Development of HfO₂-Based Solar-Blind SAW UV-C Sensor for Corona Discharge Detection Application
Abstract
1. Introduction
2. Optimal Device Design Consideration and Simulations
2.1. COM Modeling Analysis for Optimal Device Design Consideration (MATLAB)
2.2. COMSOL Simulation of SAW UV-C Sensor
3. Fabrication Methods and Testing Setup
3.1. Overall Fabrication Process
3.2. Testing Setup
3.3. Fabricated Devices
4. Sensing Material Characterization
4.1. Analysis of Sensing Material
4.2. UV–Vis Optical Absorption Spectra
5. Results and Discussion
5.1. Sensor Characteristics Using a Network Analyzer with LabVIEW
5.2. Thickness Effects of the Sensing Material
5.3. Sensor Characteristics Using Developed Interface Electronics
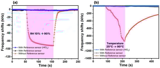
5.4. Environmental Effect Compensation Study
5.5. Real-Field Experiment Measuring a Corona Discharge
6. Conclusions
Experimental Equipment and UV-C Light Sources
Author Contributions
Funding
Institutional Review Board Statement
Informed Consent Statement
Data Availability Statement
Conflicts of Interest
References
- Sun, X.; Ge, S.; Shao, X.; Zhou, S.; Wang, W.; Lin, D.; Liu, W. Analysis and Design of Single-Phase Unidirectional Transducers with High Directivity. Appl. Sci. 2021, 11, 7500. [Google Scholar] [CrossRef]
- Go, D.B.; Atashbar, M.Z.; Ramshani, Z.; Chang, H.-C. Surface Acoustic Wave Devices for Chemical Sensing and Microfluidics: A Review and Perspective. Anal. Methods 2017, 9, 4112–4134. [Google Scholar] [CrossRef] [PubMed]
- Mandal, D.; Banerjee, S. Surface Acoustic Wave (SAW) Sensors: Physics, Materials, and Applications. Sensors 2022, 22, 820. [Google Scholar] [CrossRef] [PubMed]
- Karapetyan, G.Y.; Kaydashev, V.E.; Kutepov, M.E.; Minasyan, T.A.; Kalinin, V.A.; Kislitsyn, V.O.; Kaidashev, E.M. Passive Wireless UV SAW Sensor. Appl. Phys. A 2020, 126, 794. [Google Scholar] [CrossRef]
- Fallahnia, E.; Nabavi, S. Design of SAW Hydrogen Detector Based on Graphene-Palladium Nanoparticles. Microsyst. Technol. 2021, 27, 2033–2039. [Google Scholar] [CrossRef]
- Chang, J.-S.; Lawless, P.A.; Yamamoto, T. Corona Discharge Processes. IEEE Trans. Plasma Sci. 1991, 19, 1152–1166. [Google Scholar] [CrossRef]
- Stranges, M.K.W.; Ul Haq, S.; Dunn, D.G. Black-Out Test Versus UV Camera for Corona Inspection of HV Motor Stator Endwindings. IEEE Trans. Ind. Appl. 2014, 50, 3135–3140. [Google Scholar] [CrossRef]
- Shou, R.; Hata, K.; Nakano, M.; Suehiro, J. Detection of SF6 Decomposition Products Generated by DC Corona Discharge Using a Carbon Nanotube Gas Sensor. Adv. Mat. Res. 2013, 699, 909–914. [Google Scholar] [CrossRef]
- Hunashimarad, B.G.; Bhat, J.S.; Raghavendra, P.V.; Bhajantri, R.F. ZnO:Ca MSM Ultraviolet Photodetectors. Opt. Mater. 2022, 124, 111960. [Google Scholar] [CrossRef]
- Nallabala, N.K.R.; Reddy, V.R.M.; Singh, V.R.; Rahim Bakash, K.; Kumar, S.; Saha, D.; Mahendran, V.; Kummara, V.K.; Guntupalli, G.K.; Vattikuti, S.V.P. Enhanced Photoresponse Performance in GaN Based Symmetric Type MSM Ultraviolet-A and MIS Ultraviolet-A to C Photodetectors. Sens. Actuators A Phys. 2022, 339, 113502. [Google Scholar] [CrossRef]
- Guo, C.; Guo, W.; Dai, Y.; Xu, H.; Chen, L.; Wang, D.; Peng, X.; Tang, K.; Sun, H.; Ye, J. Self-Powered Ultraviolet MSM Photodetectors with High Responsivity Enabled by a Lateral n + /n − Homojunction from Opposite Polarity Domains. Opt. Lett. 2021, 46, 3203. [Google Scholar] [CrossRef] [PubMed]
