Research on Response Postures of Subway Train in Straight Line Collision
Abstract
1. Introduction
2. The Subway Train Numerical Model
2.1. Carriage and Bogie
2.2. Train Front and Coupler Buffer Device
2.3. Mesh Analysis
2.4. Model Validation
2.4.1. One-Dimensional Collision Dynamics Model for Trains
- (1)
- The car bodies are treated as rigid bodies, and their masses are assumed to be concentrated at their respective geometric centers.
- (2)
- Each carriage is divided into three rigid bodies, which are connected by springs. The deformation of the carriages is equivalent to the deformation of these springs.
- (3)
- For the couplers and springs inside the carriages, only their equivalent stiffness characteristics are considered.
2.4.2. Comparison Between Theoretical and Simulation Results
3. Straight-Line Collision Condition Setting
4. Train–Train Collision
4.1. Frontal Collision
4.2. Angled Collision
5. Collision with a Rigid Wall
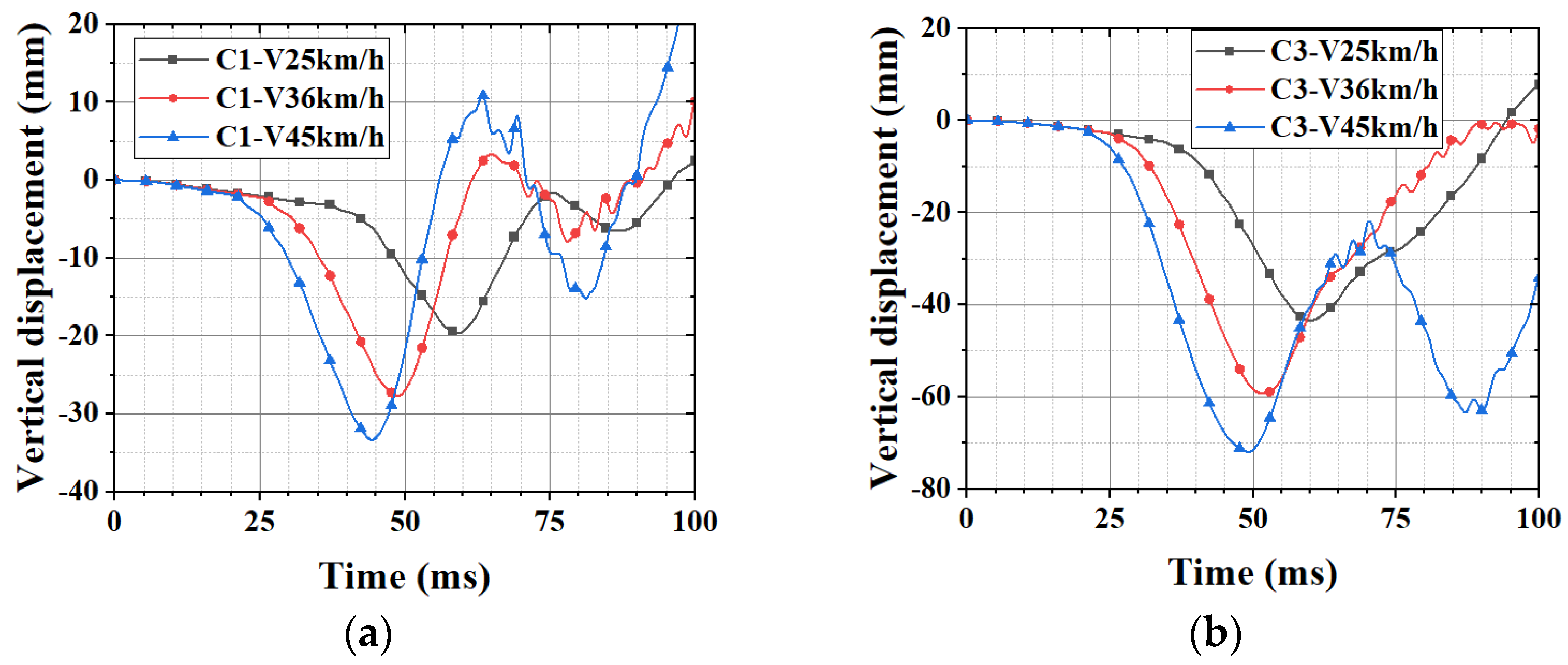
5.1. Vertical Collision
- (1)
- From 0 to t1, the buffer device at the front deforms and absorbs energy;
- (2)
- From t1 to t2, after the crushing failure of the front buffer device, the aluminum alloy frame deforms and absorbs energy;
- (3)
- From t2 to t3, the train front and C-1 are rapidly decelerated in the first impact, while C-2 maintains its initial speed and continues to move. Prior to the second impact, the Coupler-1 between C-1 and C-2 deforms and absorbs energy until the second impact at t3;
- (4)
- At t3, Coupler-1 stops absorbing energy, and C-1 directly absorbs the impact from C-2, resulting in significant plastic deformation.
