Electrochemical Deposition of Bismuth on Graphite Felt Electrodes: Influence on Negative Half-Cell Reactions in Vanadium Redox Flow Batteries
Abstract
1. Introduction
2. Experimental
2.1. Electrodes Modification
2.2. Characterization
2.3. Cell Assembly and Test
3. Results and Discussion
3.1. Electrochemical Performance
3.2. SEM, FTIR and XRD
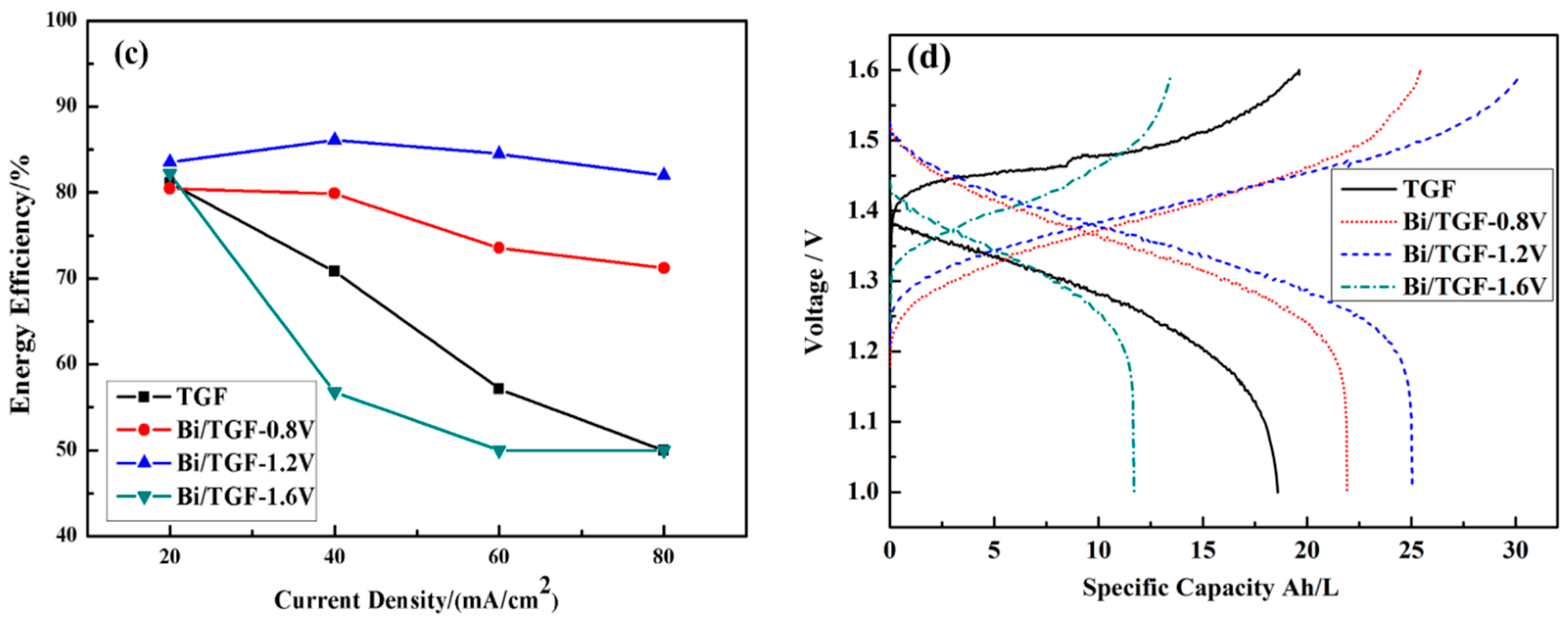
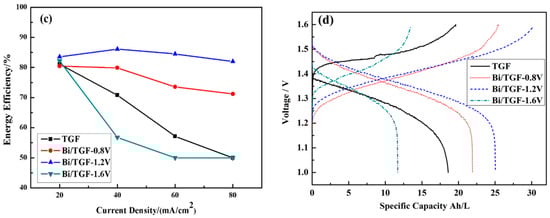
3.3. Cell Performance Tests
4. Conclusions
Supplementary Materials
Author Contributions
Funding
Data Availability Statement
Conflicts of Interest
References
- Zhang, H.; Sun, C. Cost-effective iron-based aqueous redox flow batteries for large-scale energy storage application: A review. J. Power Sources 2021, 493, 229445. [Google Scholar] [CrossRef]
- Sun, C.; Zhang, H. Review of the development of first-generation redox flow batteries: Iron-chromium system. ChemSusChem 2022, 15, e202101798. [Google Scholar] [CrossRef] [PubMed]
- Wu, M.; Nan, M.; Ye, Y.; Yang, M.; Qiao, L.; Zhang, H.; Ma, X. A highly active electrolyte for high-capacity iron-chromium flow batteries. Appl. Energy 2024, 358, 122534. [Google Scholar] [CrossRef]
- Perry, M.L.; Saraidaridis, J.D.; Darling, R.M. Crossover mitigation strategies for redox-flow batteries. Curr. Opin. Electrochem. 2020, 21, 311–318. [Google Scholar] [CrossRef]
- Roznyatovskaya, N.; Herr, T.; Küttinger, M.; Fühl, M.; Noack, J.; Pinkwart, K.; Tübke, J. Detection of capacity imbalance in vanadium electrolyte and its electrochemical regeneration for all-vanadium redox-flow batteries. J. Power Sources 2016, 302, 79–83. [Google Scholar] [CrossRef]
- Orapeleng, K.; Wills, R.G.A.; Cruden, A. Developing electrolyte for a soluble lead redox flow battery by reprocessing spent lead acid battery electrodes. Batteries 2017, 3, 15. [Google Scholar] [CrossRef]
- Zeng, Y.; Li, F.; Lu, F.; Zhou, X.; Yuan, Y.; Cao, X.; Xiang, B. A hierarchical interdigitated flow field design for scale-up of high-performance redox flow batteries. Energy Adv. 2023, 2, 2006–2017. [Google Scholar] [CrossRef]
- Lu, W.; Li, X. Advanced membranes boost the industrialization of flow battery. Acc. Mater. Res. 2023, 4, 681–692. [Google Scholar] [CrossRef]
- Jiang, Y.; Liu, Z.; Lv, Y.; Tang, A.; Dai, L.; Wang, L.; He, Z. Perovskite enables high performance vanadium redox flow battery. Chem. Eng. J. 2022, 443, 136341. [Google Scholar] [CrossRef]
- Yu, L.; Lin, F.; Xiao, W.; Xu, L.; Xi, J. Achieving efficient and inexpensive vanadium flow battery by combining CexZr1−xO2 electrocatalyst and hydrocarbon membrane. Chem. Eng. J. 2019, 356, 622–631. [Google Scholar] [CrossRef]
- Jiang, H.; Sun, J.; Wei, L.; Wu, M.; Shyy, W.; Zhao, T. A high power density and long cycle life vanadium redox flow battery. Energy Storage Mater. 2020, 24, 529–540. [Google Scholar] [CrossRef]
- Jang, J.; Shin, M.; Kwon, Y.; Jo, C. Carbon cloth modified by direct growth of nitrogen-doped carbon nanofibers and its utilization as electrode for zero gap flow batteries. Chem. Eng. J. 2024, 481, 148644. [Google Scholar] [CrossRef]
