Next Article in Journal
Enabling Biodiversity-Informed Architecture Through Ontology-Driven Data Integration
Next Article in Special Issue
Real-Time Model Predictive Control for Two-Level Voltage Source Inverters with Optimized Switching Frequency
Previous Article in Journal
SteXMeC: A Student eXperience Evaluation Methodology with Cultural Aspects
Previous Article in Special Issue
Assessment and Experimental Validation of Grid-Forming Inverters’ Capability Counteracting Low-Frequency Oscillations
 
 
Font Type:
Arial Georgia Verdana
Font Size:
Aa Aa Aa
Line Spacing:
Column Width:
Background:
Article

Overload Mitigation of Inertial Grid-Forming Inverters Under Frequency Excursions

by
Ander Ordono
1,*,
Alain Sanchez-Ruiz
2,
Markel Zubiaga
3,
Francisco Javier Asensio
1 and
Javier Rodriguez-Gongora
1
1
Department of Electrical Engineering, University of the Basque Country (UPV/EHU), 20600 Eibar, Spain
2
Department of Electronic Technology, University of the Basque Country (UPV/EHU), 01006 Vitoria-Gasteiz, Spain
3
Department of Electronic Technology, University of the Basque Country (UPV/EHU), 20600 Eibar, Spain
*
Author to whom correspondence should be addressed.
Appl. Sci. 2025, 15(10), 5316; https://doi.org/10.3390/app15105316
Submission received: 31 March 2025 / Revised: 6 May 2025 / Accepted: 8 May 2025 / Published: 9 May 2025
(This article belongs to the Special Issue New Trends in Grid-Forming Inverters for the Power Grid)

Abstract

Grid-forming (GFM) inverters play a critical role in stabilizing future power grids. However, their synchronization is inherently coupled with frequency support, which poses a challenge to prevent overloading while maintaining synchronization. While existing literature has proposed strategies to mitigate the overload of GFM inverters during frequency excursions, these typically focus on limiting primary frequency regulation and overlook their inertial contribution, limiting their effectiveness. The present work addresses this gap by analyzing three overload mitigation strategies that dynamically adjust both primary frequency regulation and inertia. The main contribution of this work is formal analysis of the control structures, providing insight into the tuning process, dynamic behavior, and inherent trade-offs. The performance of these strategies is evaluated under grid frequency excursions and oscillations, focusing on their ability to limit overloads and ensure seamless recovery. Simulation results are validated through experimental testing.

1. Introduction

Electrical grids are undergoing a significant transformation, with power electronics becoming more relevant at all stages of operation [1]. Inverter-based renewable energy resources are replacing conventional power plants based on synchronous generators (SGs). Additionally, flexible AC transmission systems (FACTS) are being deployed to increase grid efficiency and stability, while power-electronic loads, such as electric vehicles, are becoming prevalent [2].
Classical grid following (GFL)-operated inverters face stability challenges in power electronics-dominated grids, especially as their short circuit ratio decreases [3]. To address this issue, grid-forming (GFM) inverters have emerged as a promising solution to ensure the stability of future power grids [4]. GFM inverters behave as voltage sources, in a similar way to SGs, offering a range of ancillary services to the grid: primary frequency regulation, inertia contribution, voltage support, oscillation damping, blackstart capability and standalone operation, and more [5].
In GFM inverters, the synchronization with the grid is based on an active power balance rather than on a phase-locked loop (PLL). This synchronization mechanism contributes to the stability under weak grid conditions, but it changes the overloading limitation paradigm [6]. While the synchronization and frequency support are decoupled in GFL inverters, they are tightly coupled in GFM inverters [7]. Hence, preventing overloading GFM inverters while keeping grid synchronization might pose a challenge, and it is crucial to ensure the stability of this type of converters.
Overloading protection and synchronization of GFM inverters are critical in low-voltage ride-through events, where the voltage source behavior of these inverters results in high reactive currents [8]. In fact, this topic was identified as a key challenge in the context of the MIGRATE project [9]. The simplest approach to prevent overcurrent-induced tripping in GFM inverters is to switch to GFL mode [10,11]. However, this strategy compromises grid-forming capability. It also requires resynchronization mechanisms, extending recovery time when switching back to GFM mode [12]. The literature has proposed other fast current limiting strategies to address voltage sags, including current-based saturation, threshold virtual impedance, and/or voltage limiters, each with its own advantages and disadvantages [13,14]. Since these current limiting strategies break the power balance of the GFM active power controller, they must also incorporate transient synchronization enhancing strategies to avoid phase angle windup and ensure post-fault recovery [15].
Despite being less studied in the literature, grid frequency excursions are another type of events that could lead to overload. In transmission systems with predominantly inductive lines, such overloading may be triggered by the active power transient of the GFM inverters. These transients depend on grid frequency deviation and rate of change of frequency (RoCoF), which depend on the system overall active power imbalance and inertia. Additionally, the power transient also depends on the frequency services requested to the GFM inverter, such as inertia and primary frequency regulation, which are currently being standardized by grid operators and organizations [16]. Consequently, frequency excursion-induced overloading must also be considered, particularly when inverters operate near their power limits or under source constraints, such as renewable energy systems operating at maximum power point tracking (MPPT) without reserves [17].
Frequency excursions differ from low voltage ride-through events in two aspects: (1) they involve slower dynamics and (2) the grid voltage amplitude is unaltered, having minor impact on reactive power. Due to these characteristics, the previously described fast current limiting strategies can be avoided, and both overloading and synchronization issues can be handled simultaneously by acting on the active power controller of the GFM inverter [18]. An extended strategy to prevent overloading is to modify the active power setpoint of the power controller. Strategies such as virtual power [19] or power matching [20] limit the primary frequency regulation contribution of droop-based GFM inverters. However, the slow active power dynamics of inertial GFM inverters makes this approach ineffective. To prevent the transient overloading in the latter case, inertial contribution should also be reduced accordingly [21]. GFM inverters which adapt their inertia based on the voltage amplitude at the point of common coupling (PCC) have proven effective during fault scenarios [22,23]. However, in frequency excursions, the voltage amplitude is constant, requiring a different approach: a GFM inverter should exhibit two inertial behaviors, one for normal operation and another for overloading conditions, with the latter being significantly lower than the former.
This work presents a comprehensive analysis and comparison of three overload mitigation strategies that can be implemented within the active power control loop of grid-forming (GFM) inverters to prevent overloading during frequency excursions: (1) parallel PI, (2) angle limiter (AL), and (3) external frequency support (EFS). Although these strategies have been previously applied to GFM inverters without inertia [24,25] and to protect them against fault-induced voltage sags [26,27,28], this study is, to the best of the authors’ knowledge, the first to adapt and systematically evaluate them for inertial GFM inverters operating under frequency disturbances.
To address the risk of overloading during frequency excursions, the three proposed active power control strategies actively reshape the GFM inverter response to frequency events. During such disturbances, these devices tend to exceed their power limits due to combined inertial and primary frequency regulation contributions. Each strategy mitigates this risk through a different mechanism: the parallel PI limits power by overriding frequency support when power thresholds are exceeded; the AL constrains the phase shift between inverter and grid voltages, bounding the active power exchange; and the EFS decouples synchronization from frequency support through a cascaded control structure that saturates the frequency support command during overloading. These strategies ensure safe operation of inertial GFM inverters while preserving synchronization with the grid.
The main contribution of this study lies in the unified framework it provides for analyzing, tuning, and benchmarking the overload mitigation strategies for inertial GFM inverters. The formal analysis characterizes each strategy and its effectiveness to reshape both inertial and primary frequency response. This work also identifies key trade-offs between performance, robustness, and implementation complexity of the proposed strategies.
The rest of the paper is organized as follows. Section 2 introduces the GFM inverter model and explains how frequency regulation and inertia contribute to overloading during frequency excursions. Section 3 presents three overloading mitigation strategies and develops their small-signal models, providing a tuning criteria for each strategy. Section 4 evaluates and compares the strategies under grid frequency excursions and oscillations using a simulation model. Simulation results are then validated experimentally in Section 5. Finally, Section 6 and Section 7 present the discussion and conclusions, respectively.

2. Grid-Forming Inverter Modelling and Overload Mechanisms

This section details the system model used for the study, describes the control architecture of inertial GFM inverters, and identifies the key mechanisms that can cause overloading during frequency disturbances.