5.2. Angled Collision
5.3. Front–Side Collision
6. Response Postures Analysis
6.1. Response Postures Summary
6.2. Analysis of the Response Processes and Causes of Different Response Postures
6.2.1. Climbing Between Carriages and Vertical Arch
- (1)
- End Deformation: After the first impact, due to the deceleration of C-1 and the collapse of coupler buffer device between the carriages, a direct impact occurs between the end of C-1 (which has slowed down) and the higher-speed C-2. The collision ends undergo large plastic deformation.
- (2)
- Climbing: After decelerating, C-2 collides with C-3, leading to a second impact between C-1 and C-2. The plastic deformation at the collision end of C-2 increases, and its ability to continue absorbing the impact diminishes. Due to the inconsistent pitching and yawing motions of the carriage, the relative distance between the ends of the carriages increases both vertically and horizontally. The rear end of the bottom plate of C-1 rides over the front end of the bottom plate of C-2 (as shown in Figure 21), and Wheelset-2 at the rear of car C-1 begins to lift off the rail surface.
- (3)
- Vertical Arching: As the impact from the rear carriages continues, the overlap between C-1 and C-2 increases, and the end structure is severely damaged (as shown in Figure 21). Eventually, the two ends begin to arch vertically while remaining embedded in each other, leading to a significant increase in the relative vertical displacement between the wheel and the rail. If the impact energy is high enough, this damage process will occur similarly between the rear carriages.
- (4)
- Overturning/Lateral Buckling: After the train speed drops to zero, the cars that were vertically arched fall back, while those that have shifted laterally or are angled relative to the track are unable to return to the track surface. This results in lateral buckling of the train and eventual overturning of the carriages.
6.2.2. Large Lateral Movement of the Train Front
- (1)
- Under these conditions, the buffer device at the front of the train cannot function normally, so the aluminum alloy frame at the front, which bears the impact and dissipates energy, becomes the primary component in this process. The impact point is subjected to both longitudinal force (Fx) and lateral force (Fz). The force exerted on the car body is transmitted to the axle through the bogie suspension system, leading to an increase in the wheel–rail contact force.
- (2)
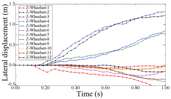
- Oblique Impact and Nodding Movement: During an oblique impact, the front of the car, subjected to greater lateral forces, shifts along the inclined direction of the obstacle, accompanied by pitching. The axle of Wheelset-1 rotates slightly along the longitudinal axis at the point where the right wheel contacts the track, as shown in Figure 22. At 0.11 s, the left wheel is lifted more than 22 mm ahead of the right wheel, causing the carriage to overturn, although the right wheel remains on the track. At this point, the wheelset loses the track’s constraint on the left side. Figure 22 illustrates the derailing process for an impact angle of 15° and an impact speed of 36 km/h. The time history curve of the impact force on the lower edge of Wheelset-1 prior to derailing is shown in Figure 23, with the force direction indicated in Figure 22. After 0.13 s of lateral impact, Wheelset-1 completely jumps off the rail, initiating a rail-jumping event [40].
- (3)
- Post-Derailment Behavior: Once Wheelset-1 is derailed, the front of the wheelset, no longer constrained by the track, slides forward along the inclined direction of the obstacle. As the lateral movement increases, C-1, tilted relative to the ground, becomes more prone to overturning.