- Zhang, H.; Chen, N.; Sun, C.; Luo, X. Investigations on physicochemical properties and electrochemical performance of graphite felt and carbon felt for iron-chromium redox flow battery. Int. J. Energy Res. 2020, 44, 3839–3853. [Google Scholar] [CrossRef]
- Sun, C.; Negro, E.; Nale, A.; Pagot, G.; Vezzù, K.; Zawodzinski, T.A.; Meda, L.; Gambaro, C.; Di Noto, V. An efficient barrier toward vanadium crossover in redox flow batteries: The bilayer [Nafion/(WO3)x] hybrid inorganic-organic membrane. Electrochim. Acta 2021, 378, 138133. [Google Scholar] [CrossRef]
- Shanahan, B.; Seteiz, K.; Heizmann, P.A.; Koch, S.; Büttner, J.; Ouardi, S.; Vierrath, S.; Fischer, A.; Breitwieser, M. Rapid wet-chemical oxidative activation of graphite felt electrodes for vanadium redox flow batteries. RSC Adv. 2021, 11, 32095–32105. [Google Scholar] [CrossRef] [PubMed]
- Mazur, P.; Mrlik, J.; Pocedic, J.; Vrana, J.; Dundalek, J.; Kosek, J.; Bystron, T. Effect of graphite felt properties on the long-term durability of negative electrode in vanadium redox flow battery. J. Power Sources 2019, 414, 354–365. [Google Scholar] [CrossRef]
- Deng, Q.; HuangYang, X.; Zhang, X.; Xiao, Z.; Zhou, W.; Wang, H.; Liu, H.; Zhang, F.; Li, C.; Wu, X.; et al. Edge-rich multidimensional frame carbon as high-performance electrode material for vanadium redox flow batteries. Adv. Energy Mater. 2022, 12, 2103186. [Google Scholar] [CrossRef]
- Ghimire, P.C.; Schweiss, R.; Scherer, G.G.; Lim, T.M.; Wai, N.; Bhattarai, A.; Yan, Q. Optimization of thermal oxidation of electrodes for the performance enhancement in all-vanadium redox flow battery. Carbon 2019, 155, 176–185. [Google Scholar] [CrossRef]
- Hyun, K.; Shin, M.; Kwon, Y. Performance evaluation of zero-gap vanadium redox flow battery using composite electrode consisting of graphite and buckypaper. Korean J. Chem. Eng. 2022, 39, 3315–3322. [Google Scholar] [CrossRef]
- Sun, B.; Skyllas-Kazacos, M. Modification of graphite electrode materials for vanadium redox flow battery application—Part I. Thermal treatment. Electrochim. Acta 1992, 37, 1253–1260. [Google Scholar] [CrossRef]
- Sun, B.; Skyllas-Kazacos, M. Chemical modification of graphite electrode materials for vanadium redox flow battery application—Part II. Acid treatments. Electrochim. Acta 1992, 37, 2459–2465. [Google Scholar] [CrossRef]
- Yoon, S.J.; Kim, S.; Kim, D.K.; So, S.; Hong, Y.T.; Hempelmann, R. Ionic liquid derived nitrogen-doped graphite felt electrodes for vanadium redox flow batteries. Carbon 2020, 166, 131–137. [Google Scholar] [CrossRef]
- Park, S.E.; Yang, S.Y.; Kim, K.J. Boron-functionalized carbon felt electrode for enhancing the electrochemical performance of vanadium redox flow batteries. Appl. Surf. Sci. 2021, 546, 148941. [Google Scholar] [CrossRef]
