Immediate Effects of Dynamic Cupping on Shoulder Active Range of Motion of Senior Male Handball Players: A Randomized Controlled Trial
Abstract
1. Introduction
2. Materials and Methods
2.1. Ethical Considerations
2.2. Sample Selection
2.3. Protocol
2.4. Statistical Procedures
3. Results
4. Discussion
5. Conclusions
Supplementary Materials
Author Contributions
Funding
Institutional Review Board Statement
Informed Consent Statement
Data Availability Statement
Conflicts of Interest
References
- Garganta, J. Para uma teoria dos jogos desportivos colectivos. O Ensino Jogos Desport. 1998, 3, 11–25. [Google Scholar]
- Ribeiro, M.; Volossovitch, A. Andebol 2. O ensino do jogo dos 11 aos 14 anos. Campos 2008, 8, 19. [Google Scholar]
- Menezes, R.P. Model of Technical-Tactical Analysis of Handball Game: Needs, Perspectives and Implications of an Interpretation Model of Game Situations in Real Time. Ph.D. Thesis, Universidade Estadual de Campinas, Campinas, Brazil, 2011. [Google Scholar]
- Sousa, D.; Sequeira, P.; Mendo, A.H. Análise da qualidade dos dados de um instrumento para observação do 2 vs 2 no andebol. Rev. Iberoam. Psicol. Ejerc. Deporte 2014, 9, 173–190. [Google Scholar]
- Pezarat-Correia, P. Perfil Muscular do Ombro de Atletas Praticantes de Acções de Lançamento. Rev. Port. Fisioter. No Desporto 2010, 4, 34–42. [Google Scholar]
- Seil, R.; Rupp, S.; Tempelhof, S.; Kohn, D. Sports injuries in team handball. Am. J. Sports Med. 1998, 26, 681–687. [Google Scholar] [CrossRef] [PubMed]
- Saha, F.J.; Schumann, S.; Cramer, H.; Hohmann, C.; Choi, K.-E.; Rolke, R.; Langhorst, J.; Rampp, T.; Dobos, G.; Lauche, R. The effects of cupping massage in patients with chronic neck pain—A randomised controlled trial. Complement. Med. Res. 2017, 24, 26–32. [Google Scholar] [CrossRef] [PubMed]
- Bridgett, R.; Klose, P.; Duffield, R.; Mydock, S.; Lauche, R. Effects of cupping therapy in amateur and professional athletes: Systematic review of randomized controlled trials. J. Altern. Complement. Med. 2018, 24, 208–219. [Google Scholar] [CrossRef]
- Arslan, M.; Yeşilçam, N.; Aydin, D.; Yüksel, R.; Dane, Ş. Wet cupping therapy restores sympathovagal imbalances in cardiac rhythm. J. Altern. Complement. Med. 2014, 20, 318–321. [Google Scholar] [CrossRef]
- Yoo, S.S.; Tausk, F. Cupping: East meets west. Int. J. Dermatol. 2004, 43, 664–665. [Google Scholar] [CrossRef] [PubMed]
