Stability Analysis of Slopes Under Seismic Action with Asynchronous Discounting of Strength Parameters
Abstract
1. Introduction
2. Fundamentals of Non-Equally Proportional Discounting of Strength Parameters
2.1. Methods of Discounting Cohesion and Angle of Internal Friction
2.2. Relationship of Non-Equivalent Reduction Factors
2.3. Reduction in Tensile Strength Parameters
3. Computational Cases
3.1. Computational Models
3.2. Progressive Damage Analysis of Slopes Under Static Loads
3.3. Progressive Damage Analysis of Slopes Under Seismic Loading
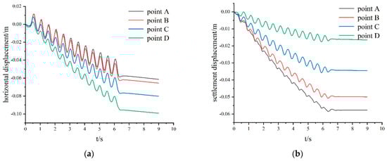
3.4. Displacement and Velocity Development Trend in the Critical Destabilization State of Slope
3.4.1. Determining the Trend in the Displacement Time Curve at the Critical Point
3.4.2. Determination of the Trend in the Velocity–Time Range Curve at the Critical Point
3.4.3. Calculation of Slope Safety Factor
3.5. Slip Face Ratio Analysis
4. Conclusions
- (1)
- Beginning with the fact that the strength parameters of the soil material follow the linear softening and decaying law, functional relationship equations of the deterioration in the cohesion and internal friction angle were obtained. Considering that the destruction of the microunit body in the tensile and shear zones conforms to the tensile–shear joint destruction, finally, the relationship between the tensile strength and the coefficient of the discounting of the cohesion and internal friction angle was deduced. Once the strength parameters of the peak and residual moments of the soil material were determined, the reduction in the tensile strength parameter was solely contingent upon the coefficient of reduction in the internal friction angle.
- (2)
- Slope instability is a progressive and cumulative damage process. A local stress concentration leads to damage and softening of the soil mass. The softened area cannot withstand excessive stress, resulting in the transfer of excessive stress to adjacent soil mass. This process continues until a continuous failure surface is formed. Under static loading, the material experienced shear damage throughout, whereas under seismic loading, shear damage occurred in the lower part of the damage zone, and tensile damage occurred in the upper part of the damage zone.
- (3)
- The stability analysis of the slope can be performed by adopting the concept of the “strength reserve area” to consider the non-equivalent proportion reduction in the strength parameter. The stability of the slope under seismic load was significantly reduced compared to the static load (by approximately 17.3%).
- (4)
- For homogeneous slopes, whether under static or seismic load, the reduction range during intensity reduction included the entire slope model. During the progressive destabilization of the slope, a large plastic zone formed in the foundation, which deviated from the actual slope failure. It is recommended that localized discounting be employed as a means of circumventing this issue.
- (5)
- Homogeneous slopes have a circular slip surface under static loading. However, under seismic loading, the slip surface forms an upward arc at the foot of the slope and a downward vertical tensile zone at the top. The slip surface under seismic loading is shallower than under static loading, while the slip surface with non-equivalent proportion strength reduction is deeper than without.
Author Contributions
Funding
Institutional Review Board Statement
Informed Consent Statement
Data Availability Statement
Conflicts of Interest
References
- Zhao, S.Y.; Zheng, Y.R.; Shi, W.M.; Wang, J.L. Analysis on safety factor of slope by strength reduction FEM. Chin. J. Geotech. Eng. 2002, 24, 333–336. [Google Scholar]
- Chang, Y.; Huang, T. Slope stability analysis using strength reduction technique. J. Chin. Inst. Eng. 2005, 28, 231–240. [Google Scholar] [CrossRef]
- Henok, M.S. Study on the influence of slope height and angle on the factor of safety and shape of failure of slopes based on strength reduction method of analysis. Beni-Suef Univ. J. Basic Appl. Sci. 2021, 10, 31. [Google Scholar]
- Zheng, Y.R.; Zhao, S.Y.; Song, Y.K. Advance of study on the strength reduction finite element method. J. Logist. Eng. Univ. 2005, 3, 1–6. [Google Scholar]
- Tang, F.; Zheng, Y.R. Mechanism analysis on dual reduction factors about the progressive failure of slope. Chin. J. Undergr. Space Eng. 2008, 4, 436–464. [Google Scholar]
- Tang, F.; Zheng, Y.R.; Zhao, S.Y. Discussion on two safety factors for progressive failure of soil slope. Chin. J. Rock Mech. Eng. 2007, 26, 1402–1407. [Google Scholar]
- Gao, B.L.; Wei, Z.H.; Ren, J.X.; Zhang, L.Q.; Cai, Z.Y.; Li, D. Stability evaluation of slope block considering structural surface deterioration under rainfall. China Civ. Eng. J. 2024, 10, 95–107. [Google Scholar]
- Xiao, Y.; Deng, H.F.; Li, J.L.; Zhang, Y.C.; Wang, W.; Fang, J.C. Research on strength reduction method based on double strength reduction factors and considering natural degradation rule of soil mechanics properties. Ind. Constr. 2017, 12, 127–132. [Google Scholar]