- Howells, E.; Norton, E.T. Detection of Partial Discharges in Transformers Using Acoustic Emission Techniques. IEEE Trans. Power Appar. Syst. 1978, PAS-97, 1538–1549. [Google Scholar] [CrossRef]
- de Andrade Lira, R.V.; de Siqueira Campos, A.L.P.; Neto, A.G.; de Souza Silva, I.; Serres, A.J.R.; Nobrega, L.A.M.M.; da Costa Silva, A.D.; Carvalho, I.F. Elliptical UHF Sensor for Partial Discharge Detection. Sens. Actuators A Phys. 2022, 348, 113981. [Google Scholar] [CrossRef]
- Chai, H.; Phung, B.T.; Mitchell, S. Application of UHF Sensors in Power System Equipment for Partial Discharge Detection: A Review. Sensors 2019, 19, 1029. [Google Scholar] [CrossRef]
- Hoshino, T.; Koyama, H.; Maruyama, S.; Hanai, M. Comparison of Sensitivity Between UHF Method and IEC 60270 for Onsite Calibration in Various GIS. IEEE Trans. Power Deliv. 2006, 21, 1948–1953. [Google Scholar] [CrossRef]
- Davari, N.; Akbarizadeh, G.; Mashhour, E. Intelligent Diagnosis of Incipient Fault in Power Distribution Lines Based on Corona Detection in UV-Visible Videos. IEEE Trans. Power Deliv. 2021, 36, 3640–3648. [Google Scholar] [CrossRef]
- Nawaz, F.; Kim, S.; Lee, H.; Park, J.; Song, J.; Choi, C.; Lee, K. Toward Ultra-Fast Response and Recovery Characteristics through ZnO Multilayer Thin Films in Surface Acoustic Wave UV Sensor. IEEE Sens. J. 2025, 25, 343–353. [Google Scholar] [CrossRef]
- Zhou, P.; Chen, C.; Wang, X.; Hu, B.; San, H. 2-Dimentional Photoconductive MoS2 Nanosheets Using in Surface Acoustic Wave Resonators for Ultraviolet Light Sensing. Sens. Actuators A Phys. 2018, 271, 389–397. [Google Scholar] [CrossRef]
- Jeon, M.-B.; Kwak, Y.H.; Ju, B.-K.; Kim, K. Ultraviolet Sensor with Fast Response Characteristics Based on an AgNW/ZnO Bi-Layer. Sens. Actuators A Phys. 2020, 311, 112044. [Google Scholar] [CrossRef]
- Kim, S.; Nawaz, F.; Lee, H.; Jeong, S.; Choi, C.; Jeon, I.; Lee, K. Development of Highly Sensitive and Solar Blind Surface Acoustic Wave UV-C Photodetector Based on the In2O3/Ta2O5 Nano-Heterojunction and Its Interface Electronics. Sens. Actuators A Phys. 2024, 367, 115027. [Google Scholar] [CrossRef]
- Kim, S.; Nawaz, F.; Choi, C.; Jeon, I.; Lee, K. Synthesis and Characterization of High-Quality Ta 2 O 5 Nanoparticles for Highly Selective SAW-Based DUV Sensor and Corona Detection Application. Adv. Mater. Technol. 2024, 9, 2301486. [Google Scholar] [CrossRef]
- Hackley, J.C.; Gougousi, T. Properties of Atomic Layer Deposited HfO2 Thin Films. Thin Solid. Film. 2009, 517, 6576–6583. [Google Scholar] [CrossRef]
- Sauze, L.C.; Vaxelaire, N.; Rouchon, D.; Templier, R.; Remiens, D.; Rodriguez, G.; Dupont, F. Effect of the Annealing Treatment on the Physical and Structural Properties of LiNbO3 Thin Films Deposited by Radio-Frequency Sputtering at Room Temperature. Thin Solid. Film. 2021, 726, 138660. [Google Scholar] [CrossRef]
- Bas-Calopa, P.; Riba, J.-R.; Moreno-Eguilaz, M. Measurement of Corona Discharges under Variable Geometry, Frequency and Pressure Environment. Sensors 2022, 22, 1856. [Google Scholar] [CrossRef]