- Tham, L.M.; Lee, H.P.; Lu, C. Cupping: From a biomechanical perspective. J. Biomech. 2006, 39, 2183–2193. [Google Scholar] [CrossRef]
- Aboushanab, T.S.; AlSanad, S. Cupping therapy: An overview from a modern medicine perspective. J. Acupunct. Meridian Stud. 2018, 11, 83–87. [Google Scholar] [CrossRef] [PubMed]
- Al-Bedah, A.M.; Shaban, T.; Suhaibani, A.; Gazzaffi, I.; Khalil, M.; Qureshi, N.A. Safety of cupping therapy in studies conducted in twenty one century: A review of literature. Br. J. Med. Med. Res. 2016, 15, 1e12. [Google Scholar] [CrossRef] [PubMed]
- Klecan, K. The Use of Dry Cupping with Active Movement to Increase Functional Mobility and Decrease Pain in a Patient with Cervical Disc Disorder: A Case Report. Ph.D. Thesis, University of Iowa, Iowa City, IA, USA, 2018. [Google Scholar]
- Hebting, J.M.; Allègre, B.; Billottet, O.; Gary Bobo, A. La Kinéplastie: Traitement des Cicatrices Traumatiques ou Chirurgicales; Expansion Scientifique Française: Paris, France, 1995. [Google Scholar]
- Chang, P.; Wiseman, J.; Jacoby, T.; Salisbury, A.; Ersek, R.A. Noninvasive mechanical body contouring: (Endermologie) a one-year clinical outcome study update. Aesthetic Plast. Surg. 1998, 22, 145–153. [Google Scholar] [CrossRef]
- Liu, W.; Piao, S.-A.; Meng, X.-W.; Wei, L.-H. Effects of cupping on blood flow under skin of back in healthy human. World J. Acupunct. Moxibustion 2013, 23, 50–52. [Google Scholar] [CrossRef]
- Lowe, D.T. Cupping therapy: An analysis of the effects of suction on skin and the possible influence on human health. Complement. Ther. Clin. Pract. 2017, 29, 162–168. [Google Scholar] [CrossRef] [PubMed]
- Gordon, C.; Emiliozzi, C.; Zartarian, M. Use of a mechanical massage technique in the treatment of fibromyalgia: A preliminary study. Arch. Phys. Med. Rehabil. 2006, 87, 145–147. [Google Scholar] [CrossRef] [PubMed]
- Emerich, M.; Braeunig, M.; Clement, H.; Lüdtke, R.; Huber, R. Mode of action of cupping—Local metabolism and pain thresholds in neck pain patients and healthy subjects. Complement. Ther. Med. 2014, 22, 148–158. [Google Scholar] [CrossRef]
- Rozenfeld, E.; Kalichman, L. New is the well-forgotten old: The use of dry cupping in musculoskeletal medicine. J. Bodyw. Mov. Ther. 2016, 20, 173–178. [Google Scholar] [CrossRef] [PubMed]