6.2.3. Lateral Buckling
7. Conclusions
- (1)
- A one-dimensional theoretical model is proposed, in which the train car is regarded as a deformable body divided into three mass points, representing the front collision end, the middle passenger area, and the rear collision end, respectively. These mass points are connected by two springs to simulate the deformation of the train car. When the longitudinal collision speed is less than or equal to 25 km/h, the total energy absorption error of the theoretical model compared with the simulation results is less than 6.53%, and the velocity curve matches well. The coupler is simplified as a nonlinear spring, and the definition of stiffness in the force rise phase is particularly important for the accuracy of the velocity attenuation curve.
- (2)
- Except for oblique collisions, when the train collision speed exceeds 25 km/h, direct collisions between the ends of the carriages are unavoidable. At this point, the out-of-sync pitch and yaw motions, along with the plastic deformation at the ends, aggravate the vertical arch phenomenon of the train, which is extremely detrimental to the safety of passengers inside the train. A front-side impact can easily lead to lateral buckling, and as the collision speed increases, the degree of lateral buckling becomes more severe. However, when the collision speed reaches 45 km/h, the degree of lateral buckling decreases by a certain percentage, and the vertical arch increases, becoming the dominant response posture. In the simulation, the addition of anti-climbing devices between the carriages significantly reduced the maximum vertical displacement of the wheels.
- (3)
- In the case of an oblique collision, the lateral impact force causes the train’s front to laterally shift and slide, which is the fundamental cause of rapid derailment of the front wheels. When the collision angle exceeds 10°, the energy absorption efficiency of the coupler device can be reduced by up to 83.9%, and the train’s front frame experiences direct impact, leading to rapid derailment. The post-impact behavior is extremely dangerous. For such scenarios, it is necessary to consider adding anti-derailment devices or installing lateral energy absorption devices on the wheels.
- (4)
- For train collisions at a switch, in the case of an angled head-on collision (25 km/h), the train fronts misalign and quickly derail. The energy-absorbing structures fail to operate as intended, and the moving train continues to derail and slide with a relatively high residual speed. More complex collision scenarios at switches require further study.
Author Contributions
Funding
Institutional Review Board Statement
Informed Consent Statement
Data Availability Statement
Acknowledgments
Conflicts of Interest
References
- Sutton, A. The development of rail vehicle crashworthiness. Proc. Inst. Mech. Eng. Part F J. Rail Rapid Transit 2002, 216, 97–108. [Google Scholar] [CrossRef]
- Evans, A.W. Fatal train accidents on Europe’s railways: 1980–2009. Accid. Anal. Prev. 2011, 43, 391–401. [Google Scholar] [CrossRef]
- Beijing Municipal Government Accident Investigation Team. Investigation Report on “12·14” Train Rear-End Collision on Changping Line of Beijing Metro. Available online: https://yjglj.beijing.gov.cn/art/2024/2/5/art_7466_656.html (accessed on 5 February 2024).
- CCTV. Accident on Test Line 10 Under Construction in Xi’an Metro. Available online: https://news.cctv.com/2024/04/21/ARTI6QaRqwDHMFvVPPzCKU30240421.shtml (accessed on 21 April 2024).
- CCTV. One Person was Killed and Three Injured in a Train Accident on Chongqing’s Circular Line. Available online: https://news.cctv.com/2019/01/09/VIDEwNHZVNMUJ66i0w2AsQrj190109.shtml (accessed on 9 January 2019).