- Yang, I.; Lee, S.; Jang, D.; Lee, J.-E.; Cho, S.Y.; Lee, S. Enhancing energy efficiency and long-term durability of vanadium redox flow battery with catalytically graphitized carbon fiber felts as electrodes by boron doping. Electrochim. Acta 2022, 429, 141033. [Google Scholar] [CrossRef]
- Gautam, R.K.; Kapoor, M.; Verma, A. Tactical surface modification of a 3D graphite felt as an electrode of vanadium redox flow batteries with enhanced electrolyte utilization and fast reaction kinetics. Energy Fuels 2020, 34, 5060–5071. [Google Scholar] [CrossRef]
- Kaur, A.; Jeong, K.I.; Kim, S.S.; Lim, J.W. Optimization of thermal treatment of carbon felt electrode based on the mechanical properties for high-efficiency vanadium redox flow batteries. Compos. Struct. 2022, 290, 115546. [Google Scholar] [CrossRef]
- Kim, J.; Park, H. Recent advances in porous electrodes for vanadium redox flow batteries in grid-scale energy storage systems: A mass transfer perspective. J. Power Sources 2022, 545, 231904. [Google Scholar] [CrossRef]
- Wang, S.; Xu, Z.; Wu, X.; Zhao, H.; Zhao, J.; Liu, J.; Yan, C.; Fan, X. Excellent stability and electrochemical performance of the electrolyte with indium ion for iron–chromium flow battery. Electrochim. Acta 2020, 368, 137524. [Google Scholar] [CrossRef]
- Zhang, X.Y.; Valencia, A.; Li, W.L. Decoupling activation and transport by electron-regulated atomic-Bi harnessed surface-to-pore interface for vanadium redox flow battery. Adv. Mater. 2023, 36, 2305415. [Google Scholar] [CrossRef]
- Xie, C.; Yan, H.; Song, Y.; Song, Y.; Yan, C.; Tang, A. Catalyzing anode Cr2+/Cr3+ redox chemistry with bimetallic electrocatalyst for high-performance iron-chromium flow batteries. J. Power Sources 2023, 564, 232860. [Google Scholar] [CrossRef]
- Chen, F.; Cheng, X.; Liu, L.; Han, L.; Liu, J.; Chen, H.; Zhang, Q.; Yan, C. Modification of carbon felt electrode by MnO@C from metal-organic framework for vanadium flow battery. J. Power Sources 2023, 580, 233421. [Google Scholar] [CrossRef]
- Xiang, Y.; Daoud, W.A. Investigation of an advanced catalytic effect of cobalt oxide modification on graphite felt as the positive electrode of the vanadium redox flow battery. J. Power Sources 2019, 416, 175–183. [Google Scholar] [CrossRef]
- Kabtamu, D.M.; Bayeh, A.W.; Chiang, T.C.; Chang, Y.C.; Lin, G.Y.; Wondimu, T.H.; Su, S.K.; Wang, C.H. TiNb2O7 nanoparticle-decorated graphite felt as a high-performance electrode for vanadium redox flow batteries. Appl. Surf. Sci. 2018, 462, 73–80. [Google Scholar] [CrossRef]
- Yang, H.; Fan, C.; Zhu, Q. Sucrose pyrolysis assembling carbon nanotubes on graphite felt using for vanadium redox flow battery positive electrode. J. Energy Chem. 2018, 27, 451–454. [Google Scholar] [CrossRef]
- Fu, H.; Bao, X.; He, M.; Xu, J.; Miao, Z.; Ding, M.; Liu, J.; Jia, C. Defect-rich graphene skin modified carbon felt as a highly enhanced electrode for vanadium redox flow batteries. J. Power Sources 2022, 556, 232443. [Google Scholar] [CrossRef]
