High-Frequency Workpiece Image Recognition Model Based on Hybrid Attention Mechanism
Abstract
1. Introduction
2. Approach
2.1. Overall Framework
2.2. Data Augmentation
2.3. Improved Lightweight Convolutional Block Attention Module (ILCBAM)
2.3.1. Improved Channel Attention Module (ICAM)
2.3.2. Improved Spatial Attention Module (ISAM)
2.4. Lightweight Re-Evaluation Attention Module (LRAM)
3. Experiments
3.1. Experimental Environment
3.2. Experimental Dataset
3.3. Model Parameter Selection Experiment
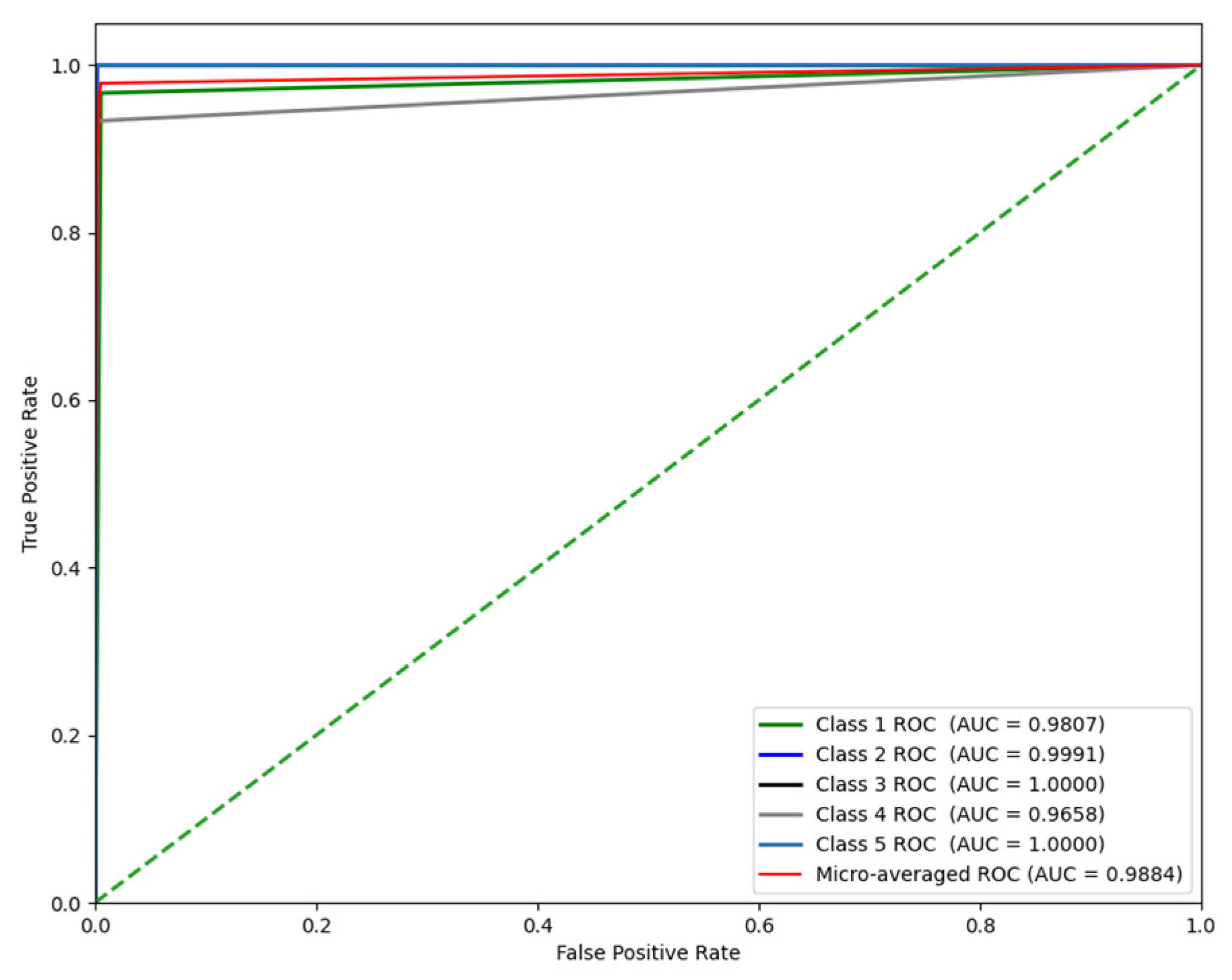
3.4. Recognition Precision Comparison Experiment
3.5. T-Test
3.6. Ablation Experiment
3.6.1. Module Ablation Comparison Experiment
3.6.2. Bias–Variance Decomposition Experiment
3.6.3. Distortion Ablation Comparison Experiment
3.6.4. Two-Factor ANOVA Experiment
3.7. Model Structure Comparison Experiment
3.8. Attention Visualization Experiment
4. Discussion
5. Conclusions
Author Contributions
Funding
Institutional Review Board Statement
Informed Consent Statement
Data Availability Statement
Acknowledgments
Conflicts of Interest
References
- Zhou, J.; Wen, X. Research on influencing factors and multiple driving paths of intelligent transformation in China’s manufacturing industry. J. Comput. Methods Sci. Eng. 2021, 21, 1561–1573. [Google Scholar] [CrossRef]
- Li, C.-M.; Li, D.-N.; Chen, C.-J.; Zhao, Z.-X. Parts recognition based on convolutional neural network and virtual training data sets. Modul. Mach. Tools Autom. Mach. Technol. 2021, 8, 40–43. [Google Scholar]
- Song, Y.; Wu, L.; Zhao, Y.; Liu, P.; Lv, R.; Ullah, H. High-Accuracy Gesture Recognition using Mm-Wave Radar Based on Convolutional Block Attention Module. In Proceedings of the 2023 IEEE International Conference on Image Processing (ICIP), Kuala Lumpur, Malaysia, 8–11 October 2023; pp. 1485–1489. [Google Scholar]
- Majidpour, J.; Jameel, S.K.; Qadir, J.A. Face identification system based on synthesizing realistic image using edge-aided Gans. Comput. J. 2023, 66, 61–69. [Google Scholar] [CrossRef]
- Sharma, P.; Singh, A.; Singh, K.K.; Dhull, A. Vehicle identification using modified region based convolution network for intelligent transportation system. Multimed. Tools Appl. 2022, 81, 34893–34917. [Google Scholar] [CrossRef]
- Vieira, J.C.; Sartori, A.; Stefenon, S.F.; Perez, F.L.; De Jesus, G.S.; Leithardt, V.R.Q. Low-cost CNN for automatic violence recognition on embedded system. IEEE Access 2022, 10, 25190–25202. [Google Scholar] [CrossRef]
- Duan, S.; Yin, C.; Liu, M. Recognition Algorithm Based on Convolution Neural Network for the Mechanical Parts. In Advanced Manufacturing and Automation VIII; Springer: Singapore, 2019; pp. 337–347. [Google Scholar]
- Gong, Y.; Wei, C.; Xia, M. Workpiece recognition technology based on improved convolutional neural network. J. Harbin Univ. Commer. Nat. Sci. Ed. 2023, 39, 294–302. [Google Scholar]
- Chen, C.; Abdullah, A.; Kok, S.H.; Tien, D.T.K. Review of industry workpiece classification and defect detection using deep learning. Int. J. Adv. Comput. Sci. Appl. 2022, 13, 329–340. [Google Scholar] [CrossRef]