- Scholes, A.; Lewis, J.H. Development of crashworthiness for railway vehicle structures. Proc. Inst. Mech. Eng. Part F J. Rail Rapid Transit 1993, 207, 1–16. [Google Scholar] [CrossRef]
- Syaifudin, A.; Windharto, A.; Setiawan, A.; Farid, A.R. Energy Absorption Analysis on Crash-Module Shape and Configuration of Medium-Speed Train; Recent Advances in Renewable Energy Systems: Select Proceedings of ICOME 2021; Springer Nature: Singapore, 2022; pp. 171–179. [Google Scholar]
- Dias, J.P.; Pereira, M.S. Optimization methods for crashworthiness design using multibody models. Comput. Struct. 2004, 82, 1371–1380. [Google Scholar] [CrossRef]
- Wang, W.; Kang, K.; Zhao, H. Joint simulation of crashworthy train set based on finite element and multi-body dynamic. J. Tongji Univ. Nat. Sci. 2011, 39, 1552–1556. [Google Scholar]
- Tang, Z.; Zhu, Y.; Nie, Y. Data-driven train set crash dynamics simulation. Int. J. Veh. Mech. Mobil. 2016, 55, 1–18. [Google Scholar] [CrossRef]
- Tang, Z.; Liu, F.J. Evaluation of coupled finite element meshfree method for a robust full-scale crashworthiness simulation of railway vehicles. Adv. Mech. Eng. 2016, 8, 1–13. [Google Scholar] [CrossRef]
- Xie, S.; Du, X.; Zhou, H.; Wang, D.; Feng, Z. Analysis of the crashworthiness design and collision dynamics of a subway train. Proc. Inst. Mech. Eng. Part F J. Rail Rapid Transit 2020, 234, 1117–1128. [Google Scholar]
- Zhao, G. Research on Front Collision and Rollover Collision of Metro Vehicle; Dalian Jiaotong University: Dalian, China, 2019. [Google Scholar]
- Wei, L.; Zhang, L.; Xin, T.; Cui, K. Crashworthiness study of a subway vehicle collision accident based on finite-element methods. Int. J. Crashworthiness 2019, 26, 159–170. [Google Scholar] [CrossRef]
- Liu, H.; Wang, J.; Liu, X.; Wang, K.; Luo, Q.; Liu, Y.; Fang, Z.; Hong, H. Design and analysis of elastic-plastic collision post for railway vehicles. ASME/IEEE Jt. Rail Conf. Am. Soc. Mech. Eng. 2020, 83587, V001T12A002. [Google Scholar]
- Zhou, H.; Xu, S.; Zhan, J.; Zhang, J. The design of crashworthy subway vehicle and crash research of whole car-body. J. Railw. Sci. Eng. 2008, 5, 65–70. [Google Scholar]
- Hechao, Z.; Shizhou, X.; Jun, Z.; Zhang, J. Research on the overriding phenomenon during train collision based on FEM and MBS joint simulation. J. Mech. Eng. 2017, 53, 166–171. [Google Scholar]
- Zhao, H.; Xu, P.; Jiang, S.; Li, B.; Yao, S.; Xing, J.; Huang, Q.; Xu, K. A novel design method of the impact zone of a high-speed train. Int. J. Crashworthiness 2022, 27, 476–485. [Google Scholar] [CrossRef]
- Wang, C.; Zhou, X.; Liu, L.; Liu, K.; Jing, L. Derailment behavior and mechanism of a train under frontal oblique collisions. J. Railw. Sci. Eng. 2023, 20, 1821–1832. [Google Scholar]
- Xu, J.; Wu, Q.; Wang, H.; Xiao, S.; Wang, S. Effects of Crash Dynamic Parameters of Urban Rail Transit Train on Climbing Behavior. Urban Mass Transit 2024, 27, 74–80. [Google Scholar]
- Wang, R. Study on Rigid-Flexible Coupling Dynamic Modeling and Longitudinal Dynamic Behavior of Railway Flat Car in Collision Process; Shijiazhuang Tiedao University: Shijiazhuang, China, 2023. [Google Scholar]
- Zhu, T.; Xiao, S.; Hu, G.; Yang, G.-W.; Yang, C. Crashworthiness analysis of the structure of metro vehicles constructed from typical materials and the lumped parameter model of frontal impact. Transport 2019, 34, 75–88. [Google Scholar] [CrossRef]