- Lin, M.-L.; Lin, C.-W.; Hsieh, Y.-H.; Wu, H.-C.; Shih, Y.-S.; Su, C.-T.; Chiu, I.-T.; Wu, J.-H. Evaluating the effectiveness of low level laser and cupping on low back pain by checking the plasma cortisol level. In Proceedings of the 2014 IEEE International Symposium on Bioelectronics and Bioinformatics, Chung Li, Taiwan, 11–14 April 2014; pp. 1–4. [Google Scholar]
- Khalil, A.M.; AlQaoud, K.; Shaqqour, H.M. Investigation of selected immunocytogenetic effects of wet cupping in healthy men. Spatula DD 2013, 3, 51–57. [Google Scholar] [CrossRef]
- World Medical Association. World Medical Association Declaration of Helsinki: Ethical principles for medical research involving human subjects. JAMA 2013, 310, 2191–2194. [Google Scholar] [CrossRef] [PubMed]
- Mehta, P.; Dhapte, V. Cupping therapy: A prudent remedy for a plethora of medical ailments. J. Tradit. Complement. Med. 2015, 5, 127–134. [Google Scholar] [CrossRef] [PubMed]
- De Agostini, M.; Dellatolas, G. Une épreuve simple pour évaluer la préférence manuelle chez l’enfant à partir de 3 ans. Enfance 1988, 41, 139–147. [Google Scholar] [CrossRef]
- Marques, A.P. Manual de Goniometria; Editora Manole: Sao Paulo, Brazil, 1997. [Google Scholar]
- Norkin, C.C.; White, D.J. Medida do Movimento Articular: Manual de Goniometria; Artes Médicas: Minneapolis, MN, USA, 1997. [Google Scholar]
- Kolber, M.J.; Hanney, W.J. The reliability and concurrent validity of shoulder mobility measurements using a digital inclinometer and goniometer: A technical report. Int. J. Sports Phys. Ther. 2012, 7, 306. [Google Scholar]
- Markowski, A.; Sanford, S.; Pikowski, J.; Fauvell, D.; Cimino, D.; Caplan, S. A pilot study analyzing the effects of Chinese cupping as an adjunct treatment for patients with subacute low back pain on relieving pain, improving range of motion, and improving function. J. Altern. Complement. Med. 2014, 20, 113–117. [Google Scholar] [CrossRef] [PubMed]
- Smith, K.S. Effect of Myofascial Decompression on Shoulder Range of Motion and Strength of Healthy Overhead Athletes. Ph.D. Thesis, Oklahoma State University, Stillwater, OK, USA, 2015. [Google Scholar]
- Sadek, T. Effects of cupping therapy based on stabilization core exercices on low back pain for soccer players in State of United Arab Emirates. Ovidius Univ. Ann. Ser. Phys. Educ. Sport Sci. Mov. Health 2016, 16, 684–690. [Google Scholar]
- Gajdosik, R.L.; Allred, J.D.; Gabbert, H.L.; Sonsteng, B.A. A stretching program increases the dynamic passive length and passive resistive properties of the calf muscle-tendon unit of unconditioned younger women. Eur. J. Appl. Physiol. 2007, 99, 449–454. [Google Scholar] [CrossRef] [PubMed]