2.1. System Description

The simplified diagram of a GFM inverter exchanging power with a grid is shown in Figure 1a. The grid is modelled using its Thévenin equivalent, a voltage source with a series RL element, denoted by the subscript “g”. The inverter is connected to the point of common coupling (PCC) through a LC filter to comply with power quality standards. For the sake of simplicity, the energy source of the inverter is assumed to be an ideal DC source.
The GFM controller consists of two control layers (Figure 1b). The outer layer consists of the power synchronization loop (PSL) and the reactive power control (RPC). The PSL outputs the angular frequency ω r based on active power measurement P and active power and angular frequency setpoints, P * and ω r * . Several PSL structures have been proposed in the literature. We propose a modified virtual synchronous generator that decouples damping and frequency regulation [29]. This controller includes an inertia constant H, a frequency regulation coefficient D, and a damping term k d .
The RPC outputs the voltage amplitude E based on reactive power measurement Q and reactive power and voltage amplitude setpoints, Q * and E * . A typical reactive power droop is shown in the figure. The dynamics of the RPC are excluded from this analysis because its dynamics are much faster and the impact of the frequency excursion on reactive power is minimum in inductive lines [30].
The inner controller of the GFM inverter uses ω r and E to generate the voltage at inverter terminal v c . From the perspective of the PSL, the inner controller modifies the impedance between the inverter and the PCC. A PCC voltage controller cancels out the influence of L c , whereas a virtual admittance could modify its value [31]. This paper assumes no internal controller, so the inverter sees both filter and grid impedance. This assumption simplifies the analysis without impacting the conclusions.

2.2. Overload Mechanisms in GFM Inverters

Under a grid frequency excursion, the GFM inverter modifies the exchanged active power, providing frequency support while synchronizing with the grid. The active power contribution of a GFM inverter can be classified into two different terms: (1) frequency regulation power and (2) inertial power. As described in the following subsections, both terms can lead to overloading the inverter.

2.2.1. Frequency Regulation Power

A GFM inverter with primary frequency regulation capability adjusts its steady-state active power in proportion to grid frequency to contribute to overall power balance. The steady-state power of the GFM inverter is only determined by the static gain of its PSL, and not by its dynamics [32]. For this reason, the primary frequency regulation is determined by the droop equation. For the proposed PSL, the frequency regulation depends on D:
ω r = ω r * + 1 D ( P * P )
Considering that the inverter active power must remain within defined operational limits [ P m i n , P m a x ], the upper and lower angular frequency limits can be obtained from
ω m i n = ω r * + 1 D ( P * P m a x ) ω m a x = ω r * + 1 D ( P * P m i n )
Outside these limits, frequency regulation should be removed to prevent overloading, leading to the non-linear droop curve represented in Figure 2a. This behavior could be achieved through virtual power (VP) strategy, whose structure is shown in Figure 2b. Primary frequency regulation is removed by subtracting the non-linear virtual power P v from P * , expressed in (3). This term represents the active power that would be exchanged with the grid if the frequency range was not limited.
P v = D ( ω m i n ω r ) ω r < ω m i n 0 D ( ω m a x ω r ) ω r > ω m a x
As already mentioned, this approach has proved to be effective to limit active power in GFM inverters with minimum inertia [24,25]. However, overloading could still occur because of the inertial power contribution.

2.2.2. Inertial Power

Inertia counteracts changes in grid frequency by injecting an active power that opposes RoCoF. A common approach to evaluate frequency dynamics and inertial response involves modelling a GFM connected to an inductive grid. In these conditions, the active power and the phase shift between the inverter and the grid, δ , are related in (4), and voltage amplitude and reactive power coupling can be neglected.
The quasi-stationary small-signal model of the system in per unit notation is given in Figure 3, where (4) is linearized to the synchronization constant K t . This constant is inversely proportional to the total inductance when phase shifts are small and frequency and voltage values are close to its rated values (5).
P = E V g ω r ( L c + L g ) sin δ
Δ P = E 0 V g 0 ω r 0 ( L c + L g ) cos δ 0 Δ δ 1 L c + L g K t Δ δ
The active power response under grid frequency perturbations, denoted as ω g , is given in (6). From this transfer function, two main sources of overload are identified:
Δ P Δ ω g = K t ω b ( 2 H s + D ) 2 H s 2 + ( K t ω b k d + D ) s + K t ω b
  • High inertia: The inertial power Δ P H is obtained using the final value theorem of Δ P / Δ ω g under a ramp input when the frequency regulation is disabled (D = 0). This power is proportional to the inertia constant H and the R o C o F (slope of the ramp input):
    Δ P H = lim s 0 s Δ P Δ ω g R o C o F s 2 = 2 H · R o C o F
  • Limited damping: A poorly damped system can result in increased overload due to the power overshoot that occurs during frequency deviations. If the frequency regulation is disabled, the response of the GFM inverter to grid frequency ramps follows the second-order system in (8).
    Δ P s Δ ω g = K t ω b ( 2 H ) 2 H s 2 + K t ω b k d s + K t ω b
    In this second-order system, the damping ξ mainly depends on k d , as shown in (9). The maximum power peak, Δ P H m a x , can be estimated using the overshoot ratio, M p , according to (10). When the system is critically damped ( ξ = 1 ), the maximum power peak is equal to the inertial power Δ P H m a x = Δ P H .
    ξ = 2 H K t ω b 4 H k d
    Δ P H m a x = ( 1 + M p ) Δ P H = 1 + e π ξ 1 ξ 2 Δ P H
Figure 4a relates the grid frequency RoCoF, inertia constant, and the inertial power according to (7). However, in the figure, inertial power is interpreted as overload. This is because, when the inverter operates at its operational limits, the inertial power can be regarded as the active power that surpasses the imposed limits, hence determining the active power overload. As expected from the previous equation, the overloading power increases linearly with H and the RoCoF of the perturbation. Since the overloading can be exacerbated due to the poor damping, the overload obtained from Figure 4a needs to be scaled to account for the overshoot, according to (10). The scaling factor, 1 + M p , for different ξ values is plotted in Figure 4b. A poorly damped system can increase the active power overloading up to 50%. For systems with damping above 0.7, the overshoot can be neglected.
Figure 4 serves as a tool to size the overloading capability of a GFM inverter, considering different inertia constants and allowed grid frequency RoCoFs. A GFM inverter with high inertia should be oversized to handle a peak active power when operating near its operational limits. Alternatively, an overload mitigation strategy can be proposed to ensure safe operational limits by reducing the inertia and ensuring the proper damping of the system.
A trivial solution to avoid overload due to inertial power is to remove the inertia of the GFM inverter, making H = 0 . However, this would increase the dynamics of the PSL, potentially leading to harmful interactions with electromagnetic transients, synchronous generators, mechanical modes, or internal controllers. Hence, a minimum inertial contribution is usually requested. Overload strategies should be tuned to ensure that the equivalent inertia during overload mitigation is not lower than this minimum threshold.
In this work, the minimum inertia contribution is determined by the maximum natural frequency, ω n , of the closed loop poles of the Δ P / Δ ω g transfer function. A maximum limit of 5 Hz is recommended according to [33]. Under these conditions, the minimum inertia constant is estimated according to (11). For a K t = 4 , this constant should be at least 0.64 s. The minimum inertia and the damping of the system during overloading determine the maximum peak power that the GFM inverter experiences under certain RoCoF with an overload mitigation strategy. This allows designers to either (1) adjust the active power thresholds to keep the total power within rated limits or (2) oversize the inverter to accommodate the transient demand.
H m i n = K t ω b 2 ω n 2

3. Overloading Mitigation Strategies

As discussed in the previous section, removing the primary frequency regulation power of an inertial GFM inverter is not enough to prevent overload during frequency excursion. The inertial contribution must also be reduced to protect the inverter. From the perspective of active power controller, three different approaches are proposed: (1) parallel PI, (2) angle limiter, and (3) external frequency support.
This section describes the structure of these overload mitigation schemes and analyzes their behavior under overloading conditions. The method in which operational limits [ P m i n , P m a x ] are calculated is out of the scope of this work. In this context, various methods have been proposed in the literature to obtain operational limits using converter voltage and current constraints [34].