- Zhang, J.; Zhu, T.; Yang, B.; Wang, X.; Xiao, S.N.; Guangwu, Y.; Liu, Y.; Che, Q. A rigid–flexible coupling finite element model of coupler for analyzing train instability behavior during collision. Railw. Eng. Sci. 2023, 31, 325–339. [Google Scholar] [CrossRef]
- Jing, L.; Liu, K.; Wang, C. Recentadvances in the collision passive safety of trains andimpact biological damage of drivers and passengers. Explos. Shock. Waves 2021, 41, 121405-1–121405-33. [Google Scholar]
- Hou, L.; Yong, P.; Dong, S. Dynamic analysis of railway vehicle derailment mechanism in train-to-train collision accidents. Proc. Inst. Mech. Eng. Part F J. Rail Rapid Transit 2021, 235, 1022–1034. [Google Scholar] [CrossRef]
- Han, H.-S.; Koo, J.-S. Simulation of Train Crashes in Three Dimensions. Veh. Syst. Dyn. Int. J. Veh. Mech. Mobil. 2003, 40, 435–450. [Google Scholar] [CrossRef]
- Ling, L.; Dhanasekar, M. Assessment of road-rail crossing collision derailments on curved tracks. Aust. J. Struct. Eng. 2017, 18, 125–134. [Google Scholar] [CrossRef]
- Yao, S.; Yan, K.; Lu, S.; Xu, P. Energy-absorption optimisation of locomotives and scaled equivalent model validation. Int. J. Crashworthiness 2017, 22, 441–452. [Google Scholar] [CrossRef]
- Lyu, R.; Lei, C.; Zhu, T.; Xiao, S.N.; Yang, G.W.; Yang, B. Simulation Analysis of Single-vehicle-level Initial Operating States on Metro Train Collision Responses. Urban Mass Transit 2022, 25, 113–119. [Google Scholar]
- BS EN 15227-2020; Railway Applications: Crashworthiness Requirements for Railway Vehicles. Technical Committee CEN/TC 256 Railway Applications, British Standard Institution: London, UK, 2020.
- GM/RT2100; Structural Requirements for Railway Vehicles. Rail Safety and Standards Board: London, UK, 2010.
- UIC (Union Internationale des Chemins de fer). UIC 660: Measures to Ensure the Technical Compatibility of High-Speed Trains; UIC: Paris, France, 2002. [Google Scholar]
- ASME RT-2-2014; Safety Standard for Structural Reauirements for Heavy Rail. Transit Vehicles; The American Society of Mechanical Engineers: New York, NY, USA, 2014.
- Federal Railroad Administration. 49 CFR Parts 229 Railroad Locomotive Safety Standards. Fed. Regist. 2006, 71, 229.1–229.319. [Google Scholar]
- GOST 32410-2013; Emergency Crash-Systems Railway Rolling Stock for Passenger Transportations. Technical Requirements and Methods of Control. Rosstandart: Moscow, Russian, 2014; p. 11. Available online: https://runorm.com/catalog/125/877213/ (accessed on 15 June 2016).
- GB_50157-2013; Code for Design of Metro. National standard of the People ’s Republic of China, China Construction Industry Press: Beijing, China, 2013.
- Briassoulis, D. Equivalent orthotropic Properties of Corrugated Sheets. Comput. Struct. 1986, 23, 129–139. [Google Scholar] [CrossRef]
- Lu, R. Impact Characteristics of Metro Train Couplers and Draft Gears and Its Effects on Derailment Behavio; Southwest Jiaotong University: Chengdu, China, 2021. [Google Scholar]
- Yao, S.; Zhu, H.; Yan, K. The derailment behaviour and mechanism of a subway train under frontal oblique collisions. Int. J. Crashworthiness 2021, 26, 133–146. [Google Scholar] [CrossRef]
- Shi, H.; Luo, R.; Zeng, J. Review on domestic and foreign dynamics evaluation criteria of high-speed train. J. Traffic Transp. Eng. 2021, 21, 36–58. [Google Scholar]
- Zhao, H. A Plastic Hinge Dynamics Modeling and Collision Behavior Response Research of High-Speed Train; Central South University: Changsha, China, 2023. [Google Scholar]