- Zhang, H.; Zhang, S.; Zhang, Y.; Liang, J.; Wang, Z. Machining feature recognition based on a novel multi-task deep learning network. Robot. Comput.-Integr. Manuf. 2022, 77, 102369. [Google Scholar] [CrossRef]
- Ning, F.; Shi, Y.; Cai, M.; Xu, W. Part machining feature recognition based on a deep learning method. J. Intell. Manuf. 2023, 34, 809–821. [Google Scholar] [CrossRef]
- Wu, H.; Lei, R.; Peng, Y.; Gao, L. AAGNet: A graph neural network towards multi-task machining feature recognition. Robot. Comput.-Integr. Manuf. 2024, 86, 102661. [Google Scholar] [CrossRef]
- Yin, K.; Fang, J.; Mo, W.; Wang, H.; Fu, M.; Zhang, T. Research on Position and Posture Estimation of Rotated Workpiece Based on Image Recognition. In Proceedings of the 2021 4th International Conference on Mechatronics, Robotics and Automation (ICMRA), Zhanjiang, China, 22–24 October 2021; pp. 69–74. [Google Scholar]
- Zhang, T.; Zheng, J.; Zou, Y. Fusing few-shot learning and lightweight deep network method for detecting workpiece pose based on monocular vision systems. Measurement 2023, 218, 113118. [Google Scholar] [CrossRef]
- Li, Q.; Wang, Y. Parts recognition and classification system based on block PCA and SVM. Mech. Eng. Autom. 2021, 4, 21–23+26. [Google Scholar]
- Xu, W.; Li, B.; Ou, Y.; Luo, J. Recognition algorithm for metal parts based on ring template matching. Transducer Microsyst. Technol. 2021, 40, 128–131. [Google Scholar] [CrossRef]
- Yin, K.; Ou, Y.; Li, B.; Lin, D. Fast identification algorithm of high frequency components based on ring segmentation. Mech. Des. Manuf. 2022, 12, 196–200+206. [Google Scholar]
- Yang, T.; Ou, Y.; Su, X.; Wu, X.; Li, B. High frequency workpiece deep learning recognition algorithm based on joint loss supervision. Mech. Manuf. Autom. 2023, 52, 30–33+47. [Google Scholar]
- Zhang, P.; Shi, Z.; Li, X.; Ouyang, X. Main bearing cap classification and recognition algorithm based on deep learning. J. Graph. 2021, 42, 572–580. [Google Scholar]
- Yang, L.; Gan, Z.; Li, Y.; Chao, X.; Zi, H.L.; Wang, X.S. Parts recognition based on improved convolutional neural network. Instrum. Technol. Sens. 2022, 5, 82–87. [Google Scholar]
- Szegedy, C.; Vanhoucke, V.; Ioffe, S.; Shlens, J.; Wojna, Z. Rethinking the Inception Architecture for Computer Vision. In Proceedings of the 29th IEEE/CVF Conference on Computer Vision and Pattern Recognition (CVPR), Las Vegas, NV, USA, 27–30 June 2016; pp. 2818–2826. [Google Scholar]
- Chollet, F. Xception: Deep Learning with Depthwise Separable Convolutions. In Proceedings of the 30th IEEE/CVF Conference on Computer Vision and Pattern Recognition (CVPR), Honolulu, HI, USA, 21–26 July 2017; pp. 1800–1807. [Google Scholar]
- Qiao, L.; Zhang, S.; Liu, C.; Jin, H.; Zhao, H.; Yao, J.; Cao, L.; Ji, Y. Workpiece classification based on transfer component analysis. Wirel. Netw. 2024, 30, 4935–4947. [Google Scholar] [CrossRef]