3.1. Parallel PI

3.1.1. Strategy Description

This strategy introduces PI regulators in parallel with the PSL to directly control inverter frequency when active power exceeds operational limits. By overriding the PSL output during overload conditions, it effectively disables both its frequency regulation and inertial contributions, ensuring that the inverter power remains within safe bounds. Under overload conditions, the inertial response is governed by the PI dynamics.
The control diagram is shown in Figure 5. The PI regulators output, ω v , remains saturated to zero while the active power is inside operational limits. Once these limits are exceeded, the PI adjusts the angular frequency to track power limits.

3.1.2. Small-Signal Analysis

Once the overload mitigation is active, the PI controller operates in parallel to the PSL. As the PI has faster dynamics than the PSL (lower inertia), the PSL model can be simplified to include only its high-frequency dynamics. These dynamics are determined by the damping term according to
lim s 0 k d s + 1 2 H s + D = k d 2 H
The small-signal model is given in Figure 6. The damping term of the PSL is added to the proportional gain of the PI. The overall power response of the PI under grid frequency perturbations is determined by
Δ P Δ ω g = K t ω b s s 2 + K t ω b ( k p P I + k d 2 H ) s + K t ω b k i P I
Following the same analysis as in Section 2.2.2, it can be found that the integral gain k i P I determines the inertial contribution, whereas k p P I governs the damping of the system during overload conditions:
Δ P H = lim s 0 s Δ P Δ ω g R o C o F s 2 = 1 k i P I · R o C o F
ξ = K t ω b 2 H k p P I + k d 4 H k i P I

3.2. Angle Limiter

3.2.1. Strategy Description

The angle limiter (AL) strategy prevents inverter overloading by directly limiting the phase angle δ between the internal voltage reference E and the PCC voltage. Because active power in inductive systems is proportional to this phase shift (16), constraining δ effectively limits the active power exchange.
The simplified diagram is shown in Figure 7, where an auxiliary PLL is required to estimate the phase of the PCC voltage. When the measured δ exceeds predefined thresholds, the controller saturates the angle reference. This strategy inherently disables frequency regulation, whereas the inertia is determined by the dynamics of the auxiliary PLL.
P = E V p c c ω r L c sin δ
Following the same procedure as in (5), the synchronization constant K c can be related to the inverse of the filter inductance L c . The resulting maximum and minimum phase shifts can be approximated as follows:
δ m a x P m a x / K c δ m i n P m i n / K c
As L c is small, typically ranging [0.05, 0.15] pu, the maximum and minimum phase shifts are constrained to just a few degrees [35]. For instance, the previous inductance range requires a phase shift ranging from 2.9 to 8.7 degrees under P = 1 pu. As a result, the AL strategy is highly sensitive to delays, such as the one introduced by control discretization, measurements, or PWM. These delays have to be compensated to ensure a proper power limitation. Authors propose to add a phase compensation term, θ d , to the PLL angle according to (18). This angle (in radians) depends on the number of samples to compensate n, the estimated angular frequency ω p l l , and the controller sampling period T s .
θ d = ω b ω p l l n T s
Additionally, when the AL strategy is enabled, the PSL may experience windup issues as it is no longer part of the active control loop. To address this, an anti-windup mechanism is implemented (see blue box in Figure 7). The anti-windup is based on a modified virtual power strategy, which adjusts P * based on the power which is not injected by the inverter. This power is calculated according to the difference between the saturated and unsaturated δ .

3.2.2. Small-Signal Analysis

A simple approach to evaluate the performance of AL is to consider that PLL dynamics are faster than PSL, and it is out of the loop. The small-signal model in these conditions is given in Figure 8.
Under these conditions, the power response is mainly dominated by the PLL dynamics, G P L L . The synchronous reference frame-based PLL (SRF-PLL), represented in Figure 9, is the most common approach, and it can be linearized as a second-order system for rated operating conditions (19) [36]. In quasi-stationary conditions, the PCC angle θ p c c is given by (20). This angle depends on the grid angle θ g , the active power and the synchronization constant between PCC and grid, K g  [37]. K g 1 / L g following the same assumptions as in (5).
G p l l = θ p l l Δ θ p c c = ω b k p P L L s + ω b k i P L L s 2 + ω b k p P L L s + ω b k i P L L
Δ θ p c c = Δ θ g + Δ P K g
The active power response of the system with AL enabled, under a grid frequency perturbation, is given by
Δ P Δ ω g = K t ω b s s 2 + ω b 1 K t K g k p P L L s + ω b 1 K t K g k i P L L
The PI parameters of the SRF-PLL are critical in shaping the overload mitigation behavior of the inverter. Again, the integral gain k i P L L determines the inertial power, whereas the damping is determined by k p P L L . However, active power response is also affected by the K t / K g factor, which reflects the ratio between the grid and total series inductance:
Δ P H = lim s 0 s Δ P Δ ω g R o C o F s 2 = 1 L c k i P L L · R o C o F
ξ = 1 2 ω b k i P L L L c L c + L g k p P L L
A small filter inductance L c leads to higher inertial power. Limiting inertial power under these conditions requires a faster PLL (high integral gain). Moreover, a system with L c < L g , e.g, a weak grid, reduces the damping capability. Increasing the proportional gain of the PLL helps to improve system damping. Hence, the performance of the AL is strongly influenced by the tuning constraints of the PLL. A high-bandwidth PLL can increase the system sensitivity to noise and make it more prone to stability issues, especially in weak grids.

3.3. External Frequency Support

The last approach to limit overloading in GFM inverters is to decouple synchronization duties and frequency support, similar to GFL inverters [38]. Based on the active power controller proposed in [39], the EFS introduces a flexible control structure that decouples primary frequency regulation, inertia, and synchronization.
The proposed controller is shown in Figure 10. This approach is based on a cascaded control structure for the active power controller, composed of an inner and an outer loop. The inner controller is a power regulator, based on a PI, which provides power-based synchronization with the grid and ensures GFM behavior. The outer controller provides inertia and primary frequency regulation by modifying the power setpoint of the inner controller. In the event of a frequency excursion, if the active power reaches its limits, the outer loop power setpoint, P E F S , is saturated, thereby limiting frequency support. During overloading scenarios, the inertial contribution is only determined by the dynamics of the inner controller, without disrupting the synchronization.

3.3.1. Inner Power Controller

The inner power regulator provides power-based synchronization with the grid. It must also have a high bandwidth to track the setpoints provided by the outer controller.
The full small-signal model of the EFS is shown in Figure 11. Neglecting the outer loop, the active power response to power setpoints and grid frequency perturbations are given by Equations (24) and (25), in. It should be noted that the PI controller is implemented without a proportional action over the power setpoint. This eliminates the zero in Δ P / Δ P * dynamics, resulting in second-order system dynamics.
Δ P Δ P * = ω b K t k i E P S s 2 + ω b K t k p E P S s + ω b K t k i E P S
Δ P Δ ω g = ω b K t s s 2 + ω b K t k p E P S s + ω b K t k i E P S
The tuning method for this controller is analogous to that of the parallel PI strategy. The power controller is tuned to have a fast and damped active power setpoint response, with a bandwidth limited to 5 Hz as described in Section 2.2.2. During overloading, the external loop is saturated and the inertial power is determined by PI dynamics (26). The inertia of the inner controller, H i , can be defined as 1 / ( 2 k i E F S ) .
Δ P H = lim s 0 s Δ P Δ ω g R o C o F s 2 = 1 k i E F S · R o C o F

3.3.2. Outer Frequency Support Loop

The outer loop is a modified version of a SRF-PLL structure which obtains the power setpoint for primary frequency regulation and inertial provision. It is based on the existing correspondence between the structure of a SRF-PLL and the swing equation [40,41].
The modified structure of the SRF-PLL is remarked in the orange box in Figure 10. The q-axis PCC voltage v p c c q is multiplied by the GFM internal voltage E and the inverse of L c . Given that v p c c q V p c c sin δ , this results in P E F S , which represents the power to be exchanged between the inverter and the PCC (16). P E F S is then used as the power feedback of the PSL proposed in Section 2, which replaces the classical PI controller. The angular position output of the PSL is then fed back to calculate v p c c q . Unlike a SRF-PLL, which outputs the angular position, the proposed strategy outputs P E F S , which is used as the power setpoint for the inner controller. P E F S is the active power that flows between a GFM inverter with the defined PSL and a stiff PCC voltage.
The small-signal model of the outer frequency support loop is shown in Figure 11. The power setpoint P E F S response to PCC frequency perturbations is given in (27). Voltage and frequency are assumed to operate close to its rated values. This equation has a close correspondence with the power response of the GFM inverter under grid frequency perturbations described in (6). The main difference relies on the synchronization constant. For (27), the synchronization constant is the one between the inverter and the PCC, K c , whereas (6) depends on the overall synchronization constant K t .
Δ P * Δ ω p c c = K c ω b ( 2 H E F S s + D ) 2 H E F S s 2 + ( D + k d E F S ω b K c ) s + ω b K c
As long as the inertia of the external frequency support loop is much higher than the inertial response provided by the inner power controller, its tuning procedure is equivalent to a conventional PSL. However, it should be noted that the overall inertial contribution of the EFS strategy H t is the sum of the inertia of inner and outer controllers. Hence, for an overall inertia, the external controller inertia constant is calculated as
H E F S = H t H i

4. Performance Evaluation of Overload Mitigation Strategies

This section compares the three control strategies in simulation, focusing on their ability to reduce overload, ensure system stability, and return to normal operation.
The simulation model is based on Figure 1a, using an averaged power electronics model. Its per-unit parameters are summarized in Table 1. These parameters are chosen to replicate the experimental setup used in Section 5.