- Sun, L.; Yao, J. Hunting derailment safety evaluation method of high speed railway vehicle. China Railw. Sci. 2013, 3, 82–91. [Google Scholar]
- Pugi, L.; Rindi, A.; Ercole, A.G.; Palazzolo, A.; Auciello, J.; Fioravanti, D.; Ignesti, M. Preliminary studies concerning the application of different braking arrangements on Italian freight trains. Veh. Syst. Dyn. 2011, 49, 1339–1365. [Google Scholar] [CrossRef]





























| Parameter | Value | |
|---|---|---|
| AL6005A-T6 Johnson–Cook model | Yield strength/(MPa) | 260 |
| Elasticity modulus/(MPa) | 70,000 | |
| Density/(kg/m3) | 2700 | |
| Poisson ratio | 0.3 | |
| A | 251.38 | |
| B | 175.32 | |
| n | 0.56 | |
| C | 0.00371 | |
| Vehicle model | Train mass/t | 166 |
| Bogie mass/t | 6.68 | |
| Coupler height/mm | 980 | |
| Center of gravity height/mm | 1500 | |
| Suspension system | Primary vertical spring coefficient/(N/mm) | 2000 |
| Primary lateral spring coefficient/(N/mm) | 4000 | |
| Primary longitudinal spring coefficient/(N/mm) | 30,000 | |
| Secondary vertical spring coefficient/(N/mm) | 660 | |
| Secondary lateral spring coefficient/(N/mm) | 360 | |
| Secondary longitudinal spring coefficient/(N/mm) | 360 |
| Working Condition | Impact Velocity/(km/h) | Impact Angle/(°) | Impact Position | Response Postures | |||
|---|---|---|---|---|---|---|---|
| Carriage-1 | Carriage-2 | Carriage-3 | |||||
| Collision with a rigid wall | TR-V25-A0-Z | 25 | 0 | Frontal collision | Rear wheel derailment | Derailment | Derailment |
| TR-V25-A0-C1 | Front–side collision C1 | Lateral buckling | |||||
| TR-V25-A0-C2 | Front–side collision C2 | Lateral buckling | |||||
| TR-V25-A0-C3 | Front-side collision C3 | Lateral buckling | |||||
| TR-V25-A5 | 5 | / | Lateral buckling | ||||
| TR-V25-A10 | 10 | / | LLMF | Lateral buckling | |||
| TR-V25-A15 | 15 | / | LLMF, Carriage overturn | Lateral buckling | |||
| TR-V25-A20 | 20 | LLMF, Carriage overturn | Carriage overturn | Derailment | |||
| TR-V25-A30 | 30 | / | LLMF, Carriage overturn | Lateral buckling | |||
| TR-V25-A45 | 45 | / | LLMF, Carriage overturn | Carriage overturn | Derailment | ||
| Lateral buckling | |||||||
| TR-V36-A0-Z | 36 | 0 | Frontal collision | Rear wheel derailment | Derailment | Derailment | |
| TR-V36-A0-C1 | Front-side collision C1 | Derailment | Carriage overturn | Derailment | |||
| Lateral buckling | |||||||
| TR-V36-A0-C2 | Front-side collision C2 | Derailment | Carriage overturn | Carriage overturn | |||
| Lateral buckling | |||||||
| TR-V36-A0-C3 | Front-side collision C3 | Carriage overturn | Carriage overturn | Derailment | |||
| Lateral buckling | |||||||
| TR-V36-A5 | 5 | / | LLMF | Carriage overturn | Derailment | ||
| TR-V36-A10 | 10 | / | LLMF, Carriage overturn | Derailment | Derailment | ||
| TR-V36-A15 | 15 | / | LLMF | Carriage overturn | Carriage overturn | ||
| TR-V36-A20 | 20 | LLMF, Carriage overturn | Carriage overturn | Carriage overturn | |||
| TR-V36-A30 | 30 | / | LLMF, Carriage overturn | Derailment | Carriage overturn | ||
| Lateral buckling | |||||||
| TR-V36-A45 | 45 | / | LLMF, Carriage overturn | Carriage overturn | Carriage overturn | ||
| Lateral buckling | |||||||
| TR-V45-A0-Z | 45 | 0 | Frontal collision | Carriage overturn | Carriage overturn | Carriage overturn | |
| TR-V45-A0-C1 | Front-side collision C1 | Lateral buckling | |||||
| TR-V45-A0-C2 | Front-side collision C2 | Derailment | Carriage overturn | Derailment | |||
| Lateral buckling | |||||||