- Opar, D.O.; Nankya, R.; Lee, J.; Jung, H. Three-dimensional mesoporous graphene-modified carbon felt for high-performance vanadium redox flow batteries. Electrochim. Acta 2020, 330, 135276. [Google Scholar] [CrossRef]
- Li, B.; Gu, M.; Nie, Z.; Shao, Y.; Luo, Q.; Wei, X.; Li, X.; Xiao, J.; Wang, C.; Sprenkle, V.; et al. Bismuth nanoparticle decorating graphite felt as a high-performance electrode for an all-vanadium redox flow battery. Nano Lett. 2013, 13, 1330–1335. [Google Scholar] [CrossRef] [PubMed]
- Suárez, D.J.; González, Z.; Blanco, C.; Granda, M.; Menéndez, R.; Santamaría, R. Graphite felt modified with bismuth nanoparticles as negative electrode in a vanadium redox flow battery. ChemSusChem 2014, 7, 914–918. [Google Scholar] [CrossRef] [PubMed]
- Flox, C.; Murcia-López, S.; Carretero, N.M.; Ros, C.; Morante, J.R.; Andreu, T. Role of bismuth in the electrokinetics of silicon photocathodes for solar rechargeable vanadium redox flow batteries. ChemSusChem 2018, 11, 125–129. [Google Scholar] [CrossRef]
- Yang, X.; Liu, T.; Xu, C.; Zhang, H.; Li, X.; Zhang, H. The catalytic effect of bismuth for VO2+/VO2+ and V3+/V2+ redox couples in vanadium flow batteries. J. Energy Chem. 2017, 26, 1–7. [Google Scholar] [CrossRef]
- Yang, Z.; Wei, Y.; Zeng, Y.; Yuan, Y. Effects of in-situ bismuth catalyst electrodeposition on performance of vanadium redox flow batteries. J. Power Sources 2021, 506, 230238. [Google Scholar] [CrossRef]
- Che, H.X.; Gao, Y.F.; Yang, J.H.; Hong, S.; Hao, L.D.; Xu, L.; Taimoor, S.; Robertson, A.W.; Sun, Z.Y. Bismuth nanoparticles anchored on N-doped graphite felts to give stable and efficient iron-chromium redox flow batteries. New Carbon Mater. 2024, 39, 131–141. [Google Scholar] [CrossRef]
- Zhang, Q.A.; Yan, H.; Song, Y.; Yang, J.; Song, Y.; Tang, A. Boosting anode kinetics in vanadium flow batteries with catalytic bismuth nanoparticle decorated carbon felt via electro-deoxidization processing. J. Mater. Chem. A 2023, 11, 8700–8709. [Google Scholar] [CrossRef]
- Zhou, X.; Zhang, X.; Mo, L.; Zhou, X.; Wu, Q. Densely populated bismuth nanosphere semi-embedded carbon felt for ultrahigh-rate and stable vanadium redox flow batteries. Small 2020, 16, e1907333. [Google Scholar] [CrossRef] [PubMed]
- Ren, J.; Wang, Z.; Sun, J.; Guo, Z.; Liu, B.; Fan, X.; Zhao, T. In-situ electrodeposition of homogeneous and dense bismuth nanoparticles onto scale-up graphite felt anodes for vanadium redox flow batteries. J. Power Sources 2023, 586, 233655. [Google Scholar] [CrossRef]
- Eifert, L.; Jusys, Z.; Behm, R.; Zeis, R. Side reactions and stability of pre-treated carbon felt electrodes for vanadium redox flow batteries: A DEMS study. Carbon 2020, 158, 580–587. [Google Scholar] [CrossRef]
- Sun, C.; Negro, E.; Vezzù, K.; Pagot, G.; Cavinato, G.; Nale, A.; Bang, Y.H.; Di Noto, V. Hybrid inorganic-organic proton-conducting membranes based on SPEEK doped with WO3 nanoparticles for application in vanadium redox flow batteries. Electrochim. Acta 2019, 309, 311–325. [Google Scholar] [CrossRef]