- Wang, H.; Xu, X.; Liu, Y.; Lu, D.; Liang, B.; Tang, Y. Real-time defect detection for metal components: A fusion of enhanced Canny–Devernay and YOLOv6 algorithms. Appl. Sci. 2023, 13, 6898. [Google Scholar] [CrossRef]
- Chen, C.X.; Azman, A. Improved Deep Learning Model for Workpieces of Rectangular Pipeline Surface Defect Detection. Computers 2024, 13, 30. [Google Scholar] [CrossRef]
- Tan, M.X.; Le, Q.V. Efficientnet: Rethinking model scaling for convolutional neural networks. In Proceedings of the International Conference on Machine Learning, Long Beach, CA, USA, 9–15 June 2019; pp. 6105–6114. [Google Scholar]
- Shan, X.; Shen, Y.; Cai, H.; Wen, Y. Convolutional neural network optimization via channel reassessment attention module. Digit. Signal Process. 2022, 123, 103408. [Google Scholar] [CrossRef]
- Woo, S.; Park, J.; Lee, J.Y.; Kweon, I.S. CBAM: Convolutional block attention module. In Proceedings of the European Conference on Computer Vision, Munich, Germany, 8–14 September 2018; pp. 3–19. [Google Scholar]
- Wang, Q.; Wu, B.; Zhu, P.; Li, P.; Zuo, W.; Hu, Q. ECA-Net: Efficient channel attention for deep convolutional neural networks. In Proceedings of the IEEE/CVF Conference on Computer Vision and Pattern Recognition, Seattle, WA, USA, 13–19 June 2020; pp. 11534–11542. [Google Scholar]
- Liu, X.L.; Li, T.H.; Zhang, M. Face recognition based on lightweight neural network integrating gradient features. Laser Optoelectron. Prog. 2020, 57, 84–89. [Google Scholar]
- Ju, Z.Y.; Xue, Y.J. Fish species recognition using an improved AlexNet model. Optik 2020, 223, 165499. [Google Scholar] [CrossRef]
- Zhang, N.; Li, Z.G. A method for traffic sign recognition in weak light. Electron. Devices 2023, 46, 103–108. [Google Scholar]
- He, K.; Zhang, X.; Ren, S.; Sun, J. Deep residual learning for image recognition. In Proceedings of the IEEE Conference on Computer Vision and Pattern Recognition, Las Vegas, NV, USA, 27–30 June 2016; pp. 770–778. [Google Scholar]
- Sandler, M.; Howard, A.; Zhu, M.; Zhmoginov, A.; Chen, L.C. Mobilenetv2: Inverted residuals and linear bottlenecks. In Proceedings of the IEEE Conference on Computer Vision and Pattern Recognition, Salt Lake City, UT, USA, 18–23 June 2018; pp. 4510–4520. [Google Scholar]
- Howard, A.; Sandler, M.; Chu, G.; Chen, L.C.; Chen, B.; Tan, M.; Wang, W.; Zhu, Y.; Pang, R.; Vasudevan, V.; et al. Searching for mobilenetv3. In Proceedings of the IEEE/CVF International Conference on Computer Vision, Seoul, South Korea, 27 October–2 November 2019; pp. 1314–1324. [Google Scholar]
- Selvaraju, R.R.; Cogswell, M.; Das, A.; Vedantam, R.; Parikh, D.; Batra, D. Grad-cam: Visual explanations from deep networks via gradient-based localization. In Proceedings of the IEEE International Conference on Computer Vision, Venice, Italy, 22–29 October 2017; pp. 618–626. [Google Scholar]
- Vilalta, R.; Drissi, Y. A perspcetive view and survey of meta-learning. Artif. Intell. Rev. 2022, 18, 77–95. [Google Scholar] [CrossRef]