| TR-V45-A0-C3 | Front-side collision C3 | Derailment | Carriage overturn | Derailment | |||
| Lateral buckling | |||||||
| TR-V45-A5 | 5 | / | LLMF | Lateral buckling, Carriage overturn | |||
| TR-V45-A10 | 10 | / | LLMF | Lateral buckling, Carriage overturn | |||
| TR-V45-A15 | 15 | / | LLMF, Carriage overturn | Lateral buckling, Carriage overturn | |||
| TR-V45-A20 | 20 | LLMF, Carriage overturn | Lateral buckling, Carriage overturn | ||||
| TR-V45-A30 | 30 | / | LLMF, Carriage overturn | Lateral buckling, Carriage overturn | |||
| TR-V45-A45 | 45 | / | LLMF, Carriage overturn | Lateral buckling, Carriage overturn | |||
| Train-train collision | TT-V25-A0-Z | 25 | 0 | Frontal collision | / | / | / |
| TT-V25-A5 | 5 | / | / | / | / | ||
| TT-V25-A10 | 10 | / | / | / | / | ||
| TT-V25-A15 | 15 | / | / | D Temporary derailment | / | ||
| TT-V25-A30 | 30 | / | / | D Derailment | D Temporary derailment | ||
| TT-V36-A0-Z | 36 | 0 | Frontal collision | S Temporary derailment | S Temporary derailment | ||
| TT-V45-A0-Z | 45 | 0 | Frontal collision | S, D Temporary derailment | / | / | |
| Front End | Middle Passenger Area | Rear End | |
|---|---|---|---|
| C0 | 89.88 | 13.29 | 62.94 |
| C1 | 97.53 | 8.05 | 112.38 |
| C2 | 113.88 | 8.55 | 71.59 |
| C3 | 154.82 | 10.99 | 100.71 |
| Response Attitude | Conditions |
|---|---|
| Frontal impact | Train-train collision (Speed ≤ 45 km/h) Frontal collision with a rigid wall (Speed ≤ 25 km/h) Accompanied by temporary derailment |
| Climbing | Collision with a rigid wall (Speed > 25 km/h) Accompanied by severe derailment |
| Vertical arch | Collision with a rigid wall (Speed > 25 km/h) Accompanied by severe derailment |
| large lateral movement of the train fron | Angled collision with a rigid wall (Angle > 5°) Accompanied by severe derailment |
| Lateral buckling | Angled collision and front-side collision with a rigid wall |
| Carriage overturn | Oblique and front-side collision with rigid wall Frontal collision with a rigid wall at 45 km/h Accompanied by severe derailment |
Disclaimer/Publisher’s Note: The statements, opinions and data contained in all publications are solely those of the individual author(s) and contributor(s) and not of MDPI and/or the editor(s). MDPI and/or the editor(s) disclaim responsibility for any injury to people or property resulting from any ideas, methods, instructions or products referred to in the content. |
© 2024 by the authors. Licensee MDPI, Basel, Switzerland. This article is an open access article distributed under the terms and conditions of the Creative Commons Attribution (CC BY) license (https://creativecommons.org/licenses/by/4.0/).
Share and Cite
Liu, S.; Yu, Y.; Li, Y.; Liu, R.; Zhang, R. Research on Response Postures of Subway Train in Straight Line Collision. Appl. Sci. 2025, 15, 252. https://doi.org/10.3390/app15010252
Liu S, Yu Y, Li Y, Liu R, Zhang R. Research on Response Postures of Subway Train in Straight Line Collision. Applied Sciences. 2025; 15(1):252. https://doi.org/10.3390/app15010252
Chicago/Turabian StyleLiu, Shuhao, Yiqun Yu, Yi Li, Rongqiang Liu, and Rong Zhang. 2025. "Research on Response Postures of Subway Train in Straight Line Collision" Applied Sciences 15, no. 1: 252. https://doi.org/10.3390/app15010252
APA StyleLiu, S., Yu, Y., Li, Y., Liu, R., & Zhang, R. (2025). Research on Response Postures of Subway Train in Straight Line Collision. Applied Sciences, 15(1), 252. https://doi.org/10.3390/app15010252