4.1. Controller Tuning Criteria

The parameters of the PSL are selected to provide a frequency regulation of 5% (D = 20) with an inertia of 5 s during normal operation. The damping term is set to achieve a damped response, with a ξ = 1 / 2 . The operational limits of the active power are set to [−1, 1] pu and are assumed either constant or slowly varying. Table 2 summarizes the parameters for each PSL configuration and overload mitigation strategy. The active power controllers are tuned based on the small-signal models developed along Section 3.
For the three controllers, the equivalent inertia during overload mitigation is set to the minimum value defined in Section 2.2.2 in order to prevent adverse interactions. This value is 0.64 s for the defined grid conditions ( K t = 4 ). In parallel PI, this is achieved by directly tuning its integral gain according to (14). In AL, inertia is indirectly shaped by the integral gain of the PLL dynamics and the filter inductance (22). Finally, in EFS, the integral gain of the internal PI is adjusted to ensure the minimum inertia (26), while the remaining 4.36 s of inertia are supplied by the external controller (28).
The proportional gains of the controllers are adjusted according to the damping needs of the system. In parallel PI, it is tuned to keep the damping level of normal operation (15). In AL, the proportional gain of the PLL is tuned to yield a damping ratio ξ = 1 / 2 in the closed-loop poles of the PLL dynamics, described in (19). In these conditions, the PLL bandwidth is close to 23 Hz. The power response during AL overload mitigation results in lower damping (0.32) due to the high L g / L c ratio, determined by (23). To further damp the active power response, the proportional gain should be doubled, increasing the PLL bandwidth to 35 Hz. The bandwidth of the PLL should be kept as low as possible to ensure stability in weak grids and reduce its sensitivity to voltage noise. Additionally, the AL requires a phase compensation of n = 1.5 samples. This compensation is related to the discretization of the controller and the effect of the PWM [42].
In the EFS strategy, the damping of both inner and outer controllers is set to ξ = 1 / 2 , adjusting both k d in the outer controller and k p in the inner controller. Although the EFS inertia is significantly higher than that of the inner power controller, its cascaded control structure introduces potential coupling between the two loops. While each controller is tuned independently based on the small-signal models from Section 3.3, this interaction causes deviations from the expected closed-loop dynamics. Figure 12a compares the Δ P / Δ ω g bode plot of the PSL without overloading mitigation and EFS strategy (see Appendix A for the transfer function). The damping of the dominant poles during normal operation is reduced, as illustrated in Figure 12b. Additionally, the natural frequency shifts to approximately 1.2 Hz.
Increasing the bandwidth of the inner controller mitigates loop interaction and brings the response closer to that of a conventional GFM structure during normal operation. However, this also reduces the inertial contribution during overloading conditions, falling below the minimum value discussed in Section 2.2.2. Therefore, increasing the dynamics of the inner controller is not considered in this work.

4.2. Grid RoCoF Disturbance Test

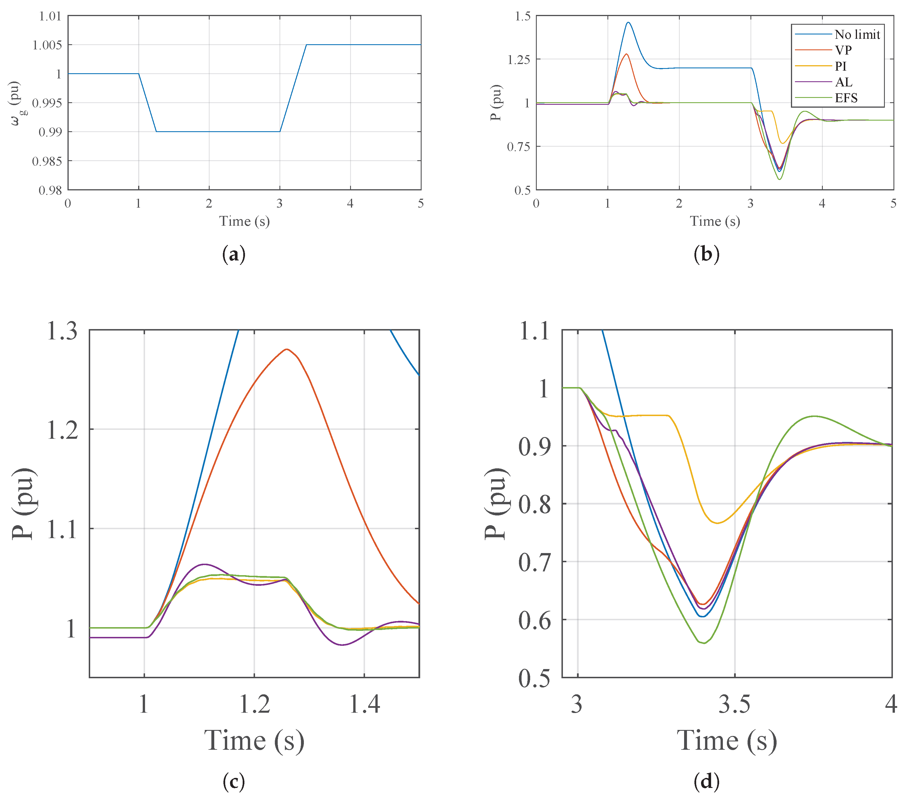
To evaluate the overload mitigation and recovery capability of these strategies, the GFM inverter is tested against frequency excursions.
Initially, the GFM inverter is operating at its rated power (1 pu), and both the grid voltage and frequency are at their rated values. At t = 1 s, the grid frequency drops from 50 to 49.5 Hz at a RoCoF of 2 Hz/s. Under this frequency excursion, the GFM inverter must increase its active power output, activating the overload mitigation strategy. At t = 3 s, the grid frequency is increased from 49.5 Hz to 50.25 Hz using the same RoCoF. As grid frequency increases, the GFM inverter returns to normal operation, exiting the overload mitigation strategy in a fast and seamless manner.
The grid frequency profile is shown in Figure 13a, whereas the active power response of the different overload mitigation strategies is shown in Figure 13b. For comparison, the responses of a GFM with VP strategy and without overload mitigation strategy are included.

4.2.1. Overload Mitigation Performance

In the proposed testing scenario, the lack of an overload mitigation strategy results in a 50% overload during the first frequency excursion. The VP strategy reduces the overload by half, to 25%. This is achieved by disabling the primary frequency regulation during overload conditions. The lack of frequency regulation power can be identified in the time range [2, 3] s, where the active power is kept to 1 pu despite the frequency deviation. Removing the frequency regulation might not be enough as the inertia of the GFM inverters increases.
Conversely, the three overload mitigation strategies can further reduce inverter overloading by decreasing inertial contribution. The power response of these strategies is shown in detail in Figure 13c. Parallel PI and EFS show nearly identical responses, as both overloading mitigation strategies are based on a PI controller which is tuned following the same criterion. Both strategies show a damped response, without overshoot, and a maximum overload of 0.05 pu. This value corresponds to the expected inertial power for a GFM inverter with an equivalent inertia of 0.64 s at a RoCoF of 2 Hz/s, according to (7). The AL also shows a good overloading mitigation capability. However, its underdamped response slightly increases the overload to around 0.07 pu due to the overshoot. The achieved overshoot matches the analytical results of a system with a damping of ξ = 0.32 , according to (10).
The slight difference in the response of the parallel PI and the EFS is due to the simplifications that are carried out in the parallel PI. In the small-signal analysis of this strategy, the PSL dynamics are reduced to its high frequency dynamics in order to simplify its transfer function. The small difference in the response of both strategies validates this approach.
On the other hand, the AL shows a steady-state power limitation of around 0.01 pu. This error is observable when t < 1 s, where the active power is limited to 0.99 instead of 1 pu. The reason for this error is that minimum and maximum angles are originally derived under the assumption of a purely inductive filter (17). In practice, the filter has a resistive term R c that slightly modifies this angle. For high L c / R c ratios, (4) can be modified to consider the impact of the resistance according to [43].