- Xue, H.B.; Dang, F.N.; Yin, X.T.; Yang, C.; Yan, F. Research on method of slope strenath parameters nonproportional associated reduction. Chin. J. Rock Mech. Eng. 2015, 34, 4005–4012. [Google Scholar]
- Han, L.Q.; Wu, S.C.; Li, Z.P. Study of non-proportional strength reduction method based on Hoek-Brown failure criterion. Rock Soil Mech. 2016, 37, 690–696. [Google Scholar]
- Zhang, F.L.; Su, Y.H.; Guo, L.Y. Research on double reduction factors method based on soil softening law. J. Railw. Sci. Eng. 2019, 16, 2212–2222. [Google Scholar]
- Zheng, H.; Li, C.G.; Li, Z.F.; Ge, X.R. Finite element method for solving the factor of safety. Chin. J. Geotech. Eng. 2002, 24, 626–628. [Google Scholar]
- Yang, G.H.; Zhang, Y.C.; Zhang, Y.X. Variable modulus elastoplastic strength reduction method and its application to slope stability analysis. Chin. J. Rock Mech. Eng. 2009, 28, 1506–1512. [Google Scholar]
- Yang, L.; Shi, X.Y.; Chen, Q.; Wei, Y.J.; Zhang, M.; Lu, W. Mechanism and laws of deterioration and damage of gneisses under cyclic loading. Bull. Geol. Sci. Technol. 2020, 5, 55–60. [Google Scholar]
- Ni, W.D.; Tang, H.M.; Liu, X.; Wu, Y.P. Dynamic stability analysis of rock slope considering vibration deterioration of structural planes under seismic loading. Chin. J. Rock Mech. Eng. 2013, 3, 492–500. [Google Scholar]
- Wang, W.; Chen, G.Q.; Zhu, J.; Huang, R.Q. Slope stability calculated with strength reduction method considering tensile and shear progressive failure. Chin. J. Rock Mech. Eng. 2018, 9, 2064–2074. [Google Scholar]
- Chen, G.H.; Cai, P.; Zhan, J.W.; Yang, Y.Q.; Yao, Z.W. Deformation Patterns and Failure Mechanisms of Soft-Hard-Interbedded Anti-Inclined Layered Rock Slope in Wolong Open-Pit Coal Mine. Appl. Sci. 2024, 14, 3082. [Google Scholar] [CrossRef]
- Zheng, Y.R.; Ye, H.L.; Huang, R.Q. Analysis and discussion of failure mechanism and fracture surface of slope under earthquake. Chin. J. Rock Mech. Eng. 2009, 28, 1714–1723. [Google Scholar]
- Zheng, Y.R.; Zhao, S.Y. Application of strength reduction FEM in soil and rock slope. Chin. J. Rock Mech. Eng. 2004, 23, 3381–3388. [Google Scholar]
- Tang, F.; Zheng, Y.R. Analysis on safety reserve of slope with two strength reduction factor. J. Chongqing Jiaotong Univ. (Nat. Sci.) 2007, 26, 95–100. [Google Scholar]
- Han, J.X.; Li, S.C.; Li, S.C.; Yang, W.M.; Wang, L. Study of post-peak stress-strain relationship of rock material based on evolution of strength parameters. Rock Soil Mech. 2013, 34, 342–346. [Google Scholar]
- Liu, S.Q.; Hong, B.N.; Xu, F.Q.; Cheng, T. Sensitivity studies on factors influencing stability of high liquid limit soil slope. J. Disaster Prev. Mitig. Eng. 2014, 34, 589–596. [Google Scholar]
- Guo, F.; Liang, Z.Z.; Gong, B.; Lin, G. Tensile failure in stability analysis of rock and soil slopes. Chin. J. Rock Mech. Eng. 2017, 36, 3192–3205. [Google Scholar]
- Yuan, W.; Li, X.C.; Bai, B.; Shi, L. A strength reduction method considering tensile failure. Chin. J. Rock Mech. Eng. 2014, 33, 3009–3014. [Google Scholar]
















| Density/(kg/m3) | Modulus of Elasticity/(kPa) | Poisson’s Ratio | Peak Intensity Parameter | Residual Strength Parameters | Tensile Strength/kPa | ||
|---|---|---|---|---|---|---|---|
| Cohesion/kPa | Angle of Internal Friction/° | Cohesion/kPa | Angle of Internal Friction/° | ||||
| 1930 | 5.65 × 104 | 0.3 | 25 | 20 | 7.9 | 10 | 10 |
Disclaimer/Publisher’s Note: The statements, opinions and data contained in all publications are solely those of the individual author(s) and contributor(s) and not of MDPI and/or the editor(s). MDPI and/or the editor(s) disclaim responsibility for any injury to people or property resulting from any ideas, methods, instructions or products referred to in the content. |
© 2024 by the authors. Licensee MDPI, Basel, Switzerland. This article is an open access article distributed under the terms and conditions of the Creative Commons Attribution (CC BY) license (https://creativecommons.org/licenses/by/4.0/).
Share and Cite
Wang, R.; Yan, H.; Yao, J.; Li, Z. Stability Analysis of Slopes Under Seismic Action with Asynchronous Discounting of Strength Parameters. Appl. Sci. 2025, 15, 169. https://doi.org/10.3390/app15010169
Wang R, Yan H, Yao J, Li Z. Stability Analysis of Slopes Under Seismic Action with Asynchronous Discounting of Strength Parameters. Applied Sciences. 2025; 15(1):169. https://doi.org/10.3390/app15010169
Chicago/Turabian StyleWang, Ruipeng, Hongye Yan, Junkai Yao, and Zhuqing Li. 2025. "Stability Analysis of Slopes Under Seismic Action with Asynchronous Discounting of Strength Parameters" Applied Sciences 15, no. 1: 169. https://doi.org/10.3390/app15010169
APA StyleWang, R., Yan, H., Yao, J., & Li, Z. (2025). Stability Analysis of Slopes Under Seismic Action with Asynchronous Discounting of Strength Parameters. Applied Sciences, 15(1), 169. https://doi.org/10.3390/app15010169