- Wang, X.; Girshick, R.; Gupta, A.; He, K. Non-local neural networks. In Proceedings of the 2018 IEEE/CVF Conference Vision and Pattern Recognition, Salt Lake City, UT, USA, 18–23 June 2018; pp. 7794–7803. [Google Scholar]

















| Values | Precision/% | Parameters/M |
|---|---|---|
| 97.23 | 6.05 | |
| 96.93 | 5.69 | |
| 96.74 | 5.45 | |
| 96.41 | 5.33 |
| Model | Backbone Network | Parameter Quantity/M | Training Time/s | Precision/% |
|---|---|---|---|---|
| Basis | EfficientNet-B0 | 5.30 | 2314 | 87.92 |
| IGFN | SqueezeNet | 5.43 | 2563 | 91.78 |
| IAN | AlexNet | 240.17 | 4620 | 90.85 |
| IRN | RegNet | 25.19 | 2149 | 92.64 |
| HAEN | EfficientNet-B0 | 6.05 | 2405 | 97.23 |
| Experiment1 | Experiment2 | Experiment3 | Experiment4 | Experiment5 | |
|---|---|---|---|---|---|
| Before improvement | 87.92 | 87.34 | 87.31 | 87.37 | 87.30 |
| After improvement | 97.23 | 97.16 | 97.20 | 97.15 | 97.17 |
| Data Enhancement | ILCBAM | LRAM | Precision/% |
|---|---|---|---|
| × | × | × | 87.92 |
| √ | × | × | 90.47 |
| × | √ | × | 96.10 |
| × | × | √ | 96.24 |
| × | √ | √ | 96.78 |
| √ | √ | √ | 97.23 |
| Random Occlusion | Gaussian Blur | Precision/% |
|---|---|---|
| × | × | 97.23 |
| √ | × | 97.34 |
| × | √ | 97.31 |
| √ | √ | 97.28 |
| X | df | Sum_sq | Mean_sq | F | PR(>F) |
|---|---|---|---|---|---|
| C(Light) | 2 | 0.0030 | 0.0015 | 1.5405 | 0.2273 |
| C(Category) | 19 | 0.0725 | 0.0038 | 3.9189 | 0.0002 |
| Residual | 38 | 0.0370 | 0.0010 | NaN | NaN |
Disclaimer/Publisher’s Note: The statements, opinions and data contained in all publications are solely those of the individual author(s) and contributor(s) and not of MDPI and/or the editor(s). MDPI and/or the editor(s) disclaim responsibility for any injury to people or property resulting from any ideas, methods, instructions or products referred to in the content. |
© 2024 by the authors. Licensee MDPI, Basel, Switzerland. This article is an open access article distributed under the terms and conditions of the Creative Commons Attribution (CC BY) license (https://creativecommons.org/licenses/by/4.0/).
Share and Cite
Deng, J.; Sun, C.; Liu, X.; Du, G.; Jiang, L.; Yang, X. High-Frequency Workpiece Image Recognition Model Based on Hybrid Attention Mechanism. Appl. Sci. 2025, 15, 94. https://doi.org/10.3390/app15010094
Deng J, Sun C, Liu X, Du G, Jiang L, Yang X. High-Frequency Workpiece Image Recognition Model Based on Hybrid Attention Mechanism. Applied Sciences. 2025; 15(1):94. https://doi.org/10.3390/app15010094
Chicago/Turabian StyleDeng, Jiaqi, Chenglong Sun, Xin Liu, Gang Du, Liangzhong Jiang, and Xu Yang. 2025. "High-Frequency Workpiece Image Recognition Model Based on Hybrid Attention Mechanism" Applied Sciences 15, no. 1: 94. https://doi.org/10.3390/app15010094
APA StyleDeng, J., Sun, C., Liu, X., Du, G., Jiang, L., & Yang, X. (2025). High-Frequency Workpiece Image Recognition Model Based on Hybrid Attention Mechanism. Applied Sciences, 15(1), 94. https://doi.org/10.3390/app15010094