4.2.2. Normal Operation Recovery

When the grid frequency increases and inverters return to normal operation, the overload mitigation strategies exhibit different recovery behaviors, as detailed in Figure 13d.
In the VP strategy, virtual power suppresses the primary frequency regulation when the frequency drops below ω m i n (1 pu). Above this threshold, the virtual power term is zero, recovering the primary frequency regulation capability. This transition is marked by an active power transient at t = 3.25 s.
In the parallel PI strategy, the PI outputs a ω v term that disables the frequency regulation of the GFM inverter. When the grid frequency increases, its output moves towards zero until saturation region is reached. During this process, the dynamics of the system are still determined by the PI controller and the inertial power is limited for the time range [3, 3.25] s. Once the output of the PI saturates, control transitions back to PSL dynamics. The slow recovery process of the parallel PI leads to a reduced inertial power response compared to a GFM inverter without overload mitigation.
AL and EFS also show a reduced inertial response during the first periods of the transient, but their recovery process is considerably faster than the parallel PI. The main reason for the fast recovery is that these strategies rely on a saturation block at the output of the controller, without including the additional dynamics of a parallel PI during the recovery. EFS shows the fastest recovery time, as the dynamics of the outer controller (saturated during overload) depend on a part of the overall inertia, for this case, 4.36 s over the overall 5 s inertia. However, as has already been discussed, EFS presents a more oscillatory behavior during normal operation. The lower damping can be identified in the higher overshoot and higher settling time of the power transient.

4.3. Grid Frequency Oscillation Test

Another scenario in which an overload mitigation strategy is relevant is during frequency oscillations. These events require fast overload limitation and recovery process to protect the inverter while supporting the recovery of the grid.
In this test, the inverter operates at its rated power of 1 pu, and an oscillation of 1 Hz is introduced to the grid frequency. The amplitude of this oscillation is 0.25 Hz, as shown in Figure 14a. The active power response of the previous strategies is given in Figure 14b.
The parallel PI has a proper overload mitigation capability, but its slow recovery reduces the active power contribution during the negative half-cycle of the frequency oscillation. Hence, the contribution of a GFM with a parallel PI strategy to oscillation damping is considerably reduced.
The oscillation damping capability issue is solved by the EFS and AL strategies. In the AL strategy, this comes at the cost of a higher overload during the positive half cycle. In the EFS strategy, the overload capability of the parallel PI is kept, at the cost of a decreased active power during the negative half cycle.

5. Experimental Validation

The experimental tests aim to replicate the simulation scenarios under controlled laboratory conditions, verifying that the proposed mitigation strategies behave as expected in hardware.
The overload mitigation schemes are validated using the experimental test bench illustrated in Figure 15. The setup consists of two power converters connected in back-to-back topology. The first converter operates as a single-phase rectifier, generating a regulated 320 V DC bus from the 110 V AC utility grid. The second stage is a three-phase inverter, used to test the GFM control algorithms. Both converters are built using INF-50 hardware from Dutt Electronics.
The GFM inverter is interfaced with a 200 V three-phase AC grid, which is emulated using a bidirectional 320-AMX bidirectional power supply from Pacific Power. An LC filer is used to connect the inverter to the PCC, with damping resistors placed in series with the filter capacitors to damp resonance effects. Additional inductors are included to emulate grid impedance. All passive components and sensing devices are off-the-shelf components.
The DC bus voltage control of the rectifier and the GFM strategy of the inverter are executed on a OP4512 real-time simulator from OPAL-RT. This platform also regulates the Pacific AMX-320 voltage via analog outputs and features a built-in 10 kHz data acquisition task for capturing sensor measurements and control signals.
The experimental system replicates the parameters used in the simulation (Table 1 and Table 2) to ensure consistency between simulations and experiments.
The frequency excursion test described in Section 4.2 is repeated in the experimental setup for the VP strategy and the proposed overload mitigation strategies, confirming the theoretical findings previously presented. The experimental results are displayed in Figure 16, Figure 17, Figure 18 and Figure 19. These figures include measured active power waveforms and key internal control signals that contribute to validate the overload mitigation strategies. These control signals are P v in VP strategy, ω v in parallel PI strategy, δ in AL strategy, and P E F S in EFS strategy. For comparison, experimental and simulation data are plotted together.
Figure 16 confirms that the VP strategy effectively removes the frequency regulation without altering the inertial power, resulting in active power exceeding the imposed limits by up to 0.25 pu. During the first frequency excursion (t = 1 s), the P v signal adjusts the power setpoint of the PSL to account for the portion of frequency regulation power that cannot be delivered. As the grid frequency deviates a maximum value of 0.01 pu from allowable range, P v reaches 0.2 pu in accordance with (3).
In Figure 17, the parallel PI strategy limits the overload around the theoretical 0.05 pu already estimated in the previous section. The ω v signal confirms the activation of the parallel PI during the first frequency excursion, adding a negative frequency component to the output of the PSL. The evolution of ω v during the second frequency excursion (t = 3 s) also illustrates the slow recovery process of this strategy. The active power dynamics of the GFM inverter are determined by the parallel PI until ω v , which is the output of the PI, settles to zero. This signal requires around 250 ms to reach this value and recover normal operation.
The experimental validation of AL strategy reveals practical limitations inherent to its design. Since this method relies on an open-loop active power control mechanism based on phase shift limitation, precise tuning is critical to mitigate the effects of unmodelled delays and parameter uncertainties, ensuring effective power limitation. In this context, the phase delay and the filter inductance value need to be accurately identified. A proper phase delay compensation compensates for signal delays, reducing the error in the calculation of the real phase shift of the system (18). On the other hand, the exact filter inductance value is required to properly estimate the maximum phase shifts which determine power limits (17). The following procedure is used to estimate these values:
  • Delay compensation: To estimate n, δ is measured with P = 0 pu. Given a known grid frequency, n can be calculated using (18). In the experimental setup, a delay of three samples has been identified.
  • Filter inductance: To estimate L c , δ values are measured under different P operating conditions. A linear regression of these P- δ points can be used to obtain L c from (5). L c is estimated in 0.045 pu, a 10% smaller than the rated value provided by the manufacturer.
Figure 18 compares two experimental tests for the AL strategy, labelled as “Experimental”and “Experimental (adjusted)”. Both tests use the same delay compensation. However, the “Experimental” case is tuned according to the manufacturer inductance value, whereas the “Experimental (adjusted)” case incorporates the estimated inductance. The 10% error in the L c value produces a noticeable deviation in the δ signal, which affects the accuracy of power limitation. In the first case, overload reaches 0.15 pu, twice the expected theoretical value. Additionally, a steady-state error of approximately 0.1 pu appears after the first frequency transient. These issues are effectively mitigated by using the proper inductance value, demonstrating the importance of fine-tuning AL strategies in real applications.
Finally, the EFS strategy, shown in Figure 19, offers a consistent match between simulation and experimental results, with the expected overload limited to 0.05 pu. The P E F S signal represents the frequency support power setpoint from the outer loop, which is limited to 1 pu to prevent overload. Although this power setpoint is saturated, the system retains some inertial response due to the dynamics of the inner PI controller.
Overall, the experimental results closely match simulations and demonstrate the practical viability of each strategy. They also highlight the practical considerations for AL strategy. With both simulation and experimental results in hand, a comparative discussion is now presented to summarize the strengths and limitations of each strategy.