- Herzog, W. Force enhancement following stretch of activated muscle: Critical review and proposal for mechanisms. Med. Biol. Eng. Comput. 2005, 43, 173–180. [Google Scholar] [CrossRef] [PubMed]
- Mutungi, G.; Ranatunga, K.W. The viscous, viscoelastic and elastic characteristics of resting fast and slow mammalian (rat) muscle fibres. J. Physiol. 1996, 496, 827–836. [Google Scholar] [CrossRef]



| Variables | n | Control Group Median (IQR) | Experimental Group Median (IQR) | p |
|---|---|---|---|---|
| Age (years) | 40 | 19.5 (9.8) | 19.0 (8.8) | 0.589 |
| Body mass index (kg/m2) | 40 | 24.8 (4.3) | 24.9 (7.6) | 0.885 |
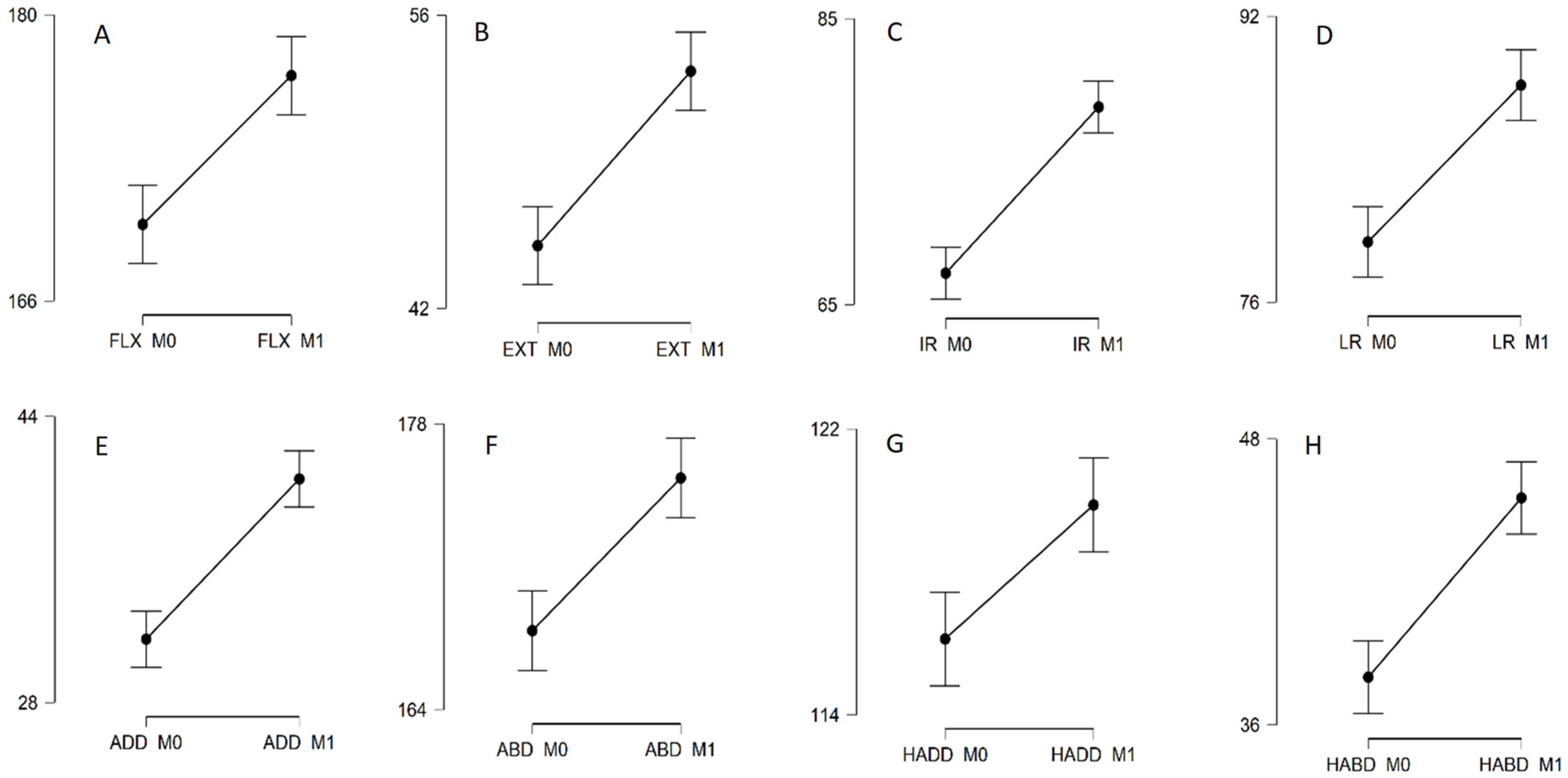
| Variables (°) | n | Group | M0 | M1 | p # | e.s. # |
|---|---|---|---|---|---|---|
| Median (IQR) | Median (IQR) | |||||
| Flexion | 40 | CG | 178.0 (18.8) | 178.0 (17.8) | 0.878 | 0.041 (−0.451; 0.513) |
| 40 | IG | 170.0 (17.8) | 180.0 (8.0) | 0.001 * | −0.983 (−0.993; −0.959) | |
| p † | 0.525 | 0.012 * | ||||
| e.s. † | 0.079 (−0.173; 0.322) | −0.301(−0.512; −0.056) | ||||
| Extension | 40 | CG | 45.0 (16.8) | 45.5 (17.3) | 0.728 | −0.080 (−0.491; 0.360) |
| 40 | IG | 45.0 (10.0) | 50.0 (5.8) | 0.001 * | −0.987 (−0.994; −0.971) | |
| p † | 0.277 | 0.010 * | ||||
| e.s. † | 0.141 (−0.113; 0.377) | −0.329 (−0.535; −0.087) | ||||
| Internal rotation | 40 | CG | 72.0 (20.0) | 73.0 (18.6) | 0.042 * | −0.453 (−0.730; −0.049) |
| 40 | IG | 65.0 (18.0) | 80.0 (13.25) | 0.001 * | −0.995 (−0.998; −0.990) | |
| p † | 0.342 | 0.009 * | ||||
| e.s. † | 0.123 (−0.130; 0.361) | −0.336 (−0.540; −0.095) | ||||
| External rotation | 40 | CG | 85.0 (16.0) | 83.0 (18.0) | 0.518 | −0.150 (−0.543; 0.297) |
| 40 | IG | 85.5 (18.0) | 90.0 (1.5) | 0.001 * | −0.994 (−0.997; −0.987) | |
| p † | 0.543 | 0.001 * | ||||
| e.s. † | 0.078 (−0.175; 0.321) | −0.469 (−0.643; −0.249) | ||||
| Abduction | 40 | CG | 172.0 (22.3) | 175.0 (20.8) | 0.091 | −0.429 (−0.743; 0.042) |
| 40 | IG | 170.0 (20.0) | 180.0 (7.25) | 0.001 * | −0.953 (−0.979; −0.896) | |
| p † | 0.938 | 0.013 * | ||||
| e.s. † | 0.010 (−0.240; 0.259) | −0.313 (−0.521; −0.069) | ||||
| Adduction | 40 | CG | 30.0 (12.0) | 32.0 (11.0) | 0.011 * | −0.542 (−0.774; −0.181) |
| 40 | IG | 30.0 (14.5) | 40.0 (9.25) | 0.001 * | −1.000 (−1.000; −1.000) | |
