, S.S. Adaptive dynamic surface control of nonlinear systems with unknown dead zone in pure feedback form. Automatica 2008, 44, 1895–1903. [Google Scholar] [CrossRef]
- Zhang, T.P.; Xu, H.X. Adaptive optimal dynamic surface control of strict-feedback nonlinear systems with output constraints. Int. J. Robust Nonlinear Control 2020, 30, 2059–2078. [Google Scholar] [CrossRef]
- Dun, A.; Wang, R.; Lei, F.; Yang, Y.N. Dynamic surface control for formation control of quadrotors with input constraints and disturbances. Trans. Inst. Meas. Control 2022, 44, 2500–2510. [Google Scholar] [CrossRef]
- Cheng, C.; Shen, H.K. Fractional-order dynamics and adaptive dynamic surface control of flexible-joint robots. Asian J. Control 2023, 25, 3029–3044. [Google Scholar] [CrossRef]
- Liu, M.R.; Zhang, W.H. Disturbance observer-based adaptive fuzzy control for pure-feedback systems with deferred output constraints. Nonlinear Dyn. 2025, 113, 1401–1418. [Google Scholar] [CrossRef]
- Wang, D. Neural network-based adaptive dynamic surface control of uncertain nonlinear pure-feedback systems. Int. J. Robust Nonlinear Control. 2011, 21, 527–541. [Google Scholar] [CrossRef]
- Wang, Q.; Cao, J.D.; Liu, H. Adaptive fuzzy control of nonlinear systems with predefined time and accuracy. IEEE Trans. Fuzzy Syst. 2022, 30, 5152–5165. [Google Scholar] [CrossRef]
- Bao, J.L.; Wang, H.Q.; Liu, X.P. Fuzzy Finite-Time Tracking Control for a Class of Nonaffine Nonlinear Systems with Unknown Dead Zones. IEEE Trans. Syst. Man Cybern Syst. 2021, 51, 452–463. [Google Scholar] [CrossRef]
- Yu, Z.X.; Yu, Z.S. Adaptive Neural Dynamic Surface Control For Nonlinear Pure-Feedback Systems with Multiple Time-Varying Delays: A Lyapunov-Razumikhin Method. Asian J. Control 2013, 15, 1124–1138. [Google Scholar] [CrossRef]
- Tong, S.C.; Li, Y.M. Adaptive fuzzy output feedback backstepping control of pure-feedback nonlinear systems via dynamic surface control technique. Int. J. Adapt. Control Signal Process. 2013, 27, 541–561. [Google Scholar] [CrossRef]
- Pan, Y.P.; Li, X.A.; Yu, H.Y. Efficient PID tracking control of robotic manipulators driven by compliant actuators. IEEE Trans. Control Syst. Technol. 2018, 27, 915–922. [Google Scholar] [CrossRef]







Disclaimer/Publisher’s Note: The statements, opinions and data contained in all publications are solely those of the individual author(s) and contributor(s) and not of MDPI and/or the editor(s). MDPI and/or the editor(s) disclaim responsibility for any injury to people or property resulting from any ideas, methods, instructions or products referred to in the content. |
© 2025 by the authors. Licensee MDPI, Basel, Switzerland. This article is an open access article distributed under the terms and conditions of the Creative Commons Attribution (CC BY) license (https://creativecommons.org/licenses/by/4.0/).
Share and Cite
Chen, L.; Wang, Y.; Cui, J.; Wang, D.; Ling, S. Fuzzy Adaptive Dynamic Surface Control with Constant Gain for Non-Affine Pure-Feedback Systems. Appl. Sci. 2025, 15, 6352. https://doi.org/10.3390/app15116352
Chen L, Wang Y, Cui J, Wang D, Ling S. Fuzzy Adaptive Dynamic Surface Control with Constant Gain for Non-Affine Pure-Feedback Systems. Applied Sciences. 2025; 15(11):6352. https://doi.org/10.3390/app15116352
Chicago/Turabian StyleChen, Lian, Yixu Wang, Jianjun Cui, Daiyue Wang, and Song Ling. 2025. "Fuzzy Adaptive Dynamic Surface Control with Constant Gain for Non-Affine Pure-Feedback Systems" Applied Sciences 15, no. 11: 6352. https://doi.org/10.3390/app15116352
APA StyleChen, L., Wang, Y., Cui, J., Wang, D., & Ling, S. (2025). Fuzzy Adaptive Dynamic Surface Control with Constant Gain for Non-Affine Pure-Feedback Systems. Applied Sciences, 15(11), 6352. https://doi.org/10.3390/app15116352