6. Discussion

This study presents a comprehensive analysis and comparison of three overload mitigation strategies for inertial GFM inverters under grid frequency excursions. The structure, tuning, and performance of these strategies are evaluated both in simulation and in experimental setup. Their key characteristics are summarized in Table 3. All three strategies eliminate primary frequency regulation and reduce inertial power while maintaining synchronization with the grid. However, each strategy has specific advantages and drawbacks.
The parallel PI strategy is a simple approach to limit active power and can be applied regardless of its inner controller structure. However, its recovery from overload is the slowest due to the dynamics of the PI integrator, limiting the performance during frequency oscillations and fast transients.
The AL strategy provides both overload mitigation and fast recovery. However, its response becomes undamped as the grid weakens. While increasing the proportional action of the PLL can improve damping, it increases sensitivity to noise and compromises stability in weak grids. Additionally, AL is sensitive to control delays and system uncertainties due to its open-loop design and the small phase shifts that must be limited. This strategy also relies on a voltage drop across the inverter and PCC terminals, requiring a virtual impedance or physical impedance between them.
The EFS strategy provides an overload mitigation capability similar to the parallel PI while solving the uncertainty sensitivity and the undamped response of AL. It also offers the fastest recovery among the studied strategies. However, its main drawback is the reduced damping during normal operation due to the cascaded controller structure. Decoupling both controllers requires reducing the inertia during overloading, which might not be practical in all situations. Like the AL strategy, it also depends on a voltage drop to operate.
Finally, it should be noted that while the proposed strategies significantly reduce the inertial contribution during frequency excursions, they do not eliminate it entirely. As a result, some power overloading may still occur. However, the small-signal models presented in this work offer an analytical method to estimate the maximum expected overload based on the minimum inertia, system damping, and the RoCoF of the disturbance. These expressions enable designers to either adjust the active power threshold to remain within safe operating limits or oversize the inverter accordingly to accommodate transient conditions.

7. Conclusions and Future Work

This study analyzes and compares three strategies for overload mitigation in inertial GFM inverters under frequency excursions. The findings confirm that while all strategies can reduce the active power overload by adjusting inertial contribution and primary frequency regulation, each strategy presents specific limitations. The parallel PI strategy is simple but has slower recovery, making it less effective in fast grid transients. The AL strategy offers faster recovery but is sensitive to system uncertainties. Finally, the EFS strategy has greater robustness to uncertainties at the cost of reduced damping during normal operation.
Several technical challenges remain to be addressed to enhance the performance of GFM inverters under grid frequency excursions. One of the main challenges is managing the inertia, as GFM inverters must balance reducing inertial contribution for overload mitigation while ensuring sufficient inertia to maintain grid stability. Determining the minimum required inertia to avoid instability while optimizing power output poses a significant challenge. Damping performance is another critical issue, especially in cascaded control structures, where interactions between controllers can reduce damping and affect inverter stability. The sensitivity to weak grids when relying on auxiliary PLLs also needs further research.
Future research lines should focus on evaluating the interoperability of multiple GFM inverters with different overload mitigation strategies within complex power systems. This includes assessing their performance in large-scale grids with dynamic operating conditions. Another relevant topic is the coordination of overload mitigation strategies and fast protection algorithms, such as those designed for LVRT events, to avoid adverse interactions and ensure reliable operation during faults. Additionally, further experimental validation under realistic grid conditions is needed to assess the effectiveness of the proposed strategies, especially under changing grid conditions.

Author Contributions

Conceptualization, A.O.; methodology, A.O., A.S.-R. and M.Z.; software, A.O. and J.R.-G.; validation, A.O. and J.R.-G.; formal analysis, A.O., A.S.-R., M.Z. and F.J.A.; investigation, A.O., A.S.-R., M.Z. and F.J.A.; resources, A.O. and F.J.A.; data curation, A.O.; writing—original draft preparation, A.O., A.S.-R., M.Z. and F.J.A.; writing—review and editing, A.O., A.S.-R., M.Z., F.J.A. and J.R.-G. All authors have read and agreed to the published version of the manuscript.

Funding

This research was funded by the Basque Government (GISEL research group IT1522-22).

Institutional Review Board Statement

Not applicable.

Informed Consent Statement

Not applicable.

Data Availability Statement

The raw data supporting the conclusions of this article will be made available by the authors on request.

Conflicts of Interest

The authors declare no conflicts of interest.

Appendix A. EFS Overall Small-Signal Response

The overall transfer function of the EFS strategy during normal operation can be obtained from Figure 11 as
Δ P Δ ω g = K g K t G θ ( G θ G E F S G P I * 1 ) K g + K g K t G θ G P I K t G θ G E F S G P I *
where G E F S is the transfer function defined in (27) and
G θ = ω b s G P I = k p E F S + k i E F S s G P I * = k i s