- Triyoso, D.; Liu, R.; Roan, D.; Ramon, M.; Edwards, N.V.; Gregory, R.; Werho, D.; Kulik, J.; Tam, G.; Irwin, E.; et al. Impact of Deposition and Annealing Temperature on Material and Electrical Characteristics of ALD HfO2. J. Electrochem. Soc. 2004, 151, F220. [Google Scholar] [CrossRef]
- Ondračka, P.; Holec, D.; Nečas, D.; Zajíčková, L. Accurate Prediction of Band Gaps and Optical Properties of HfO2. J. Phys. D Appl. Phys. 2016, 49, 395301. [Google Scholar] [CrossRef]
- Pang, H.-F.; Fu, Y.-Q.; Li, Z.-J.; Li, Y.; Ma, J.-Y.; Placido, F.; Walton, A.J.; Zu, X.-T. Love Mode Surface Acoustic Wave Ultraviolet Sensor Using ZnO Films Deposited on 36° Y-Cut LiTaO3. Sens. Actuators A Phys. 2013, 193, 87–94. [Google Scholar] [CrossRef]
- Li, W.; Guo, Y.J.; Tang, Q.B.; Zu, X.T.; Ma, J.Y.; Wang, L.; Tao, K.; Torun, H.; Fu, Y.Q. Highly Sensitive Ultraviolet Sensor Based on ZnO Nanorod Film Deposited on ST-Cut Quartz Surface Acoustic Wave Devices. Surf. Coat. Technol. 2019, 363, 419–425. [Google Scholar] [CrossRef]













| Parameter | Value |
|---|---|
| Number of input IDT pairs | 120 |
| Number of output IDT pairs | 65 |
| Aperture length (λ) | 110 |
| Cavity length (μm) | 2200 |
| Wavelength λ (μm) | 17.6 |
| IDT Ti/Pt thickness (nm) | 10/100 |
| Acoustic velocity (m/s) of 128° YX LiNbO3 | 3890 |
| Electromechanical coupling factor, K2 (%) | 5.5 |
| Effective dielectric coefficient εp/ε0 | 55 |
| Sheet resistance (Ω-m) | 0.939 × 108 |
| Reference | Device Type | Sensitive Material | Sensitivity (ppm(mW/cm2)−1) | Res/Rec Time (s) |
|---|---|---|---|---|
| [19] | SAW | AgNW/ZnO | 310.49 | 8/23 |
| [21] | SAW | Ta2O5 | 1621.1 | 3.7/19.8 |
| [27] | SAW | ZnO film | 678 | 30/20 |
| [28] | SAW | ZnO nanorods | 31.3 | 450/1787 |
| [18] | SAW | 2D MoS2 | 2.05 | - |
| [20] | SAW | In2O3/Ta2O5 | 368.3 | 11/16 |
| This study | SAW | HfO2 | 563 | 2.8/4 |
Disclaimer/Publisher’s Note: The statements, opinions and data contained in all publications are solely those of the individual author(s) and contributor(s) and not of MDPI and/or the editor(s). MDPI and/or the editor(s) disclaim responsibility for any injury to people or property resulting from any ideas, methods, instructions or products referred to in the content. |
© 2025 by the authors. Licensee MDPI, Basel, Switzerland. This article is an open access article distributed under the terms and conditions of the Creative Commons Attribution (CC BY) license (https://creativecommons.org/licenses/by/4.0/).
Share and Cite
Lee, H.; Nawaz, F.; Shim, E.; Lee, J.; Choi, C.; Lee, K. Development of HfO₂-Based Solar-Blind SAW UV-C Sensor for Corona Discharge Detection Application. Appl. Sci. 2025, 15, 464. https://doi.org/10.3390/app15010464
Lee H, Nawaz F, Shim E, Lee J, Choi C, Lee K. Development of HfO₂-Based Solar-Blind SAW UV-C Sensor for Corona Discharge Detection Application. Applied Sciences. 2025; 15(1):464. https://doi.org/10.3390/app15010464
Chicago/Turabian StyleLee, Hyunho, Faisal Nawaz, Eeunsun Shim, Jinjae Lee, Cheol Choi, and Keekeun Lee. 2025. "Development of HfO₂-Based Solar-Blind SAW UV-C Sensor for Corona Discharge Detection Application" Applied Sciences 15, no. 1: 464. https://doi.org/10.3390/app15010464
APA StyleLee, H., Nawaz, F., Shim, E., Lee, J., Choi, C., & Lee, K. (2025). Development of HfO₂-Based Solar-Blind SAW UV-C Sensor for Corona Discharge Detection Application. Applied Sciences, 15(1), 464. https://doi.org/10.3390/app15010464