| p † | 0.597 | 0.001 * | ||||
| e.s. † | 0.068 (−0.184; 0.312) | −0.526 (−0.685; −0.318) | ||||
| Horizontal abduction | 40 | CG | 31.0 (15.8) | 33.0 (14.0) | 0.004 * | −0.667 (−0.852; −0.334) |
| 40 | IG | 40.0 (14.0) | 48.0 (10.0) | 0.001 * | −0.965 (−0.984; −0.928) | |
| p † | 0.019 * | 0.001 * | ||||
| e.s. † | −0.303 (−0.514; −0.058) | −0.637 (−0.765; −0.462) | ||||
| Horizontal adduction | 40 | CG | 115.5 (14.8) | 120.0 (13.0) | 0.005 * | −0.778 (−0.919; −0.461) |
| 40 | IG | 120.0 (7.25) | 120.0 (0.0) | 0.001 * | −1.000 (−1.000; −1.000) | |
| p † | 0.060 | 0.002 * | ||||
| e.s. † | −0.227 (−0.451; 0.024) | −0.341 (−0.544; −0.101) | ||||
Disclaimer/Publisher’s Note: The statements, opinions and data contained in all publications are solely those of the individual author(s) and contributor(s) and not of MDPI and/or the editor(s). MDPI and/or the editor(s) disclaim responsibility for any injury to people or property resulting from any ideas, methods, instructions or products referred to in the content. |
© 2024 by the authors. Licensee MDPI, Basel, Switzerland. This article is an open access article distributed under the terms and conditions of the Creative Commons Attribution (CC BY) license (https://creativecommons.org/licenses/by/4.0/).
Share and Cite
Cardoso, R.; Seixas, A.; Moreira-Silva, I.; Azevedo, J.; Duarte, D. Immediate Effects of Dynamic Cupping on Shoulder Active Range of Motion of Senior Male Handball Players: A Randomized Controlled Trial. Appl. Sci. 2025, 15, 126. https://doi.org/10.3390/app15010126
Cardoso R, Seixas A, Moreira-Silva I, Azevedo J, Duarte D. Immediate Effects of Dynamic Cupping on Shoulder Active Range of Motion of Senior Male Handball Players: A Randomized Controlled Trial. Applied Sciences. 2025; 15(1):126. https://doi.org/10.3390/app15010126
Chicago/Turabian StyleCardoso, Ricardo, Adérito Seixas, Isabel Moreira-Silva, Joana Azevedo, and Diogo Duarte. 2025. "Immediate Effects of Dynamic Cupping on Shoulder Active Range of Motion of Senior Male Handball Players: A Randomized Controlled Trial" Applied Sciences 15, no. 1: 126. https://doi.org/10.3390/app15010126
APA StyleCardoso, R., Seixas, A., Moreira-Silva, I., Azevedo, J., & Duarte, D. (2025). Immediate Effects of Dynamic Cupping on Shoulder Active Range of Motion of Senior Male Handball Players: A Randomized Controlled Trial. Applied Sciences, 15(1), 126. https://doi.org/10.3390/app15010126