References

  1. Monteiro, V.; Afonso, J.L. The Future of Electrical Power Grids: A Direction Rooted in Power Electronics. Energies 2023, 16, 4929. [Google Scholar] [CrossRef]
  2. Inci, M.; Çelik, O.; Lashab, A.; Bayindir, K.C.; Vasquez, J.C.; Guerrero, J.M. Power System Integration of Electric Vehicles: A Review on Impacts and Contributions to the Smart Grid. Appl. Sci. 2024, 14, 2246. [Google Scholar] [CrossRef]
  3. Ebrahimzadeh, E.; Blaabjerg, F.; Lund, T.; Godsk Nielsen, J.; Carne Kjær, P. Modelling and Stability Analysis of Wind Power Plants Connected to Weak Grids. Appl. Sci. 2019, 9, 4695. [Google Scholar] [CrossRef]
  4. Khan, S.A.; Wang, M.; Su, W.; Liu, G.; Chaturvedi, S. Grid-Forming Converters for Stability Issues in Future Power Grids. Energies 2022, 15, 4937. [Google Scholar] [CrossRef]
  5. Mirmohammad, M.; Azad, S.P. Control and Stability of Grid-Forming Inverters: A Comprehensive Review. Energies 2024, 17, 3186. [Google Scholar] [CrossRef]
  6. Rosso, R.; Wang, X.; Liserre, M.; Lu, X.; Engelken, S. Grid-Forming Converters: Control Approaches, Grid-Synchronization, and Future Trends—A Review. IEEE Open J. Ind. Appl. 2021, 2, 93–109. [Google Scholar] [CrossRef]
  7. Mohammed, N.; Udawatte, H.; Zhou, W.; Hill, D.J.; Bahrani, B. Grid-Forming Inverters: A Comparative Study of Different Control Strategies in Frequency and Time Domains. IEEE Open J. Ind. Electron. Soc. 2024, 5, 185–214. [Google Scholar] [CrossRef]
  8. Fan, B.; Liu, T.; Zhao, F.; Wu, H.; Wang, X. A Review of Current-Limiting Control of Grid-Forming Inverters Under Symmetrical Disturbances. IEEE Open J. Power Electron. 2022, 3, 955–969. [Google Scholar] [CrossRef]
  9. Shakerighadi, B.; Johansson, N.; Eriksson, R.; Mitra, P.; Bolzoni, A.; Clark, A.; Nee, H.P. An overview of stability challenges for power-electronic-dominated power systems: The grid-forming approach. IET Gener. Transm. Distrib. 2023, 17, 284–306. [Google Scholar] [CrossRef]
  10. Shi, K.; Song, W.; Xu, P.; Liu, R.; Fang, Z.; Ji, Y. Low-Voltage Ride-Through Control Strategy for a Virtual Synchronous Generator Based on Smooth Switching. IEEE Access 2018, 6, 2703–2711. [Google Scholar] [CrossRef]
  11. Gao, X.; Zhou, D.; Anvari-Moghaddam, A.; Blaabjerg, F. Seamless Transitions Between Grid-Following and Grid-Forming Control: A Novel Switching Method. In Proceedings of the 2023 11th International Conference on Power Electronics and ECCE Asia (ICPE 2023—ECCE Asia), Jeju Island, Republic of Korea, 22–25 May 2023; pp. 1154–1160. [Google Scholar] [CrossRef]
  12. Sharma, D.; Sadeque, F.; Mirafzal, B. Synchronization of Inverters in Grid Forming Mode. IEEE Access 2022, 10, 41341–41351. [Google Scholar] [CrossRef]
  13. Baeckeland, N.; Chatterjee, D.; Lu, M.; Johnson, B.; Seo, G.S. Overcurrent Limiting in Grid-Forming Inverters: A Comprehensive Review and Discussion. IEEE Trans. Power Electron. 2024, 39, 14493–14517. [Google Scholar] [CrossRef]
  14. Umar, M.; Gohari Nazari, A.; Shadmand, M.; Abu-Rub, H. Resilient Operation of Grid-Forming Inverters Under Large-Scale Disturbances in Low Inertia Power System. IEEE Open J. Ind. Electron. Soc. 2024, 5, 1286–1299. [Google Scholar] [CrossRef]
  15. Chen, X.; Si, W.; Yu, Q.; Fang, J. Transient Stability Analysis and Enhancement of Grid-Forming Converters: A Comprehensive Review. Electronics 2025, 14, 645. [Google Scholar] [CrossRef]
  16. Ghimire, S.; Guerreiro, G.M.G.; Vatta Kkuni, K.; Guest, E.D.; Jensen, K.H.; Yang, G.; Wang, X. Functional specifications and testing requirements for grid-forming offshore wind power plants. Wind Energy Sci. 2025, 10, 1–15. [Google Scholar] [CrossRef]
  17. Pawar, B.; Batzelis, E.I.; Chakrabarti, S.; Pal, B.C. Grid-Forming Control for Solar PV Systems with Power Reserves. IEEE Trans. Sustain. Energy 2021, 12, 1947–1959. [Google Scholar] [CrossRef]
  18. Zhang, H.; Xiang, W.; Lin, W.; Wen, J. Grid Forming Converters in Renewable Energy Sources Dominated Power Grid: Control Strategy, Stability, Application, and Challenges. J. Mod. Power Syst. Clean Energy 2021, 9, 1239–1256. [Google Scholar] [CrossRef]
  19. Collados-Rodriguez, C.; Westerman Spier, D.; Cheah-Mane, M.; Prieto-Araujo, E.; Gomis-Bellmunt, O. Preventing loss of synchronism of droop-based grid-forming converters during frequency excursions. Int. J. Electr. Power Energy Syst. 2023, 148, 108989. [Google Scholar] [CrossRef]
  20. Zhang, H.; Xiong, L.; Gao, Z.; Yu, S.; Zhang, X. Power matching based current limitation method for grid forming converter under large disturbances. Int. J. Electr. Power Energy Syst. 2024, 157, 109841. [Google Scholar] [CrossRef]
  21. Wu, H.; Wang, X. Control of Grid-Forming VSCs: A Perspective of Adaptive Fast/Slow Internal Voltage Source. IEEE Trans. Power Electron. 2023, 38, 10151–10169. [Google Scholar] [CrossRef]
  22. Qoria, T.; Rokrok, E.; Bruyere, A.; François, B.; Guillaud, X. A PLL-Free Grid-Forming Control with Decoupled Functionalities for High-Power Transmission System Applications. IEEE Access 2020, 8, 197363–197378. [Google Scholar] [CrossRef]
  23. Gajare, P.M.; Miranbeigi, M.; Benzaquen, J.; Divan, D. On the Fault-Ride-Through Dynamics of Grid-Forming Converters—A Multi-dimensional Adaptive Inertia Approach. In Proceedings of the 2023 IEEE Applied Power Electronics Conference and Exposition (APEC), Orlando, FL, USA, 19–23 March 2023; pp. 1489–1495. [Google Scholar] [CrossRef]
  24. Lasseter, R.H.; Chen, Z.; Pattabiraman, D. Grid-Forming Inverters: A Critical Asset for the Power Grid. IEEE J. Emerg. Sel. Top. Power Electron. 2020, 8, 925–935. [Google Scholar] [CrossRef]
  25. Du, W.; Lasseter, R.H. Overload mitigation control of droop-controlled grid-forming sources in a microgrid. In Proceedings of the 2017 IEEE Power & Energy Society General Meeting, Chicago, IL, USA, 16–20 July 2017; pp. 1–5. [Google Scholar] [CrossRef]
  26. Huang, L.; Wu, C.; Zhou, D.; Blaabjerg, F. A Power-Angle-Based Adaptive Overcurrent Protection Scheme for Grid-Forming Inverter Under Large Grid Disturbances. IEEE Trans. Ind. Electron. 2023, 70, 5927–5936. [Google Scholar] [CrossRef]
  27. Rodrigues, J.; Moreira, C.; Lopes, J.P. Fault-ride-through strategies for grid-tied and grid-forming smart-transformers suited for islanding and interconnected operation. Electr. Power Syst. Res. 2020, 189, 106616. [Google Scholar] [CrossRef]
  28. Narula, A. Grid-Forming Wind Power Plants. Ph.D. Thesis, Chalmers University of Technology, Gothenburg, Sweden, 2023. [Google Scholar]
  29. Rodriguez-Amenedo, J.L.; Montilla-DJesus, M.E.; Arnaltes, S.; Arredondo, F. RMS Modeling and Control of a Grid-Forming E-STATCOM for Power System Stability in Isolated Grids. Appl. Sci. 2025, 15, 3014. [Google Scholar] [CrossRef]
  30. Xia, Y.; Chen, Y.; Wang, Y.; Chen, R.; Li, K.; Shi, J.; Yang, Y. A Virtual Synchronous Generator Control Strategy Based on Transient Damping Compensation and Virtual Inertia Adaptation. Appl. Sci. 2025, 15, 728. [Google Scholar] [CrossRef]
  31. Pereira, A.T.; Pacheco Meurer, A.; Pinheiro, H. Inner-Loop Controllers for Grid-Forming Converters. Appl. Sci. 2025, 15, 3007. [Google Scholar] [CrossRef]
  32. Ippolito, M.G.; Musca, R.; Zizzo, G. Generalized power-angle control for grid-forming converters: A structural analysis. Sustain. Energy Grids Netw. 2022, 31, 100696. [Google Scholar] [CrossRef]
  33. National Grid ESO. GC0137: Minimum Specification Required for Provision of GB Grid Forming (GBGF) Capability (Formerly Virtual Synchronous Machine/VSM Capability); National Grid ESO: London, UK, 2022. [Google Scholar]
  34. Zubiaga, M.; Sanchez-Ruiz, A.; Olea, E.; Unamuno, E.; Bilbao, A.; Arza, J. Power Capability Boundaries for an Inverter Providing Multiple Grid Support Services. Energies 2020, 13, 4314. [Google Scholar] [CrossRef]
  35. Du, W.; Chen, Z.; Schneider, K.P.; Lasseter, R.H.; Pushpak Nandanoori, S.; Tuffner, F.K.; Kundu, S. A Comparative Study of Two Widely Used Grid-Forming Droop Controls on Microgrid Small-Signal Stability. IEEE J. Emerg. Sel. Top. Power Electron. 2020, 8, 963–975. [Google Scholar] [CrossRef]
  36. Dai, Z.; Li, G.; Fan, M.; Huang, J.; Yang, Y.; Hang, W. Global Stability Analysis for Synchronous Reference Frame Phase-Locked Loops. IEEE Trans. Ind. Electron. 2022, 69, 10182–10191. [Google Scholar] [CrossRef]
  37. Mandrile, F.; Mallemaci, V.; Carpaneto, E.; Bojoi, R. Lead-Lag Filter-Based Damping of Virtual Synchronous Machines. IEEE Trans. Ind. Appl. 2023, 59, 6900–6913. [Google Scholar] [CrossRef]
  38. Lai, N.B.; Tarrasó, A.; Baltas, G.N.; Marin Arevalo, L.V.; Rodriguez, P. External Inertia Emulation Controller for Grid-Following Power Converter. IEEE Trans. Ind. Appl. 2021, 57, 6568–6576. [Google Scholar] [CrossRef]
  39. Imgart, P.; Narula, A.; Bongiorno, M.; Beza, M.; Svensson, J.R. External Inertia Emulation to Facilitate Active-Power Limitation in Grid-Forming Converters. IEEE Trans. Ind. Appl. 2024, 60, 9145–9156. [Google Scholar] [CrossRef]
  40. Tarrasó, A.; Candela, J.I.; Rocabert, J.; Miletic, Z.; Luna, A. Grid Forming Control for Power Converters Based on an Inertial Phase Locked Loop (IPLL). IEEE Access 2023, 11, 76008–76019. [Google Scholar] [CrossRef]
  41. Schweizer, M.; Almér, S.; Pettersson, S.; Merkert, A.; Bergemann, V.; Harnefors, L. Grid-Forming Vector Current Control. IEEE Trans. Power Electron. 2022, 37, 13091–13106. [Google Scholar] [CrossRef]
  42. Hoffmann, N.; Fuchs, F.W.; Dannehl, J. Models and effects of different updating and sampling concepts to the control of grid-connected PWM converters—A study based on discrete time domain analysis. In Proceedings of the 2011 14th European Conference on Power Electronics and Applications, Birmingham, UK, 30 August–1 September 2011; pp. 1–10. [Google Scholar]
  43. Yang, D.; Wu, H.; Wang, X.; Blaabjerg, F. Suppression of synchronous resonance for VSGs. J. Eng. 2017, 2017, 2574–2579. [Google Scholar] [CrossRef]
Figure 1. Simplified scheme of a grid-connected GFM inverter. (a) Hardware structure. (b) Control structure.
Figure 1. Simplified scheme of a grid-connected GFM inverter. (a) Hardware structure. (b) Control structure.
Applsci 15 05316 g001
Figure 2. Frequency regulation limitation. (a) P- ω r droop characteristic curve. (b) Virtual power strategy.
Figure 2. Frequency regulation limitation. (a) P- ω r droop characteristic curve. (b) Virtual power strategy.
Applsci 15 05316 g002
Figure 3. Small-signal model for the frequency dynamics of the proposed GFM inverter.
Figure 3. Small-signal model for the frequency dynamics of the proposed GFM inverter.
Applsci 15 05316 g003
Figure 4. Overload of GFM inverters due to inertial response. (a) Overload for different grid RoCoF and inertia constants. (b) Overload scaling factor.
Figure 4. Overload of GFM inverters due to inertial response. (a) Overload for different grid RoCoF and inertia constants. (b) Overload scaling factor.
Applsci 15 05316 g004
Figure 5. Parallel PI strategy.
Figure 5. Parallel PI strategy.
Applsci 15 05316 g005
Figure 6. Parallel PI small-signal model.
Figure 6. Parallel PI small-signal model.
Applsci 15 05316 g006
Figure 7. Angle limiter strategy.
Figure 7. Angle limiter strategy.
Applsci 15 05316 g007
Figure 8. Angle limiter small-signal model.
Figure 8. Angle limiter small-signal model.
Applsci 15 05316 g008
Figure 9. SRF-PLL structure.
Figure 9. SRF-PLL structure.
Applsci 15 05316 g009
Figure 10. External frequency support strategy.
Figure 10. External frequency support strategy.
Applsci 15 05316 g010
Figure 11. External frequency support small-signal model.
Figure 11. External frequency support small-signal model.
Applsci 15 05316 g011
Figure 12. Δ P / Δ ω g of a GFM without overload mitigation and EFS in normal operation. Basic PSL refers to the transfer function (6). (a) Bode plot. (b) Low-frequency poles and zeros.
Figure 12. Δ P / Δ ω g of a GFM without overload mitigation and EFS in normal operation. Basic PSL refers to the transfer function (6). (a) Bode plot. (b) Low-frequency poles and zeros.
Applsci 15 05316 g012
Figure 13. Power response of GFM inverter using different overloading protection schemes. (a) Grid frequency profile. (b) Active power response. (c) 50 to 49.5 Hz transient. (d) 49.5 to 50.25 Hz transient.
Figure 13. Power response of GFM inverter using different overloading protection schemes. (a) Grid frequency profile. (b) Active power response. (c) 50 to 49.5 Hz transient. (d) 49.5 to 50.25 Hz transient.
Applsci 15 05316 g013
Figure 14. Power response of GFM inverter under a frequency oscillation using different overloading protection schemes. (a) Grid frequency profile. (b) Active power response.
Figure 14. Power response of GFM inverter under a frequency oscillation using different overloading protection schemes. (a) Grid frequency profile. (b) Active power response.
Applsci 15 05316 g014
Figure 15. Test bench for experimental validation. (a) Laboratory setup. (b) Simplified schematic.
Figure 15. Test bench for experimental validation. (a) Laboratory setup. (b) Simplified schematic.
Applsci 15 05316 g015
Figure 16. Experimental validation of VP strategy. (a) Active power response. (b) Virtual power setpoint.
Figure 16. Experimental validation of VP strategy. (a) Active power response. (b) Virtual power setpoint.
Applsci 15 05316 g016
Figure 17. Experimental validation of parallel PI strategy. (a) Active power response. (b) Angular frequency output of PI.
Figure 17. Experimental validation of parallel PI strategy. (a) Active power response. (b) Angular frequency output of PI.
Applsci 15 05316 g017
Figure 18. Experimental validation of AL strategy. (a) Active power response. (b) Phase shift between inverter voltage and PCC voltage.
Figure 18. Experimental validation of AL strategy. (a) Active power response. (b) Phase shift between inverter voltage and PCC voltage.
Applsci 15 05316 g018
Figure 19. Experimental validation of EFS strategy. (a) Active power response. (b) Outer loop power setpoint.
Figure 19. Experimental validation of EFS strategy. (a) Active power response. (b) Outer loop power setpoint.
Applsci 15 05316 g019
Table 1. Model parameters.
Table 1. Model parameters.
Base values
S b 625 W v b 200 V ω b 2 π 50 Hz
Filter
L c 0.05 pu L g 0.2 pu C f 0.05 pu
R c 0.005 pu R g 0.02 pu R f 0.008 pu
Grid
V g 1 pu ω g 1 pu
Inverter
V d c 1.6 pu f s w 10 kHz T s 100 μ s
Table 2. Overloading mitigation strategy tuning.
Table 2. Overloading mitigation strategy tuning.
Parallel PIAngle LimiterExternal Frequency Support
H (s)554.36
D202020
k d 0.1260.1260.049
k p 0.020.320.035
k i 0.78515.30.785
Table 3. Summary of the characteristics of different overloading schemes.
Table 3. Summary of the characteristics of different overloading schemes.
Virtual PowerParallel PIAngle LimiterExternal Frequency Support
Freq. regulation power eliminationYesYesYesYes
Inertial power reductionNoYesYesYes
Inner controller requirementsNoNoVoltage drop between inverter and PCCVoltage drop between inverter and PCC
PLL requiredNoNoYesYes. Not for synchronization
Anti-windup requiredNoNoYesNo
Sensitive to grid impedanceNoNoReduced damping in weak grids (high L g / L c )No
Sensitive to delays and uncertaintiesNoNoYesNo
Overload recoveryGoodPoorGoodBest
Impact on normal operationNoNoNoReduced damping
Disclaimer/Publisher’s Note: The statements, opinions and data contained in all publications are solely those of the individual author(s) and contributor(s) and not of MDPI and/or the editor(s). MDPI and/or the editor(s) disclaim responsibility for any injury to people or property resulting from any ideas, methods, instructions or products referred to in the content.