- Kim, K.J.; Park, M.-S.S.; Kim, Y.-J.J.; Kim, J.H.; Dou, S.X.; Skyllas-Kazacos, M. A technology review of electrodes and reaction mechanisms in vanadium redox flow batteries. J. Mater. Chem. A 2015, 3, 16913–16933. [Google Scholar] [CrossRef]
- Noack, J.; Berkers, M.; Ortner, J.; Pinkwart, K. The Influence of some electrolyte additives on the electrochemical performance of Fe/Fe2+ redox reactions for iron/iron redox flow batteries. J. Electrochem. Soc. 2021, 168, 040529. [Google Scholar] [CrossRef]
- Solhy, A.; Machado, B.; Beausoleil, J.; Kihn, Y.; Gonçalves, F.; Pereira, M.; Órfão, J.; Figueiredo, J.; Faria, J.; Serp, P. MWCNT activation and its influence on the catalytic performance of Pt/MWCNT catalysts for selective hydrogenation. Carbon 2008, 46, 1194–1207. [Google Scholar] [CrossRef]








| Samples | Rs (Ω·cm2) | CPE (T) (×10−5) | CPE (P) | Rp (Ω·cm2) | W (R) | W (T) | W (P) | 
|---|---|---|---|---|---|---|---|
| TGF | 0.68 | 8.49 | 1.11 | 1.69 | 2.48 | 0.002 | 0.365 | 
| Bi/TGF-0.8V | 0.66 | 1.41 | 1.08 | 1.24 | 17.72 | 0.040 | 0.652 | 
| Bi/TGF-1.2V | 0.64 | 1.13 | 1.11 | 0.89 | 1.50 | 0.001 | 0.384 | 
| Bi/TGF-1.6V | 0.69 | 7.38 | 1.12 | 1.39 | 17.94 | 0.240 | 0.624 | 
| Disclaimer/Publisher’s Note: The statements, opinions and data contained in all publications are solely those of the individual author(s) and contributor(s) and not of MDPI and/or the editor(s). MDPI and/or the editor(s) disclaim responsibility for any injury to people or property resulting from any ideas, methods, instructions or products referred to in the content. | 
© 2024 by the authors. Licensee MDPI, Basel, Switzerland. This article is an open access article distributed under the terms and conditions of the Creative Commons Attribution (CC BY) license (https://creativecommons.org/licenses/by/4.0/).
Share and Cite
Chen, S.; Sun, C.; Zhang, H.; Yu, H.; Wang, W. Electrochemical Deposition of Bismuth on Graphite Felt Electrodes: Influence on Negative Half-Cell Reactions in Vanadium Redox Flow Batteries. Appl. Sci. 2024, 14, 3316. https://doi.org/10.3390/app14083316
Chen S, Sun C, Zhang H, Yu H, Wang W. Electrochemical Deposition of Bismuth on Graphite Felt Electrodes: Influence on Negative Half-Cell Reactions in Vanadium Redox Flow Batteries. Applied Sciences. 2024; 14(8):3316. https://doi.org/10.3390/app14083316
Chicago/Turabian StyleChen, Shengbin, Chuanyu Sun, Huan Zhang, Hao Yu, and Wentong Wang. 2024. "Electrochemical Deposition of Bismuth on Graphite Felt Electrodes: Influence on Negative Half-Cell Reactions in Vanadium Redox Flow Batteries" Applied Sciences 14, no. 8: 3316. https://doi.org/10.3390/app14083316
APA StyleChen, S., Sun, C., Zhang, H., Yu, H., & Wang, W. (2024). Electrochemical Deposition of Bismuth on Graphite Felt Electrodes: Influence on Negative Half-Cell Reactions in Vanadium Redox Flow Batteries. Applied Sciences, 14(8), 3316. https://doi.org/10.3390/app14083316
 
        





 
       