Share and Cite

MDPI and ACS Style

Ordono, A.; Sanchez-Ruiz, A.; Zubiaga, M.; Asensio, F.J.; Rodriguez-Gongora, J. Overload Mitigation of Inertial Grid-Forming Inverters Under Frequency Excursions. Appl. Sci. 2025, 15, 5316. https://doi.org/10.3390/app15105316

AMA Style

Ordono A, Sanchez-Ruiz A, Zubiaga M, Asensio FJ, Rodriguez-Gongora J. Overload Mitigation of Inertial Grid-Forming Inverters Under Frequency Excursions. Applied Sciences. 2025; 15(10):5316. https://doi.org/10.3390/app15105316

Chicago/Turabian Style

Ordono, Ander, Alain Sanchez-Ruiz, Markel Zubiaga, Francisco Javier Asensio, and Javier Rodriguez-Gongora. 2025. "Overload Mitigation of Inertial Grid-Forming Inverters Under Frequency Excursions" Applied Sciences 15, no. 10: 5316. https://doi.org/10.3390/app15105316

APA Style

Ordono, A., Sanchez-Ruiz, A., Zubiaga, M., Asensio, F. J., & Rodriguez-Gongora, J. (2025). Overload Mitigation of Inertial Grid-Forming Inverters Under Frequency Excursions. Applied Sciences, 15(10), 5316. https://doi.org/10.3390/app15105316

Note that from the first issue of 2016, this journal uses article numbers instead of page numbers. See further details here.

Article Metrics

Back to TopTop